Reduced-Impact Logging Maintain High Moss Diversity in Temperate Forests
Abstract
1. Introduction
2. Materials and Methods
2.1. Study Area
2.2. Experimental Design
2.3. Sampling and Data Compilation
2.4. Data Analyses
3. Results
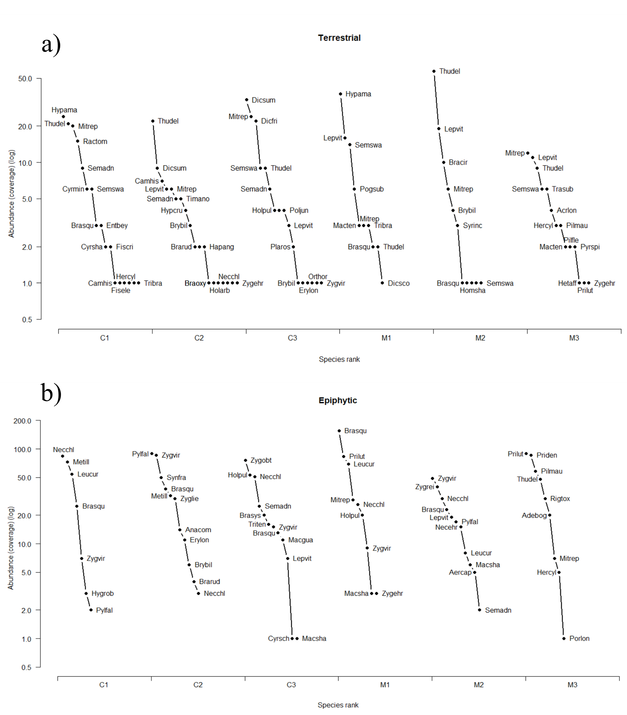
3.1. Alpha and Beta Diversity and Community Structure of Mosses
3.2. Indicator Species and the Environment Influence on Mosses Diversity
4. Discussion
4.1. Diversity and Community Moss Structure
4.2. Indicator Species
4.3. Implications for Forest Management and Future Research
5. Conclusions
Author Contributions
Funding
Acknowledgments
Conflicts of Interest
Appendix A
| Acronym | Families and Species | Sites | |||||
|---|---|---|---|---|---|---|---|
| C1 | C2 | C3 | M1 | M2 | M3 | ||
| Amblystegiaceae | |||||||
| Anacom | Anacamptodon compactus (Thér.) W.R. Buck | E | |||||
| Camhis | Campylium hispidulum (Brid.) Mitt. | T | T | ||||
| Hygrob | Hygrohypnum robinsonii H.A. Crum | E | |||||
| Brachytheciaceae | |||||||
| Aercap | Aerolindgia capillacea (Hornsch.) M. Menzel | E | |||||
| Braoxy | Brachythecium oxycladon (Brid.) A. Jaeger | T | |||||
| Bracir | Brachythecium cirriphylloides K.D. McFarland | T | |||||
| Brarud | Brachythecium ruderale (Brid.) W.R. Buck | TE | |||||
| Bryaceae | |||||||
| Brasys | Brachymenium systylium (Müll. Hal.) A. Jaeger | E | |||||
| Brybil | Bryum billarderii Schwägr. | TE | T | T | |||
| Rhohui | Rhodobryum huillense (Welw. &Duby) Touw | T | |||||
| Calymperaceae | |||||||
| Syrinc | Syrrhopodon incompletus Schwägr. | T | |||||
| Daltoniaceae | |||||||
| Adebog | Adelothecium bogotense (Hampe) Mitt. | E | |||||
| Dicranaceae | |||||||
| Dic1 | Dicranaceae 1 | T | |||||
| Dicfrig | Dicranum frigidum Müll. Hal. | T | |||||
| Dicsco | Dicranum scoparium Hedw. | T | |||||
| Dicsum | Dicranum sumichrastii Duby | T | T | ||||
| Holarb | Holomitrium arboreum Mitt. | T | |||||
| Holpul | Holomitrium pulchellum Mitt. | T | TE | E | |||
| Entodontaceae | |||||||
| Entbey | Entodon beyrichii (Schwägr.) Müll. Hal. | T | |||||
| Erylon | Erythrodontium longisetum (Hook.) Paris | E | T | ||||
| Fissidentaceae | |||||||
| Fiscri | Fissidens crispus Mont. | T | |||||
| Fisele | Fissidens elegans Brid. | T | |||||
| Hedwigiaceae | |||||||
| Brasqu | Braunia squarrulosa (Hampe) Müll. Hal. | TE | TE | E | TE | TE | |
| Hypnaceae | |||||||
| Hercyl | Herzogiella cylindricarpa (Cardot) Z. Iwats. | T | TE | ||||
| Homsha | Homomallium sharpii Ando & Higuchi | T | |||||
| Hypama | Hypnum amabile (Mitt.) Hampe | T | T | ||||
| Hypcup | Hypnum cupressiforme Hedw. | T | |||||
| Mitrep | Mittenothamnium reptans (Hedw.) Cardot | T | T | T | TE | T | TE |
| Pylfal | Pylaisia falcata Schimp. | E | E | E | |||
| Lembophyllaceae | |||||||
| Pilfle | Pilotrichella flexilis (Hedw.) Ångstr. | T | |||||
| Pilmau | Pilotrichella mauiensis (Sull.) A. Jaeger | TE | |||||
| Leskeaceae | |||||||
| Hapang | Haplocladium angustifolium (Hampe&Müll. Hal.) Broth. | T | |||||
| Leucodontaceae | |||||||
| Leucur | Leucodon curvirostris Hampe | E | E | E | |||
| Meteoriaceae | |||||||
