Abstract
The roots are a key functional component of belowground systems and one of the main factors influencing the quality and quantity of soil organic matter. Our research aimed to determine the fractional composition of the soil organic matter (SOM) in soils under various tree species on an altitude gradient. In our research, we related the SOM fractions with the root characteristics. There is a lack of information on the relationship between the SOM fractions and the root properties. We assessed labile and heavy fractions of SOM content in forest mountain soils with a climosequence approach. The study plots were established at 600, 800, and 1000 m above sea level in a beech stand (Fagus sylvatica L.) and a fir stand (Abies alba Mill.). In this case, three research plots with beech and fir were designated in each altitude variant. Forest stands growing in the same soil conditions were selected for the study. The research used stands of similar age with the same tree canopy density. The basic physicochemical properties (pH, hydrolytic acidity, carbon and nitrogen content, base cations content) and the fractional composition of the SOM were determined from soil samples. In addition, we determined the basic characteristics of the roots (diameter, length, biomass, decomposition, production). The correlation between soil organic matter fractions and root characteristics was recorded. This study confirmed the importance of climatic conditions in shaping the fractional composition of forest soils. In the highest locations, characterized by lower temperatures, the light fraction of the SOM exhibited the highest C and N content, which is the effect of slower decomposition processes. Apart from climatic conditions, the stabilization of SOM is influenced by the tree species composition of a forest stand. Beech forest stands lead to a larger accumulation of a heavy fraction of SOM. This study indicates a positive correlation between the light fraction of SOM, root biomass, and decomposition rate of roots. Our research shows that avoiding single-species coniferous stands and introducing admixtures of deciduous species, which increase the heavy SOM fraction, is justified in forest management.
1. Introduction
Organic matter is a basic component of soil that determines its physical, chemical, and biological properties [1,2,3]. Properties influenced by organic matter include soil structure, moisture capacity, diversity, and activity of soil organisms and nutrient availability. Conserving and increasing the amount of soil organic matter (SOM) offers many benefits, including climate change mitigation [4,5]. Climate change leads to increased temperatures, which drives the decomposition process rate in soils [6]. Temperature changes alter the activity of microorganism communities involved in decomposition processes, in turn reducing the soil carbon pool [7]. Physical fractionation of SOM allows extracting free light fraction (fLF), the occluded light fraction (oLF), which may become stabilized by occlusion inside aggregates, and heavy fraction, which is the mineral-associated fraction (MAF) [8,9]. The light fraction of SOM is unstable and remains in the soil for weeks to years, in contrast with the heavy fraction, which can persist for decades. The light fraction of SOM is less resistant to changes resulting from land management [10]. According to De Feudis et al. [11], an increase of 1 °C in mean annual air temperature reduces the amount of organic carbon associated with the light fractions in the rhizosphere.
As a result of the supply of organic remains from above-ground biomass and root systems, forest soils are characterized by a high content of organic carbon. Roots are among the key elements affecting the soil environment through the supplied biomass and root exudates [12,13]. Plant roots react to changes in thermal conditions in the soil environment, which results in changes in the physiology of the roots, their growth rate, and the possibility of obtaining resources [14]. According to Cesarz et al. [15], the impact of root systems on the decomposition rate of SOM and energy channels depends on the tree species.
Our study considered soils in beech and fir stands. Previous studies have confirmed these species’ different influences on the physical, chemical and biological properties of soil [3,16]. Trees affect soil properties through several pathways, the most important of these being litter and roots [17,18,19]. Coniferous stands, especially spruce and pine, acidify the soil environment, influencing the activity and diversity of microorganisms, which directly affect the soil’s organic matter decomposition rate. Błońska et al. [16] confirmed the stronger acidifying effects of fir stands compared to deciduous species. According to Likulunga et al. [19], tree species influence soil composition and properties, affecting soil fungal composition and diversity. Root-derived resources from trees are important for soil microbial communities’ structure and functioning, so soil microbial responses to tree species will be equally diverse and reflected in the quantity and quality of SOM [20]. A strong correlation of thermal conditions with the growth characteristics of roots in the latitudinal gradient has been proven [21]. It has also been shown that different species have a thermal minimum at which root growth occurs [22]. Considering the above, we decided to conduct our experiment in a climosequence.
This study aimed to determine the amounts of SOM fractions concerning the species composition of stands in an altitude gradient. The selected approach will explain the impact of thermal conditions on shaping soil properties, especially the organic matter fractions. Tree roots’ contributions to the accumulation of SOM must be better evaluated to improve forest stand management and carbon stabilization in forest soils. Knowledge of long-term C storage determinants in soil remains limited, especially in mountain forest soils. We suppose that the climate conditions in the altitude gradient determine the biomass and growth of the root systems of the studied tree species, which in turn is reflected in the fractional composition of the SOM. We tested the following hypotheses: (1) reduced temperature and increased humidity in the altitude gradient affect decomposition rate and the share of light and heavy fractions of SOM; (2) the soils of beech stands are characterized by a lower share of the light fraction and higher share of the heavy fraction of SOM compared with the soils of fir stands; and (3) beech and fir stand in a different way influence the fractional composition of SOM in mountain forests through their root systems.
