Sign in to use this feature.

Years

Between: -

Subjects

remove_circle_outline
remove_circle_outline
remove_circle_outline
remove_circle_outline
remove_circle_outline
remove_circle_outline
remove_circle_outline
remove_circle_outline
remove_circle_outline

Journals

remove_circle_outline
remove_circle_outline
remove_circle_outline
remove_circle_outline
remove_circle_outline
remove_circle_outline
remove_circle_outline
remove_circle_outline
remove_circle_outline
remove_circle_outline
remove_circle_outline
remove_circle_outline
remove_circle_outline
remove_circle_outline
remove_circle_outline
remove_circle_outline
remove_circle_outline
remove_circle_outline
remove_circle_outline
remove_circle_outline
remove_circle_outline
remove_circle_outline
remove_circle_outline
remove_circle_outline
remove_circle_outline
remove_circle_outline

Article Types

Countries / Regions

remove_circle_outline
remove_circle_outline
remove_circle_outline
remove_circle_outline
remove_circle_outline
remove_circle_outline

Search Results (3,997)

Search Parameters:
Keywords = boron

Order results
Result details
Results per page
Select all
Export citation of selected articles as:
18 pages, 2185 KB  
Article
Boosting NH3-Selective Catalytic Reduction of NOx by Cooperation of Nb and Boron Nitride to V-Based Catalyst over a Wide Temperature Window
by Bora Jeong, Myeung-Jin Lee, Ho Sung Jang, Sunmi Shin, Tae-hyung Kim, Heesoo Lee and Hong-Dae Kim
Appl. Nano 2026, 7(1), 9; https://doi.org/10.3390/applnano7010009 (registering DOI) - 19 Mar 2026
Abstract
The commercialization of V-based catalysts for the selective catalytic reduction of NOx by NH3 (NH3-SCR) is hindered by their narrow operating temperature window, insufficient low-temperature (LT) activity, and severe SO2-to-SO3 oxidation. To bridge this gap, we herein [...] Read more.
The commercialization of V-based catalysts for the selective catalytic reduction of NOx by NH3 (NH3-SCR) is hindered by their narrow operating temperature window, insufficient low-temperature (LT) activity, and severe SO2-to-SO3 oxidation. To bridge this gap, we herein introduced Nb and hexagonal BN into a VW/TiO2 system to simultaneously enhance its LT SCR activity, suppress undesired side reactions, and improve durability. Nb incorporation promoted V5+/V4+ redox cycling and enhanced lattice oxygen mobility, thus reducing the apparent activation energy and suppressing SO2 oxidation at elevated temperatures. However, excessive Nb loading induced NH3 oxidation and N2O formation. This drawback was mitigated by introducing BN as a dispersion promoter, which helped secure high catalytic performance at a reduced Nb content. The VWNb/Ti-BN catalyst achieved superior NOx conversion and N2 selectivity over a wide temperature range and benefited from notably suppressed NH3 oxidation and SO2-to-SO3 oxidation. Kinetic analysis revealed that Nb primarily lowered the reaction energy barrier via redox property enhancement, whereas BN accelerated surface reaction turnover by stabilizing and dispersing active acidic sites, markedly increasing the turnover frequency without reducing the activation energy. In situ spectroscopic analysis confirmed the accelerated consumption of adsorbed NH3 species and enhanced formation of reactive NOx intermediates, indicating SCR pathway enhancement. After aging in the presence of SO2 and H2O, the best-performing honeycomb-type monolithic catalyst retained and NOx conversion of >80%, demonstrating excellent long-term durability under practical conditions. A composition-aware machine learning model based on log-ratio-transformed variables quantitatively identified the synergistic balance among V, Nb, W, BN, and TiO2 as the dominant factor governing LT SCR performance. Thus, this work provides valuable mechanistic insights and a strategy for designing wide-temperature-window SCR catalysts with improved activity, selectivity, and resistance to sulfur poisoning. Full article
Show Figures

