How Does Deforestation Affect the Growth of Cypripedium (Orchidaceae) Species? A Simulation Experiment in Northeast China
Abstract
1. Introduction
2. Materials and Methods
2.1. Study Site
2.2. Studies Species
2.3. Sample Collection
2.4. Soil Analysis
2.5. Morphological Trait Measurement
2.6. Anatomical Traits Measurement
2.7. Leaf Photosynthesis Measurements
2.8. Data Analysis
3. Results
3.1. Biological Characteristics
3.2. Morphology and Anatomy
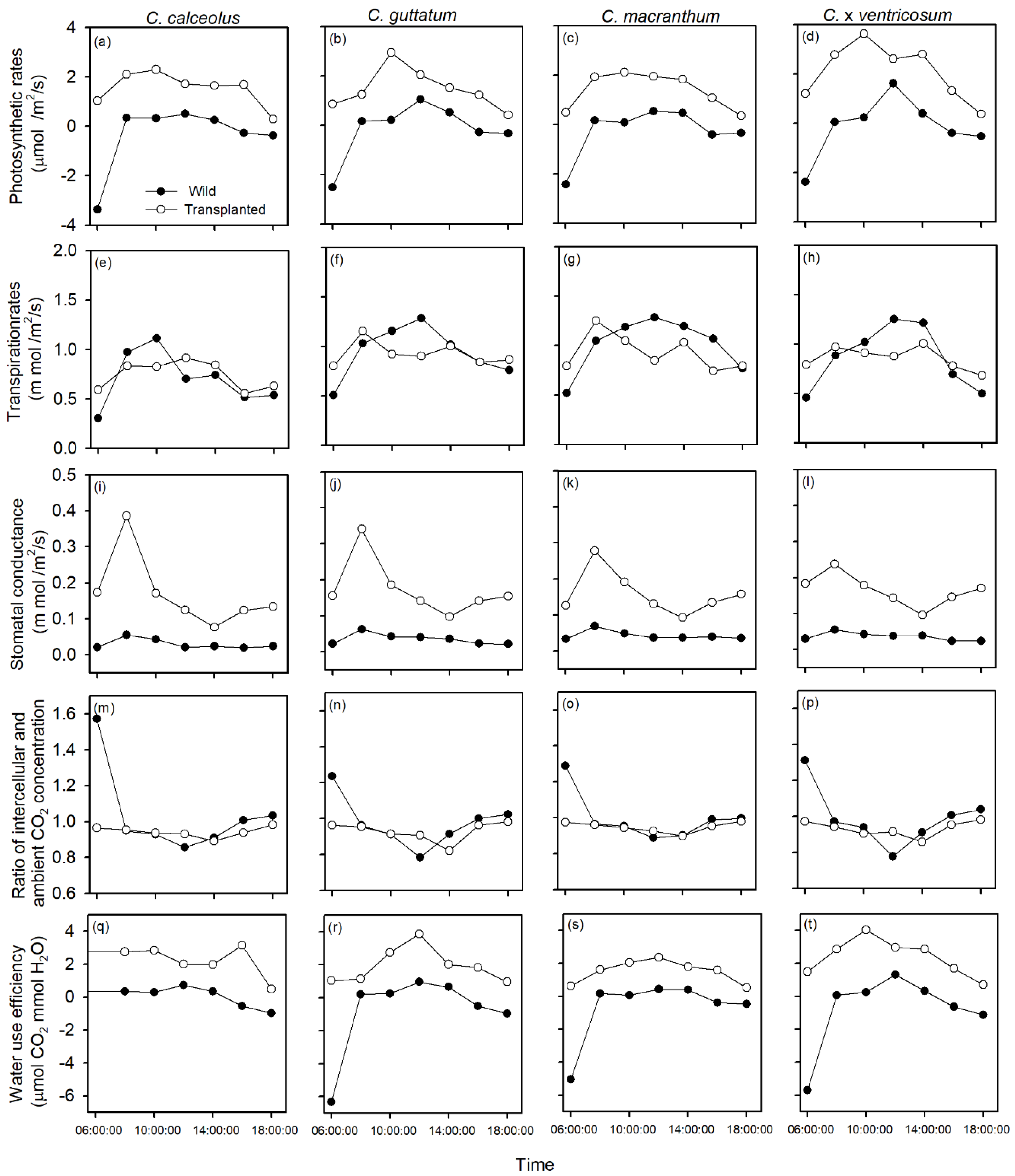
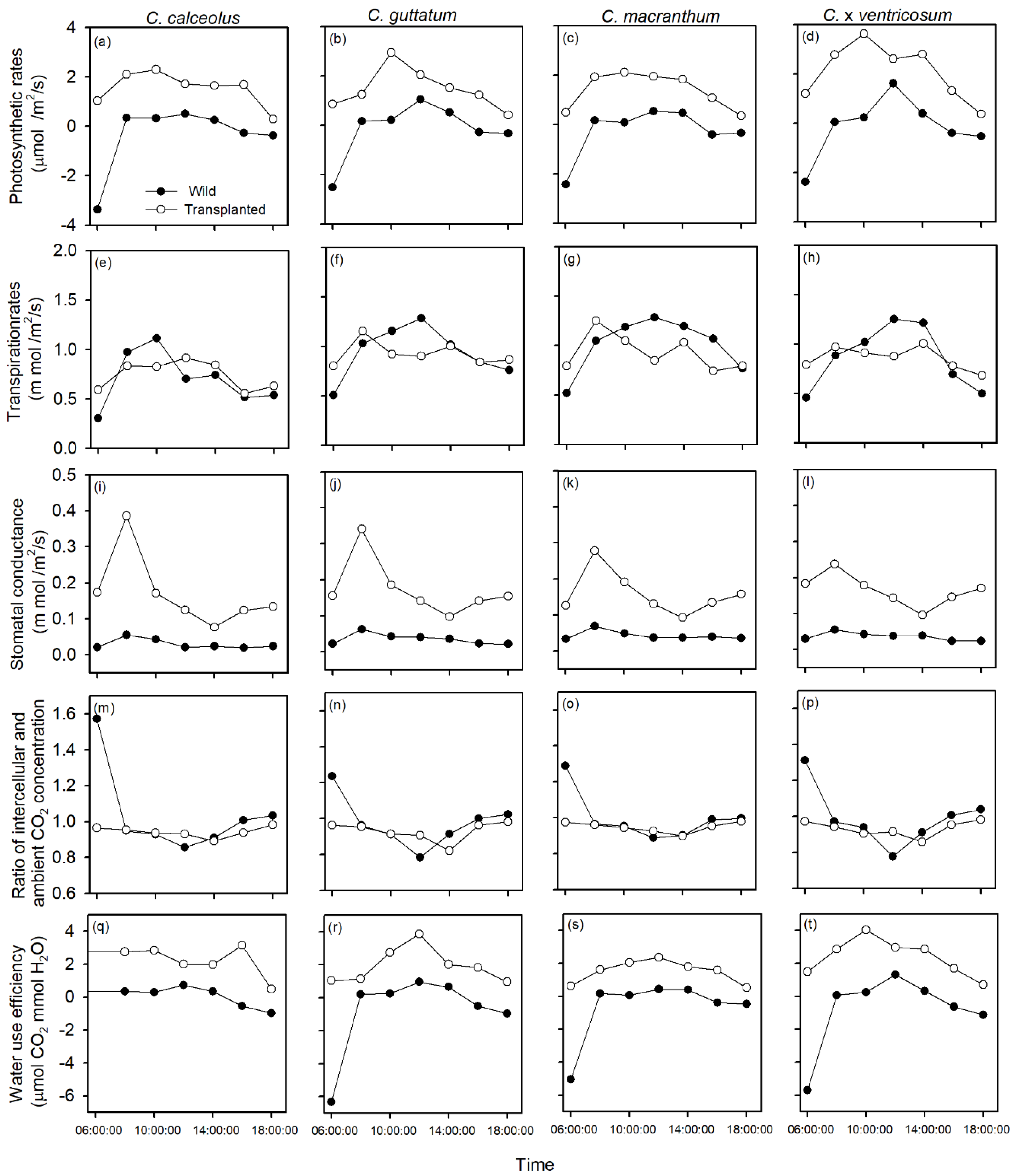
3.3. Photosynthetic Physiology
3.4. Coordination of above- and Belowground Organs’ Trait Shifts
4. Discussion
4.1. Leaf Responses to Habitat Changes
4.2. Root Responses to Habitat Changes
5. Conclusions
Supplementary Materials
Author Contributions
Funding
Institutional Review Board Statement
Informed Consent Statement
Data Availability Statement
Acknowledgments
Conflicts of Interest
References
- Bodo, T.; Gimah, B.G.; Seomoni, K.J. Deforestation: Human causes, consequences and possible solution. J. Geog. Res. 2021, 4, 22–31. [Google Scholar]
- Newton, A.C.; Boscolo, D.; Ferreira, P.A.; Lopes, L.E.; Evans, P. Impacts of deforestation on plant-pollinator networks assessed using an agent based model. PLoS ONE 2018, 13, e0209406. [Google Scholar] [CrossRef]
- Fay, M.F.; Chase, M.W. Orchid biology: From Linnaeus via Darwin to the 21st century. Ann. Bot. 2009, 104, 359–364. [Google Scholar] [CrossRef] [PubMed]
- Fay, M.F. Orchid conservation: How can we meet the challenges in the twenty-first century? Bot Stud. 2018, 59, 1–6. [Google Scholar] [CrossRef]
- Fay, M.F.; Pailler, T.; Dixon, K.W. Orchid conservation: Making the links. Ann. Bot. 2015, 116, 377–379. [Google Scholar] [CrossRef] [PubMed]
- Chen, X.; Liu, Z.; Chen, L.; Li, L. The Genus Cypripedium in China; Science Press: Beijing, China, 2013. [Google Scholar]