2. Materials and Methods
2.1. Study Site and Experimental Design
The study was conducted in the Jałowiec Massif in the Żywiec Beskids of southern Poland (49°39′64″ N; 19°28′67″ E). The study was conducted in Magurska Nappe on sandstone and shale; Cambisols [23] dominated the chosen study plots, which were established at altitudes of 600, 800, and 1000 m above sea level (a.s.l.). Selected heights constitute the boundaries of the climatic and plant zones in the Western Carpathians. The study plots were located at the same heights. The study plots were located along a slope with a 15° incline and northern exposure. The tested soils were sandy loams (average sand content was 54%, silt 42% and clay 3%). The average growing season temperature for the study plots at 600 m a.s.l. was 12.4 °C, for the study plots at 800 m a.s.l. was 11.3 °C, and for those at an altitude of 1000 m a.s.l., it was 10.2 °C. The average soil moistures at 600, 800, and 1000 m a.s.l were 22.74%, 29.60%, and 34.10%, respectively. The research plots were located in a beech stand (Fagus sylvatica L.) and a fir stand (Abies alba Mill.). The research used stands of similar age with the same tree canopy density. The age of the stands was 60 years. Study plots were located in the managed forest coming from natural regeneration. The history of all the stands is similar. At each altitude, three research plots (10 acres) were designated in beech and fir stands. In total, 18 study plots were included in the research. Three soil samples from different locations were collected from each plot. Soil samples were collected in the same way on each study plot. The samples were taken after removing the litter to a depth of 15 cm. Organic material not related to the soil profile was treated as litter. Composite soil samples consist of three subsamples from different points. In total, 54 soil samples were taken for analysis.
2.2. Laboratory Analysis
The potentiometric method was used to determine soil pH in H2O and 1M KCl. The Kappen method was used to determine hydrolytic acidity (Y). The content of nitrogen and carbon was analyzed by the LECO CNS True Mac Analyser (Leco, St. Joseph, MI, USA). The alkaline cations (Ca2+, Mg2+, K+, Na+) in 1M ammonium acetate were determined by the ICP-OES (iCAP 6500 DUO, Thermo Fisher Scientific, Cambridge, UK). The physical fractionation of SOM was performed according to the method described by Sohi et al. [24]. A 15-g sample of soil was placed in a 200-mL centrifuge tube and 90 mL of NaI (1.7 g cm−3) was added. Each tube was gently shaken for 1 min and centrifuged for 30 min. The free light fraction (fLF) was removed using a pipette and collected on a glass fiber filter. The soil remaining at the bottom of the centrifuge tubes was mixed with another portion of 90 mL of NaI and subjected to sonication (60 watts for 200 s) to destroy aggregates. After centrifugation, the matter released from the aggregate-occluded light fraction (oLF) was collected on the glass fiber filter. The remaining fraction was assumed to consist of the mineral associated fraction (MAF) of SOM [8,16]. The fractions were analyzed for carbon and nitrogen (CfLF, CoLF, CMAF, NfLF, NoLF, and NMAF, respectively) by the LECO CNS True Mac Analyzer (Leco, St. Joseph, MI, USA).
Three soil samples with known volumes (block with dimensions of 15 × 15 × 15 cm) were collected from each study plot to determine root biomass. The roots were divided into two groups: coarse roots with diameters >2 mm and fine roots with diameters <2 mm. The roots were scanned and analyzed (diameter, length, projected area) using the WinRhizoTM Pro 2003 system (Regent Instruments INC., Ville de Québec, QC, Canada). After drying (70 °C, 24 h), the roots were weighted. After analyzing the roots, they were used to determine the root decomposition rate in the later stage of the experiment. Bags (15 × 20 cm) containing 10 g of root matter were prepared to determine roots decomposition. Bags with roots were buried to a depth of 10 cm in each study area from May to October. After this period, the loss of roots in the bags was determined. The annual fine root (diameter < 2.0 mm) biomass increase was determined with the core method [25]. The experiment sought to determine the root production expressed in grams between May and October 2021.
2.3. Statistical Analysis
The Shapiro-Wilk test was used to check the normal distribution. The differences between soil properties were determined using ANOVA. The Pearson correlation coefficient was used to determine the relationship between the tested properties of soils in the altitude gradient. The Pearson correlation was used to determine the strength of the relationship between the studied variables. A general linear model (GLM) allowed us to assess the importance of species and the height of a.s.l.in shaping the fractional composition of soil organic matter. Principal component analysis (PCA) was used to interpret factors in certain datasets. Statistica 12 software (StatSoft 2012) was used for the analysis.
