Nitrogen and Boron Dosage Effects on Arginine Accumulation in Scots Pine Needles
Abstract
1. Introduction
2. Materials and Methods
2.1. Study Area
2.2. Experimental Site
2.2.1. Silvicultural Survey Methods
2.2.2. Silvicultural Characteristics of the Site
2.2.3. Characteristics of Soil Conditions
2.3. Experimental Design
2.4. Analysis Methods
2.4.1. Needle Analysis Methods
2.4.2. Soil Chemical and Physical Analysis
2.4.3. Data Analysis
3. Results
3.1. Nitrogen Content in Needles
3.2. Boron Content in Needles
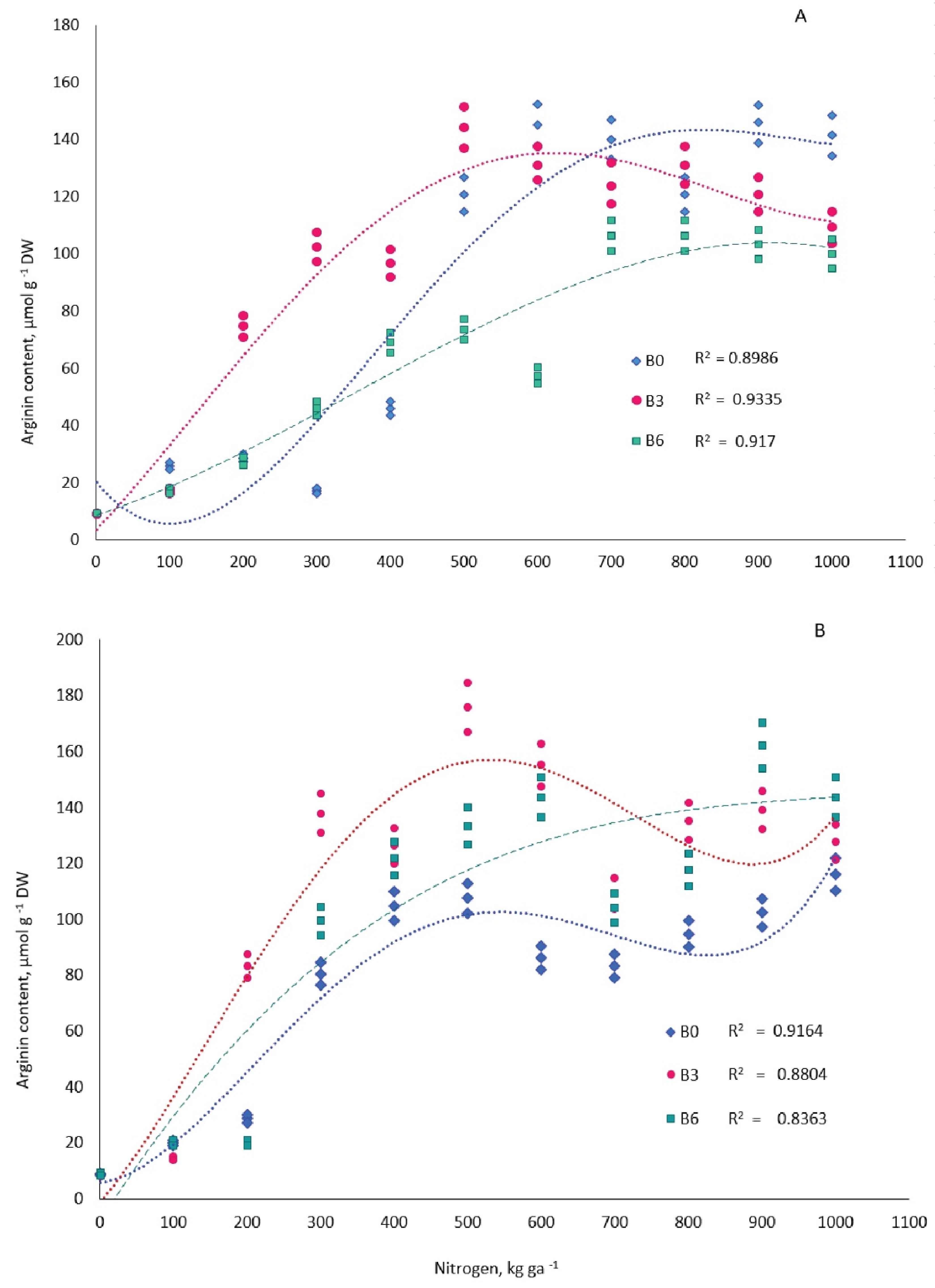
3.3. Arginine Content in Needles
3.4. Relationship between the Content of N, B, and Arg in Pine Needles
4. Discussion
4.1. Efficiency of Nitrogen Fertilizers in Forestry
4.2. Mutual Influence of Nitrogen and Boron Fertilizers
4.3. Influence of Nitrogen and Boron Supply on Arg Content
5. Conclusions
Author Contributions
Funding
Institutional Review Board Statement
Informed Consent Statement
Data Availability Statement
Acknowledgments
Conflicts of Interest
References
- Wikner, B. Distribution and mobility of boron in forest ecosystems. Commun. Inst. For. Fenn. 1983, 116, 131–141. [Google Scholar]
- Stone, E.L. Boron deficiency and excess in forest trees: A review. For. Ecol. Manag. 1990, 37, 49–75. [Google Scholar] [CrossRef]
- Hopmans, P.; Clerehan, S. Growth and uptake of N, P, K and B by Pinus radiata D. Don in response to applications of borax. Plant Soil 1991, 131, 115–127. [Google Scholar] [CrossRef]
- Tamm, C.O. Nitrogen in Terrestrial Ecosystems: Questions of Productivity, Vegetational Changes, and Ecosystem Stability. Ecological STUDIES 81; Springer: Berlin/Heidelberg, Germany, 1991; Volume 81, p. 115. [Google Scholar]
- Chernobrovkina, N.P. Ecophysiological Characteristics of Nitrogen Utilization by Scots Pine; Nauka: St. Petersburg, Russia, 2001; p. 175. (In Russian) [Google Scholar]
- Brockley, R.P. Effects of nitrogen and boron fertilization on foliar boron nutrition and growth in two different lodgepole pine ecosystems. Can. J. For. Res. 2003, 33, 988–996. [Google Scholar] [CrossRef]
- Magill, A.H.; Aber, J.D.; Currie, W.S.; Nadelhoffer, K.J.; Martin, M.E.; McDowell, W.H.; Melillo, J.M.; Steudler, P. Ecosystem response to 15 years of chronic nitrogen additions at the Harvard Forest LTER, Massachusetts, USA. For. Ecol. Manag. 2004, 196, 7–28. [Google Scholar] [CrossRef]
- De Vries, W.C. Effects on trees: Stem growth. In The Condition of Forests in Europe. United Nations Economic Commission for Europe, Convention on Long-Range Transboundary Air Pollution, International Co-Operative Programme on Assessment and Monitoring of Air Pollution Effects on Forests (ICP Forests); Thünen Institute: Eberswalde, Germany, 2013; pp. 30–31. [Google Scholar]
