Next Article in Journal
Genome-Wide Identification of miR169 Family in Response to ABA and Salt Stress in Poplar
Previous Article in Journal
Attraction of Bees to Native and Introduced Willows (Salix spp.)
 
 
Font Type:
Arial Georgia Verdana
Font Size:
Aa Aa Aa
Line Spacing:
Column Width:
Background:
Article

Effects of Shrub Encroachment on Carbon Assimilation and Growth of Mediterranean Cork Oak Trees Depend on Shrub Cover Density

by
Raquel Lobo-do-Vale
1,*,
Simon Haberstroh
2,
Christiane Werner
2,
Carla Nogueira
1,
Miguel Nuno Bugalho
3 and
Maria Conceição Caldeira
1
1
Forest Research Centre, Associate Laboratory TERRA, School of Agriculture, University of Lisbon, 1349-017 Lisbon, Portugal
2
Ecosystem Physiology, Faculty of Environment and Natural Resources, University of Freiburg, 79110 Freiburg, Germany
3
Centre for Applied Ecology “Prof. Baeta Neves” (CEABN-INBIO), School of Agriculture, University of Lisbon, 1349-017 Lisbon, Portugal
*
Author to whom correspondence should be addressed.
Forests 2023, 14(5), 960; https://doi.org/10.3390/f14050960
Submission received: 8 March 2023 / Revised: 3 May 2023 / Accepted: 4 May 2023 / Published: 6 May 2023
(This article belongs to the Section Forest Ecology and Management)

Abstract

Mediterranean ecosystems are threatened by climate change and shrub encroachment. An increase in shrub cover can intensify the competition for water, aggravating the impacts of drought on ecosystem functioning. The effects of shrubs can be positive or negative, depending on the shrub species and density. We used a Mediterranean cork oak (Quercus suber) woodland to investigate the effects of increasing gum rockrose (Cistus ladanifer) cover on leaf carbon assimilation (Amax) and tree growth. The experiment consisted of a gradient of shrub cover, with four treatments: control, LD, MD, and HD, with 0%, 25%, 45%, and maximum shrub cover (>90%), respectively. Increasing shrub cover significantly decreased Amax in trees from HD (−15%) compared to control treatment, with intermediate effects on trees from LD (−5%) and MD (−12%). There was a large variability in tree growth, resulting in no significant effects of shrub cover, despite higher trunk diameter relative increments in LD (+40%), and lower in MD (−17%) and HD (−32%) compared to the control. The results indicate that a dense shrub cover (>90%) affected cork oak carbon assimilation and growth, while a low-to-medium shrub cover (≤45%) only induced mild intermediate effects. This information is important for the effective management of shrub density to improve the health and productivity of cork oak woodlands.

1. Introduction

Mediterranean ecosystems are among the most threatened ecosystems on Earth due to climate change. According to the IPCC [1], the warming trends associated with more frequent and severe droughts will significantly increase aridity in the Mediterranean region, as well as in other arid and semi-arid regions. Additionally, these ecosystems are under threat from shrub encroachment caused by factors such as land abandonment or degradation, overgrazing, and wildfires [2,3]. In regions where water is the determining resource driving the functioning of ecosystems [4], such as the Mediterranean, shrub encroachment may greatly modify ecosystem dominant plant traits and affect major drivers of water fluxes (evapotranspiration and soil infiltration), strongly affecting tree functioning and growth. Indeed, the increase in shrub cover in water-limited ecosystems can exacerbate competition for water resources between shrubs and trees, leading to more deleterious effects of drought on ecosystem functioning [3,5,6,7,8] and services delivery [9,10,11]. However, shrubs can also have positive effects on ecosystem functioning, for example, by facilitating tree recruitment [12,13,14] or increasing water infiltration, soil fertility, and carbon sequestration [10,15,16,17,18]. The magnitude and the sign of the net effects of species interactions (e.g., facilitation or competition) are often shrub density-dependent [18], species-specific [10,11,19,20], and can change with the intensity of drought [5,21,22].
The shrub gum rockrose (Cistus ladanifer), a pioneer native species to the Mediterranean region, for example, can have positive effects on ecosystems due to its ability to grow in poor and degraded soils, improving soil fertility and reducing erosion [23]. However, simultaneously, the gum rockrose has invasive characteristics due to its high growth rates [24], drought stress tolerance [25], and allelopathic characteristics [26,27]. Often it out-competes other native plant species, namely herbs, forming dense stands. Gum rockrose can also increase the risk of wildfires as the shrub is highly flammable, and emits and stores a diverse blend of volatile organic compounds [28,29] which can increase the intensity and spread of fires [15]. In fact, due to the increased occurrence of droughts and wildfires, gum rockrose is spreading, and encroaching on Mediterranean cork oak (Quercus suber) woodlands [30,31,32].
Mediterranean cork oak woodlands are unique ecosystems, geographically limited to the western Mediterranean Basin, that depend on human management to persist [32]. Despite harboring high biodiversity and having high socio-economic value [32,33], mostly due to cork production, these ecosystems are losing vitality, driven especially by increased drought occurrence and poor management practices [34,35,36,37]. Shrub encroachment by gum rockrose has been identified as one of the causes of increased competition with oak trees [5,6], which may weaken trees and ultimately cause tree mortality and a lack of oak natural regeneration [27,31,37,38], but other negative effects such as a decrease in plant species richness [27] or in soil N content [10] were also reported.
Recent studies have reported the strong impacts of shrub encroachment by gum rockrose on the water balance of Mediterranean cork oak and holm oak (Quercus ilex) woodlands [3,5,6,39], namely by significantly reducing tree transpiration and resilience to drought. Significant growth reductions were also observed as a consequence of shrub encroachment, drought, or both [6,19,40,41,42]. However, the impact of shrub encroachment on tree carbon balance received much less attention. Indeed, only a few studies reported tree carbon assimilation, which was shown to be negatively affected by gum rockrose shrub encroachment [7,11,43]. While the maximization of multiple ecosystem services, associated with plant diversity and soil properties, was observed under moderate levels (41%–60%) of shrub cover [18,44], the above-mentioned studies, despite the important and valuable information gathered, were performed in densely encroached areas (>60% of shrub cover), urging further investigation on the impact of increasing shrub cover on tree physiological responses. Additionally, there is a need to better understand the highly dynamic and non-linear transition from facilitation to competition for water between different species [6]. Similarly, understanding how different levels of shrub cover affect tree functioning and growth will be a critical contribution to the sustainable management of Mediterranean oak woodlands and other arid and semi-arid ecosystems [45,46], especially in a context of increasing aridity [1]. Periodic shrub removal is a common management practice in cork oak woodlands, aimed at improving the water status and growth of trees while decreasing the risk of fire [41]. However, this practice is costly and may have counterproductive effects, such as increased soil erosion, decreased carbon stocks, or damage to cork oak roots.
The objectives of this study were to investigate the effects of increasing shrub cover on cork oak water status, carbon assimilation and growth, and to identify the critical shrub cover density that may negatively affect tree functioning and growth. To achieve our goal, a field experiment was set up in a cork oak woodland by establishing a gradient with four levels of shrub cover. Tree water status, carbon assimilation, and growth were monitored over a 2-year study period. Specifically, we aimed to address the following questions: (1) Does cork oak carbon assimilation decrease with increasing shrub cover? (2) Is there a shrub cover threshold for which carbon assimilation decreases significantly? (3) Do these effects translate into lower cork oak growth? By answering these questions, we will also be providing significant guidelines for land managers to improve management practices and conduct timely and cost-effective shrub removal operations.