| Metill | Meteorium illecebrum Sull. | E | E | ||||
| Mniaceae | |||||||
| Plaros | Plagiomnium rostratum (Schrad.) T.J. Kop. | T | |||||
| Neckeraceae | |||||||
| Necchl | Neckera chlorocaulis Müll. Hal. | E | TE | TE | E | E | |
| Necehr | Neckera ehrenbergii Müll. Hal. | E | |||||
| Porlon | Porotrichum longirostre (Hook.) Mitt. | E | |||||
| Orthotrichaceae | |||||||
| Macten | Macrocoma tenuis (Hook. &Trev.) Vitt | T | T | T | |||
| Macgua | Macromitrium guatemalense Müll. Hal. | E | |||||
| Macsha | Macromitrium sharpii H.A. Crum ex Vitt | E | E | E | |||
| Orthor | Orthotrichum hortoniae Vitt | T | |||||
| Zygehr | Zygodon ehrenbergii Müll. Hal. | T | E | T | |||
| Zyglie | Zygodon liebmannii Schimp. | E | |||||
| Zygobt | Zygodon obtusifolius Hook. | E | |||||
| Zygrei | Zygodon reinwardtii (Hornsch.) A. Braun | E | |||||
| Zygvir | Zygodon viridissimus (Dicks.) Brid. | E | E | TE | E | E | |
| Pilotrichaceae | |||||||
| Trasub | Trachyxiphium subfalcatum (Hampe) W.R. Buck | T | |||||
| Polytrichaceae | |||||||
| Pogsub | Pogonatum subflexuosum (Lorentz) Broth. | T | |||||
| Poljun | Polytrichum juniperinum Hedw. | T | |||||
| Pottiaceae | |||||||
| Hyoinv | Hyophila involute (Hook.) A. Jaeger | T | |||||
| Lepvit | Leptodontium viticulosoides (P. Beauv.) Wijk & Margad. | T | TE | T | TE | T | |
| Synfra | Syntrichia fragilis (Taylor) Ochyra | E | |||||
| Timano | Timmiella anomala (Bruch & Schimp.) Limpr. | T | |||||
| Tribra | Trichostomum brachydontium Bruch | T | T | ||||
| Triten | Trichostomum tenuirostre (Hook. & Taylor) Lindb. | E | |||||
| Prionodontaceae | |||||||
| Priden | Prionodon densus (Sw. ex Hedw.) Müll. Hal. | E | |||||
| Prilut | Prionodon luteovirens (Taylor) Mitt. | E | TE | ||||
| Pylaisiadelphaceae | |||||||
| Hetaff | Heterophyllium affine (Hook. in Kunth) Fleisch. | T | |||||
| Racopilaceae | |||||||
| Ractom | Racopilum tomentosum (Hedw.) Brid. | T | |||||
| Rhabdoweisiaceae | |||||||
| Symvag | Symblepharis vaginata (Hook.) Wijk & Margad. | T | |||||
| Rhizogoniaceae | |||||||
| Pyrspi | Pyrrhobryum spiniforme (Hedw.) Mitt. | T | |||||
| Rigodiaceae | |||||||
| Rigtox | Rigodium toxarion (Schwägr.) A. Jaeger | E | |||||
| Sematophyllaceae | |||||||
| Acrlon | Acroporium longirostre (Brid.) W.R. Buck | T | |||||
| Semadn | Sematophyllum adnatum (Michx.) E. Britton | T | T | TE | TE | ||
| Semswa | Sematophyllum swartzii (Schwägr.) W.H. Welch & H.A. Crum | T | T | T | T | T | |
| Thuidiaceae | |||||||
| Cyrmin | Cyrto-hypnum minutulum (Hedw.) W.R. Buck & H.A. Crum | T | T | T | |||
| Cyrsch | Cyrto-hypnum schistocalyx (Müll. Hal.) W.R. Buck & H.A. Crum | E | |||||
| Cyrsha | Cyrto-hypnum sharpii (H.A. Crum) W.R. Buck & H.A. Crum | T | |||||
| Thudel | Thuidium delicatulum (Hedw.) Schimp. | T | T | T | T | T | TE |
| TMR | EMR | M_RTM | M_REM | SD_TMR | SD_EMR | M_DT | SD_DT | M_DL | SD_DL | M_CC | M_Alt | M_Tap | M_Ori | M_Slop | SD_CC | |
| TMR | 1 | −0.09 | 0.8 | 0.21 | 0.21 | −0.09 | 0.59 | −0.12 | −0.38 | −0.35 | 0.57 | −0.51 | −0.62 | −0.02 | 0.61 | −0.63 |
| EMR | −0.09 | 1 | 0.07 | 0.67 | 0.12 | 0.65 | 0.15 | 0.27 | 0.64 | 0.54 | −0.7 | 0.25 | −0.37 | −0.2 | 0.11 | 0.69 |