- Ulvcrona, T.; Ulvcrona, K.A. The effects of pre-commercial thinning and fertilization on characteristics of juvenile clearwood of Scots pine (Pinus sylvestris L.). Forestry 2011, 84, 207–219. [Google Scholar] [CrossRef]
- Pukkala, T. Optimal nitrogen fertilization of boreal conifer forest. For. Ecosyst. 2017, 4, 3. [Google Scholar] [CrossRef]
- Del Rio, M.; Bravo-Oviedo, A.; Pretzsch, H.; Lof, M.; Ruiz-Peinado, R. A review of thinning effects on Scots pine stands: From growth and yield to new challenges under global change. For. Syst. 2017, 26, eR03S. [Google Scholar] [CrossRef]
- Mead, D.J.; Gadgil, R.L. Fertilizer use in established radiata pine stands in New Zealand. N. Z. J. For. Sci. 1978, 8, 70–104. [Google Scholar]
- Hopmans, P.; Flinn, D.W. Boron deficiency in Pinus radiate D. Don and the effect of applied boron on height growth and nutrient uptake. Plant Soil 1984, 79, 295–298. [Google Scholar] [CrossRef]
- Sikstrom, U. Effects of low-dose liming and nitrogen fertilization on stemwood growth and needle properties of Picea abies and Pinus sylvestris. For. Ecol. Manag. 1997, 95, 261–274. [Google Scholar] [CrossRef]
- Lehto, T.; Kallio, E.; Aphalo, P.J. Boron mobility in two coniferous species. Ann. Bot. 2000, 86, 547–550. [Google Scholar] [CrossRef][Green Version]
- Jacobson, S.; Pettersson, F. An assessment of different fertilization regimes in three boreal coniferous stands. Silva Fenn. 2010, 44, 815–827. [Google Scholar] [CrossRef]
- Berg, J.; Nilsson, U.; Allen, H.L.; Johansson, U.; Fahlvik, N. Long-term responses of Scots pine and Norway spruce stands in Sweden to repeated fertilization and thinning. For. Ecol. Manag. 2014, 320, 118–128. [Google Scholar] [CrossRef]
- From, F.; Strengbom, J.; Nordin, A. Residual long-term effects of forest fertilization on tree growth and nitrogen turnover in boreal forest. Forests 2015, 6, 1145–1156. [Google Scholar] [CrossRef]
- Binkley, D.; Hogberg, P. Revisiting the influence of nitrogen deposition on Swedish forests. For. Ecol. Manag. 2016, 368, 222–239. [Google Scholar] [CrossRef]
- Carlsson, J.; Egertsdotter, U.; Ganeteg, U.; Svennerstam, H. Nitrogen utilization during germination of somatic embryos of Norway spruce: Revealing the importance of supplied glutamin for nitrogen metabolism. Trees 2019, 33, 383–394. [Google Scholar] [CrossRef]
- Rocha, J.S.; Calzavara, A.K.; Bianchini, E.; Pimenta, J.A.; Stolf-Moreira, R.; Oliveira, H.C. Nitrogen supplementation improves the high-light acclimation of Guazuma ulmifolia Lam. seedlings. Trees 2019, 33, 421–431. [Google Scholar] [CrossRef]
- Valinger, E.; Sjögren, H.; Nord, G.; Cedergren, J. Effects on stem growth of Scots pine 33 years after thinning and/or fertilization in northern Sweden. Scand. J. For. Res. 2019, 34, 33–38. [Google Scholar] [CrossRef]