2. Materials and Methods

2.1. Experimental Site and Set Up

The experiment was established in a Mediterranean cork oak (Quercus suber) woodland, located in a 900 ha estate in Vila Viçosa, Portugal (38°47′30″ N, 7°25′19″ W, 400 m a.s.l.). The climate is Mediterranean-type, characterized by warm-dry and cool-wet seasons [47], with an annual precipitation of 585 mm and a mean air temperature of 16.5 °C [48]. The soil is clay loam (44% sand, 29% silt, and 28% clay), acid (pH 5), poorly developed, and shallow, with a schist bedrock below and classified as haplic Leptosol (FAO, 2007). Cork oak trees were approximately 60 years old, with a density of 160 ± 19 trees ha−1. The average tree’s height was 6.3 ± 0.1 m.
To investigate the effects of shrub encroachment on cork oak water status, carbon assimilation, and growth, a gradient of shrub cover was set up using a randomized block design with three replicates of four levels of shrub cover (treatments): control (no shrub cover), LD (low density, 25% of maximum shrub cover at the site), MD (medium density, 45% of maximum shrub cover at the site), and HD (high density, maximum shrub cover at the site), resulting in 12 plots (3 blocks × 4 treatments) of ca. 12 m × 15 m. The cork oak woodland was encroached by the native shrub gum rockrose (Cistus ladanifer) prior to 2011, when the shrubs were cut above ground on control plots. Since then, shrubs that occasionally germinated (gum rockrose is an obligate seeder) in control plots were manually removed. The maximum shrub density at the site was 11,000 shrubs ha−1, which corresponded to a cover higher than 90%. The gradient was established in May 2019 as a fraction of maximum shrub cover by adjusting shrub density.

2.2. Environmental Monitoring

A weather station was running in each block, as described in Haberstroh et al. (2021) [6]. Precipitation, air temperature, and relative humidity were measured continuously, and half-hourly data were stored on data loggers. Vapor pressure deficit (VPD) was computed from the half-hourly averaged air temperature and relative humidity. Meteorological data are presented as hydrological years, i.e., from October to September, as they better represent the water availability for tree functioning and growth across the growing season. For clarity, the meteorological years of 2018/2019, 2019/2020, and 2020/2021 will be henceforth named 2019, 2020, and 2021, respectively.

2.3. Ecophysiological Measurements

Within the three blocks, three trees per plot were randomly chosen for monitoring (36 trees in total). Four intensive field campaigns were performed to include periods with high water availability, i.e., during spring (11 June 2019 and 17 June 2020), and when water stress occurred, i.e., during summer (23 July 2019 and 03 August 2020). In these intensive field campaigns, leaf water potential and leaf gas exchange measurements were carried out.
Leaf water potential was measured at predawn (ΨPd) to evaluate tree water status with a Scholander-type pressure chamber (PMS 1000, PMS Instruments, Corvalis, OR, USA) in two to three fully expanded and sun-exposed leaves per tree, similar to those used for gas exchange. The measurement times were 03:00–06:00.
Daily courses of leaf gas exchange (at 10:00, 13:00 and 16:00) were performed with two cross-calibrated portable photosynthesis systems (LI-6400XT, LI-COR Inc., Lincoln, NE, USA) with a light source and a CO2 injector system, for controlled saturating light (1200 μmol photons m−2 s−1) and CO2 concentration (400 ppm), respectively. The air temperature and relative humidity in the chamber were set to match the environmental conditions. The measurements took place on clear sky days. Mid to top canopy, south exposed branches were detached and one to two mature leaves per tree were measured within two minutes after branch cutting. From daily courses, the maximal photosynthetic rate (Amax) and the corresponding stomatal conductance (gs@Amax) were obtained. Intrinsic water use efficiency (iWUE) was calculated as Amax/gs@Amax.

2.4. Growth Measurements

Tree trunk diameter at breast height (dbh) increment was measured periodically in installed tree dendrometers (I-802-DI, UMS GmbH, Munich, Germany and DB20, EMS, Brno, Czech Republic) in the same 36 trees that were monitored for the ecophysiological measurements, from 12 December 2019 to 15 June 2021. Growth was expressed as the percentage of increment relative to dbh (dbh increment). Total dbh relative increment was calculated as a percentage of increment relative to initial dbh, and spring dbh relative increments were calculated as a percentage of increment relative to the initial dbh (January) of each year until spring.

2.5. Statistical Analysis

To evaluate the effects of increasing shrub cover on cork oak water status, gas exchange, and growth (ΨPd, Amax, gs@Amax, iWUE and dbh increment), a general linear mixed model (GLMM) was used. Block was considered a random factor and shrub cover (treatment) and measurement date (henceforth date) as fixed factors. When a significant factor effect was found for shrub cover and/or date, the post hoc Tukey test was performed for multiple comparisons of means. The GLMM was repeated for each date to identify significant differences between treatments within each date. Data were log- or square root-transformed, when needed, to meet the assumptions of GLMM (i.e., normal distribution of residuals and variance homogeneity). Statistical analyses were carried out with IBM SPSS Statistics 26 (IBM Corp., Armonk, NY, USA). All statistical relationships were considered significant at p < 0.05. Data are presented as mean ± SE (standard error of the mean).

3. Results

3.1. Environmental Conditions

The hydrological year of 2019 was very dry, with an annual precipitation of 387 mm, representing a −34% deviation from the long-term mean of 585 mm (Figure 1a, [48]) due to a long summer drought that started in early May. In the hydrological year of 2020, the precipitation was 12% above the long-term mean, indicating a regular year with normal levels of precipitation (657 mm). However, the year was marked by rainy periods interspersed with relatively long dry spells, including a long summer drought. The hydrological year of 2021 was wet (770 mm; +32% of long-term mean), with a shorter summer drought, starting later than in the previous years.
Regarding mean air temperature, there were no significant deviations from the long-term data nor between years (Figure 1b). However, in 2020, there was a heat wave in July (according to [49] definition), which lasted from the 10th to 20th of July.
The fluctuations in precipitation and air temperature between different years led to corresponding changes in VPD, especially during the spring and summer (Figure 1c).