3. Results
This study confirmed the differentiation of the properties of the examined soils due to the influence of beech and fir stands in different climate conditions in the altitude gradient. With increased altitude a.s.l., the studied soils exhibit increased acidity, regardless of tree species (Table 1). With increased altitude, the pH of the studied soils decreases and the hydrolytic acidity increases. Soils at 600 m a.s.l. had a significantly higher pH than soils at the other altitudes (4.84 in the soil of beech stand and 4.91 in the soil of fir stand). At an altitude of 1000 m a.s.l., the pH in the soils of the beech stands was 4.04, and in the soils of the fir stands, it was 3.65. Significantly, the lowest hydrolytic acidity was recorded in soils at 600 m a.s.l. 2.42 cmol(+)·kg−1 in the beech stand soils and 2.61 cmol(+)·kg−1 in the fir stand soils. The C and N concentration also increased with increasing altitude a.s.l. Significantly higher C and N concentration was measured in soils at 1000 m a.s.l. In the soils of beech stands, the C concentration ranged from 5.23% to 8.80% and in the soil of fir stands, it ranged from 4.51% to 14.81%. In the soils of beech stands, the N concentration ranged from 0.37% to 0.49% and in the soil of fir stands, it ranged from 0.32% to 0.75%. The content of basic cations decreased with increasing altitude. Significantly higher cation content was recorded in the lowest-lying soils. At an altitude of 600 m a.s.l. the Ca content in the soils of the beech stands was 142.46 cmol(+)·kg−1, while at an altitude of 1000 m a.s.l. the Ca content was 9.99 cmol(+)·kg−1 (Table 1).
Table 1.
Chemical properties of study soils under influence of different species in altitude gradient.
No statistically significant differences in root length were determined along the altitude gradient for beech and fir trees (Table 2). Fir root diameter increased with altitude a.s.l., but these differences were not statistically significant (Table 2). No statistically significant differences in root biomass were determined in beech along the altitude gradient. The significantly highest fir root biomass was recorded in the highest locations. No significant differences originating from tree species and altitude a.s.l. were recorded for the decomposition rate (Table 2). Statistically significant differences in root growth were recorded at 600 and 1000 m a.s.l. Beech root growth did not change significantly along the altitude gradient. Significantly greater fir growth was recorded at 800 m a.s.l.
Table 2.
Characteristics of the fine roots of different tree species in the altitude gradient.
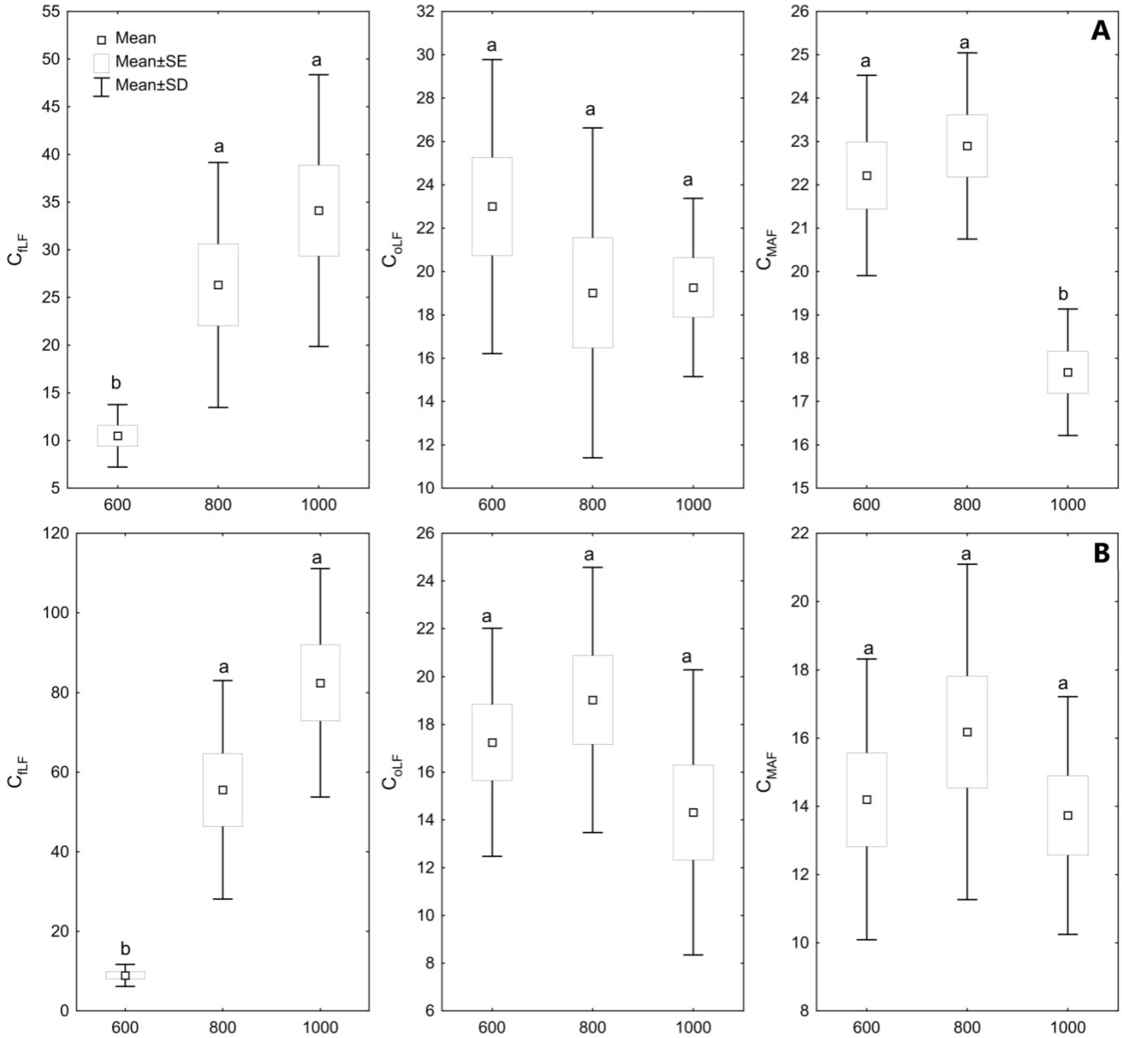
Differences in the fractional composition of SOM resulting from the impact of tree species and location in the altitude gradient were noted (Figure 1 and Figure 2). Regardless of tree species, the CfLF content increased with the altitude a.s.l. Significantly lower CfLF content was found in the lowest-lying soils (Figure 1). There were no significant differences in CoLF content along the altitude gradient, although CoLF trended downward. In soils with beech, a significantly lower CMAF content was recorded in the highest soils. In soils with fir, there is a downward trend of CMAF content along the height gradient. The lowest CMAF content was recorded in soils at 1000 m a.s.l. In soils with beech, a higher CMAF content was noted compared with soils with firs (Figure 1). The NfLF content increased along the altitude gradient regardless of tree species (Figure 2). Significantly lower NfLF content was measured in the lowest soils (600 m a.s.l.). In soils with beeches, significantly lower NoLF content was found in the highest soils (1000 m a.s.l.). No significant differences in NoLF content were found in