- Fay, M.F. Orchid conservation: Further links. Ann. Bot. 2016, 118, 89–91. [Google Scholar] [CrossRef]
- Cribb, H.; Sandison, M.S. A preliminary assessment of the conservation status of Cypripedium species in the wild. Bot. J. Linn. Soc. 1998, 126, 183–190. [Google Scholar] [CrossRef][Green Version]
- Liu, Z.; Chen, L.; Rao, W.; Li, L.; Zhang, Y. Correlation between numerical dynamics and reproductive behavior in Cypripedium lentiginosum. Acta Ecol. Sin. 2008, 28, 111–121. [Google Scholar]
- Li, Z. Geographical Functional Traits Variation and Conservation of Cypripedium Population in Northeast China: Northeast Forestry University. Ph.D. Dissertation, Northeast Forestry University, Harbin, China, 2020. [Google Scholar]
- Zhang, S.; Hu, H.; Xu, K.; Li, Z.; Yang, Y. Flexible and reversible responses to different irradiance levels during photosynthetic acclimation of Cypripedium guttatum. J. Plant Physiol. 2007, 164, 611–620. [Google Scholar] [CrossRef]
- Zheng, B.; Zou, L.; Li, K.; Wan, X.; Wang, Y. Photosynthetic, morphological, and reproductive variations in Cypripedium tibeticum in relation to different light regimes in a subalpine forest. PLoS ONE 2017, 12, e0181274. [Google Scholar] [CrossRef]
- Zhang, S.B.; Hu, H.; Xu, K.; Li, Z.R. Photosynthetic performances of five Cypripedium species after transplanting. Photosynthetica 2006, 44, 425–432. [Google Scholar] [CrossRef]
- Cho, Y.; Kim, H.; Koo, B.; Shin, J. Dynamics and viability analysis of transplanted and natural lady’s slipper (Cypripedium japonicum) populations under habitat management in South Korea. Restor. Ecol. 2018, 27, 23–30. [Google Scholar] [CrossRef]