| M_RTM | 0.8 | 0.07 | 1 | 0.63 | 0.49 | −0.28 | 0.57 | −0.53 | −0.54 | −0.57 | 0.65 | −0.47 | −0.35 | −0.13 | 0.72 | −0.67 |
| M_REM | 0.21 | 0.67 | 0.63 | 1 | 0.21 | 0.08 | 0.49 | −0.21 | 0.11 | 0 | −0.05 | −0.07 | −0.37 | 0.05 | 0.45 | 0.05 |
| SD_TMR | 0.21 | 0.12 | 0.49 | 0.21 | 1 | −0.07 | −0.11 | −0.81 | −0.58 | −0.58 | 0.34 | −0.25 | 0.44 | −0.87 | 0.46 | −0.32 |
| SD_EMR | −0.09 | 0.65 | −0.28 | 0.08 | −0.07 | 1 | 0.32 | 0.46 | 0.77 | 0.83 | −0.69 | −0.2 | −0.36 | −0.33 | 0.25 | 0.71 |
| M_DT | 0.59 | 0.15 | 0.57 | 0.49 | −0.11 | 0.32 | 1 | 0 | 0.12 | 0.2 | 0.26 | −0.78 | −0.68 | 0.15 | 0.82 | −0.23 |
| SD_DT | −0.12 | 0.27 | −0.53 | −0.21 | −0.81 | 0.46 | 0 | 1 | 0.8 | 0.78 | −0.67 | 0.39 | −0.59 | 0.54 | −0.47 | 0.62 |
| M_DL | −0.38 | 0.64 | −0.54 | 0.11 | −0.58 | 0.77 | 0.12 | 0.8 | 1 | 0.98 | −0.9 | 0.27 | −0.44 | 0.25 | −0.24 | 0.91 |
| SD_DL | −0.35 | 0.54 | −0.57 | 0 | −0.58 | 0.83 | 0.2 | 0.78 | 0.98 | 1 | −0.84 | 0.11 | −0.42 | 0.2 | −0.14 | 0.86 |
| M_CC | 0.57 | −0.7 | 0.65 | −0.05 | 0.34 | −0.69 | 0.26 | −0.67 | −0.9 | −0.84 | 1 | −0.54 | 0.13 | −0.02 | 0.45 | −0.99 |
| M_Alt | −0.51 | 0.25 | −0.47 | −0.07 | −0.25 | −0.2 | −0.78 | 0.39 | 0.27 | 0.11 | −0.54 | 1 | 0.18 | 0.27 | −0.9 | 0.48 |
| M_Tap | −0.62 | −0.37 | −0.35 | −0.37 | 0.44 | −0.36 | −0.68 | −0.59 | −0.44 | −0.42 | 0.13 | 0.18 | 1 | −0.45 | −0.29 | −0.08 |
| M_Ori | −0.02 | −0.2 | −0.13 | 0.05 | −0.87 | −0.33 | 0.15 | 0.54 | 0.25 | 0.2 | −0.02 | 0.27 | −0.45 | 1 | −0.39 | −0.01 |
| M_Slop | 0.61 | 0.11 | 0.72 | 0.45 | 0.46 | 0.25 | 0.82 | −0.47 | −0.24 | −0.14 | 0.45 | −0.9 | −0.29 | −0.39 | 1 | −0.4 |
| SD_CC | −0.63 | 0.69 | −0.67 | 0.05 | −0.32 | 0.71 | −0.23 | 0.62 | 0.91 | 0.86 | −0.99 | 0.48 | −0.08 | −0.01 | −0.4 | 1 |
References
- Grulke, M.; Valle, P.D.; Calo, I.; Merger, E.; Pawlowski, G.; Wittmann, N. Sustainable Natural Forest Management in the Tropics: Best Practices and Investment Opportunities for Large-Scale Forestry; UNIQUE Forestry and Land Use: Freiburg, Germany, 2016. [Google Scholar]
- Cardinale, B.J.; Duffy, J.E.; Gonzalez, A.; Hooper, D.U.; Perrings, C.; Venail, P.; Narwani, A.; Mace, G.M.; Tilman, D.; Wardle, D.A.; et al. Biodiversity loss and its impact on humanity. Nature 2012, 486, 59–67. [Google Scholar] [CrossRef]
- Rands, M.R.W.; Adams, W.M.; Bennun, L.; Butchart, S.H.M.; Clements, A.; Coomes, D.; Entwistle, A.; Hodge, I.; Kapos, V.; Scharlemann, J.P.W.; et al. Biodiversity Conservation: Challenges Beyond 2010. Science 2010, 329, 1298–1303. [Google Scholar] [CrossRef]
- Foley, J.A.; DeFries, R.; Asner, G.P.; Barford, C.; Bonan, G.; Carpenter, S.R.; Chapin, F.S.; Coe, M.T.; Daily, G.C.; Gibbs, H.K.; et al. Global Consequences of Land Use. Science 2005, 309, 570–574. [Google Scholar] [CrossRef]
- Hasan, A.; Montoro Girona, M.; Grosbois, G.; Saha, N.; Halim, M.A. Land Sparing Can Maintain Bird Diversity in Northeastern Bangladesh. Sustainability 2020, 12, 6472. [Google Scholar] [CrossRef]
- Kim, S.; Axelsson, E.P.; Montoro Girona, M.; Senior, J.K. Continuous-cover forestry maintains soil fungal communities in Norway spruce dominated boreal forests. For. Ecol. Manag. 2021, 480. [Google Scholar] [CrossRef]