- Guo, J.; Gao, Y.; Eissenstat, D.M.; He, C.; Sheng, L. Belowground responses of woody plants to nitrogen addition in a phosphorus-rich region of northeast China. Trees 2020, 34, 143–154. [Google Scholar] [CrossRef]
- Gilliam, F.S. Response of Temperate Forest Ecosystems under Decreased Nitrogen Deposition: Research Challenges and Opportunities. Forests 2021, 12, 509. [Google Scholar] [CrossRef]
- Gruffman, L.; Jämtgård, S.; Näsholm, T. Plant nitrogen status and co-occurrence of organic and inorganic nitrogen sources influence root uptake by Scots pine seedlings. Tree Physiol. 2014, 34, 205–213. [Google Scholar] [CrossRef] [PubMed]
- Tanger, S.M.; Blazier, M.A.; Holley, A.G.; McConnell, T.E.; Vanderschaaf, C.; Clason, T.R.; Dipesh, K.C. Financial performance of diverse levels of early competition suppression and pre-commercial thinning on loblolly pine stand development. New For. 2021, 52, 217–235. [Google Scholar] [CrossRef]
- Zianis, D.; Muukkonen, P.; Makipaa, R.; Mencuccini, M. Biomass and stem volume equations for tree species in Europe. Silva Fenn. Monogr. 2005, 4, 63. [Google Scholar] [CrossRef]
- Lehtonen, A. Estimating foliage biomass in Scots pine (Pinus sylvestris) and Norway spruce (Picea abies) plots. Tree Physiol. 2005, 25, 803–811. [Google Scholar] [CrossRef] [PubMed]
- Durzan, D.J. Arginine, scurvy, and Jacques Cartier’s “tree of life”. J. Ethnobiol. Ethnomed. 2009, 5, 5. [Google Scholar] [CrossRef]
- Robonen, E.V.; Chernobrovkina, N.P.; Zaitseva, M.I.; Raevsky, B.V.; Egorova, A.V.; Kolesnikov, G.N. Obtaining woody greens enriched with L-Arg during forestry management of young scots pine stands (scientific review). Bulletin of Higher Educational Institutions. Lesn. Zhurnal 2020, 5, 9–37. (In Russian) [Google Scholar] [CrossRef]
- Brunini, T.M.; Mendes-Ribeiro, A.C.; Ellory, J.C.; Mann, G.E. Platelet nitric oxide synthesis in uremia and malnutrition: A role for L_Arg supplementation in vascular protection? Cardiovasc. Res. 2007, 73, 359–367. [Google Scholar] [CrossRef][Green Version]
- Stief, T.W. Inhibition of thrombin in plasma by heparin or Arg. Clin. Appl. Thromb. Hemost. 2007, 13, 146–153. [Google Scholar] [CrossRef]
- Ball, R.O.; Urschel, K.L.; Pencharz, P.B. Nutritional consequences of interspecies differences in Arg and lysine metabolism. J. Nutr. 2007, 137, 1626–1641. [Google Scholar] [CrossRef]
- Eisert, R.L. Hypercarnivory and the brain: Protein requirements of cats reconsidered. J. Comp. Physiol. B 2011, 181, 1–17. [Google Scholar] [CrossRef] [PubMed]
- Korotkiy, V.P.; Chernobrovkina, N.P.; Marisov, S.S.; Velikanov, V.I.; Robonen, E.V. Biochemical production based on raw materials from forest. In International Scientific Conference Innovation and Technologies in Forestry. Materials of the International Scientific-Practical Conference; Series “Proceedings of the St. Petersburg Research Institute of Forestry”; Saint Petersburg Forestry Research Institute: St. Petersburg, Russia, 2011; pp. 92–95. [Google Scholar]