3.2. Cork Oak Ecophysiological Responses to Increasing Shrub Cover

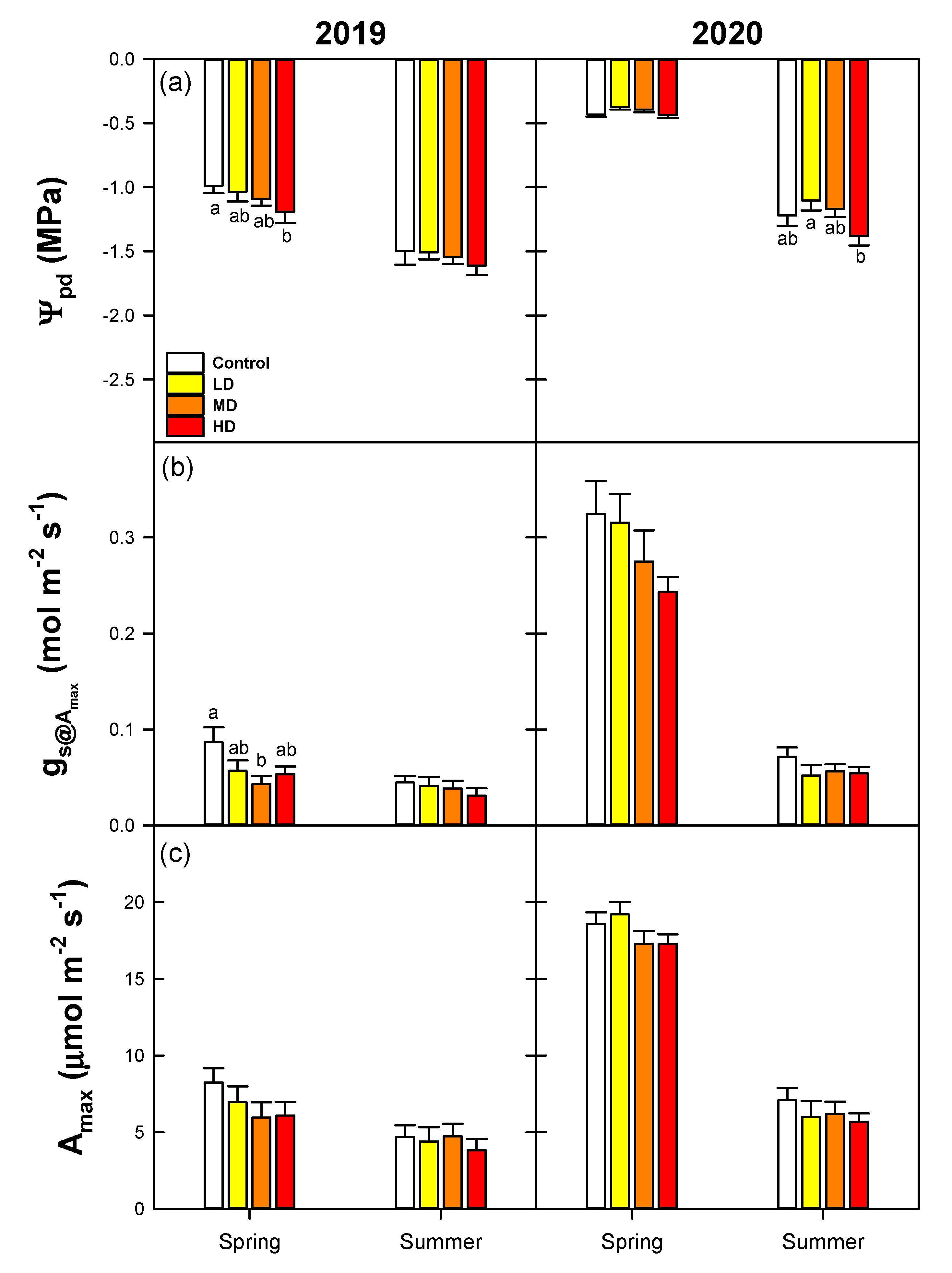
The predawn leaf water potential (ΨPd), an indicator of the tree water status, reflected mainly the variation in precipitation between years. A seasonal and inter-annual pattern was observed in ΨPd, declining from spring to summer in both years (Figure 2a), with significant differences between all dates (p < 0.001, Tables S1 and S3). However, during spring 2019 (dry year), the trees were already experiencing water stress. This was evident from the overall low value of ΨPd of −1.08 ± 0.03 MPa. The water stress was aggravated during the summer, with values dropping to −1.58 ± 0.04 MPa. In contrast, in 2020, which was a normal year, the high ΨPd values recorded in spring (−0.41 ± 0.03 MPa) decreased to intermediate values compared to the values registered in 2019 (−1.22 ± 0.04 MPa).
The shrub cover had a significant effect on ΨPd (p = 0.002, Table S1). Trees growing in control and LD treatments showed a better overall water status than trees in the HD treatment (Figure 2a, Table S2). However, while there was a decreasing gradient observed in the trees from encroached plots (LD, MD, and HD), differences between treatments were only significant in spring 2019 and summer 2020 (Figure 2a). In spring 2019, the ΨPd of trees growing in control plots was significantly higher than trees in HD plots (−0.99 ± 0.06 MPa, and −1.19 ± 0.08 MPa, respectively), while in summer 2020, the significant differences were observed between LD and HD covers (−1.10 ± 0.07 MPa, and −1.38 ± 0.08 MPa, respectively).
Stomatal conductance (gs@Amax, Figure 2b) exhibited a pattern similar to ΨPd, and significant differences in gs@Amax between dates (p < 0.001, Table S1) were observed, except between spring 2019 and summer 2020 (Table S2). Trees were enduring water stress in spring 2019, resulting in low values of gs@Amax (0.060 ± 0.006 mol m−2 s−1). This stress was further intensified during summer 2019, leading to strong stomatal closure (0.039 ± 0.004 mol m−2 s−1). In spring 2020, when the soil had ample water as evidenced by the highest ΨPd, gs@Amax also reached its maximum value of 0.290 ± 0.015 mol m−2 s−1. However, in summer 2020, gs@Amax declined sharply to values similar to those observed in spring 2019 (0.059 ± 0.004 mol m−2 s−1).
The increasing shrub cover significantly reduced gs@Amax (p = 0.006, Table S1). While a gradient of gs@Amax can be identified, the large variability observed among treatments smoothed the differences, and only trees from the control treatment had significantly higher gs@Amax (0.132 ± 0.021 mol m−2 s−1) than trees from MD and HD covers (0.103 ± 0.019 and 0.096 ± 0.015 mol m−2 s−1, respectively, Table S2). The overall mean of LD gs@Amax was 0.116 ± 0.021 mol m−2 s−1. When the statistical analysis was performed by date, differences between treatments were only significant in spring 2019, where the gs@Amax of trees from control plots was significantly higher than of trees from MD plots (Figure 2b).
Similar to gs@Amax, the leaf carbon assimilation, as indicated by maximal photosynthetic rate (Amax), also changed significantly over time (p < 0.001, Figure 2c, Table S1), with no differences between spring 2019 and summer 2020 (Table S3). During the spring 2019 dry year, Amax was already inhibited (6.81 ± 0.48 μmol m−2 s−1) as compared to spring 2020 (18.08 ± 0.39 μmol m−2 s−1). This inhibition was further intensified in summer 2019 to 4.41 ± 0.39 μmol m−2 s−1. In 2020, a strong reduction in Amax occurred from spring to summer, resulting in an overall mean similar to spring 2019 (6.24 ± 0.40 μmol m−2 s−1).
Leaf carbon assimilation decreased with increasing shrub cover (p = 0.046, Figure 2c, Table S1), with trees growing in control plots presenting higher Amax than trees growing in HD plots (9.65 ± 0.98 and 8.22 ± 0.96 μmol m−2 s−1, respectively, Table S2). The overall mean Amax values of trees from LD and MD covers were 9.14 ± 1.09, and 8.54 ± 0.95 μmol m−2 s−1, respectively. Although there was no significant treatment effect when the statistical analysis was performed by date, the shrub cover accounted for reductions in Amax of up to 28% (MD cover in spring 2019, relative to control, Figure 2c).
The statistical analysis revealed significant effects of both date and shrub cover, as well as their interaction, on intrinsic water use efficiency (iWUE, Table S1). iWUE was significantly lower in spring 2020 compared to the other dates (p < 0.001), while control treatment trees had significantly lower iWUE (p = 0.001) than the trees from the other treatments, irrespective of shrub cover level (Table S2). The interaction effect (p = 0.042) was driven by different patterns according to leaf water status. iWUE increased with increasing shrub cover, when ΨPd was either high or low (spring 2020 and summer 2019, respectively), and for intermediate values of ΨPd, higher iWUE was achieved with intermediate levels of shrub cover (LD and MD covers, Figure 3). When the analysis was performed by date, a significant treatment effect was found in spring 2019, with control treatment trees having significantly lower iWUE than trees from MD.