- Burivalova, Z.; Sekercioglu, C.H.; Koh, L.P. Thresholds of logging intensity to maintain tropical forest biodiversity. Curr. Biol. CB 2014, 24, 1893–1898. [Google Scholar] [CrossRef] [PubMed]
- Imai, N.; Samejima, H.; Langner, A.; Ong, R.C.; Kita, S.; Titin, J.; Chung, A.Y.; Lagan, P.; Lee, Y.F.; Kitayama, K. Co-benefits of sustainable forest management in biodiversity conservation and carbon sequestration. PLoS ONE 2009, 4, e8267. [Google Scholar] [CrossRef]
- Bawa, K.S.; Seidler, R. Natural Forest Management and Conservation of Biodiversity in Tropical Forests. Conserv. Biol. 1998, 12, 46–55. [Google Scholar] [CrossRef]
- Torres-Rojo, J.M.; Moreno-Sánchez, R.; Mendoza-Briseño, M.A. Sustainable Forest Management in Mexico. Curr. For. Rep. 2016, 2, 93–105. [Google Scholar] [CrossRef]
- Chaudhary, A.; Burivalova, Z.; Koh, L.P.; Hellweg, S. Impact of forest management on species richness: Global meta-analysis and economic trade-offs. Sci. Rep. 2016, 6, 23954. [Google Scholar] [CrossRef]
- Mongtagnini, F.; Jordan, C.F. Tropical Forest Ecology: The Basis for Conservation and Management; Springer: Berlin, Germany, 2005. [Google Scholar]
- Bicknell, J.E.; Struebig, M.J.; Edwards, D.P.; Davies, Z.G. Improved timber harvest techniques maintain biodiversity in tropical forests. Curr. Biol. 2014, 24, R1119–R1120. [Google Scholar] [CrossRef] [PubMed]
- Günter, S.; Weber, M.; Stimm, B.; Mosandl, R. Silviculture in the Tropics; Springer: Berlin, Germany, 2011. [Google Scholar] [CrossRef]
- Hendrison, J. Damage-Controlled Logging in Managed Tropical Rain Forest in Suriname; Wageningen Agricultural University: Wageningen, The Netherlands, 1990. [Google Scholar]
- Putz, F.E.; Sist, P.; Fredericksen, T.; Dykstra, D. Reduced-impact logging: Challenges and opportunities. For. Ecol. Manag. 2008, 256, 1427–1433. [Google Scholar] [CrossRef]
- Putz, F.E.; Pinard, M.A. Reduced-impact logging as a carbon-offset method. Conserv. Biol. 1993, 7, 755–757. [Google Scholar] [CrossRef]
- Asia-Pacific Forestry Commission. Applying Reduced Impact Logging to Advance Sustainable Forest Management; Enters, T., Durst, P.B., Applegate, G.B., Kho, P.C.S., Man, G., Eds.; Food and Agriculture Organization of the United Nations and Regional Office for Asia and the Pacific: Bangkok, Thailand, 2002. [Google Scholar]
- Paillet, Y.; Berges, L.; Hjalten, J.; Odor, P.; Avon, C.; Bernhardt-Romermann, M.; Bijlsma, R.J.; De Bruyn, L.; Fuhr, M.; Grandin, U.; et al. Biodiversity differences between managed and unmanaged forests: Meta-analysis of species richness in Europe. Conserv. Biol. J. Soc. Conserv. Biol. 2010, 24, 101–112. [Google Scholar] [CrossRef]
- Ellis, E.A.; Montero, S.A.; Hernández Gómez, I.U.; Romero Montero, J.A.; Ellis, P.W.; Rodríguez-Ward, D.; Blanco Reyes, P.; Putz, F.E. Reduced-impact logging practices reduce forest disturbance and carbon emissions in community managed forests on the Yucatán Peninsula, Mexico. For. Ecol. Manag. 2019, 437, 396–410. [Google Scholar] [CrossRef]