- Oja, J.; Kohout, P.; Tedersoo, L.; Kull, T.; Kõljalg, U. Temporal patterns of orchid mycorrhizal fungi in meadows and forests as revealed by 454 pyrosequencing. New Phytol. 2015, 205, 1608–1618. [Google Scholar] [CrossRef]
- Liu, B.; Li, H.; Zhu, B.; Koide, R.T.; Eissenstat, D.M.; Guo, D. Complementarity in nutrient foraging strategies of absorptive fine roots and arbuscular mycorrhizal fungi across 14 coexisting subtropical tree species. New Phytol. 2015, 208, 125–136. [Google Scholar] [CrossRef]
- Gargiulo, R.; Adamo, M.; Cribb, P.J.; Bartolucci, F.; Sarasan, V.; Alessandrelli, C.; Bona, E.; Ciaschetti, G.; Conti, F.; Di Ceddo, V.; et al. Combining current knowledge of Cypripedium calceolus with a new analysis of genetic variation in Italian populations to provide guidelines for conservation actions. Conserv. Sci. Pract. 2021, 3, e513. [Google Scholar] [CrossRef]
- Gong, Z.; Chen, Z.; Luo, G.; Zhang, G.; Zhao, W. Soil reference with China soil taxonomy. Soils 1999, 31, 57–63. (In Chinese) [Google Scholar]
- Qin, H.; Yang, Y.; Dong, S.; He, Q.; Jia, Y.; Zhao, L.; Yu, S.; Liu, H.; Liu, B.; Yan, Y.; et al. Threatened Species List of China’s Higher Plants. Biodivers. Sci. 2017, 25, 696–744. (In Chinese) [Google Scholar] [CrossRef]
- Guo, D.; Xia, M.; Wei, X.; Chang, W.; Liu, Y.; Wang, Z. Anatomical traits associated with absorption and mycorrhizal colonization are linked to root branch order in twenty-three Chinese temperate tree species. New Phytol. 2008, 180, 673–683. [Google Scholar] [CrossRef]
- Wang, Y.; Gao, G.; Wang, N.; Wang, Z.; Gu, J. Effects of morphology and stand structure on root biomass and length differed between absorptive and transport roots in temperate trees. Plant Soil. 2019, 442, 355–367. [Google Scholar] [CrossRef]
- Franks, P.J.; Drake, P.L.; Beerling, D.J. Plasticity in maximum stomatal conductance constrained by negative correlation between stomatal size and density: An analysis using Eucalyptus globulus. Plant Cell Environ. 2009, 32, 1737–1748. [Google Scholar] [CrossRef]