3.3. Cork Oak Growth Responses to Shrub Cover

A large variability was observed in dbh relative increments from December 2019 to June 2021 (Figure 4). The periods with higher growth increments were observed in spring and autumn, but the LD and MD trees were also able to grow during winter/early spring or late spring/summer (LD).
Despite an overall non-significant effect of shrub cover on total relative dbh increment (Figure 5a) when growth was analyzed separately by year, it resulted in a marginally significant higher dbh increment of trees from the LD treatment in comparison to trees from HD in 2021 (p = 0.068, Figure 5). Overall, the highest relative increments in dbh were observed in LD (1.5 ± 0.4%), followed by trees growing in the control treatment (1.1 ± 0.3%), MD (0.9 ± 0.3%), and finally HD (0.7 ± 0.2%) covers (Figure 5a). The relative dbh increment in LD trees was 40% higher than that of control trees, whereas MD and HD trees had deviations of −17% and −32%, respectively.
In 2020 (Figure 5b), a decreasing gradient from control to HD treatment trees was observed, with the dbh increment ranging from 0.232 ± 0.081% (HD) to 0.416 ± 0.127% (control). In 2021, the dbh increment also decreased from control (0.320 ± 0.097%) to HD trees (0.245 ± 0.069%), but a notably high dbh increment was observed in LD trees (0.703 ± 0.194%).

4. Discussion

Our study demonstrates that Amax was significantly reduced in trees from densely encroached plots (HD treatment) compared to control, while marginally significant effects of shrub cover were observed in trunk diameter relative increments in spring 2021, in which trees from LD treatment exhibited higher growth than trees from HD treatment.

4.1. Shrub Cover Effects on Cork Oak Ecophysiology

Overall, the effects of shrub cover on cork oak ecophysiological responses (ΨPd, Amax, gs@Amax) resulted in a slight but significant decrease in these variables from trees when comparing control and HD treatments (Figure 2). The LD and MD covers corresponded to intermediate states, meaning that the effects on tree ecophysiological variables were in general not significantly different from control or HD. The considerable variability between trees may have masked some of the differences. Indeed, when data were analyzed by date, only a few differences between treatments were observed, particularly when drought stress was moderate (in spring 2019 and summer 2020). Nevertheless, the trees from the control treatment exhibited higher gs@Amax which enabled higher Amax. Conversely, the HD trees showed a poorer water status, lower gs@Amax, and lower Amax, which caused an overall 15% decline in carbon assimilation. This is in agreement with Haberstroh et al., 2022 [39], who found a significant negative effect of dense shrub cover on the hydraulic strategy of cork oak, resulting in earlier stomatal closure under drought. In addition, in previous studies [11,43], with a dense gum rockrose cover (60%–95%), a significant negative impact on cork oak and Quercus ilex trees’ carbon assimilation and stomatal conductance was reported. Although the decrease in Amax originating from the gum rockrose cover might seem minor, in the long term and with the forecasted increase in drought years, it can lead to significantly less carbon assimilation and growth, which might jeopardize the functioning and resilience of cork oak trees [5,39]. This will not only affect tree growth but can also impact the tree’s carbohydrate reserves, which are crucial for withstanding prolonged periods of water scarcity [50]. Gum rockrose shrubs exhibit a water-spending behavior, being highly competitive regarding the use of available water resources [39,51]. This was evident in the weak leaf water status observed in the HD trees (Figure 2a). The varying and intermediate physiological responses of LD and MD trees may be partially linked to the shrubs’ ability to improve soil moisture heterogeneity, creating different microenvironmental conditions [52]. These conditions may be transitory and not present when water is abundant, or when there is severe drought, but may translate into meaningful improvements in tree functioning. A longer study may be necessary to unveil these effects.
The trees encroached by shrubs showed a significant increase in iWUE, regardless of the extent of shrub cover. This increase was mainly due to a stronger stomatal control (lower gs@Amax) rather than an increase in Amax, which highlights the water-saving strategy of cork oak [53,54].

4.2. Shrub Cover Effects on Cork Oak Growth

Despite the large variability observed in tree growth responses to shrub cover, as indicated by dbh relative increments which may have obscured treatment effects (Figure 4 and Figure 5), significant differences in dbh increment between trees from control and HD treatments were shown between April 2018 and April 2020 for the exact same trees and treatments (see Figure 6 in [6]). Most probably, these significant effects resulted from a longer period of observation and drier conditions than in the present study.
The higher dbh increments observed in our study in spring and autumn (Figure 4) were expected, as in spring soil moisture is usually available and temperatures are mild, and it is the most productive period for cork oak growth [40,55,56,57,58,59], while autumn growth is typically less intense. However, the increases observed in winter/early spring and late spring/summer in LD and MD trees suggest that the trunk growing period was longer in these treatments. This effect could be mediated by enhanced water infiltration in the soil [60] or by the buffering of environmental conditions such as high temperatures [61]. When the shrub cover becomes dense (HD), competition occurs, resulting in a reduction in available water for tree carbon assimilation and growth (Figure 2, Figure 3 and Figure 4). This is consistent with findings from other studies [3,6,39].
In terms of overall dbh increments (Figure 5a), the LD trees exhibited a 40% increase as compared to control trees, despite high variability and the non-significant effects of shrub cover. Conversely, the MD and HD trees showed negative deviations, with reductions of 17% and 32%, respectively, indicating that denser gum rockrose covers decreased tree growth. Previous studies have also shown a negative impact on tree growth in sites with high gum rockrose cover (>67%) [6,10,19,41] or in response to drought [40,62]. Excluding the exceptional growth of LD trees in spring 2021, a decreasing trend was observed from control to HD trees, with lower growth in spring 2021 compared to spring 2020 (Figure 5b). The lower growth in spring 2021 was most probably due to a dry spell which started in May (Figure 1a), restricting water availability, and inducing earlier growth cessation. In encroached plots, particularly in HD, this was likely to have occurred earlier due to the competition with gum rockrose. The overall higher growth observed in 2020 is in accordance with the observed carbon assimilation rates, which were very high (Figure 2c). As our growth data were only collected over 1.5 years, the modest increments and the marginal differences between treatments are likely to be translated into significant reductions due to increased shrub cover in the long term. More studies covering longer measurement periods are needed.

4.3. Implications for Management

Land mismanagement or abandonment can lead to shrub encroachment in cork oak woodlands [30,32]. Here, we show that high shrub cover may compromise tree carbon assimilation and eventually tree growth, which may ultimately affect cork production, the main service provided by these ecosystems. Our results underline the importance of the management of shrub understory to avoid negative effects on tree ecophysiological and growth responses. These effects add to the increased fire hazard of the encroached system [15] and phenomena such as arrested succession (Acácio et al., 2009 [30]). The results also suggest that a low to medium shrub cover does not negatively affect tree ecophysiology, indicating that the potential benefits of shrub cover (e.g., lower soil erosion, soil fertility, carbon storage) may still be obtained by maintaining a low to moderate shrub cover. This is a significant result for cork oak woodland managers who must balance the negative and positive effects of shrub clearing when making management decisions.
Effective management practices can also improve the resilience of forest ecosystems to drought [5,63]. In the case of cork oak woodlands, maintaining or removing the shrub layer requires careful planning due to the implications on ecosystem functioning, as shown in the present study and in other studies [11,41,64,65]. Different levels of shrub cover may have different implications, as is suggested in our study. For example, Soliveres et al. (2014) [44], investigating different systems including semi-arid ecosystems, found that a shrub cover of 41%–60% was able to maintain ecosystem multifunctionality (mainly assessed by soil properties) and plant diversity. The positive net effects of shrub cover on ecosystem functioning, however, are frequently species-specific [11] and vary with other factors such as soil type or climate (e.g., frequency of dry years). In particular, the gum rockrose, which is a shrub highly competitive for water [5] that can negatively affect cork oak recruitment [38], or seed germination, and the growth of understory species [27], may need to be managed for the maintenance of a lower shrub cover. López-Díaz et al. [66], for example, suggested that a very low shrub cover (<10%) of gum rockrose in a silvipastoral system with Quercus ilex may combine the positive effects of shrubs on ecosystem functioning, simultaneously maintaining overall ecosystem productivity. Other authors [67,68] suggested that the maintenance of small shrubby patches would be enough to improve other benefits such as biodiversity conservation. The present study clearly shows that management of the gum rockrose shrub cover is needed to improve the overall functioning of the cork oak ecosystem, including its productivity. In particular, shrub removal should be performed before the shrub cover becomes too dense (45%–90%). Nevertheless, additional validation studies are recommended on different sites and for longer periods. Conversely, assessing which levels of shrub cover may promote a net positive effect on the functioning of cork oak ecosystems remains a challenge that will further contribute to the adaptative management of the system.