- Unzhakov, A.R.; Tyutyunnik, N.N.; Uzenbaeva, L.B.; Baishnikova, I.V.; Antonova, E.P.; Chernobrovkina, N.P.; Robonen, E.V.; Ilyukha, V.A. Physiological State of American Mink (Mustela vison) Puppies under the Action of an Extract from Needles Enriched with L-Arginine; Karelian Research Centre of RAS: Petrozavodsk, Russia, 2014; Volume 5, pp. 222–227. [Google Scholar]
- Apostol, L.; Sorin, C.; Mosoiu, C.; Mustatea, G.; Cucu, S. Nutrient composition of partially defatted milk thistle seeds. Sci. Bull. Ser. F Biotechnol. 2017, XXI, 165–172. [Google Scholar]
- Ramazanov, A.S.; Balayeva, S.A. Amino acid composition of fruitssilybum marianum, growing in the territory of the republic of Dagestan. Chem. Plant Raw Mater. 2020, 3, 215–223. [Google Scholar] [CrossRef]
- Näsholm, T.; Ericsson, A. Seasonal changes in amino acids, protein and total nitrogen in needles of fertilized Scots pine trees. Tree Physiol. 1990, 6, 267–281. [Google Scholar] [CrossRef]
- Pietila, M.; Lahdesmaki, P.; Pietilainen, P.; Ferm, A.; Hytonen, J.; Patila, A. High Nitrogen Deposition Causes Changes in Amino Acid Concentrations and Protein Spectra in Needles of the Scots Pine (Pinus sylvestris). Environ. Pollut. 1991, 72, 103–115. [Google Scholar] [CrossRef]
- Gezelius, K.; Nasholm, T. Free amino acids and protein in Scots pine seedlings cultivated at different nutrient availabilities. Tree Physiol. 1993, 13, 71–86. [Google Scholar] [CrossRef]
- Huhn, B.G.; Schulz, H. Contents of free amino acids in Scots pine needles from field sites with different levels of nitrogen deposition. New Phytol. 1996, 134, 95–101. [Google Scholar] [CrossRef]
- Durzan, D.J. Arg and the shade tolerance of white spruce saplings entering winter dormancy. J. For. Sci. 2010, 56, 77–83. [Google Scholar] [CrossRef]
- Tarvainen, L.; Lutz, M.; Rantfors, M.; Nasholm, T.; Wallin, G. Increased Needle Nitrogen Contents Did Not Improve Shoot Photosynthetic Performance of Mature Nitrogen-Poor Scots Pine Trees. Front. Plant Sci. 2016, 7, 1051. [Google Scholar] [CrossRef]
- Chernobrovkina, N.P.; Robonen, E.V.; Repin, A.V.; Makarova, T.N. Seasonal dynamics of Arg content in Pinus sylvestris L. needles depending on the timing of nitrogen and boron application. Khimiya Rastit. Syr’ya 2018, 2, 159–168. (In Russian) [Google Scholar]
- Kazimirov, N.I.; Kabanov, V.V. Forest Mensuration Tables; Karelian Branch of USSR AS: Petrozavodsk, Russia, 1976; p. 32. (In Russian) [Google Scholar]
- IUSS Working Group WRB. World Reference Base for Soil Resources 2014, Update 2015 International Soil Classification System for Naming Soils and Creating Legends for Soil Maps; World Soil Resources Reports No.106; FAO: Rome, Italy, 2015; p. 192. [Google Scholar]