soils with firs along the altitude gradient. A decrease in CMAF content was measured along the altitude gradient. Significantly lower NMAF content was recorded in soils with firs in the highest locations (Figure 2). The CfLF and NfLF content were negatively correlated with soil pH and the basic cation content (Table 3). The CfLF and NfLF content were significantly positively correlated with hydrolytic acidity (r = 0.821 and r = 0.834, respectively) and C (r = 0.821 and r = 0.834, respectively) and N content (r = 0.913 and r = 0.893, respectively). The NoLF content was negatively correlated with hydrolytic acidity and C content and positively correlated with the pH and Ca and Mg content. The CMAF and NMAF content were correlated with soil acidification and C and N content. The fractional composition of SOM was correlated with the properties of the studied trees’ root systems, such as diameter, biomass and decomposition rate. The CfLF and NfLF content were positively correlated with the root diameter (r = 0.489 and r = 0.510, respectively), biomass (r = 0.337 and r = 0.320, respectively), and decomposition rate (r = 0.381 and r = 0.393, respectively) (Table 4). The CoLF and NoLF content were significantly positively correlated with root length. The CMAF and NMAF content were negatively correlated with root diameter (r = −0.421 and r = −0.326, respectively), and CMAF content was positively correlated with root production (r = 0.310) (Table 4).
Figure 1.
Carbon of different fraction of soil organic matter in soils under influence of different forest stands in altitude gradient (CfLF—carbon of free light fraction (g kg−1), CoLF—carbon of occluded light fraction (g kg−1), CMAF—carbon of mineral associated fraction (g kg−1); (A)—soils under influence of beech, (B)—soils under influence of fir; small letters mean significant differences in altitude gradient (a, b)).
Figure 2.
Nitrogen of different fraction of soil organic matter in soils under influence of different forest stands in altitude gradient (NfLF—nitrogen of free light fraction (g kg−1), NoLF—nitrogen of occluded light fraction (g kg−1), NMAF—nitrogen of mineral associated fraction (g kg−1); (A)—soils under influence of beech, (B)—soils under influence of fir; small letters mean significant differences in altitude gradient (a, b)).
Table 3.
Correlation between soil organic matter fractions and soil properties.
Table 4.
Correlation between soil organic matter fractions and root characteristics.
GLM analysis confirmed that the location a.s.l. and tree species affect the content of light and heavy fractions of SOM (Table 5). Tree species was a significant factor for all SOM factions’ N and C content. Altitude a.s.l. affected the CfLF, NfLF, CMAF, and NMAF content. The simultaneous importance of tree species and altitude was noted for CfLF, NfLF, and NoLF content (Table 5). The conducted PCA analysis confirmed relationships between the SOM fractions and tree species and location in the altitude gradient. In addition, the PCA confirmed the distinction between the organic matter fractions of soils under beech and fir tree stands (Figure 3). Factors 1 and 2 explained 52.0% of the variance of the tested characteristics. Factor 1 explained 34.7% of the variance, while factor 2 explained 17.4% of the variance. Factor 1 was related to the SOM fractions and altitude gradient. Factor 2 was related to tree species and root characteristics. PCA analysis confirmed the distinction between the fractional composition of soils located at altitudes of 600 and 1000 m a.s.l. In addition, the conducted analyses show the correlation between root properties and SOM fractions content. The PCA analysis confirmed the importance of the location conditions and tree species in shaping root characteristics.