5. Conclusions

Our study findings indicate that gum rockrose shrub cover affects the carbon assimilation and growth of cork oak in different ways, with a high dense cover (HD, >90%) causing significant negative effects on cork oak performance. Cork oak trees under HD treatment showed reductions in leaf carbon assimilation and tree growth by 15% and 32%, respectively, compared to the control treatment without any shrub cover. On the other hand, low to medium shrub cover (LD and MD, 25%–45%) did not result in any significant physiological responses compared to the control treatment.
Our study confirms the hypothesis that high shrub cover negatively affects the cork oak tree physiological responses, leading to a high variability in growth. However, overall non-significant differences were observed between treatments. These findings provide important guidelines for improving the management strategies of Mediterranean oak woodlands, especially for planning shrub removal operations to avoid a dense shrub cover that negatively affects cork oak functioning.
Further studies are necessary to confirm the observed tree growth trends and to identify the critical level of shrub cover that is favorable for cork oak functioning. In conclusion, the findings of this study highlight the importance of considering the density of shrub cover when planning forest management strategies to maintain the health and productivity of cork oak woodlands.

Supplementary Materials

The following supporting information can be downloaded at: https://www.mdpi.com/article/10.3390/f14050960/s1, Table S1: Summary of General Linear Mixed Model results for ecophysiological variables; Table S2: Results of post-hoc Tukey test for multiple comparison of overall treatment means; Table S3: Results of post-hoc Tukey test for multiple comparison of overall date means.

Author Contributions

Conceptualization and methodology, M.C.C., R.L.-d.-V. and M.N.B.; data analysis, R.L.-d.-V.; investigation, R.L.-d.-V., M.C.C., S.H. and C.N.; writing, R.L.-d.-V. with inputs from M.C.C. and M.N.B.; review and editing, R.L.-d.-V., M.C.C., M.N.B., C.W., S.H. and C.N. All authors have read and agreed to the published version of the manuscript.

Funding

This work was supported by the Portuguese Fundação para a Ciência e Tecnologia (FCT) (2022.09115.PTDC and EXPL/ASP-SIL/1259/2021). R.L.-d.-V was funded by an FCT researcher contract (CEECIND/02735/2018). M.N.B was funded by a contract DL 57/2016/CP1382/CT0030 and also acknowledges financial support from FCT through the project CertFor (PTDC/ASP-SIL/31253/2017). Centro de Estudos Florestais (CEF) is a research unit funded by FCT (UIDB/00239/2020). CEABN-InBIO is a research unit funded by FEDER funds (Operational Programme for Competitiveness Factors—COMPETE; POCI-01-0145-FEDER-006821) and by FCT (UID/BIA/50027/2020).

Data Availability Statement

The data presented in this study are available on request to the corresponding author.

Acknowledgments

We sincerely thank Joaquim Mendes, Joana Martins, James Ryder, and Vera Prazeres for help and support during the field work. We also thank Fundação da Casa de Bragança for permission to undertake research in Tapada Real de Vila Viçosa.

Conflicts of Interest

The authors declare no conflict of interest.

