Interspecific Relationship Between Monochamus alternatus Hope and Arhopalus rusticus (L.) in Pinus thunbergii Affected by Pine Wilt Disease
Abstract
1. Introduction
2. Materials and Methods
2.1. Study Sites
2.2. Population Dynamics of Two Longicorn Beetles in the Forest of P. thunbergii
2.3. Spatial Distribution of Two Longicorn Beetle Larvae in P. thunbergii
2.4. Spatial Distribution of A. rusticus Larvae in the Stump of P. thunbergii
2.5. Data Analysis
3. Results
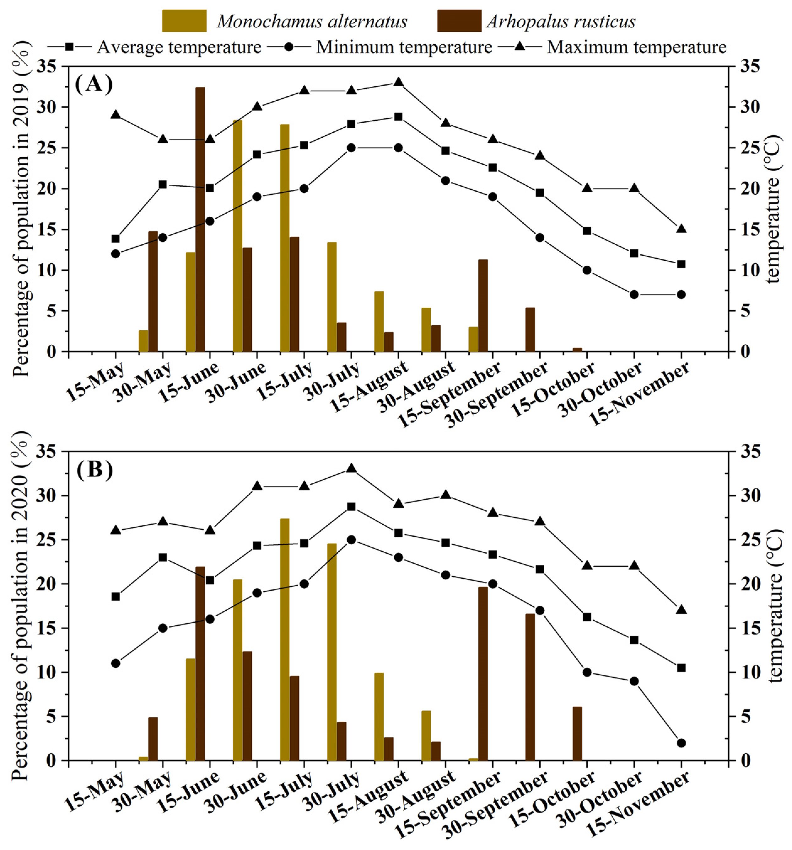
3.1. Population Dynamics and Temporal Niche of Two Species of Longicorn Beetles
3.2. Spatial Distribution of Two Longicorn Beetle Larvae in P. thunbergii
3.3. Spatial Distribution of A. rusticus Larvae in the Stump of P. thunbergii
4. Discussion
5. Conclusions
Author Contributions
Funding
Data Availability Statement
Acknowledgments
Conflicts of Interest
References
- Zhang, Y.; Du, G.; Guo, Q.; Dong, G.; Wang, M.; Zhang, T.; Li, R. Transcriptome sequencing and analysis of genes related to disease resistance in Pinus thunbergii. Forests 2023, 14, 650. [Google Scholar] [CrossRef]
- Zhou, R.L.; Pang, J.Q.; Song, Y. Physiologial response of Pinus thunbergii Parl in wind resistant to coastal wind blowing and win-drift blowing. Acta Ecol. Sin. 2021, 41, 2033–2044. [Google Scholar]
- Chen, L.; Hu, J.M.; Song, C.Y.; Jia, C.Y.; Pang, H.W.; Feng, X.Y.; Zhang, Y.R.; Ji, Y.C. Oviposition ecological niche of Monochamus alternatus and Arhopalus rusticus on Pinus thunbergia infected with Pine Wood Nematode. J. Shandong Agric. Univ. 2023, 54, 670–675. (In Chinese) [Google Scholar]
- Xu, J.; Shao, L.S.; Zhong, K.; Wang, G.S.; Yang, J. Investigation on the occurrence period of two species long-horned beetles in Laishan district, Yantai. J. Anhui Agric. Sci. 2019, 47, 127–128+131. (In Chinese) [Google Scholar]
- Fan, Y.H.; Zhang, X.M.; Zhou, Y.T.; Zong, S.X. Prediction of the Global Distribution of Arhopalus rusticus under Future Climate Change Scenarios of the CMIP6. Forests 2024, 15, 955. [Google Scholar] [CrossRef]
- Linit, M.J. Nematode-vector relationships in the pine wilt disease system. J. Nematol. 1988, 20, 227–235. [Google Scholar]
- Gao, Y.F.; Yang, F.Y.; Song, W.; Cao, L.J.; Chen, J.C.; Shen, X.J.; Qu, L.J.; Zong, S.X.; Wei, S.J. Chromosome-level genome assembly of the Japanese sawyer beetle Monochamus alternatus. Sci. Data 2024, 11, 199. [Google Scholar] [CrossRef]
- Zhao, L.L.; Mota, M.; Vieira, P.; Butcher, R.A.; Sun, J.H. Interspecific communication between pinewood nematode, its insect vector, and associated microbes. Trends Parasitol. 2014, 30, 299–308. [Google Scholar] [CrossRef]