Table 5.
Summary of GLM analysis for soil organic matter fractions.
Figure 3.
Projection of the variables on the factor plane (CfLF—carbon of free light fraction, NfLF—nitrogen of free light fraction, CoLF—carbon of occluded light fraction, NoLF—nitrogen of occluded light fraction, CMAF—carbon of mineral associated fraction, NMAF—nitrogen of mineral associated fraction).
4. Discussion
The decreasing the temperature and increasing the humidity along the altitude gradient with a simultaneous increase in carbon accumulation is reflected in the shares of light fractions of SOM. Previously studies have confirmed that climatic factors strongly influence carbon accumulation in forest soils [26,27,28] and grassland [29], but no one identified the change in the fractional composition of SOM depending on the location condition. In mountainous areas, there is a gradual gradient of thermal and pluvial factors with increasing elevation above sea level. The analyzed climate sequence included three positions (at altitudes of 600, 800, and 1000 m a.s.l.) and the extreme positions differed by 2.2 °C in average annual temperature. Differences in thermal conditions translate directly to the length of the growing season. Between the lowest (600 m) and the highest (1000 m) positions, the difference in the length of the vegetation period may reach up to 1 month. Changes in thermal conditions and humidity in the altitude gradient can lead to changes in the efficiency of ecosystems and changes in the rate of decomposition of organic matter.
The mechanism of climatic factors’ influence on the accumulation of organic matter in soil and its fractional composition is complex. On the one hand, reducing the temperature at high elevations reduces the rate of biochemical changes and slows the decomposition of detritus reaching the soil [7,30]. Large amounts of C in the soil is effect of rhizosphere processes. Fast turnover of exudates and microbial biomass C in the rhizosphere may lead to local changes in the rate of microbial decomposition of various C pools: dead plant residues and/or soil organic matter (SOM) [12]. Lauchner et al. [31] proved in their research the importance of temperature in shaping the root exudation rate of beech trees. In our study, a higher C content of the stable fraction of SOM was noted in soils at a lower position (600 m a.s.l.). According to Sun et al. [32], the preferential preservation of higher stability C compounds in warmer climates might be explained by the increased decomposition of labile SOC and accumulation of recalcitrant SOC components at increasing temperatures. At the same time, the amount of rainfall increases with increasing altitude, favoring the acidification of the humus forming on the surface and displacing easily dissolved, mobile fractions of humic compounds. This phenomenon has been confirmed by the results obtained in our experiment. The soils of the highest positions observed a significant increase in acidification in surface horizons. This phenomenon can be explained by the higher leaching intensity of rainwater, which occurs in greater quantities in higher mountainous locations [33]. The slower decomposition of organic matter in higher positions causes greater accumulation of the light fraction of organic matter and a simultaneous decrease in the accumulation of the heavy fraction associated with soil mineral particles. This was also observed in other studies conducted in mountain areas [11,34]. De Feudis et al. [11] also found a significant increase in the content of the light fraction in the rhizosphere zone of soil in higher locations, which was explained by the influence of root systems in more restrictive locations with harsh climates.
The soils of beech stands are characterized by a lower share of light fractions and a higher share of heavy fractions of SOM than those of fir stands. The beech species produces a strongly developed and dense root system, creates mountain stands at much higher altitudes and should contribute to stronger intra-soil stabilization of organic matter than fir. The obtained results prove that the soil under the beech stands is characterized by a higher C content associated with the mineral fraction in the occlusions (CoLF) and mineral particles (CMAF). The content of these fractions is 25–50% higher than in the fir stands growing under similar conditions. Several reports have noted the particular importance of the organic matter roots supply to the soil for the composition and activity of microorganisms in the soil [19,20]. The supply of easily available C by roots stimulated the growth and maintenance of microorganisms [34]. Root-derived organic matter and detritus reaching the soil surface are important to soil microorganisms [35,36,37]. Research by Meier et al. [38] conducted in mature beech stands growing in various habitat conditions suggests that the beech root system secretes large amounts of exudates, especially under unfavorable soil conditions (acidic and N-deficient), and a significant portion of the assimilates produced by trees feeds the external ecosystem C cycle. We found a lower amount of C associated with the mineral part of the soil under fir stands. In our study, the soils under firs at 800 and 1000 m a.s.l. are characterized by a significantly higher organic matter content on the surface horizon; this is mainly poorly decomposed organic matter (CfLF) that is not bound to mineral substances.