References

  1. IPCC. Climate Change 2021: The Physical Science Basis. Contribution of Working Group I to the Sixth Assessment Report of the Intergovernmental Panel on Climate Change; Masson-Delmotte, V., Zhai, P., Pirani, A., Connors, S.L., Péan, C., Berger, S., Caud, N., Chen, Y., Goldfarb, L., Gomis, M.I., et al., Eds.; Cambridge University Press: Cambridge, UK, 2021. [Google Scholar]
  2. Ritsche, J.; Katzensteiner, K.; Acácio, V. Tree regeneration patterns in cork oak landscapes of Southern Portugal: The importance of land cover type, stand characteristics and site conditions. For. Ecol. Manag. 2021, 486, 118970. [Google Scholar] [CrossRef]
  3. Rolo, V.; Moreno, G. Shrub encroachment and climate change increase the exposure to drought of Mediterranean wood-pastures. Sci. Total Environ. 2019, 660, 550–558. [Google Scholar] [CrossRef] [PubMed]
  4. Maestre, F.T.; Bowker, M.A.; Puche, M.D.; Belén Hinojosa, M.; Martínez, I.; García-Palacios, P.; Castillo, A.P.; Soliveres, S.; Luzuriaga, A.L.; Sánchez, A.M.; et al. Shrub encroachment can reverse desertification in semi-arid Mediterranean grasslands. Ecol. Lett. 2009, 12, 930–941. [Google Scholar] [CrossRef] [PubMed]
  5. Caldeira, M.C.; Lecomte, X.; David, T.S.; Pinto, J.G.; Bugalho, M.N.; Werner, C. Synergy of extreme drought and shrub invasion reduce ecosystem functioning and resilience in water-limited climates. Sci. Rep. 2015, 5, 15110. [Google Scholar] [CrossRef]
  6. Haberstroh, S.; Caldeira, M.C.; Lobo-do-Vale, R.; Martins, J.I.; Moemken, J.; Pinto, J.G.; Werner, C. Nonlinear plant-plant interactions modulate impact of extreme drought and recovery on a Mediterranean ecosystem. New Phytol. 2021, 231, 1784–1797. [Google Scholar] [CrossRef] [PubMed]
  7. Moreno Marcos, G.; Obrador, J.J.; García, E.; Cubera, E.; Montero, M.J.; Pulido, F.; Dupraz, C. Driving competitive and facilitative interactions in oak dehesas through management practices. Agrofor. Syst. 2007, 70, 25–40. [Google Scholar] [CrossRef]
  8. Doblas-Miranda, E.; Alonso, R.; Arnan, X.; Bermejo, V.; Brotons, L.; de las Heras, J.; Estiarte, M.; Hódar, J.A.; Llorens, P.; Lloret, F.; et al. A review of the combination among global change factors in forests, shrublands and pastures of the Mediterranean Region: Beyond drought effects. Glob. Planet. Chang. 2017, 148, 42–54. [Google Scholar] [CrossRef]
  9. Eldridge, D.J.; Bowker, M.A.; Maestre, F.T.; Roger, E.; Reynolds, J.F.; Whitford, W.G. Impacts of shrub encroachment on ecosystem structure and functioning: Towards a global synthesis. Ecol. Lett. 2011, 14, 709–722. [Google Scholar] [CrossRef]
  10. Rolo, V.; López-Díaz, M.L.; Moreno, G. Shrubs affect soil nutrients availability with contrasting consequences for pasture understory and tree overstory production and nutrient status in Mediterranean grazed open woodlands. Nutr. Cycl. Agroecosyst. 2012, 93, 89–102. [Google Scholar] [CrossRef]
  11. Rolo, V.; Moreno, G. Shrub species affect distinctively the functioning of scattered Quercus ilex trees in Mediterranean open woodlands. For. Ecol. Manag. 2011, 261, 1750–1759. [Google Scholar] [CrossRef]
  12. Gavinet, J.; Prévosto, B.; Fernandez, C. Do shrubs facilitate oak seedling establishment in Mediterranean pine forest understory? For. Ecol. Manag. 2016, 381, 289–296. [Google Scholar] [CrossRef]
  13. Gómez-Aparicio, L.; Zamora, R.; Gómez, J.M.; Hódar, J.A.; Castro, J.; Baraza, E. Applying plant facilitation to forest restoration: A meta-analysis of the use of shrubs as nurse plants. Ecol. Appl. 2004, 14, 1128–1138. [Google Scholar] [CrossRef]
  14. Cruz-Alonso, V.; Villar-Salvador, P.; Ruiz-Benito, P.; Ibáñez, I.; Rey-Benayas, J.M. Long-term dynamics of shrub facilitation shape the mixing of evergreen and deciduous oaks in Mediterranean abandoned fields. J. Ecol. 2020, 108, 1125–1137. [Google Scholar] [CrossRef]
  15. Lecomte, X.; Caldeira, M.C.; Catry, F.X.; Fernandes, P.M.; Jackson, R.B.; Bugalho, M.N. Ungulates mediate trade-offs between carbon storage and wildfire hazard in Mediterranean oak woodlands. J. Appl. Ecol. 2019, 56, 699–710. [Google Scholar] [CrossRef]
  16. Blaser, W.J.; Shanungu, G.K.; Edwards, P.J.; Olde Venterink, H. Woody encroachment reduces nutrient limitation and promotes soil carbon sequestration. Ecol. Evol. 2014, 4, 1423–1438. [Google Scholar] [CrossRef]
  17. Daryanto, S.; Eldridge, D.J. Plant and soil surface responses to a combination of shrub removal and grazing in a shrub-encroached woodland. J. Environ. Manag. 2010, 91, 2639–2648. [Google Scholar] [CrossRef]
  18. Eldridge, D.J.; Soliveres, S. Are shrubs really a sign of declining ecosystem function? Disentangling the myths and truths of woody encroachment in Australia. Aust. J. Bot. 2015, 62, 594–608. [Google Scholar] [CrossRef]
  19. Rivest, D.; Rolo, V.; López-Díaz, L.; Moreno, G. Shrub encroachment in Mediterranean silvopastoral systems: Retama sphaerocarpa and Cistus ladanifer induce contrasting effects on pasture and Quercus ilex production. Agric. Ecosyst. Environ. 2011, 141, 447–454. [Google Scholar] [CrossRef]
  20. Rodriguez-Ramirez, N.; Santonja, M.; Baldy, V.; Ballini, C.; Montès, N. Shrub species richness decreases negative impacts of drought in a Mediterranean ecosystem. J. Veg. Sci. 2017, 28, 985–996. [Google Scholar] [CrossRef]
  21. Haberstroh, S.; Werner, C. The role of species interactions for forest resilience to drought. Plant Biol. 2022, 24, 1098–1107. [Google Scholar] [CrossRef]
  22. Suzuki, N.; Rivero, R.M.; Shulaev, V.; Blumwald, E.; Mittler, R. Abiotic and biotic stress combinations. New Phytol. 2014, 203, 32–43. [Google Scholar] [CrossRef] [PubMed]
  23. Simões, M.P.; Madeira, M.; Gazarini, L. Ability of Cistus L. shrubs to promote soil rehabilitation in extensive oak woodlands of Mediterranean areas. Plant Soil 2009, 323, 249–265. [Google Scholar] [CrossRef]
  24. Frazão, D.F.; Raimundo, J.R.; Domingues, J.L.; Quintela-Sabarís, C.; Gonçalves, J.C.; Delgado, F. Cistus ladanifer (Cistaceae): A natural resource in Mediterranean-type ecosystems. Planta 2018, 247, 289–300. [Google Scholar] [CrossRef] [PubMed]
  25. Simões, M.P.; Madeira, M.; Gazarini, L. The role of phenology, growth and nutrient retention during leaf fall in the competitive potential of two species of mediterranean shrubs in the context of global climate changes. Flora Morphol. Distrib. Funct. Ecol. Plants 2008, 203, 578–589. [Google Scholar] [CrossRef]
  26. Chaves, N.; Sosa, T.; Alias, J.C.; Escudero, J.C. Germination inhibition of herbs in Cistus ladanifer L. soils: Possible involvement of allelochemicals. Allelopath. J. 2003, 11, 31–42. [Google Scholar]
  27. Gallego, J.C.A.; Caro, J.G.; Campos, V.H.; Lobón, N.C. Effect of Leaf Litter from Cistus ladanifer L on the Germination and Growth of Accompanying Shrubland Species. Plants 2020, 9, 593. [Google Scholar] [CrossRef]
  28. Haberstroh, S.; Kreuzwieser, J.; Lobo-do-Vale, R.; Caldeira, M.C.; Dubbert, M.; Werner, C. Terpenoid Emissions of Two Mediterranean Woody Species in Response to Drought Stress. Front. Plant Sci. 2018, 9, 1071. [Google Scholar] [CrossRef]
  29. Haberstroh, S.; Kreuzwieser, J.; Boeddeker, H.; Eiblmeier, M.; Gutte, H.; Lobo-do-Vale, R.; Caldeira, M.C.; Werner, C. Natural Carbon Isotope Composition Distinguishes Compound Groups of Biogenic Volatile Organic Compounds (BVOC) in Two Mediterranean Woody Species. Front. For. Glob. Chang. 2019, 2, 55. [Google Scholar] [CrossRef]
  30. Acácio, V.; Holmgren, M.; Rego, F.; Moreira, F.; Mohren, G. Are drought and wildfires turning Mediterranean cork oak forests into persistent shrublands? Agrofor. Syst. 2009, 76, 389–400. [Google Scholar] [CrossRef]
  31. Costa, A.; Pereira, H.; Madeira, M. Analysis of spatial patterns of oak decline in cork oak woodlands in Mediterranean conditions. Ann. For. Sci. 2010, 67, 204. [Google Scholar] [CrossRef]
  32. Bugalho, M.N.; Caldeira, M.C.; Pereira, J.S.; Aronson, J.; Pausas, J.G. Mediterranean cork oak savannas require human use to sustain biodiversity and ecosystem services. Front. Ecol. Environ. 2011, 9, 278–286. [Google Scholar] [CrossRef]
  33. Aronson, J.; Pereira, J.S.; Pausas, J.G. Cork Oak Woodlands on the Edge: Ecology, Adaptive Management and Restoration; Island Press: Washington, DC, USA, 2009; p. 315. [Google Scholar]
  34. Camilo-Alves, C.S.P.; Clara, M.I.E.; Ribeiro, N.M.C.A. Decline of Mediterranean oak trees and its association with Phytophthora cinnamomi: A review. Eur. J. For. Res. 2013, 132, 411–432. [Google Scholar] [CrossRef]
  35. Costa, A.; Madeira, M.; Santos, J.L.; Oliveira, A. Change and dynamics in Mediterranean evergreen oak woodlands landscapes of Southwestern Iberian Peninsula. Landsc. Urban Plan 2011, 102, 164–176. [Google Scholar] [CrossRef]
  36. Godinho, S.; Guiomar, N.; Machado, R.; Santos, P.; Sá-Sousa, P.; Fernandes, J.P.; Neves, N.; Pinto-Correia, T. Assessment of environment, land management, and spatial variables on recent changes in montado land cover in southern Portugal. Agrofor. Syst. 2016, 90, 177–192. [Google Scholar] [CrossRef]
  37. Pinto-Correia, T.; Mascarenhas, J. Contribution to the extensification/intensification debate: New trends in the Portuguese montado. Landsc. Urban Plan 1999, 46, 125–131. [Google Scholar] [CrossRef]
  38. Acácio, V.; Holmgren, M.; Jansen, P.A.; Schrotter, O. Multiple Recruitment Limitation Causes Arrested Succession in Mediterranean Cork Oak Systems. Ecosystems 2007, 10, 1220–1230. [Google Scholar] [CrossRef]
  39. Haberstroh, S.; Lobo-do-Vale, R.; Caldeira, M.C.; Dubbert, M.; Cuntz, M.; Werner, C. Plant invasion modifies isohydricity in Mediterranean tree species. Funct. Ecol. 2022, 36, 2384–2398. [Google Scholar] [CrossRef]
  40. Lobo-do-Vale, R.; Kurz Besson, C.; Caldeira, M.C.; Chaves, M.M.; Pereira, J.S. Drought reduces tree growing season length but increases nitrogen resorption efficiency in a Mediterranean ecosystem. Biogeosciences 2019, 16, 1265–1279. [Google Scholar] [CrossRef]
  41. Lecomte, X.; Paulo, J.A.; Tomé, M.; Veloso, S.; Firmino, P.N.; Faias, S.P.; Caldeira, M.C. Shrub understorey clearing and drought affects water status and growth of juvenile Quercus suber trees. For. Ecol. Manag. 2022, 503, 119760. [Google Scholar] [CrossRef]