Graphical abstract

59 pages, 10722 KB  
Review
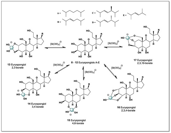
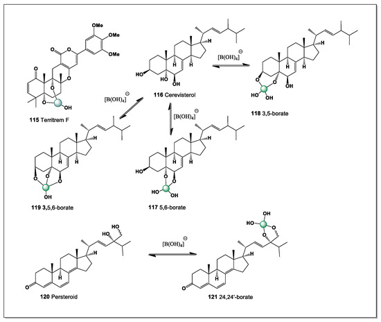
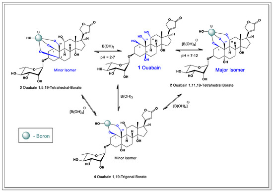
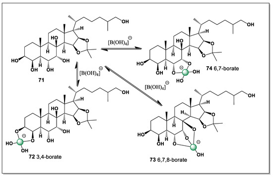
Life with Boron: Steroid Architecture and the Chemistry of Marine Boronosteroids
by Valery M. Dembitsky, Alexander O. Terent’ev, Sergey V. Baranin and Romulus I. Scorei
Mar. Drugs 2026, 24(3), 113; https://doi.org/10.3390/md24030113 (registering DOI) - 19 Mar 2026
Abstract
Marine invertebrates produce a remarkable diversity of polyhydroxylated steroids and secosteroids whose structural features—particularly vicinal (1,2-)diols, 1,3-diols, and clustered hydroxyl arrays—make them well suited for coordination with boron species. In the marine environment, where boron is abundant, chemically stable, and predominantly present as [...] Read more.
Marine invertebrates produce a remarkable diversity of polyhydroxylated steroids and secosteroids whose structural features—particularly vicinal (1,2-)diols, 1,3-diols, and clustered hydroxyl arrays—make them well suited for coordination with boron species. In the marine environment, where boron is abundant, chemically stable, and predominantly present as borate under mildly alkaline conditions, such interactions are not only plausible but may be widespread. This review examines the chemistry of boron–steroid complexation in marine systems, emphasizing how rigid steroidal frameworks preorganize diol motifs to form reversible yet stable borate esters under environmentally relevant conditions. We discuss how polyhydroxy steroids may exist in dynamic equilibria between free and boron-bound forms, with speciation governed by pH, boron concentration, and local microenvironmental factors rather than enzymatic control. Boron complexation can modulate key physicochemical properties, including solubility, conformation, and membrane affinity, thereby influencing the biological activity of marine steroids without covalent modification of the carbon framework. By integrating examples from sponges, echinoderms, and corals together with well-characterized model polyols, this review highlights boron complexation as an underrecognized but potentially important factor influencing the structure, function, and bioactivity of marine steroid metabolites. Full article
(This article belongs to the Section Structural Studies on Marine Natural Products)
Show Figures