- Fedorets, N.G. (Ed.) Soil Diversity and Biodiversity in the Middle-Taiga Ecosystems; Nauka: Moscow, Russia, 2006; p. 287. (In Russian) [Google Scholar]
- Yagodin, B.A. (Ed.) Agrochemistry; Kolos: Moscow, Russia, 2001; p. 584. (In Russian) [Google Scholar]
- Bell, R.W.; Dell, B. Micronutrients for Sustainable Food, Feed, Fibre and Bioenergy Production; International Fertilizer Industry Association: Paris, France, 2008; p. 175. [Google Scholar]
- Chernobrovkina, N.P.; Robonen, E.V.; Nikerova, K.M.; Galibina, N.A.; Makarova, T.N.; Repin, A.V. Determination of L-Arg content in scots pine needles using the Sakaguchi test. Khimiya Rastit. Syr’ya 2020, 3, 245–254. (In Russian) [Google Scholar]
- Saarsalmi, A.; Mälkönen, E. Forest Fertilization Research in Finland: A Literature Review. Scand. J. For. Res. 2001, 16, 514–535. [Google Scholar] [CrossRef]
- Konovalov, V.N.; Zarubina, L.V. Ecophysiological Characteristics of Conifers on Fertilized Soils; Northern (Arctic) Federal University: Arkhangelsk, Russia, 2011; p. 338. (In Russian) [Google Scholar]
- Ring, E.; Högbom, L.; Jacobson, S.; Jansson, G.; Nohrstedt, H.O. Long-term effects on soil-water nitrogen and pH of clearcutting and simulated disc trenching of previously nitrogen-fertilised pine plots. Can. J. For. Res. 2018, 48, 1115–1123. [Google Scholar] [CrossRef]
- Hyvönen, R.; Persson, T.; Andersson, S.; Olsson, B.; Ågren, G.I.; Linder, S. Impact of long-term nitrogen addition on carbon stocks in trees and soils in Northern Europe. Biogeochemistry 2008, 89, 121–137. [Google Scholar] [CrossRef]
- Sjolie, H.K.; Sorlie, H.A.K.; Tveite, B.; Solberg, B. The performance of two Swedish N fertilization functions evaluated on data from Norwegian fertilization experiments. Silva Fenn. 2015, 49, 1330. [Google Scholar] [CrossRef][Green Version]
- Gilliam, F.S.; May, J.D.; Adams, M.B. Response of foliar nutrients of Rubus allegheniensis to nutrient amendments in a central Appalachian hardwood forest. For. Ecol. Mang. 2018, 411, 101–107. [Google Scholar] [CrossRef]
- Schmitz, A.; Sanders, T.G.M.; Bolte, A.; Bussotti, F.; Dirnböck, T.; Johnson, J.; Peñuelas, J.; Pollastrini, M.; Prescher, A.K.; Sardans, J.; et al. Responses of forest ecosystems in Europe to decreasing nitrogen deposition. Environ. Pollut. 2019, 244, 980–994. [Google Scholar] [CrossRef]
- Wen, Z.; Xu, W.; Li, Q.; Han, M.; Tang, A.; Zhang, Y.; Luo, X.; Shen, J.; Wang, W.; Li, K.; et al. Changes of nitrogen deposition in China from 1980 to 2018. Environ. Int. 2020, 144, 106022. [Google Scholar] [CrossRef]
- Chernobrovkina, N.P.; Robonen, E.V.; Igotti, S.A.; Dorofeeva, O.S.; Shengelia, I.D. The Effect of Supply of Soils with Boron on the Growth of Pinus sylvestris Seedlings. Lesovedenie 2007, 5, 69–76. (In Russian) [Google Scholar]