- Akbulut, S.; Stamps, W.T. Insect vectors of the pinewood nematode: A review of the biology and ecology of Monochamus species. For. Pathol. 2012, 42, 89–99. [Google Scholar] [CrossRef]
- Chen, Q.; Xu, Z.C.; Zhang, L.S.; Lu, P.F.; Zhang, Y.F. Geostatistical analysis of the spatial distribution of Arhopalus rusticus larvae and adults. Acta Ecol. Sin. 2018, 38, 975–983. (In Chinese) [Google Scholar]
- Zunic-Kosi, A.; Stritih-Peljhan, N.; Zou, Y.F.; McElfresh, J.S.; Millar, J.G. A male-produced aggregation-sex pheromone of the beetle Arhopalus rusticus (Coleoptera: Cerambycidae, Spondylinae) may be useful in managing this invasive species. Sci. Rep. 2019, 9, 19570. [Google Scholar] [CrossRef] [PubMed]
- Grilli, M.P.; Fachinetti, R. Can forest pattern affect the distribution and abundance of Arhopalus rusticus (Coleoptera: Cerambycidae)? A landscape perspective in central Argentina. Int. J. Pest Manag. 2019, 65, 268–275. [Google Scholar] [CrossRef]
- Amarasekare, P. Competitive coexistence in spatially structured environments: A synthesis. Ecol. Lett. 2010, 6, 1109–1122. [Google Scholar] [CrossRef]
- Borkowski, A.; Skrzecz, I. Ecological segregation of bark beetle (Coleoptera, Curculionidae, Scolytinae) infested Scots pine. Ecol. Res. 2015, 31, 135–144. [Google Scholar] [CrossRef]
- Zeng, X.; Lu, X. Interspecific dominance and asymmetric competition with respect to nesting habitats between two snowfinch species in a high-altitude extreme environment. Ecol. Res. 2009, 24, 607–616. [Google Scholar] [CrossRef]
- Chesson, P. Mechanisms of Maintenance of Species Diversity. Annu. Rev. Ecol. Syst. 2000, 31, 343–366. [Google Scholar] [CrossRef]
- Hale KR, S.; Valdovinos, F.S. Ecological theory of mutualism: Robust patterns of stability and thresholds in two-species population models. Ecol. Evol. 2021, 11, 17651–17671. [Google Scholar] [CrossRef]
- Liu, D. Study on Semi-Artificial Diets and Larval Instars of Arhopalus rusticus and Diapause Termination in Low Temperature of Monochamus alternatus. Master’s Thesis, Shandong Agricultural University, Tai’an, China, 2015. (In Chinese). [Google Scholar]
- Krebs, C.J. Ecological Methodology; Addison-Welsey: Menlo Park, CA, USA, 1999. [Google Scholar]
- Pianka, R.E. The Structure of Lizard Communities. Annu. Rev. Ecol. Syst. 1973, 4, 53–74. [Google Scholar] [CrossRef]
- Wu, H.W.; Zhu, W.C.; Kang, Z.; Qi, Y.K.; Chi, Z.Q.; Ji, Y.P. Spatial-temporal pattern of main borer pests in Pinus thunbergii infected by pine wood nematode. For. Pest Dis. 2019, 38, 6–10. (In Chinese) [Google Scholar]