Graphical abstract

61 pages, 1495 KB  
Review
Boron’s Double Edge—Antibiotics, Toxins, and the Fine Line Between Them
by Valery M. Dembitsky, Alexander O. Terent’ev, Sergey V. Baranin and Ion Romulus Scorei
Molecules 2026, 31(6), 1021; https://doi.org/10.3390/molecules31061021 - 18 Mar 2026
Abstract
Boron is a chemically distinctive bioelement whose electron-deficient structure enables reversible coordination with oxygen-rich functional groups such as diols and hydroxyls. This property allows boron to modulate molecular stability, conformation, and biological reactivity, giving rise to both beneficial pharmacological effects and toxicological outcomes. [...] Read more.
Boron is a chemically distinctive bioelement whose electron-deficient structure enables reversible coordination with oxygen-rich functional groups such as diols and hydroxyls. This property allows boron to modulate molecular stability, conformation, and biological reactivity, giving rise to both beneficial pharmacological effects and toxicological outcomes. This review examines the dual biological role of boron through the framework of bioactive boron-containing natural products and natural compounds capable of forming reversible boron complexes. Particular attention is given to naturally occurring boron-containing antibiotics, including the polyketide macrodiolides boromycin, aplasmomycin, tartrolons, and hyaboron, where boron plays a direct structural and functional role in antimicrobial activity. These compounds demonstrate how boron coordination can influence ion transport, membrane interactions, and molecular assembly, contributing to potent antibacterial properties. Beyond intrinsically boron-containing metabolites, many natural antibiotics and toxins possess oxygen-rich architectures capable of forming transient borate complexes through vicinal 1,2-diol motifs. Examples include polyene macrolide antibiotics such as amphotericin B, fungichromin, and nystatin, as well as tetracyclines, rifamycins, and macrolides such as sorangicin A, where boron coordination may affect solubility, aggregation, ionophoric behavior, and biological selectivity. Similar chemistry is observed in marine neurotoxins and polyether toxins—including tetrodotoxin, saxitoxin derivatives, azaspiracids, pectenotoxins, ciguatoxins, and gambierones—whose hydroxyl-rich frameworks enable reversible interactions with boron species present in seawater. Such complexation may enhance aqueous stability and contribute to trophic transfer and bioaccumulation within marine ecosystems. By framing boron as a molecular “double edge,” this review integrates chemical, biological, and environmental perspectives to highlight how boron coordination can simultaneously enhance antimicrobial activity while influencing toxicity and ecological persistence. Recognizing the role of boron in shaping the activity of natural products provides new insight into antibiotic function, toxin behavior, and the broader impact of boron chemistry in biological systems. Full article
20 pages, 569 KB  
Review
Boron Neutron Capture Therapy for High-Grade CNS Tumors: Mechanisms, Carriers, and Clinical Progress: A Narrative Review
by Tugce Kutuk, Ece Atak, Marshall Harrell, Raju R. Raval, Fatemeh Fekrmandi, Simeng Zhu, Sasha Beyer, Pawan K. Singh, Pierre Giglio, Hamid Mohtashami, Kyle C. Wu, James Bradley Elder, Sean S. Mahase, Raj Singh, Arnab Chakravarti and Joshua D. Palmer
Int. J. Mol. Sci. 2026, 27(6), 2765; https://doi.org/10.3390/ijms27062765 - 18 Mar 2026
Abstract
Boron neutron capture therapy (BNCT) is a biologically targeted, high–linear energy transfer radiotherapy that selectively delivers cytotoxic α-particles to boron-loaded tumor cells and has re-emerged with the development of hospital-compatible accelerator neutron sources and improved boron carriers. We performed a structured literature review [...] Read more.
Boron neutron capture therapy (BNCT) is a biologically targeted, high–linear energy transfer radiotherapy that selectively delivers cytotoxic α-particles to boron-loaded tumor cells and has re-emerged with the development of hospital-compatible accelerator neutron sources and improved boron carriers. We performed a structured literature review of PubMed, Embase, and the Cochrane Library through October 2025 to summarize the radiobiological rationale, boron delivery strategies, and clinical outcomes of BNCT in glioblastoma (GBM) and other high-grade central nervous system tumors. Eligible clinical and translational studies were screened independently, and data on patient populations, boron agents, neutron source technologies, dosimetry, survival, response, and toxicity were extracted. Contemporary series and phase II trials indicate that BNCT is technically feasible and generally well tolerated, with encouraging survival outcomes in selected newly diagnosed and recurrent GBM, meaningful activity in recurrent high-grade meningiomas, and acceptable safety in limited pediatric cohorts. Current practice relies primarily on second-generation carriers such as boronophenylalanine and sodium borocaptate, while third-generation molecular and nanocarrier platforms remain in preclinical development. Overall, BNCT represents a promising high-LET, pharmacologically targeted modality for heavily pretreated and radioresistant CNS tumors, and ongoing prospective studies are needed to define its comparative effectiveness and optimal integration into patient care. Full article
Show Figures

Figure 1

29 pages, 12096 KB  
Article
Mechanical, Viscoelastic, Thermal and Morphological Properties of Hexagonal Boron Nitride (h-BN)-Doped Polyester Nano-Gelcoat Under Hydrothermal Aging
by Gokhan Demircan, Mustafa Ozen, Cennet Cakmak, Busra Nur Celik, Abuzer Acikgoz and Murat Kisa
Polymers 2026, 18(6), 743; https://doi.org/10.3390/polym18060743 - 18 Mar 2026
Abstract
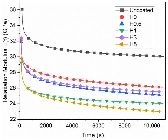
Fiber-reinforced polymer (FRP) composites used in marine environments suffer progressive degradation due to hydrothermal aging, which undermines their structural, physical and morphological integrity. In this study, a novel polyester-based nano-gelcoat reinforced with hexagonal boron nitride (h-BN) nanoparticles was developed as an advanced FRP [...] Read more.
Fiber-reinforced polymer (FRP) composites used in marine environments suffer progressive degradation due to hydrothermal aging, which undermines their structural, physical and morphological integrity. In this study, a novel polyester-based nano-gelcoat reinforced with hexagonal boron nitride (h-BN) nanoparticles was developed as an advanced FRP composite coating for marine applications. Glass fiber/epoxy laminates coated with h-BN/polyester nano-gelcoat were subjected to accelerated hydrothermal aging (immersion in 80 °C artificial seawater for 90 days). Mechanical (tensile/flexural tests), viscoelastic (creep and stress relaxation), thermal (DSC/TGA), and morphological (optical microscopy/SEM) analyses were performed on aged and unaged samples. The h-BN-enhanced nano-gelcoat increased the composite’s resistance to hydrothermal aging. In particular, the optimally doped nano-gelcoat (~1 wt% h-BN) retained the highest tensile and flexural strength and modulus, reducing the property losses seen in the unreinforced system by about half (flexural strength 531.29 MPa vs. 1070.52 MPa for the uncoated laminate). Thermal analysis indicated elevated decomposition onset temperatures and higher char yields with h-BN, confirming improved thermal stability. Morphological observations revealed well-dispersed h-BN at 1 wt% with minimal microcracking, whereas higher filler loadings led to agglomeration. Additionally, a TOPSIS-based multi-criteria decision-making (MCDM) analysis was performed across mechanical, viscoelastic, and thermal metrics, which identified the 1 wt% h-BN coating as the most balanced formulation after hydrothermal aging. Full article
(This article belongs to the Section Polymer Composites and Nanocomposites)
Show Figures