- Dugger, W.M. Boron in plant metabolism. In Encyclopedia of Plant Physiology; Springer: Berlin/Heidelberg, Germany, 1983; Volume 15, pp. 626–650. [Google Scholar]
- Brown, P.H.; Shelp, B.J. Boron Mobility in plants. Plant Soil 1997, 193, 85–101. [Google Scholar] [CrossRef]
- Nordin, A.; Uggla, C.; Nasholm, T. Nitrogen forms in bark, wood and foliage of nitrogen-fertilized Pinus sylvestris. Tree Physiol. 2001, 21, 59–64. [Google Scholar] [CrossRef] [PubMed]
- Warren, C.R.; Adams, M.A. Phosphorus affects growth and partitioning of nitrogen to Rubisco in Pinus pinaster. Tree Physiol. 2002, 22, 11–19. [Google Scholar] [CrossRef] [PubMed]
- Slocum, R.D. Genes, enzymes and regulation of Arg biosynthesis in plants. Plant Physiol. Biochem. 2005, 43, 729–745. [Google Scholar] [CrossRef] [PubMed]
- Warren, C.R.; Dreyer, E.; Adams, M.A. Photosynthesis-Rubisco relationships in foliage of Pinus sylvestris in response to nitrogen supply and the proposed role of Rubisco and amino acids as nitrogen stores. Trees Struct. Funct. 2003, 17, 359–366. [Google Scholar] [CrossRef]
- Borek, S.; Morkunas, I.; Ratajczak, W.; Ratajczak, L. Metabolism of amino acids in germinating yellow lupin seeds—III. Breakdown of Arg in sugar-starved organs cultivated in vitro. Acta Physiol. Plant. 2001, 23, 141–148. [Google Scholar] [CrossRef]
- Camacho-Cristobal, J.J.; Gonzalez-Fontes, A. Boron deficiency causes a drastic decrease in nitrate content and nitrate reductase activity, and increases the content of carbohydrates in leaves from tobacco plants. Planta 1999, 209, 528–536. [Google Scholar] [CrossRef]
- Camacho-Cristobal, J.J.; Herrera-Rodriguez, M.B.; Beato, V.M.; Rexach, J.; Navarro-Gochicoa, M.T.; Maldonado, J.M.; González-Fontes, A. The expression of several cell wall-related genes in Arabidopsis roots is down-regulated under boron deficiency. Envir. Exp. Bot. 2008, 63, 351–358. [Google Scholar] [CrossRef]
- Winter, G.; Todd, C.D.; Trovato, M.; Forlani, G.; Funck, D. Physiological implications of Arg metabolism in plants. Front. Plant Sci. 2015, 6, 534. [Google Scholar] [CrossRef]
- Robonen, E.V.; Chernobrovkina, N.P.; Makarova, T.N.; Korotky, V.P.; Prytkov, Y.u.N.; Marisov, S.S. Accumulation of L-Arginine in Scots Pine Needles and Its Distribution over the Crown Under Regulation of Nitrogen and Boron Supply. Bull. High. Educ. Inst. Lesn. Zhurnal 2014, 3, 67–78. [Google Scholar]





| Variable | Mean | ±SE | Vmin | Vmax |
|---|---|---|---|---|
| Stocking rate, 1 k st.—1000 stems | 3.10 | - | - | - |
| Diameter at breast height, D | 6.20 | 0.154 | 5.00 | 8.30 |
| Tree height, h | 5.53 | 0.116 | 4.40 | 6.45 |
| Stand basal area all trees, m2·ha−1 (BA) | 9.35 | 0.655 | 6.08 | 16.76 |