- Gao, S.K.; Tang, Y.L.; Zhang, Y.L.; Yang, Z.Q.; Wang, X.Y.; Lu, J.F.; Wang, J.; Situ, C.N.; Fu, F.Y. Distribution of Monochamus alternatus on the Trunks of Pinus Massoniana. For. Res. 2015, 28, 708–712. [Google Scholar]
- Wang, X.Y.; Yang, Z.Q.; Situ, C.N.; Wang, J.; Fu, F.Y. New method for rapidly estimating population densities of the concealed wood-borer Monochamus alternatus (Coleoptera: Cerambycidae) in the field. Entomol. Res. 2016, 46, 113–121. [Google Scholar] [CrossRef]
- Hashimoto, K.; Ohgushi, T. Asymmetric interactions between two butterfly species mediated by food demand. Ecol. Evol. 2023, 13, e10164. [Google Scholar] [CrossRef] [PubMed]
- Owen, G.; Scott, F.C. Asymmetric competition among stream fishes: Do food web pathways affect competitive outcomes? Ecosphere 2024, 15, e4858. [Google Scholar]
- Pastore, A.I.; Barabás, G.; Bimler, M.D.; Mayfield, M.M.; Miller, T.E. The evolution of niche overlap and competitive differences. Nat. Ecol. Evol. 2021, 5, 330–337. [Google Scholar] [CrossRef] [PubMed]
- Lang, J.M.; Benbow, M.E. Species Interactions and Competition. Nat. Educ. Knowl. 2013, 4, 8. [Google Scholar]
- Denno, R.F.; McClure, M.S.; Ott, J.R. Interspecific interactions in phytophagous insects: Competition reexamined and resurrected. Annu. Rev. Entomol. 1995, 40, 297–331. [Google Scholar] [CrossRef]
- Lin, P.A.; Chen, Y.; Ponce, G.; Acevedo, F.E.; Lynch, J.P.; Anderson, C.T.; Ali, J.G.; Felton, G.W. Stomata-mediated interactions between plants, herbivores, and the environment. Trends Plant Sci. 2022, 27, 287–300. [Google Scholar] [CrossRef]
- Yu, R.; Ren, L.; Luo, Y. Early detection of pine wilt disease in Pinus tabuliformis in North China using a field portable spectrometer and UAV-based hyperspectral imagery. For. Ecosyst. 2021, 8, 44. [Google Scholar] [CrossRef]
- Hao, Z.Q.; Huang, J.X.; Li, X.D.; Sun, H.; Fang, Q.F. A multi-point aggregation trend of the outbreak of pine wilt disease in China over the past 20 years. For. Ecol. Manag. 2022, 505, 119890. [Google Scholar] [CrossRef]
- Frensch, G.; Zaleski SR, M.; Schorr, R.R.; Dantas, L.G.; Krasniak, M.; Lazzari SM, N.; Maia BH LN, S.; Marques, F.A. Attraction of Pissodes castaneus (Coleoptera, Curculionidae) to Pinus taeda: Laboratory and field evaluation. Chemoecology 2023, 33, 45–54. [Google Scholar] [CrossRef]
- Xu, L.; Liu, Z.Y.; Zhang, K.; Lu, Q.; Liang, J.; Zhang, X.Y. Characterization of the Pinus massoniana Transcriptional Response to Bursaphelenchus xylophilus Infection Using Suppression Subtractive Hybridization. Int. J. Mol. Sci. 2013, 14, 11356–11375. [Google Scholar] [CrossRef] [PubMed]