- Álvarez, S.; Rubio, A. LÍnea Base De Carbono En Bosque Mixto De Pino-Encino De La Sierra JuÁrez (Oaxaca, MÉxico). AplicaciÓn Del Modelo Co2fix V.3.2. Rev. Chapingo Ser. Cienc. For. Ambiente 2013, XIX, 125–137. [Google Scholar] [CrossRef]
- Bray, D.B. The struggle for the forest: Conservation and Development in the Sierra Juarez. Grassroots Dev. 1991, 15, 12–25. [Google Scholar]
- Bray, D.B.; Pérez, L.M.; Barry, D. Los Bosques Comunitarios de México: Manejo Sustentable de Paisajes Forestales, 1st ed.; Secretaría de Medio Ambiente y Recursos Naturales, Instituto Nacional de Ecología, Instituto de Geografía de la Universidad Nacional Autónoma de México, Consejo Civil Mexicano para la Silvicultura Sostenible A.C., Florida International University: México Distrito Federal, México, 2007. [Google Scholar]
- Smith, D.M. The Practice of Silviculture, 8th ed.; Wiley: New York, NY, USA, 1986. [Google Scholar]
- Rainforest Alliance. Resumen Público de Certificación de Union de Productores Forestales Zapotecas-Chinantecas de la Sierra de Juárez de R.I. (UZACHI); Rainforest Alliance: New York, NY, USA, 1996; p. 48. [Google Scholar]
- Ódor, P.; Király, I.; Tinya, F.; Bortignon, F.; Nascimbene, J. Reprint of: Patterns and drivers of species composition of epiphytic bryophytes and lichens in managed temperate forests. For. Ecol. Manag. 2014, 321, 42–51. [Google Scholar] [CrossRef]
- Rainforest Alliance. Resumen Público de Certificación Comunidad Ixtlan de Juarez; Rainforest Alliance: New York, NY, USA, 2006; p. 34. [Google Scholar]
- Putz, F.E.; Zuidema, P.A.; Synnott, T.; Peña-Claros, M.; Pinard, M.A.; Sheil, D.; Vanclay, J.K.; Sist, P.; Gourlet-Fleury, S.; Griscom, B.; et al. Sustaining conservation values in selectively logged tropical forests: The attained and the attainable. Conserv. Lett. 2012, 5, 296–303. [Google Scholar] [CrossRef]
- Carreño-Rocabado, G.; Peña-Claros, M.; Bongers, F.; Alarcón, A.; Licona, J.-C.; Poorter, L.; Vesk, P. Effects of disturbance intensity on species and functional diversity in a tropical forest. J. Ecol. 2012, 100, 1453–1463. [Google Scholar] [CrossRef]
- Imai, N.; Seino, T.; Aiba, S.-I.; Takyu, M.; Titin, J.; Kitayama, K. Effects of selective logging on tree species diversity and composition of Bornean tropical rain forests at different spatial scales. Plant Ecol. 2012, 213, 1413–1424. [Google Scholar] [CrossRef]
- Webb, E.L.; Peralta, R. Tree community diversity of lowland swamp forest in Northeast Costa Rica, and changes associated with controlled selective logging. Biodivers. Conserv. 1998, 7, 565–583. [Google Scholar] [CrossRef]
- Chen, Y.; Niu, S.; Li, P.; Jia, H.; Wang, H.; Ye, Y.; Yuan, Z. Stand Structure and Substrate Diversity as Two Major Drivers for Bryophyte Distribution in a Temperate Montane Ecosystem. Front. Plant Sci. 2017, 8, 874. [Google Scholar] [CrossRef] [PubMed]
- Vanderpoorten, A.; Goffinet, B. Introduction to Bryophytes; Cambridge University Press: Cambridge, UK, 2009. [Google Scholar]
- Fenton, N.J.; Hylander, K.; Pharo, E.J. Bryophytes in forest ecosystems. In Routledge Handbook of Forest Ecology; Peh, K.S.-H., Corlett, R.T., Bergeron, Y., Eds.; Routledge: London, UK, 2015; pp. 241–251. [Google Scholar]