| Relative basal area all trees, (BAr) | 0.64 | 0.045 | 0.42 | 1.15 |
| Volume, m3·ha−1 (V) | 34.00 | 2.30 | - | - |
| Quality class, Q | II, 5 | - | - | - |
| Tree age, years | 16 | - | - | - |
| Nitrogen, % DW needles | 1.3 | 0.1 | 1.2 | 1.4 |
| Boron, μg g−1 DW needles | 16.0 | 0.2 | 15.9 | 16.2 |
| H | D, cm | pH KCl | V * | C Org * | N * | K2O ** | P2O5 ** | B *** | |||||||
|---|---|---|---|---|---|---|---|---|---|---|---|---|---|---|---|
| M | SE | M | SE | M | SE | M | SE | M | SE | M | SE | M | SE | ||
| O | 0–1 | 3.7 | 0.1 | 0 | 10.7 | 0.3 | 0.29 | 0.05 | 52.6 | 11.4 | 10.34 | 2.6 | 0.3 | 0.04 | |
| EBHtur | 1–10 | 3.9 | 0.1 | 0 | 2.5 | 0.3 | 0.04 | 0.01 | 1.7 | 0.03 | 5.2 | 0.6 | 0.3 | 0.02 | |
| BF | 10–25 | 4.6 | 0.1 | 0 | 0.7 | 0.1 | 0.1 | 0.05 | 1.3 | 0.2 | 15.2 | 1.3 | 0.2 | 0.01 | |
| BC | 25–88 | 4.9 | 0.1 | 27.2 | 7.5 | 0.3 | 0.1 | 0.03 | 0.01 | 1.3 | 0.2 | 14.9 | 2.6 | <0.01 | |
| C | >88 | 4.8 | 0.2 | 31.5 | 10.3 | 0.32 | 0.03 | 0.1 | 0.05 | 1.8 | 0.6 | 17.5 | 3.6 | <0.01 | |
| N0 | N1 | N2 | N3 | N4 | N5 | N6 | N7 | N8 | N9 | N10 | |
|---|---|---|---|---|---|---|---|---|---|---|---|
| B0 | 0/0 | 0/100 | 0/200 | 0/300 | 0/400 | 0/500 | 0/600 | 0/700 | 0/800 | 0/900 | 0/1000 |
| B3 | 3/0 | 3/100 | 3/200 | 3/300 | 3/400 | 3/500 | 3/600 | 3/700 | 3/800 | 3/900 | 3/1000 |
| B6 | 6/0 | 6/100 | 6/200 | 6/300 | 6/400 | 6/500 | 6/700 | 6/700 | 6/800 | 6/900 | 6/1000 |
| Treatment | Regressive Equation | R2 |
|---|---|---|
| September 2014 | ||
| B0 | y = 9 ×10−10x4 − 2 × 10−6x3 + 0.0019x2 − 0.3177x + 20.476 | 0.8986 |
| B3 | y = 6 × 10−10x4 − 1 × 10−6x3 + 0.0004x2 + 0.2673x + 3.4668 | 0.8986 |
| B6 | y = −1 × 10−7x3 + 0.00026x2 + 8.5814 | 0.8986 |
| March 2015 | ||
| B0 | y = 2 × 10−9x4 − 3 × 10−6x3 + 0.0013x2 + 0.034x + 5.780 | 0.9164 |
| B3 | y = 2 × 10−9x4 − 3 × 10−6x3 + 0.001x2 + 0.3066x − 1.3232 | 0.8804 |
| B6 | y = 1 × 10−7x3 + 0.0004x2 + 0.4149x + 8.1520 | 0.8363 |
| Needle Arg Concentration, μmol g−1 DW | t-Statistic | ||||||||
|---|---|---|---|---|---|---|---|---|---|
| N, kg ga−1 | B0 | B3 | B6 | p-Value B0–B3 | p-Value B0–B6 | p-Value B3–B6 | |||
| M | ±SE | M | ±SE | M | ±SE | ||||
| September 2014 | |||||||||
| 0 | 9.2 a | 0.64 | 9.1 a | 0.64 | 9.3 a | 0.65 | 0.802 | ||
| 100 | 25.9 a | 1.81 | 17.2 b | 1.20 | 17.2 b | 1.20 | 0.001 | 0.001 | 0.947 |
| 200 | 28.7 a | 2.01 | 74.7 b | 5.23 | 27.6 a | 1.93 | <<0.05 | 0.393 | <<0.05 |
| 300 | 17.2 a | 1.20 | 102.3 b | 7.16 | 46 c | 3.22 | <<0.05 | <<0.05 | <<0.05 |
| 400 | 46 a | 3.22 | 96.6 b | 6.76 | 69 c | 4.83 | 0.001 | 0.001 | 0.001 |
| 500 | 120.7 a | 8.45 | 144.3 b | 10.10 | 73.6 c | 5.15 | 0.044 | 0.000 | 0.000 |
| 600 | 145 a | 10.15 | 131 a | 9.17 | 57.5 b | 4.03 | 0.202 | 0.000 | 0.001 |
| 700 | 140 a | 9.80 | 123.6 ac | 8.65 | 106.3 c | 7.44 | 0.137 | 0.003 | 0.021 |