- Wang, Y.; Donovan, L.A.; Temme, A.A. Plasticity and the role of mass-scaling in allocation, morphology, and anatomical trait responses to above- and belowground resource limitation in cultivated sunflower (Helianthus annuus L.). Plant Direct. 2020, 4, e00274. [Google Scholar] [CrossRef]
- Wang, Y.; Dong, X.; Wang, H.; Wang, Z.; Gu, J. Root tip morphology, anatomy, chemistry and potential hydraulic conductivity vary with soil depth in three temperate hardwood species. Tree Physiol. 2016, 36, 99–108. [Google Scholar] [CrossRef]
- Wang, Y.; Li, Z.; Wang, Z.; Gu, J. Functional trait plasticity but not coordination differs in absorptive and transport fine roots in response to soil depth. Forests 2020, 11, 42. [Google Scholar] [CrossRef]
- Hishi, T.; Takeda, H. Life cycles of individual roots in fine root system of Chamaecyparis obtusa Sieb. et Zucc. J. Forest Res.-Jpn. 2005, 10, 181–187. [Google Scholar] [CrossRef]
- Ye, Z.P. A new model for relationship between irradiance and the rate of photosynthesis in Oryza sativa. Photosynthetica 2007, 4, 637–640. [Google Scholar] [CrossRef]
- Ye, Z.P.; Yu, Q.; Kang, H.J. Evaluation of photosynthetic electron flow using simultaneous measurements of gas exchange and chlorophyll fluorescence under photorespiratory conditions. Photosynthetica 2012, 50, 472–476. [Google Scholar] [CrossRef]
- Lichtenhaler, H. Chlorphylls and carotenoids: Pigments of photosynthetic biomembranes. Method Enzymol. 1987, 148, 350–383. [Google Scholar]
- Wickham, H.; Chang, W.; Henry, L.; Pederson, T.L.; Takahashi, K.; Wikle, C.; Woo, K. Package ‘ggplot2’. 2018, 1–12. Available online: https://github.com/tidyverse/ggplot2 (accessed on 12 December 2021).