  42. Oliveira, V.; Lauw, A.; Pereira, H. Sensitivity of cork growth to drought events: Insights from a 24-year chronology. Clim. Chang. 2016, 137, 261–274. [Google Scholar] [CrossRef]
  43. Lobo-do-Vale, R.; Rafael, T.; Haberstroh, S.; Werner, C.; Caldeira, M.C. Shrub Invasion Overrides the Effect of Imposed Drought on the Photosynthetic Capacity and Physiological Responses of Mediterranean Cork Oak Trees. Plants 2023, 12, 1636. [Google Scholar] [CrossRef]
  44. Soliveres, S.; Maestre, F.T.; Eldridge, D.J.; Delgado-Baquerizo, M.; Quero, J.L.; Bowker, M.A.; Gallardo, A. Plant diversity and ecosystem multifunctionality peak at intermediate levels of woody cover in global drylands. Glob. Ecol. Biogeogr. 2014, 23, 1408–1416. [Google Scholar] [CrossRef] [PubMed]
  45. Castagneri, D.; Vacchiano, G.; Hacket-Pain, A.; DeRose, R.J.; Klein, T.; Bottero, A. Meta-analysis Reveals Different Competition Effects on Tree Growth Resistance and Resilience to Drought. Ecosystems 2022, 25, 30–43. [Google Scholar] [CrossRef]
  46. Davis, A.R.; Hultine, K.R.; Sala, O.E.; Throop, H.L. Seedling responses to soil moisture amount versus pulse frequency in a successfully encroaching semi-arid shrub. Oecologia 2022, 199, 441–451. [Google Scholar] [CrossRef] [PubMed]
  47. Costa, R.; Fraga, H.; Fernandes, P.M.; Santos, J.A. Implications of future bioclimatic shifts on Portuguese forests. Reg. Environ. Chang. 2017, 17, 117–127. [Google Scholar] [CrossRef]
  48. IPMA. Climate Normals. Available online: www.ipma.pt (accessed on 15 January 2023).
  49. Jacob, D.; Petersen, J.; Eggert, B.; Alias, A.; Christensen, O.; Bouwer, L.; Braun, A.; Colette, A.; Déqué, M.; Georgievski, G.; et al. EURO-CORDEX: New high-resolution climate change projections for European impact research. Reg. Environ. Chang. 2014, 14, 563–578. [Google Scholar] [CrossRef]
  50. Piper, F.I.; Paula, S. The Role of Nonstructural Carbohydrates Storage in Forest Resilience under Climate Change. Curr. For. Rep. 2020, 6, 1–13. [Google Scholar] [CrossRef]
  51. Quero, J.L.; Sterck, F.J.; Martínez-Vilalta, J.; Villar, R. Water-use strategies of six co-existing Mediterranean woody species during a summer drought. Oecologia 2011, 166, 45–57. [Google Scholar] [CrossRef]
  52. Zhang, G.; Zhao, W.; Wang, X. The importance of facilitation on community assembly disappears under severe drought stress. Funct. Ecol. 2022, 36, 1216–1229. [Google Scholar] [CrossRef]
  53. Chaves, M.M.; Maroco, J.P.; Pereira, J.S. Understanding plant responses to drought—From genes to the whole plant. Funct. Plant Biol. 2003, 30, 239–264. [Google Scholar] [CrossRef]
  54. David, T.S.; Henriques, M.O.; Kurz-Besson, C.; Nunes, J.; Valente, F.; Vaz, M.; Pereira, J.S.; Siegwolf, R.; Chaves, M.M.; Gazarini, L.C.; et al. Water-use strategies in two co-occurring Mediterranean evergreen oaks: Surviving the summer drought. Tree Physiol. 2007, 27, 793–803. [Google Scholar] [CrossRef] [PubMed]
  55. Gordo, O.; Sanz, J.J. Impact of climate change on plant phenology in Mediterranean ecosystems. Glob. Chang. Biol. 2010, 16, 1082–1106. [Google Scholar] [CrossRef]
  56. Misson, L.; Degueldre, D.; Collin, C.; Rodriguez, R.; Rocheteau, A.; Ourcival, J.-M.; Rambal, S. Phenological responses to extreme droughts in a Mediterranean forest. Glob. Chang. Biol. 2011, 17, 1036–1048. [Google Scholar] [CrossRef]
  57. Pinto, C.A.; David, J.S.; Cochard, H.; Caldeira, M.C.; Henriques, M.O.; Quilhó, T.; Paço, T.A.; Pereira, J.S.; David, T.S. Drought-induced embolism in current-year shoots of two Mediterranean evergreen oaks. For. Ecol. Manag. 2012, 285, 1–10. [Google Scholar] [CrossRef]
  58. Oliveira, G.; Correia, O.; Martins Loucao, M.; Catarino, F.M. Phenological and growth patterns of the Mediterranean oak Quercus suber L. Trees Struct. Funct. 1994, 9, 41–46. [Google Scholar] [CrossRef]
  59. Pereira, J.S.; Beyschlag, G.; Lange, O.L.; Beyschlag, W.; Tenhunen, J.D. Comparative phenology of four mediterranean shrub species growing in Portugal. In Plant Responses to Stress; Tenhunen, J.D., Catarino, F.M., Lange, O.L., Oechel, W.C., Eds.; NATO ASI Series; Springer: Berlin/Heidelberg, Germany, 1987; Volume G15, pp. 503–513. [Google Scholar]
  60. Liu, Y.-F.; Zhang, Z.; Liu, Y.; Cui, Z.; Leite, P.A.M.; Shi, J.; Wang, Y.; Wu, G.-L. Shrub encroachment enhances the infiltration capacity of alpine meadows by changing the community composition and soil conditions. Catena 2022, 213, 106222. [Google Scholar] [CrossRef]
  61. Cui, G.; Pugnaire, F.I.; Yang, L.; Zhao, W.; Ale, R.; Shen, W.; Luo, T.; Liang, E.; Zhang, L. Shrub-mediated effects on soil nitrogen determines shrub-herbaceous interactions in drylands of the Tibetan Plateau. Front. Plant Sci. 2023, 14, 389. [Google Scholar] [CrossRef]
  62. Besson, C.K.; Lobo-do-Vale, R.; Rodrigues, M.L.; Almeida, P.; Herd, A.; Grant, O.M.; David, T.S.; Schmidt, M.; Otieno, D.; Keenan, T.F.; et al. Cork oak physiological responses to manipulated water availability in a Mediterranean woodland. Agric. For. Meteorol. 2014, 184, 230–242. [Google Scholar] [CrossRef]
  63. Acácio, V.; Dias, F.S.; Catry, F.X.; Rocha, M.; Moreira, F. Landscape dynamics in Mediterranean oak forests under global change: Understanding the role of anthropogenic and environmental drivers across forest types. Glob. Chang. Biol. 2017, 23, 1199–1217. [Google Scholar] [CrossRef]
  64. Ding, J.; Eldridge, D. The success of woody plant removal depends on encroachment stage and plant traits. Nat. Plants 2023, 9, 58–67. [Google Scholar] [CrossRef]
  65. Faias, S.P.; Paulo, J.A.; Firmino, P.N.; Tomé, M. Drivers for Annual Cork Growth under Two Understory Management Alternatives on a Podzolic Cork Oak Stand. Forests 2019, 10, 133. [Google Scholar] [CrossRef]
  66. López-Díaz, M.L.; Rolo, V.; Benítez, R.; Moreno, G. Shrub encroachment of Iberian dehesas: Implications on total forage productivity. Agrofor. Syst. 2015, 89, 587–598. [Google Scholar] [CrossRef]
  67. Moreno, G.; Pulido, F.J. The Functioning, Management and Persistence of Dehesas. In Agroforestry in Europe: Current Status and Future Prospects; Rigueiro-Rodróguez, A., McAdam, J., Mosquera-Losada, M.R., Eds.; Springer: Dordrecht, The Netherlands, 2009; pp. 127–160. [Google Scholar]
  68. Oksuz, D.P.; Aguiar, C.A.S.; Tápia, S.; Llop, E.; Lopes, P.; Serrano, A.R.M.; Leal, A.I.; Branquinho, C.; Correia, O.; Rainho, A.; et al. Increasing biodiversity in wood-pastures by protecting small shrubby patches. For. Ecol. Manag. 2020, 464, 118041. [Google Scholar] [CrossRef]
Figure 1. Meteorological conditions in the hydrological years of 2019, 2020, and 2021. Accumulated annual precipitation (a), daily mean air temperature (b), and daily mean vapor pressure deficit (VPD) (c). The dashed horizontal line indicates the precipitation long-term mean (1981–2010, IPMA [48]). The vertical lines indicate the intensive field campaigns. The temperature and VPD data were smoothed using the 7-day running average.
Figure 1. Meteorological conditions in the hydrological years of 2019, 2020, and 2021. Accumulated annual precipitation (a), daily mean air temperature (b), and daily mean vapor pressure deficit (VPD) (c). The dashed horizontal line indicates the precipitation long-term mean (1981–2010, IPMA [48]). The vertical lines indicate the intensive field campaigns. The temperature and VPD data were smoothed using the 7-day running average.
Forests 14 00960 g001
Figure 2. Predawn leaf water potential (ΨPd) (a), stomatal conductance (gs@Amax) (b), and maximal photosynthetic rate (Amax) (c) of cork oak by treatment, measured in spring and summer of the hydrological years of 2019 and 2020. Different letters indicate statistically significant differences between treatments within each date (p < 0.05).
Figure 2. Predawn leaf water potential (ΨPd) (a), stomatal conductance (gs@Amax) (b), and maximal photosynthetic rate (Amax) (c) of cork oak by treatment, measured in spring and summer of the hydrological years of 2019 and 2020. Different letters indicate statistically significant differences between treatments within each date (p < 0.05).
Forests 14 00960 g002
Figure 3. Intrinsic water use efficiency (iWUE) of cork oak by treatment, measured in spring and summer of the hydrological years 2019 and 2020. Different letters indicate statistically significant differences between treatments within each date (p < 0.05).
Figure 3. Intrinsic water use efficiency (iWUE) of cork oak by treatment, measured in spring and summer of the hydrological years 2019 and 2020. Different letters indicate statistically significant differences between treatments within each date (p < 0.05).
Forests 14 00960 g003
Figure 4. dbh relative increments of cork oak by treatment over the study period, calculated as a percentage of increment relative to initial dbh, when dendrometers were installed in all trees.
Figure 4. dbh relative increments of cork oak by treatment over the study period, calculated as a percentage of increment relative to initial dbh, when dendrometers were installed in all trees.
Forests 14 00960 g004
Figure 5. Total dbh relative increments of cork oak by treatment (a), and spring dbh relative increments of cork oak of each year (b). Note the different scales. Different letters indicate statistically significant differences between treatments within each date (p < 0.10).
Figure 5. Total dbh relative increments of cork oak by treatment (a), and spring dbh relative increments of cork oak of each year (b). Note the different scales. Different letters indicate statistically significant differences between treatments within each date (p < 0.10).
Forests 14 00960 g005
Disclaimer/Publisher’s Note: The statements, opinions and data contained in all publications are solely those of the individual author(s) and contributor(s) and not of MDPI and/or the editor(s). MDPI and/or the editor(s) disclaim responsibility for any injury to people or property resulting from any ideas, methods, instructions or products referred to in the content.