- Zhou, S.Q.; Georg, J. Molecular ecology of plant volatiles in interactions with insect herbivores. J. Exp. Bot. 2022, 73, 449–462. [Google Scholar] [CrossRef] [PubMed]
- Ren, L.L. Electrophysiological and Behavioral Responses of Monochamus alternatus and Parasitoid Dastarcus helophoroides to Semiochemicals of Several Tree. Ph.D. Thesis, Beijing Forestry University, Beijing, China, 2018. (In Chinese). [Google Scholar]
- Huang, Z.Y.; Liu, Z.J.; Wang, X.Y.; Zhang, Z.L.; Lu, W.; Zheng, X.L. Electroantennographic and olfactory responses of Quadrastichus mendeli to eucalyptus volatiles induced by the gall-forming insect Leptocybe invasa. Pest Manag. Sci. 2022, 78, 2405–2416. [Google Scholar] [CrossRef] [PubMed]
- Turlings, C.J.T.; Matthias, E. Tritrophic Interactions Mediated by Herbivore-Induced Plant Volatiles: Mechanisms, Ecological Relevance, and Application Potential. Annu. Rev. Entomol. 2018, 63, 433–452. [Google Scholar] [CrossRef]
- Valle, D.; Mujica, V.; Gonzalez, A. Herbivore-Dependent Induced Volatiles in Pear Plants Cause Differential Attractive Response by Lacewing Larvae. J. Chem. Ecol. 2023, 49, 262–275. [Google Scholar] [CrossRef] [PubMed]
- Hu, J.J.; Song, H.; Liu, G.; Cheng, Y.Q.; Yan, Y.H.; Wang, X.R.; Sun, X.B.; Han, B.X. Analysis of Influencing Factors of Pine Wood Nematode Disease in Lu’an City Based on GIS. Plant Dis. Pests 2023, 14, 11–17. [Google Scholar]




| Years | Species | n | Bte Mean ± SD | Ote Mean ± SD |
|---|---|---|---|---|
| 2019 | Monochamus alternatus | 11,117 | 4.98 ± 0.10 | 0.05 ± 0.02 |
| Arhopalus rusticus | 12,035 | 5.52 ± 0.21 | ||
| 2020 | Monochamus alternatus | 12,775 | 4.92 ± 0.09 | 0.02 ± 0.01 |
| Arhopalus rusticus | 4621 | 6.77 ± 0.34 |
| Weakness Stages | Species | n Mean ± SD | Bsn Mean ± SD | Osn Mean ± SD |
|---|---|---|---|---|
| Early stage | Monochamus alternatus | 54.40 ± 9.44 a | 4.12 ± 0.57 | 0.39 ± 0.11 |
| Arhopalus rusticus | 8.20 ± 5.64 C | 1.79 ± 0.22 | ||
| Middle stage | Monochamus alternatus | 37.80 ± 11.72 b | 4.28 ± 0.57 | 0.67 ± 0.11 |
| Arhopalus rusticus | 35.20 ± 8.11 B | 3.62 ± 0.41 | ||
| Later stage | Monochamus alternatus | 11.20 ± 6.97 c | 3.24 ± 0.98 | 0.61 ± 0.09 |
| Arhopalus rusticus | 49.60 ± 10.03 AB | 4.60 ± 0.38 | ||
| Wilting death stage | Monochamus alternatus | 3.60 ± 4.45 c | 1.99 ± 0.14 | 0.29 ± 0.04 |
| Arhopalus rusticus | 55.80 ± 13.29 A | 5.05 ± 0.57 |
| Height (cm) | Percentage of Larvae of A. rusticus | ||
|---|---|---|---|
| October 2019 | June 2020 | October 2020 | |
| ≥10 | 4.86 ± 1.33 c | 0.00 | 0.00 |
| [5, 10) | 27.70 ± 0.85 b | 0.00 | 0.00 |
| [0, 5) | 60.70 ± 2.31 a | 0.00 | 0.00 |
| [−5, 0) | 3.72 ± 1.46 c | 10.83 ± 1.35 b | 27.89 ± 3.05 a |