Figure 1

15 pages, 1910 KB  
Article
Preliminary Investigation of Foliar Application of Boron on Pollen Viability and Development in the Cultivation of Red Clover in the Field
by Miglena Revalska, Mariana Radkova, Aneta Lyubenova, Galina Naydenova and Anelia Iantcheva
Agriculture 2026, 16(6), 681; https://doi.org/10.3390/agriculture16060681 - 18 Mar 2026
Abstract
Red clover (Trifolium pratense L.) is a crop used as a forage that possesses an exceptional nutritional profile and digestibility. Unfortunately, this crop has low seed yield. Within the framework of the “Legume Generation” EC-funded project, our team aimed to investigate the [...] Read more.
Red clover (Trifolium pratense L.) is a crop used as a forage that possesses an exceptional nutritional profile and digestibility. Unfortunately, this crop has low seed yield. Within the framework of the “Legume Generation” EC-funded project, our team aimed to investigate the role of foliar boron application on pollen viability and pollen tube development, and to assess its overall effect on red clover cultivation. Plants of six commercial diploid red clover cultivars, Nika 11, Sofia 52, AberClaret, Milvus, Global, and S123, were field-grown and boron-treated by spraying with the commercial product “Lebasol”, 11% active water-soluble boron. To reach our purpose, the transcript levels of genes related to flower, pollen, and pollen tube development and boron transport were measured by qRT-PCR; pollen grain viability and count were assessed microscopically. For this research, eight genes were selected: Auxin Response factor (TprARF17); TprAPETALA3; Walls are thin (TprWAT1 and TprWAT2); NIPs genes (Nodulin Intrinsic Protein) TprNIP4;2, TprNIP7;1, TprNIP5;1, and TprNIP6;1. Additionally, total nitrogen content in leaves detached from field-grown boron-treated and untreated plants was assessed and compared with the expression levels of two TprNIP5;1 and TprNIP6;1 transporters. The fresh and dry biomass weight from the first and second cuts was evaluated, as well as the seed collected from the red clover plants. Seed germination percentage and vigor of seedlings were examined in vitro for both boron-treated and untreated groups of two specific cultivars. Collected data confirm that foliar application of boron affects pollen viability and plant development of red clover in the cultivation conditions of South East Europe. Full article
Show Figures