Our findings indicate a relationship between the fractional composition of SOM and root biomass. The root biomass and the increase in the percentage of roots positively affected the carbon reserve of the light fraction of SOM (CfLF), while the growth of fine roots positively affected the carbon reserve of the heavy SOM fraction (CMAF). The differences in the root system characteristics of both studied species are not insignificant here. Beech should be treated as a species with greater root biomass, total length, and growth of fine roots. Fir is characterized by thicker roots, as a rule, with lower root biomass and growth of fine roots [39]. Fine roots, and especially their necromass, significantly affect mineralization processes, shaping the kinetics of the root decomposition process in the soil profile [40]. In mountainous areas, the density and biomass of fine roots not only depend on the species composition of the vegetation but also correlate with environmental factors [41]. Our research confirmed the importance of the location above sea level in changing the characteristics of the root. Higher root densities in colder environments might serve two purposes, to increase the absorbing root surface area under conditions of reduced nutrient supply and to enhance the stimulation of microbial activity under low temperatures [31]. Sierra-Cornejo et al. [42] suggest that biomass and other features of fine roots in mountain ecosystems may be affected by water and nitrogen availability. Previous studies [43] showed that with increasing altitude, the C: N ratio increased significantly, which suggests that N may limit the decomposition of litter and soil organic matter at high altitudes.
5. Conclusions
The decreasing the temperature and increasing the humidity along the altitude gradient with a simultaneous increase in carbon accumulation is reflected in the shares of light fractions of SOM. Soils at higher locations are dominated by the light fraction of SOM, which results from slower decomposition processes. Regardless of their location along the altitude gradient, the soils of beech stands are characterized by a lower share of the light fraction and a higher share of the heavy fraction of SOM relative to the soils of fir stands. Coniferous species such as firs, by supplying above ground and underground biomass can reduce the soil pH, which may slow down the decomposition processes. We confirmed the importance of roots in shaping the fractional composition of SOM. Our research shows that avoiding single-species coniferous stands and introducing admixtures of deciduous species, which increase the heavy SOM fraction, is justified in forest management. The light fraction of SOM tends to degrade faster and is, therefore, less stable than the heavy fraction. The species composition of stands should be selected to foster an increase in the stable, heavy fraction of SOM.
Author Contributions
K.S., E.B. and J.L. conceived and designed the investigation; analyzed and visualized the data; E.B. and J.L. concepts research methodology; K.S., E.B. and J.L. preparation of manuscript. All authors have read and agreed to the published version of the manuscript.
Funding
The research was funded by the Ministry of Science and Higher Education of the Republic of Poland (AD11; A463) and project No. 2021/41/N/NZ9/00264, PRELUDIUM-20, National Science Centre, Poland.
Data Availability Statement
The data that support the findings of this study are available from the corresponding author on reasonable request.
Conflicts of Interest
The authors declare no conflict of interest.
References
- Prescott, C.; Zabek, L.M.; Staley, C.L.; Kabzems, R. Decomposition of broadleaf and needles litter in forests of British Columbia: Influences of litter type, forest type and litter mixtures. Can. J. For. Res. 2000, 30, 1742–1750. [Google Scholar] [CrossRef]
- Cools, N.; Vesterdal, L.; De Vos, B.; Vanguelova, E.; Hansen, K. Tree species is the major factor explaining C:N ratios in European forest soils. For. Ecol. Manag. 2014, 311, 3–16. [Google Scholar] [CrossRef]
- Błońska, E.; Piaszczyk, W.; Staszel, K.; Lasota, J. Enzymatic activity of soils and soil organic matter stabilization as an effect of components released from the decomposition of litter. Appl. Soil Ecol. 2021, 157, 103723. [Google Scholar] [CrossRef]
- Lal, R. Carbon sequestration. Philos. Trans. R. Soc. B Biol. Sci. 2008, 363, 815–830. [Google Scholar] [CrossRef]
- Bossio, D.A.; Cook-Patton, S.C.; Ellis, P.W.; Fargione, J.; Sanderman, J.; Smith, P.; Wood, S.; Zomer, R.J.; Von Unger, M.; Emmer, I.M.; et al. The role of soil carbon in natural climate solutions. Nat. Sustain. 2020, 3, 391–398. [Google Scholar] [CrossRef]