| [−10, −5) | 1.50 ± 0.57 d | 13.45 ± 1.82 b | 25.66 ± 3.17 a |
| [−15, −10) | 1.51 ± 1.62 d | 7.85 ± 0.88 c | 14.20 ± 2.55 b |
| [−20, −15) | 0.00 | 26.24 ± 1.80 a | 18.05 ± 2.97 b |
| [−25, −20) | 0.00 | 7.14 ± 2.39 c | 11.76 ± 1.83 b |
| [−30, −25) | 0.00 | 5.62 ± 1.12 d | 2.44 ± 1.44 c |
| [−35, −30) | 0.00 | 8.99 ± 1.16 c | 0.00 |
| Instar | Percentage of Larvae of A. rusticus | ||
|---|---|---|---|
| October 2019 | June 2020 | October 2020 | |
| 1 | 46.32 ± 3.03 a | 0.00 | 0.00 |
| 2 | 26.90 ± 4.99 b | 0.00 | 0.00 |
| 3 | 24.18 ± 0.34 b | 9.52 ± 2.73 ab | 0.00 |
| 4 | 2.60 ± 2.41 c | 5.56 ± 1.50 b | 12.89 ± 4.67 a |
| 5 | 0.00 | 5.75 ± 2.41 b | 7.20 ± 4.64 b |
| 6 | 0.00 | 12.40 ± 1.94 a | 11.57 ± 1.58 a |
| 7 | 0.00 | 10.52 ± 2.09 ab | 13.64 ± 2.70 a |
| 8 | 0.00 | 14.48 ± 2.09 a | 14.51 ± 1.19 a |
| 9 | 0.00 | 15.67 ± 1.24 a | 14.02 ± 5.20 a |
| 10 | 0.00 | 13.00 ± 2.23 a | 12.49 ± 5.22 a |
Disclaimer/Publisher’s Note: The statements, opinions and data contained in all publications are solely those of the individual author(s) and contributor(s) and not of MDPI and/or the editor(s). MDPI and/or the editor(s) disclaim responsibility for any injury to people or property resulting from any ideas, methods, instructions or products referred to in the content. |
© 2024 by the authors. Licensee MDPI, Basel, Switzerland. This article is an open access article distributed under the terms and conditions of the Creative Commons Attribution (CC BY) license (https://creativecommons.org/licenses/by/4.0/).
Share and Cite
Ji, Y.; Song, C.; Chen, L.; Zheng, X.; Jia, C.; Liu, Y. Interspecific Relationship Between Monochamus alternatus Hope and Arhopalus rusticus (L.) in Pinus thunbergii Affected by Pine Wilt Disease. Forests 2024, 15, 2037. https://doi.org/10.3390/f15112037
Ji Y, Song C, Chen L, Zheng X, Jia C, Liu Y. Interspecific Relationship Between Monochamus alternatus Hope and Arhopalus rusticus (L.) in Pinus thunbergii Affected by Pine Wilt Disease. Forests. 2024; 15(11):2037. https://doi.org/10.3390/f15112037
Chicago/Turabian StyleJi, Yingchao, Chenyu Song, Long Chen, Xue Zheng, Chunyan Jia, and Yanxue Liu. 2024. "Interspecific Relationship Between Monochamus alternatus Hope and Arhopalus rusticus (L.) in Pinus thunbergii Affected by Pine Wilt Disease" Forests 15, no. 11: 2037. https://doi.org/10.3390/f15112037
APA StyleJi, Y., Song, C., Chen, L., Zheng, X., Jia, C., & Liu, Y. (2024). Interspecific Relationship Between Monochamus alternatus Hope and Arhopalus rusticus (L.) in Pinus thunbergii Affected by Pine Wilt Disease. Forests, 15(11), 2037. https://doi.org/10.3390/f15112037