Figure 1

19 pages, 10651 KB  
Article
Mechanistic Insights into LME Crack-Induced High-Cycle Fatigue Degradation in Zn-Coated High-Strength Boron Steel
by Shaotai Feng, Ning Tan, Jianyu Zhang, Xiaodeng Wang, Ping Bao and Hongxing Zheng
Metals 2026, 16(3), 338; https://doi.org/10.3390/met16030338 - 17 Mar 2026
Abstract
Liquid metal embrittlement (LME) during hot stamping of Zn-coated high-strength steels poses significant challenges to the long-term durability of automotive components. This study investigates how ~30 μm deep LME cracks affect the mechanical behavior of Zn-coated high-strength boron steel. LME-free flat specimens were [...] Read more.
Liquid metal embrittlement (LME) during hot stamping of Zn-coated high-strength steels poses significant challenges to the long-term durability of automotive components. This study investigates how ~30 μm deep LME cracks affect the mechanical behavior of Zn-coated high-strength boron steel. LME-free flat specimens were compared with hat-shaped specimens containing LME cracks. While tensile strength and ductility exhibited minimal changes, the high-cycle fatigue limit (R = −1, 107 cycles) decreased by 10.9% from 550 MPa to 490 MPa in hat-shaped specimens. Fractographic examination revealed distinct stress-dependent crack initiation mechanisms: at high stress amplitudes (≥690 MPa), LME cracks competed with intrinsic substrate defects but did not dominate fatigue failure. In contrast, at moderate-to-low stress amplitudes (≤630 MPa), LME cracks dominated fatigue degradation through a multi-site crack initiation tendency. El Haddad analysis positioned these cracks at the short-to-long crack transition boundary (ll0). Preliminary fracture mechanics analysis reveals that conventional single-crack LEFM models systematically overestimate the fatigue threshold stress for LME-affected specimens, a discrepancy qualitatively attributed to the high surface density and morphological complexity of LME crack networks and to chemically assisted grain boundary weakening induced by liquid Zn infiltration—effects not captured by standard fracture mechanics frameworks. These results establish the stress-dependent mechanisms governing LME crack-induced fatigue degradation and provide a mechanistic basis for the development of more accurate fatigue life prediction methods for Zn-coated hot-stamped high-strength steels. Full article
(This article belongs to the Special Issue Advanced High Strength Steels: Properties and Applications)
Show Figures

Figure 1

14 pages, 992 KB  
Article
Synthesis of Antioxidative p-Terphenyl Dimers via Boronic Acid-Mediated C–C Coupling
by Yong Wang, Yanchao Xu, Linmeng Chen, Dan Wu, Peng Fu, Liping Wang and Weiming Zhu
Int. J. Mol. Sci. 2026, 27(6), 2726; https://doi.org/10.3390/ijms27062726 - 17 Mar 2026
Abstract
By investigating the conditions for the C–C coupling reaction of p-terphenyls, we successfully synthesized C–C coupled dimeric p-terphenyls for the first time using a reaction system involving air, silica gel, and B(OH)3. Additionally, we developed a novel method to [...] Read more.
By investigating the conditions for the C–C coupling reaction of p-terphenyls, we successfully synthesized C–C coupled dimeric p-terphenyls for the first time using a reaction system involving air, silica gel, and B(OH)3. Additionally, we developed a novel method to synthesize furan-fused p-terphenyl dimers through solvent-free reactions by creatively applying rotary evaporation and heating. Compounds 612, 16, 20, and 22 demonstrated DPPH radical scavenging activity that was either stronger than or comparable to the positive control (vitamin C), with IC50 values ranging from 0.14 to 4.61 μM. Compounds 422 also exhibited significant activity against α-glucosidase, with IC50 values ranging from 0.37 to 17.9 μM, exceeding the efficacy of the positive control, acarbose. Moreover, compounds 614, 1618, 21, and 22 demonstrated greater inhibitory activity against PTP1B compared with the positive control, oleanolic acid, with IC50 values between 0.30 and 9.17 μM. These findings highlight their potential as promising leads or dietary supplements for the treatment and prevention of diabetes, as well as possible application as oxidative agents in food preservation. Full article
(This article belongs to the Section Biochemistry)
Show Figures