- Kirschbaum, M.U.F. The temperature dependence of soil organic matter decomposition, and the effect of global warming on soil organic C storage. Soil Biol. Biochem. 1995, 27, 753–760. [Google Scholar] [CrossRef]
- Zak, D.R.; Pregitzer, K.S.; King, J.S.; Holmes, W.E. Elevated atmospheric CO2, fine roots and the response of soil microorganisms: A review and hypothesis. New Phytol. 2000, 147, 201–222. [Google Scholar] [CrossRef]
- Błońska, E.; Lasota, J.; Tullus, A.; Lutter, R.; Ostonen, I. Impact of deadwood decomposition on soil organic carbon sequestration in Estonian and Polish forests. Ann. For. Sci. 2019, 76, 102. [Google Scholar] [CrossRef]
- Lasota, J.; Błońska, E.; Łyszczarz, S.; Tibbett, M. Forest humus type governs heavy metal accumulation in specific organic matter fractions. Water Air Soil Pollut. 2020, 231, 80. [Google Scholar] [CrossRef]
- Grüneberg, E.; Schöning, I.; Hessenmöller, D.; Schulze, E.D.; Weisser, W.W. Organic layer and clay content control soil organic carbon stocks in density fractions of differently managed German beech forests. For. Ecol. Manag. 2013, 303, 1–10. [Google Scholar] [CrossRef]
- De Feudis, M.; Cardelli, V.; Massaccesi, L.; Trumbore, S.E.; Vittori Antisari, L.; Cocco, S.; Corti, G.; Agnelli, A. Small altitudinal change and rhizosphere affect the SOM light fractions but not the heavy fraction in European beech forest soil. Catena 2019, 181, 104091. [Google Scholar] [CrossRef]
- Cheng, W.; Kuzyakov, Y. Root effects on soil organic matter decomposition. In Roots and Soil Management: Interactions between Roots and the Soil. Agronomy Monograph; Wright, S., Zobel, R., Eds.; American Society of Agronomy: Madison, WI, USA, 2005; Volume 48, pp. 119–143. [Google Scholar]
- Rasse, D.P.; Rumpel, C.; Dignac, M.F. Is soil carbon mostly root carbon? Mechanisms for a specific stabilization. Plant Soil 2005, 269, 341–356. [Google Scholar] [CrossRef]
- Gray, S.B.; Brady, S.M. Plant developmental responses to climate change. Dev. Biol. 2016, 419, 64–77. [Google Scholar] [CrossRef] [PubMed]
- Cesarz, S.; Fender, A.C.; Beyer, F.; Valtanen, K.; Pfeiffer, B.; Gansert, D.; Hertel, D.; Polle, A.; Daniel, R.; Leuschner, C.; et al. Roots from beech (Fagus sylvatica L.) and ash (Fraxinus excelsior L.) differentially affect soil microorganisms and carbon dynamics. Soil Biol. Biochem. 2013, 61, 23–32. [Google Scholar] [CrossRef]
- Błońska, E.; Lasota, J.; Gruba, P. Enzymatic activity and stabilization of organic matter in soil with different detritus inputs. J. Soil Sci. Plant Nutr. 2017, 63, 242–247. [Google Scholar]
- Wardle, D.A.; Bardgett, R.D.; Klironomos, J.N.; Setälä, H.; Van Der Putten, W.H.; Wall, D.H. Ecological linkages between aboveground and belowground biota. Science 2004, 304, 1629–1633. [Google Scholar] [CrossRef]
- Castellano, M.J.; Mueller, K.E.; Olk, D.C.; Sawyer, J.E.; Six, J. Integrating plant litter quality, soil organic matter stabilization and the carbon saturation concept. Glob. Change Biol. 2015, 21, 3200–3209. [Google Scholar] [CrossRef]
- Likulunga, E.; Pérez, C.A.R.; Schneider, D.; Daniel, R.; Polle, A. Tree species composition and soil properties in pure and mixed beech-conifer stands drive soil fungal communities. For. Ecol. Manag. 2021, 502, 119709. [Google Scholar] [CrossRef]
- Lu, J.Z.; Scheu, S. Response of soil microbial communities to mixed beech-conifer forests varies with site conditions. Soil Biol. Biochem. 2021, 155, 108155. [Google Scholar] [CrossRef]
- Salminen, H.; Jalkanen, R. Modelling the effect of temperature on height increment of Scots pine at high latitudes. Silva Fenn. 2005, 39, 497–508. [Google Scholar] [CrossRef]
- Schenker, G.; Lenz, A.; Körner, C.; Hoch, G. Physiological minimum temperatures for root growth in seven common European broadleaved tree species. Tree Physiol. 2014, 34, 302–313. [Google Scholar] [CrossRef] [PubMed]
- IUSS Working Group WRB. World Reference Base for Soil Resources 2014. International Soil Classification System for Naming Soil and Creating Legends for Soil Maps; Update 2015, World Soil Resources Reports No. 106; Food and Agriculture Organization of the United Nations (FAO): Rome, Italy, 2015; p. 190. [Google Scholar]
- Sohi, S.P.; Mahieu, N.; Arah, J.R.M.; Powlson, D.S.; Madari, B.; Gaunt, J.L. A procedure for isolating soil organic matter fractions suitable for modeling. Soil Sci. Soc. Am. J. 2001, 65, 1121–1128. [Google Scholar] [CrossRef]
- Böhm, W. Metody Badania Systemów Korzeniowych; PWRiL: Warsaw, Poland, 1985; p. 267. ISBN 83-09-00902-X. [Google Scholar]