- Hu, S.; Wang, D.; Zheng, Y.; Yan, X. Ecological adaptation of Cypripedium flavum at forest edge and in forest. J. Chongqing Norm. Univ. Nat. Sci. 2016, 33, 137–141. (In Chinese) [Google Scholar]
- Freschet, G.T.; Swart, E.M.; Cornelissen, J.H.C. Integrated plant phenotypic responses to contrasting above- and below-ground resources: Key roles of specific leaf area and root mass fraction. New Phytol. 2015, 206, 1247–1260. [Google Scholar] [CrossRef]
- Freschet, G.T.; Violle, C.; Bourget, M.Y.; Scherer Lorenzen, M.; Fort, F. Allocation, morphology, physiology, architecture: The multiple facets of plant above- and below-ground responses to resource stress. New Phytol. 2018, 219, 1338–1352. [Google Scholar] [CrossRef]
- Poorter, H.; Niinemets, Ü.; Ntagkas, N.; Siebenkäs, A.; Mäenpää, M.; Matsubara, S.; Pons, T. A meta-analysis of plant responses to light intensity for 70 traits ranging from molecules to whole plant performance. New Phytol. 2019, 223, 1073–1105. [Google Scholar] [CrossRef]
- Kitajima, K. Variation in crown light utilization characteristics among tropical canopy trees. Ann. Bot. 2004, 95, 535–547. [Google Scholar] [CrossRef]
- Van Zanten, M.; Pons, T.L.; Janssen, J.A.; Voesenek, L.A.; Peeters, A.J.M. On the relevance and control of leaf angle. Crit. Rev. Plant Sci. 2010, 29, 300–316. [Google Scholar] [CrossRef]
- Shefferson, R.P. Survival costs of adult dormancy and the confounding influence of size in lady’s slipper orchids, genus Cypripedium. Oikos 2006, 115, 253–262. [Google Scholar] [CrossRef]
- Shefferson, R.P.; Jacquemyn, H.; Kull, T.; Hutchings, M.J. The demography of terrestrial orchids: Life history, population dynamics and conservation. Bot. J. Linn. Soc. 2020, 192, 315–332. [Google Scholar] [CrossRef]
- Shefferson, R.P.; Kull, T.; Hutchings, M.J.; Selosse, M.A.; Jacquemyn, H.; Kellett, K.M.; Menges, E.S.; Primack, R.B.; Tuomi, J.; Alahuhta, K.; et al. Drivers of vegetative dormancy across herbaceous perennial plant species. Ecol. Lett. 2018, 21, 724–733. [Google Scholar] [CrossRef]
- Blínová, I. A Northernmost population of Cypripedium calceolos L. (Orchidaceae): Demography, flowering and pollination. Selbyana 2002, 1, 111–120. [Google Scholar]
- Eissenstat, D.M. Costs and benefits of constructing roots of small diameter. J. Plant Nutr. 1992, 15, 763–782. [Google Scholar] [CrossRef]
- Lux, A.; Luxová, M.; Abe, J.; Morita, S. Root cortex: Structural and functional variability and responses to environmental stress. Root Res. 2004, 13, 117–131. [Google Scholar] [CrossRef]
- Wang, G.; Fahey, T.J.; Xue, S.; Liu, F. Root morphology and architecture respond to N addition in Pinus tabuliformis, west China. Oecologia 2013, 171, 583–590. [Google Scholar] [CrossRef]
- Wang, Z.; Ding, L.; Wang, J.; Zuo, X.; Yao, S.; Feng, J. Effects of root diameter, branch order, root depth, season and warming on root longevity in an alpine meadow. Ecol. Res. 2016, 31, 739–747. [Google Scholar] [CrossRef]