Figure 1

15 pages, 1641 KB  
Article
A Multi-Scale CFD Model of Solidification and Heat Transfer in Compact Strip Production (CSP) Casting of Boron-Alloyed Steel
by Kitengye Mulumbu Amand, Mbayo Kabongo Cabral and Mbula Ngoy Nadege
Metals 2026, 16(3), 337; https://doi.org/10.3390/met16030337 - 17 Mar 2026
Abstract
The Compact Strip Production (CSP) process is the latest version of thin-slab continuous casting, combining both casting and rolling, thus improving the CSP process’s energy efficiency and the strip quality. Modeling the combined phenomena of fluid flow, heat transfer and solidification in CSP [...] Read more.
The Compact Strip Production (CSP) process is the latest version of thin-slab continuous casting, combining both casting and rolling, thus improving the CSP process’s energy efficiency and the strip quality. Modeling the combined phenomena of fluid flow, heat transfer and solidification in CSP casting remains an unresolved multiphysics problem, particularly when boron and other alloying elements enter the system and modify the thermal properties and solidification behavior. In this study, we propose a more integrated approach by executing a computational fluid dynamics (CFD) model at different scales, blending macroscale fluid flow and heat transfer with meso-solidification that is molten in a CSP casting model. For the macroscale model, we solve the Reynolds-Averaged Navier–Stokes (RANS) equations with one of the energy equations, while the mesoscale model uses the solid fraction evolution algorithm to model the multiphase latent heat of solidification and the motion of solid and liquid phases of a non-equilibrium system. Mold heat flux, free surface cooling and secondary spray zones were used to set the boundary conditions. The model simulates temperature distributions at different times, the solid fraction below the liquidus and the trends in shell growth for different process parameters and the time profile of the solidification. The improved prediction capability of the model, demonstrated by the results, opens the opportunity to reduce the process parameters of casting speed and cooling to defect-free results. Comparisons with the most recent studies on continuous casting processes (including CSP and thin slabs) demonstrate alignment with the thermal gradient and solidification behavior characteristics. The thermal gradients and solidification behavior characteristics were obtained. The research yields the basis for developing microstructure and segregation models with boron-alloyed steels. Full article
Show Figures

Figure 1

13 pages, 816 KB  
Article
Catalytic Activity of Multi-Boron-Doped Graphene from First Principles
by Rita Maji and Joydev De
ChemEngineering 2026, 10(3), 42; https://doi.org/10.3390/chemengineering10030042 - 17 Mar 2026
Abstract
Metal-free electrodes are essential to promote electrochemical reactions, the core of sustainable energy resources. In search of better carbon-based electrode materials, we have explored several spatial arrangements of boron (B) within proximity in the graphene lattice, as evident in recent experimental observations. Multi-boron [...] Read more.
Metal-free electrodes are essential to promote electrochemical reactions, the core of sustainable energy resources. In search of better carbon-based electrode materials, we have explored several spatial arrangements of boron (B) within proximity in the graphene lattice, as evident in recent experimental observations. Multi-boron substitution enriches sites by tuning electronic structure and strengthens binding of key intermediates of oxygen reduction, oxygen evolution, and hydrogen evolution reactions facilitating electrocatalytic performance. Our optimal B-doped site shows near thermo-neutral H adsorption (ΔGH*±0.4eV), consistent with experiments. The overpotentials are highly sensitive to the dopant motifs and the spread among configurations shows that experimentally accessible multi-B doping can serve as a practical active site engineering knob to achieve optimized multi-functional performance. In parallel, we find that specific multi-B configurations selectively capture and pre-activate NOx (NO/NO2) under ambient conditions while retaining weak affinity for NH3. These sites also interact with SO2 and related hazardous species, enabling selective air filtration and targeted NOx control within the electrocatalytic scope of this study. Full article
Show Figures

Figure 1

15 pages, 5982 KB  
Article
Cyclic Voltammetry-Assisted Electrodeposition of TiO2/PANI Thin Films on Boron-Doped Diamond and Fluorine-Doped Tin Oxide: Effect of Composition on Interfacial and Electrochemical Properties
by Robert Josep Villanueva-Silva, Ulises Páramo-García, Ricardo García-Alamilla, Luis Alejandro Macclesh del Pino-Pérez and Joel Moreno-Palmerin
Surfaces 2026, 9(1), 29; https://doi.org/10.3390/surfaces9010029 - 17 Mar 2026
Abstract
This study presents the successful electrodeposition of polyaniline (PANI) and TiO2/PANI composites on boron-doped diamond (BDD) and fluorine-doped tin oxide (FTO) substrates via cyclic voltammetry. Using 20 scan cycles in 0.5 M H2SO4, we synthesized thin films [...] Read more.
This study presents the successful electrodeposition of polyaniline (PANI) and TiO2/PANI composites on boron-doped diamond (BDD) and fluorine-doped tin oxide (FTO) substrates via cyclic voltammetry. Using 20 scan cycles in 0.5 M H2SO4, we synthesized thin films with tailored electrochemical properties. The formation of PANI was confirmed by characteristic redox peaks in the voltammograms, while FTIR spectroscopy identified key functional groups and bonding interactions between TiO2 and PANI. Morphological analysis via optical and scanning electron microscopy revealed uniform but cracked surfaces influenced by TiO2 loading. Composite electrodes with molar ratios of 2:1, 4:1, and 6:1 (TiO2:PANI) were compared, showing increased titanium content with higher ratios, as confirmed by EDS. This work offers a reproducible route for designing modified electrodes with enhanced interfacial properties. Full article
Show Figures