| 800 | 120.7 a | 8.45 | 131 a | 9.17 | 106.3 b | 7.44 | 0.264 | 0.036 | 0.007 |
| 900 | 146 a | 10.22 | 120.7 a | 8.45 | 103.4 b | 7.24 | 0.050 | 0.001 | 0.020 |
| 1000 | 141.4 a | 9.90 | 109.2 b | 7.64 | 100 b | 7.00 | 0.021 | 0.001 | 0.098 |
| March 2015 | |||||||||
| 0 | 8.6 a | 0.60 | 8.5 a | 0.60 | 8.7 a | 0.61 | 0.893 | ||
| 100 | 20.1 a | 1.41 | 14.4 b | 1.01 | 20.2 a | 1.41 | 0.016 | 0.954 | 0.015 |
| 200 | 28.7 a | 2.01 | 83.3 b | 5.83 | 20.1 c | 1.41 | 0.000 | 0.013 | 0.000 |
| 300 | 80.5 a | 5.64 | 137.9 b | 9.65 | 99.4 c | 6.96 | 0.003 | 0.023 | 0.017 |
| 400 | 104.6 a | 7.32 | 126.4 a | 8.85 | 121.8 a | 8.53 | 0.083 | ||
| 500 | 107.5 a | 7.53 | 175.9 b | 12.31 | 133.3 c | 9.33 | 0.005 | 0.049 | 0.029 |
| 600 | 86.2 a | 6.03 | 155.2 b | 10.86 | 143.7 b | 10.06 | 0.003 | 0.004 | 0.400 |
| 700 | 83.3 a | 5.83 | 109.2 bc | 7.64 | 104 ac | 7.28 | 0.031 | 0.055 | 0.583 |
| 800 | 94.8 a | 6.64 | 135.1 bc | 9.46 | 117.8 ac | 8.25 | 0.013 | 0.058 | 0.170 |
| 900 | 102.3 a | 7.16 | 139.1 b | 9.74 | 162.1 b | 11.35 | 0.021 | 0.006 | 0.136 |
| 1000 | 116.1 a | 8.13 | 127.6 a | 8.93 | 143.7 a | 10.06 | 0.313 | ||
| Variant of Boron Level | α | β | R2 |
|---|---|---|---|
| B0 | 1.3853 | 1.4469 | 0.9334 |
| B3 | 4.8085 | 1.0469 | 0.4979 |
| B6 | 0.8969 | 1.7335 | 0.4399 |
| SUM | 2.3642 | 1.2992 | 0.6985 |
Publisher’s Note: MDPI stays neutral with regard to jurisdictional claims in published maps and institutional affiliations. |
© 2022 by the authors. Licensee MDPI, Basel, Switzerland. This article is an open access article distributed under the terms and conditions of the Creative Commons Attribution (CC BY) license (https://creativecommons.org/licenses/by/4.0/).
Share and Cite
Chernobrovkina, N.P.; Robonen, E.V.; Akhmetova, G.V.; Nikerova, K.M.; Pekkoev, A.N.; Zaitseva, M.I.; Kolesnikov, G.N. Nitrogen and Boron Dosage Effects on Arginine Accumulation in Scots Pine Needles. Forests 2022, 13, 417. https://doi.org/10.3390/f13030417
Chernobrovkina NP, Robonen EV, Akhmetova GV, Nikerova KM, Pekkoev AN, Zaitseva MI, Kolesnikov GN. Nitrogen and Boron Dosage Effects on Arginine Accumulation in Scots Pine Needles. Forests. 2022; 13(3):417. https://doi.org/10.3390/f13030417
Chicago/Turabian StyleChernobrovkina, Nadezhda P., Elena V. Robonen, Gulnara V. Akhmetova, Ksenia M. Nikerova, Aleksey N. Pekkoev, Maria I. Zaitseva, and Gennady N. Kolesnikov. 2022. "Nitrogen and Boron Dosage Effects on Arginine Accumulation in Scots Pine Needles" Forests 13, no. 3: 417. https://doi.org/10.3390/f13030417
APA StyleChernobrovkina, N. P., Robonen, E. V., Akhmetova, G. V., Nikerova, K. M., Pekkoev, A. N., Zaitseva, M. I., & Kolesnikov, G. N. (2022). Nitrogen and Boron Dosage Effects on Arginine Accumulation in Scots Pine Needles. Forests, 13(3), 417. https://doi.org/10.3390/f13030417