- Fay, M.F.; Feustel, M.; Newlands, C.; Gebauer, G. Inferring the mycorrhizal status of introduced plants of Cypripedium calceolus (Orchidaceae) in northern England using stable isotope analysis. Bot. J. Linn. Soc. 2018, 20, 1–4. [Google Scholar]
- McCormick, M.; Burnett, R.; Whigham, D. Protocorm-supporting fungi are retained in roots of mature Tipularia discolor orchids as mycorrhizal fungal diversity increases. Plants 2021, 10, 1251. [Google Scholar] [CrossRef]
- Suetsugu, K.; Yamato, M.; Matsubayashi, J.; Tayasu, I. Partial and full mycoheterotrophy in green and albino phenotypes of the slipper orchid Cypripedium debile. Mycorrhiza 2021, 31, 301–312. [Google Scholar] [CrossRef]






| Source of Variation | NH4+ (mg/kg) | NO3− (mg/kg) | Total N (g/kg) | Total C (g/kg) | C/N | Water Content (%) |
|---|---|---|---|---|---|---|
| Understory | 5.85 ± 0.65 b | 11.13 ± 0.86 b | 7.14 ± 0.64 a | 88.73 ± 6.41 a | 12.42 ± 1.24 a | 44.48 ± 2.25 a |
| Transplanted | 12.41 ± 0.97 a | 27.80 ± 1.86 a | 7.53 ± 0.55 a | 92.27 ± 7.84 a | 12.25 ± 1.18 a | 13.38 ± 4.39 b |
| Trait | Origin | Species | |||
|---|---|---|---|---|---|
| C. calceolus | C. guttatum | C. macranthos | C. ×ventricosum | ||
| Shoot height (cm) | W | 45.69 ± 1.61 Aa | 33.19 ± 0.43 Ab | 46.43 ± 1.37 Aa | 46.55 ± 1.45 Aa |
| T | 20.43 ± 1.04 Bb | 27.66 ± 1.15 Ba | 31.71 ± 1.09 Ba | 30.52 ± 0.97 Ba | |
| Stem diameter (mm) | W | 6.10 ± 0.19 Ab | 3.34 ± 0.07 Ac | 7.69 ± 0.23 Aa | 5.53 ± 0.23 Ab |
| T | 4.60 ± 0.15 Bab | 2.80 ± 0.11 Bb | 5.86 ± 0.25 Ba | 6.42 ± 0.35 Ba | |
| Number of metameres | W | 5.00 ± 0.38 Aab | 3.00 ± 0.00 Ab | 5.71 ± 0.29 Aa | 5.63 ± 0.26 Aa |
| T | 4.11 ± 0.20 Bb | 3.00 ± 0.00 Ac | 5.57 ± 0.17 Aa | 4.38 ± 0.18 Bb | |
| Leaf length (cm) | W | 17.16 ± 0.33 Aa | 12.56 ± 0.24 Ab | 18.61 ± 0.49 Aa | 16.60 ± 0.74 Aa |
| T | 10.49 ± 0.64 Ba | 10.10 ± 0.23 Ba | 12.51 ± 0.50 Ba | 11.12 ± 0.44 Ba | |
| Leaf width (cm) | W | 6.65 ± 0.22 Ab | 6.49 ± 0.22 Ab | 8.17 ± 0.31 Aa | 7.56 ± 0.33 Aab |
| T | 5.28 ± 0.30 Bb | 5.21 ± 0.22 Ba | 5.32 ± 0.12 Ba | 4.92 ± 0.21 Bb | |
| Leaf angle (°) | W | 55.80 ± 1.41 Ab | 45.90 ± 1.79 Aa | 50.95 ± 2.14 Aa | 54.78 ± 3.11 Ab |
| T | 32.67 ± 2.51 Ba | 32.80 ± 0.83 Ba | 32.10 ± 2.61 Ba | 32.20 ± 2.41 Ba | |
| Metamere length (cm) | W | 35.67 ± 2.76 Ac | 11.02 ± 2.12 Ad | 63.59 ± 5.29 Aa | 43.50 ± 5.29 Ab |
| T | 22.23 ± 2.08 Bb | 8.76 ± 1.43 Bc | 41.2 ± 5.87 Ba | 39.80 ± 3.92 Aa | |
| Ratio of chlorophyll concentration of, a to b | W | 2.04 ± 0.06 Ba | 2.08 ± 0.03 Aa | 2.17 ± 0.12 Aa | 1.84 ± 0.05 Ab |
| T | 2.23 ± 0.19 Aa | 1.97 ± 0.11 Aa | 2.02 ± 0.01 Aa | 1.85 ± 0.02 Ab | |
| Source of Variation | p Value | ||||||||
|---|---|---|---|---|---|---|---|---|---|
| df | H | SDI | LL | LW | LA | ML | NM | Cab | |
| Species | 3 | <0.001 | <0.001 | <0.001 | 0.003 | 0.118 | 0.553 | 0.001 | 0.045 |