Graphical abstract

34 pages, 6017 KB  
Review
Exploring Thermally Conductive and Form-Stable Phase Change Composites: A Review of Recent Advances and Thermal Energy Applications
by Hong Guo, Boyang Hu, Huiting Shan and Xiao Yang
Materials 2026, 19(6), 1156; https://doi.org/10.3390/ma19061156 - 16 Mar 2026
Abstract
The global population explosion and accelerated industrialization have led to an increasing shortage of fossil fuels and environmental contamination, underscoring the urgent need to develop innovative energy storage technologies to improve energy utilization efficiency. As pivotal components in thermal energy storage (TES) systems, [...] Read more.
The global population explosion and accelerated industrialization have led to an increasing shortage of fossil fuels and environmental contamination, underscoring the urgent need to develop innovative energy storage technologies to improve energy utilization efficiency. As pivotal components in thermal energy storage (TES) systems, phase change materials (PCMs) enable spatiotemporal matching between thermal energy supply and demand through latent heat absorption and release during phase transitions. Organic PCMs are considered ideal candidates for thermal energy storage due to their high energy storage density, stable phase transition temperature, low supercooling, and negligible phase separation. However, inherent drawbacks such as low thermal conductivity, liquid leakage, limited light absorption, and lack of functionality have hindered their widespread application in advanced thermal management systems. Herein, we systematically summarize cutting-edge functionalization strategies for PCMs, progressing from conventional methods like thermal conductive particle blending and microencapsulation to the emerging design of 3D porous thermally conductive skeletons, including metal foams, boron nitride aerogels, carbon-based aerogels, and MXene aerogels. These frameworks not only enhance thermal transport via continuous conductive pathways and impart shape stability through capillary encapsulation but also, when integrated with photo-thermal, electro-thermal, and magneto-thermal conversion properties, enable broad applications in solar photo-thermal/photo-thermo-electric conversion, thermal management of electronics and batteries, building efficiency, and wearable thermal regulation. The review further addresses current challenges and future directions, highlighting scalable 3D framework fabrication, the shift to active thermal management, and innovative applications beyond conventional domains. By establishing a microstructure–property–application correlation, this work provides valuable insights for developing next-generation high-performance multifunctional phase change composites. Full article
(This article belongs to the Topic Advanced Composite Materials)
Show Figures

Figure 1

18 pages, 8874 KB  
Article
Influence of Boron on the Microstructural Evolution, Impact and Creep Properties Stability of IN718 Superalloy During Long-Term Aging
by Zhiyuan Wang, Yingjie Liu, Ning An, Jia Man, Xin Xin, Jianyong Li, Maocheng Ji and Wenru Sun
Materials 2026, 19(6), 1152; https://doi.org/10.3390/ma19061152 - 16 Mar 2026
Abstract
The impact of boron (B) on the microstructure evolution and stabilization of mechanical properties in the IN718 superalloy during aging at 680 °C for 3000 h is investigated. The results indicated that B had negligible effects on grain size and the intragranular γ″ [...] Read more.
The impact of boron (B) on the microstructure evolution and stabilization of mechanical properties in the IN718 superalloy during aging at 680 °C for 3000 h is investigated. The results indicated that B had negligible effects on grain size and the intragranular γ″ phase growth. In contrast, it effectively suppressed the precipitation and growth of the δ phase during long-term aging, which is attributed to grain boundary segregation of B that retards the diffusion of alloying elements. Adding B could improve the impact toughness and stability of the creep properties of the alloy. The primary mechanism is that the addition of B enhances grain boundary cohesion and suppresses the coarsening of the δ phase, while the beneficial effect of B on mechanical stability becomes negligible during the later stages of aging, as the severe coarsening of grain boundary phases offsets the enhanced grain boundary cohesion resulting from B segregation. Furthermore, the presence of slip bands was observed in the creep deformation mechanism of B-added alloys, which is likely attributable to B promoting dislocation slip at grain boundaries. With prolonged aging time, the dominant creep deformation mechanism in the B-modified alloy shifts from being primarily governed by twinning and dislocation slip to a mechanism involving twinning, stacking fault shearing γ″ phase, and dislocation slip. Full article
(This article belongs to the Section Metals and Alloys)
Show Figures