- Söderström, L. Conservation Biology of Bryophytes. Lindbergia 2006, 31, 24–32. [Google Scholar]
- Frego, K.A. Bryophytes as potential indicators of forest integrity. For. Ecol. Manag. 2007, 242, 65–75. [Google Scholar] [CrossRef]
- Proctor, M.C.F. Physiological ecology. In Bryophyte Biology, 2nd ed.; Goffinet, B., Shaw, A.J., Eds.; Cambridge University Press: Cambridge, UK, 2009; pp. 237–268. [Google Scholar]
- Sheridan, R.P. Nitrogenase activity by Hapalosiphon flexuosus associated with Sphagnum erythrocalyx mats in the cloud forest on the volcano La Soufriere, Guadeloupe, French West Indies. Biotropica 1991, 23, 134–140. [Google Scholar] [CrossRef]
- Glime, J.M. Bryological Interaction. In Bryophyte Ecology; Michigan Technological University and the International Association of Bryologists: Houghton, MI, USA, 2017; Volume 2. [Google Scholar]
- Suárez-Mota, M.E.; Villaseñor, J.L.; Ramírez-Aguirre, M.B. Sitios prioritarios para la conservación de la riqueza florística y el endemismo de la Sierra Norte de Oaxaca, México. Acta Bot. Mex. 2018, 49–74. [Google Scholar] [CrossRef]
- Rodríguez-Rivera, V. Distribución, Riqueza y Composición Química de Agallas en dos Bosques Templados: Uso Potencial Como Indicadores Ecológicos; Universidad de la Sierra Juárez: Oaxaca, México, 2014. [Google Scholar]
- Dávila, P.; Torres, L.; Torres-Colín, R.; Herrera-McBryde, O. Sierra Juárez, Oaxaca, México. In Centres of Plant Diversity: A Guide and Strategy for their Conservation: The Americas; Davis, S., Heywood, D., Herrera-MacBryde, V.H., Villa-Lobos, O., Hamilton, A.C., Eds.; The World Wide Fund For Nature, International Union for Conservation of Nature, The World Conservation Union: Cambridge, UK, 1997; Volume 3, pp. 135–138. [Google Scholar]
- Alfaro-Sánchez, G. Suelos. In Biodiversidad de Oaxaca; García-Mendoza, A.J., Ordóñez-Díaz, M.J., Briones-Salas, M.A., Eds.; Instituto de Biología, Universidad Nacional Autónoma de México, Fondo Oaxaqueño para la Conservación de la Naturaleza, World Wildlife Fund: México Distrito Federal, México, 2004; pp. 55–65. [Google Scholar]
- Torres-Colín, R. Tipos de vegetación. In Biodiversidad de Oaxaca; García-Mendoza, A.J., Ordoñez, M.J., Briones-Salas, M., Eds.; Instituto de Biología, Universidad Nacional Autónoma de México, Fondo Oaxaqueño para la Conservación de la Naturaleza, World Wildlife Fund: México Distrito Federal, México, 2004; pp. 105–117. [Google Scholar]
- Gradstein, S.R.; Nadkarni, N.M.; Krömer, T.; Holz, I.; Nicole, N. A Protocol for Rapid and Representative Sampling of Vascular and Non-Vascular Epiphyte Diversity of Tropical Rain Forests. Selbyana 2003, 24, 105–111. [Google Scholar]
- Delgadillo, M.C. Vegetación de México; Rzedowski, J., Ed.; Limusa: México Distrito Federal, México, 1978. [Google Scholar]
- Benitez, H.; Arizmendi, C.; Marquez, L. Base de Datos de las Áreas de Importancia para la Conservación de las Aves. Available online: http://conabioweb.conabio.gob.mx/aicas/doctos/aicas.htm (accessed on 4 August 2018).