| Origin | 1 | <0.001 | <0.001 | <0.001 | <0.001 | <0.001 | 0.014 | 0.07 | 0.849 |
| Species × Origin | 3 | <0.001 | <0.001 | <0.001 | 0.001 | 0.088 | 0.017 | 0.001 | 0.326 |
| Source of Variation | p Value | ||||||||||||||
|---|---|---|---|---|---|---|---|---|---|---|---|---|---|---|---|
| df | LT | MT | MET | ML | SLA | SDE | RD | CT | RSD | SRL | Pnmax | Isat | Ic | Rd | |
| Species | 3 | 0.002 | 0.021 | 0.184 | 0.654 | 0.002 | <0.001 | <0.001 | <0.001 | <0.001 | <0.001 | <0.001 | 0.108 | 0.008 | 0.073 |
| Origin | 1 | <0.001 | <0.001 | <0.001 | 0.707 | <0.001 | <0.001 | 0.86 | 0.505 | 0.545 | 0.271 | 0.002 | 0.538 | 0.001 | 0.009 |
| Species × Origin | 3 | 0.238 | 0.152 | 0.26 | 0.834 | 0.038 | <0.001 | 0.698 | 0.256 | 0.176 | 0.927 | 0.674 | 0.806 | 0.002 | 0.001 |
| Trait | Origin | Species | |||
|---|---|---|---|---|---|
| C. calceolus | C. guttatum | C. macranthos | C. ×ventricosum | ||
| Pnmax (μmol(CO2)·m−2·s−1) | W | 4.16 ± 0.10 Ad | 6.19 ± 0.11 Ab | 6.62 ± 0.48 Aa | 5.47 ± 0.11 Ac |
| T | 3.50 ± 0.35 Ab | 5.48 ± 0.11 Ba | 5.72 ± 0.66 Ba | 5.18 ± 0.54 Aa | |
| Isat (μmol·m−2·s−1) | W | 1160.28 ± 98.73 Aa | 1005.14 ± 69.75 Aab | 898.35 ± 72.14 Bb | 906.72 ± 76.08 Bb |
| T | 1205.36 ± 79.17 Aa | 1129.01 ± 102.49 Aa | 1105.76 ± 88.07 Ab | 1209.48 ± 94.87 Aa | |
| Ic (μmol·m−2·s−1) | W | 6.84 ± 0.27 Bb | 11.38 ± 1.86 Aa | 6.95 ± 0.63 Bb | 8.21 ± 0.64 Aab |
| T | 7.76 ± 0.19 Ab | 10.98 ± 0.21 Ab | 19.36 ± 1.52 Aa | 12.92 ± 3.17 Ab | |
| Rd (μmol·m−2·s−1) | W | 0.39 ± 0.10 Bb | 0.64 ± 0.02 Ba | 0.16 ± 0.07 Bc | 0.74 ± 0.05 Aa |
| T | 0.96 ± 0.18 Aab | 1.05 ± 0.05 Ab | 1.62 ± 0.32 Aa | 0.64 ± 0.24 Ac | |
Publisher’s Note: MDPI stays neutral with regard to jurisdictional claims in published maps and institutional affiliations. |
© 2022 by the authors. Licensee MDPI, Basel, Switzerland. This article is an open access article distributed under the terms and conditions of the Creative Commons Attribution (CC BY) license (https://creativecommons.org/licenses/by/4.0/).
Share and Cite
Li, Z.; Wang, Y.; Mu, L. How Does Deforestation Affect the Growth of Cypripedium (Orchidaceae) Species? A Simulation Experiment in Northeast China. Forests 2022, 13, 166. https://doi.org/10.3390/f13020166
Li Z, Wang Y, Mu L. How Does Deforestation Affect the Growth of Cypripedium (Orchidaceae) Species? A Simulation Experiment in Northeast China. Forests. 2022; 13(2):166. https://doi.org/10.3390/f13020166
Chicago/Turabian StyleLi, Zhongyue, Yan Wang, and Liqiang Mu. 2022. "How Does Deforestation Affect the Growth of Cypripedium (Orchidaceae) Species? A Simulation Experiment in Northeast China" Forests 13, no. 2: 166. https://doi.org/10.3390/f13020166
APA StyleLi, Z., Wang, Y., & Mu, L. (2022). How Does Deforestation Affect the Growth of Cypripedium (Orchidaceae) Species? A Simulation Experiment in Northeast China. Forests, 13(2), 166. https://doi.org/10.3390/f13020166