- Bojko, O.; Kabała, C. Transformation of physicochemical soil properties along a mountain slope due to land management and climate changes—A case study from the Karkonosze Mountains, SW Poland. Catena 2016, 140, 43–54. [Google Scholar] [CrossRef]
- Bojko, O.; Kabała, C. Organic carbon pools in mountain soils—Sources of variability and predicted changes in relation to climate and land use changes. Catena 2017, 149, 209–220. [Google Scholar] [CrossRef]
- Fekete, I.; Berki, I.; Lajtha, K.; Trumbore, S.; Francioso, O.; Gioacchini, P.; Montecchio, D.; Várbíró, G.; Béni, Á.; Makádi, M.; et al. How will a drier climate change carbon sequestration in soils of the deciduous forests of Central Europe? Biogeochemistry 2020, 152, 13–32. [Google Scholar] [CrossRef]
- Zhao, Y.F.; Wang, X.; Jiang, S.L.; Zhou, X.H.; Liu, H.Y.; Xiao, J.J.; Hao, Z.G.; Wang, K.C. Climate and geochemistry interactions at different altitudes influence soil organic carbon turnover times in alpine grasslands. Agric. Ecosyst. Environ. 2021, 320, 107591. [Google Scholar] [CrossRef]
- Mayer, M.; Prescott, C.E.; Abaker, W.E.A.; Augusto, L.; Cécillon, L.; Ferreira, G.W.D.; James, J.; Jandl, R.; Katzensteiner, K.; Laclau, J.P.; et al. Tamm Review: Influence of forest management activities on soil organic carbon stocks: A knowledge synthesis. For. Ecol. Manag. 2020, 466, 118127. [Google Scholar] [CrossRef]
- Leuschner, C.; Tückmantel, T.; Meier, I.C. Temperature effects on root exudation in mature beech (Fagus sylvatica L.) forests along an elevational gradient. Plant Soil 2022. [Google Scholar] [CrossRef]
- Sun, X.; Tang, Z.; Ryan, M.G.; You, Y.; Sun, O.J. Changes in soil organic carbon contents and fractionations of forests along a climatic gradient in China. For. Ecosyst. 2019, 6, 1. [Google Scholar] [CrossRef]
- Yao, Y.; Dai, Q.; Gao, R.; Gan, Y.; Yi, X. Effects of rainfall intensity on runoff and nutrient loss of gently sloping farmland in a karst area of SW China. PLoS ONE 2021, 16, e0246505. [Google Scholar] [CrossRef]
- Bu, X.; Ruan, H.; Wang, L.; Ma, W.; Ding, J.; Yu, X. Soil organic matter in density fractions as related to vegetation changes along an altitude gradient in the Wuyi Mountains, southeastern China. Appl. Soil Ecol. 2012, 52, 42–47. [Google Scholar] [CrossRef]
- Kuzyakov, Y.; Xu, X. Competition between roots and microorganisms for nitrogen: Mechanisms and ecological relevance. New Phytol. 2013, 198, 656–669. [Google Scholar] [CrossRef] [PubMed]
- Bluhm, S.; Eitzinger, B.; Ferlian, O.; Bluhm, C.; Schröter, K.; Pena, R.; Maraun, M.; Scheu, S. Deprivation of root-derived resources affects microbial biomass but not community structure in litter and soil. PLoS ONE 2019, 14, e0214233. [Google Scholar] [CrossRef]
- Pierson, D.; Evans, L.; Kayhani, K.; Bowden, R.D.; Nadelhoffer, K.; Simpson, M.; Lajtha, K. Mineral stabilization of soil carbon is suppressed by live roots, outweighing influences from litter quality or quantity. Biogeochemistry 2021, 154, 433–449. [Google Scholar] [CrossRef]
- Meier, I.C.; Tückmantel, T.; Heitkötter, J.; Müller, K.; Preusser, S.; Thomas, J.; Wrobel, T.J.; Kandeler, E.; Marschner, B.; Leuschner, C. Root exudation of mature beech forests across a nutrient availability gradient: The role of root morphology and fungal activity. New Phytol. 2020, 226, 583–594. [Google Scholar] [CrossRef] [PubMed]
- Białobok, S. Silver Fir Abies alba. State; Scientific Publishing House: Warsaw, Poland; Poznań, Poland, 1983. [Google Scholar]
- Vormstein, S.; Kaiser, M.; Piepho, H.-P.; Joergensen, R.G.; Ludwig, B. Effects of fine root characteristics of beech on carbonturnover in the topsoil and subsoil of a sandy Cambisol. Eur. J. Soil Sci. 2017, 68, 177–188. [Google Scholar] [CrossRef]
- Leuschner, C.; Hertel, D. Fine root biomass of temperate forests in relation to soil acidity and fertility, climate, age and species. Prog. Bot. 2003, 64, 405–438. [Google Scholar] [CrossRef]
- Sierra Cornejo, N.; Hertel, D.; Becker, J.N.; Hemp, A.; Leuschner, C. Biomass, Morphology, and Dynamics of the Fine Root System Across a 3,000-M Elevation Gradient on Mt. Kilimanjaro. Front. Plant Sci. 2020, 11, 13. [Google Scholar] [CrossRef]
- He, X.; Hou, E.; Liu, Y.; Wen, D. Altitudinal patterns and controls of plant and soil nutrient concentrations and stoichiometry in subtropical China. Sci. Rep. 2016, 6, 24261. [Google Scholar] [CrossRef]
Publisher’s Note: MDPI stays neutral with regard to jurisdictional claims in published maps and institutional affiliations. |
© 2022 by the authors. Licensee MDPI, Basel, Switzerland. This article is an open access article distributed under the terms and conditions of the Creative Commons Attribution (CC BY) license (https://creativecommons.org/licenses/by/4.0/).