- Mittermeier, R.A.; Robles, G.P.; Hoffmann, M.; Pilgrim, J.; Brooks, T.; Goettsch Mittermeier, C.; Lamoreux, J.; Da Fonseca, G.A.B. Hotspots Revisited; Cemex, Conservation International and Agrupacion Sierra Madre: Mexico Distrito Federal, Mexico, 2004. [Google Scholar]
- Enquist, B.J.; Feng, X.; Boyle, B.; Maitner, B.; Newman, E.A.; Jørgensen, P.M.; Roehrdanz, P.R.; Thiers, B.M.; Burger, J.R.; Corlett, R.T.; et al. The commonness of rarity: Global and future distribution of rarity across land plants. Sci. Adv. 2019, 5, eaaz0414. [Google Scholar] [CrossRef]
- Pazos-Almada, B.; Bray, D.B. Community-based land sparing: Territorial land-use zoning and forest management in the Sierra Norte of Oaxaca, Mexico. Land Use Policy 2018, 78, 219–226. [Google Scholar] [CrossRef]
- Hernández-Rodríguez, E.; Escalera-Vázquez, L.; Calderón-Patrón, J.M.; Mendoza, E. Mamíferos medianos y grandes en sitios de tala de impacto reducido y de conservación en la sierra Juárez, Oaxaca. Rev. Mex. de Biodivers. 2019, 90. [Google Scholar] [CrossRef]
- Navarro Cerrillo, R.M.; Esteves Vieira, D.J.; Ochoa-Gaona, S.; de Jong, B.H.J.; del Mar Delgado Serrano, M. Land cover changes and fragmentation in mountain neotropical ecosystems of Oaxaca, Mexico under community forest management. J. For. Res. 2018, 30, 143–155. [Google Scholar] [CrossRef]
- Delgadillo, M.C. Briofitas. In Manual de Herbario. Administración y Manejo de Colecciones, Técnicas de Recolección y Preparación de Ejemplares Botánicos; Lot, A., Chiang, F., Eds.; México: México Distrito Federal, México, 1986; pp. 77–82. [Google Scholar]
- Allen, B.H. Moss Flora of Central America Part 3 Anomodontaceae-Symphyodontaceae; Missouri Botanical Garden: St. Louis, MO, USA, 2010; Volume 117. [Google Scholar]
- Allen, B.H. Moss Flora of Central America Part 2 Encalyptaceae-Orthotrichaceae; Missouri Botanical Garden: St. Louis, MO, USA, 2002; Volume 90. [Google Scholar]
- Allen, B.H. Moss Flora of Central America Part 1 Sphagnaceae-Calymperaceae; Missouri Botanical Garden: St. Louis, MO, USA, 1994; Volume 48. [Google Scholar]
- Buck, W.R. Pleurocarpous Mosses of West Indies; New York Botanical Garden: New York, NY, USA, 1998; Volume 82. [Google Scholar]
- Gradstein, S.R.; Churchill, S.P.; Salazar-Allen, N. Guide to the Bryophytes of Tropical America; New York Botanical Garden Press: New York, NY, USA, 2001; Volume 86. [Google Scholar]
- Ireland, R.R.; Buck, W.R. Some Latin American Genera of Hypnaceae (Musci); Smithsonian Institution Scholarly Press: Washington, DC, USA, 2009; Volume 93. [Google Scholar]
- Sharp, A.J.; Crum, H.; Eckel, P.M. The Moss Flora of Mexico; The New York Botanical Garden: New York, NY, USA, 1994; Volume 69. [Google Scholar]
- Delgadillo, M.C. LATMOSS 2010. Available online: http://www.ibiologia.unam.mx/briologia/ (accessed on 30 September 2018).
- INEGI. Conjunto de Datos Vectoriales de la Carta de usoUso del Suelo y Vegetación, Escala 1:250000, Serie V. Available online: http://www.inegi.org.mx/geo/contenidos/recnat/edafologia/vectorial_serieii.aspx (accessed on 14 March 2017).
- QGIS.org. QGIS Geographic Information System. QGIS Association. Available online: https://www.qgis.org/en/site/getinvolved/faq/index.html (accessed on 9 November 2020).