Figure 1

17 pages, 4341 KB  
Article
Single-Event Burnout Mitigation in Silicon VDMOS Power Devices: An Electro-Thermal TCAD Study
by Eusebio Rodrigo, José Rebollo, Xavier Jordà, José Camps, Llorenç Latorre and Miquel Vellvehi
Electronics 2026, 15(6), 1201; https://doi.org/10.3390/electronics15061201 - 13 Mar 2026
Viewed by 119
Abstract
Single-Event Burnout (SEB) is one of the most critical failure mechanisms in silicon power MOSFETs operating in radiation environments, particularly under heavy-ion irradiation, and often limits device operation through excessive voltage derating. In this work, SEB robustness of a silicon VDMOS power device [...] Read more.
Single-Event Burnout (SEB) is one of the most critical failure mechanisms in silicon power MOSFETs operating in radiation environments, particularly under heavy-ion irradiation, and often limits device operation through excessive voltage derating. In this work, SEB robustness of a silicon VDMOS power device is investigated using detailed electro-thermal transient simulations. The study evaluates two complementary device-level modifications: the introduction of a buffer layer between the epitaxial layer and the substrate, which has been reported in the past, and a new approach considering the incorporation of a novel highly doped boron BOX implant within the P-body region. Heavy-ion impacts are simulated using a physically based model implemented in SENTAURUS TCAD, accounting for ion energy deposition, impact position, and thermal effects. The results show that the buffer layer increases the second breakdown voltage and can suppress high-current operating points, while the BOX implant raises the parasitic BJT activation threshold by reducing the P-body resistance. When combined, both modifications lead to a significant reduction in the peak temperature reached during after-impact transients, without introducing measurable degradation of static electrical characteristics. These results demonstrate that combining buffer layer engineering with localized P-body resistance reduction is an effective strategy to improve SEB robustness in silicon VDMOS power devices without relying on excessive derating. Full article
Show Figures

Figure 1

22 pages, 6365 KB  
Article
Synthesis and Performance Evaluation of Polyamine Boron Crosslinker for Gel Fracturing Fluid
by Quande Wang, Tengfei Dong, Qi Feng, Shengming Huang, Xuanrui Zhang and Guancheng Jiang
Gels 2026, 12(3), 236; https://doi.org/10.3390/gels12030236 - 12 Mar 2026
Viewed by 88
Abstract
The fracturing development of low-permeability and ultra-low-permeability oil and gas reservoirs urgently requires a fracturing fluid that combines high performance and low damage. To overcome this challenge, this study synthesized a novel polyamine boron crosslinker (PBC) suitable for 0.2% guar gum. The molecular [...] Read more.
The fracturing development of low-permeability and ultra-low-permeability oil and gas reservoirs urgently requires a fracturing fluid that combines high performance and low damage. To overcome this challenge, this study synthesized a novel polyamine boron crosslinker (PBC) suitable for 0.2% guar gum. The molecular structure was characterized by Fourier transform infrared spectroscopy (FT-IR) and nuclear magnetic resonance hydrogen spectroscopy (1H NMR). Meanwhile, this study introduced the response surface methodology and established a second-order regression model to determine the optimal synthesis conditions (polyetheramine 10.8 g, n-butanol 7.4 g, and ethylene glycol 20.7 g) with a model prediction error of only 0.7%. The results indicated that PBC exhibited excellent performance in 0.2% guar gum. The viscosity of crosslinked gel fracturing fluid remained stable at approximately 100 mPa·s under 60 °C and 100 s−1 shear. The wall forming filtration coefficient was 2.30 × 10−4 m/s1/2, and the initial filtration was 1.30 × 10−3 m3/m2. The static settling rate was 2.4 cm·min−1, demonstrating good suspended sand capacity. Furthermore, the synergistic interaction between borate ester bond and polyetheramine in the PBC conferred dynamic reversible crosslinking and uniform network formation. This enabled high-strength, low-damage crosslinking effects at low concentrations. This study provides an efficient crosslinker solution for 0.2% guar gum, holding both theoretical and engineering significance for advancing the low-cost development of fracturing fluid. Full article
(This article belongs to the Topic Polymer Gels for Oil Drilling and Enhanced Recovery)
Show Figures

Figure 1

Back to TopTop