Share and Cite

MDPI and ACS Style

Lobo-do-Vale, R.; Haberstroh, S.; Werner, C.; Nogueira, C.; Bugalho, M.N.; Caldeira, M.C. Effects of Shrub Encroachment on Carbon Assimilation and Growth of Mediterranean Cork Oak Trees Depend on Shrub Cover Density. Forests 2023, 14, 960. https://doi.org/10.3390/f14050960

AMA Style

Lobo-do-Vale R, Haberstroh S, Werner C, Nogueira C, Bugalho MN, Caldeira MC. Effects of Shrub Encroachment on Carbon Assimilation and Growth of Mediterranean Cork Oak Trees Depend on Shrub Cover Density. Forests. 2023; 14(5):960. https://doi.org/10.3390/f14050960

Chicago/Turabian Style

Lobo-do-Vale, Raquel, Simon Haberstroh, Christiane Werner, Carla Nogueira, Miguel Nuno Bugalho, and Maria Conceição Caldeira. 2023. "Effects of Shrub Encroachment on Carbon Assimilation and Growth of Mediterranean Cork Oak Trees Depend on Shrub Cover Density" Forests 14, no. 5: 960. https://doi.org/10.3390/f14050960

APA Style

Lobo-do-Vale, R., Haberstroh, S., Werner, C., Nogueira, C., Bugalho, M. N., & Caldeira, M. C. (2023). Effects of Shrub Encroachment on Carbon Assimilation and Growth of Mediterranean Cork Oak Trees Depend on Shrub Cover Density. Forests, 14(5), 960. https://doi.org/10.3390/f14050960

Note that from the first issue of 2016, this journal uses article numbers instead of page numbers. See further details here.

Article Metrics

Back to TopTop