- Chao, A.; Gotelli, N.J.; Hsieh, T.C.; Sander, E.L.; Ma, K.H.; Colwell, R.K.; Ellison, A.M. Rarefaction and extrapolation with Hill numbers: A framework for sampling and estimation in species diversity studies. Ecol. Monogr. 2014, 84, 45–67. [Google Scholar] [CrossRef]
- Carvalho, J.C.; Cardoso, P.; Gomes, P. Determining the relative roles of species replacement and species richness differences in generating beta-diversity patterns. Glob. Ecol. Biogeogr. 2012, 21, 760–771. [Google Scholar] [CrossRef]
- Feinsinger, P. Designing Field Studies for Biodiversity Conservation; Island Press: Washington, DC, USA, 2001. [Google Scholar]
- Escalera-Vázquez, L.H.; Zambrano, L. The effect of seasonal variation in abiotic factors on fish community structure in temporary and permanent pools in a tropical wetland. Freshw. Biol. 2010, 55, 2557–2569. [Google Scholar] [CrossRef]
- Kobza, R.M.; Trexler, J.C.; Loftus, W.F.; Perry, S.A. Community structure of fishes inhabiting aquatic refuges in a threatened Karst wetland and its implications for ecosystem management. Biol. Conserv. 2004, 116, 153–165. [Google Scholar] [CrossRef]
- McCune, B.; Grace, J.B.; Urban, D.L. Analysis of Ecological Communities; MjM Software Design: Gleneden Beach, OR, USA, 2002. [Google Scholar]
- Dufrene, M.; Legendre, P. Species assemblages and indicator species: The need for a flexible asymmetrical approach. Ecol. Monogr. 1997, 67, 345–366. [Google Scholar] [CrossRef]
- Legendre, P.; Legendre, L. Numerical Ecology, 3rd ed.; Elsevier: Oxford, UK, 2012. [Google Scholar]
- R Core Team. R: A Language and Environment for Statistical Computing; R Foundation for Statistical Computing: Vienna, Austria, 2018. [Google Scholar]
- Hsieh, T.C.; Ma, K.H.; Chao, A.; McInerny, G. iNEXT: An R package for rarefaction and extrapolation of species diversity (Hill numbers). Methods Ecol. Evol. 2016, 7, 1451–1456. [Google Scholar] [CrossRef]
- Cardoso, P.; Rigal, F.; Carvalho, J.C. BAT: Biodiversity Assessment Tools; R CRAN: Helsinki, Finland, 2017. [Google Scholar]
- Oksanen, J.; Blanchet, F.G.; Friendly, M.; Kindt, R.; Legendre, P.; McGlinn, D.; Minchin, P.R.; O’Hara, R.B.; Simpson, G.L.; Solymos, P.; et al. Vegan: Community Ecology Package; R CRAN: Helsinki, Finland, 2018. [Google Scholar]
- Cáceres, M.D.; Legendre, P. Associations between species and groups of sites: Indices and statistical inference. Ecology 2009, 90, 3566–3574. [Google Scholar] [CrossRef]
- Peterson, B.G.; Carl, P. PerformanceAnalytics: Econometric Tools for Performance and Risk Analysis; R CRAN: Evanston, IL, USA, 2018. [Google Scholar]
- Dexter, E.; Rollwagen-Bollens, G.; Bollens, S.M. The trouble with stress: A flexible method for the evaluation of nonmetric multidimensional scaling. Limnol. Oceanogr. Methods 2018, 16, 434–443. [Google Scholar] [CrossRef]
- Montoro Girona, M.; Rossi, S.; Lussier, J.M.; Walsh, D.; Morin, H. Understanding tree growth responses after partial cuttings: A new approach. PLoS ONE 2017, 12, e0172653. [Google Scholar] [CrossRef]
- Montoro Girona, M.; Lussier, J.M.; Morin, H.; Thiffault, N. Conifer Regeneration After Experimental Shelterwood and Seed-Tree Treatments in Boreal Forests: Finding Silvicultural Alternatives. Front. Plant Sci. 2018, 9, 1145. [Google Scholar] [CrossRef]
- Montoro Girona, M.; Morin, H.; Lussier, J.-M.; Ruel, J.-C. Post-cutting Mortality Following Experimental Silvicultural Treatments in Unmanaged Boreal Forest Stands. Front. For. Glob. Chang. 2019, 2. [Google Scholar] [CrossRef]
- D’Amato, A.W.; Bradford, J.B.; Fraver, S.; Palik, B.J. Forest management for mitigation and adaptation to climate change: Insights from long-term silviculture experiments. For. Ecol. Manag. 2011, 262, 803–816. [Google Scholar] [CrossRef]
- Bose, A.K.; Harvey, B.D.; Brais, S.; Beaudet, M.; Leduc, A. Constraints to partial cutting in the boreal forest of Canada in the context of natural disturbance-based management: A review. Forestry 2013, 87, 11–28. [Google Scholar] [CrossRef]
- Rosenvald, R.; Lõhmus, A. For what, when, and where is green-tree retention better than clear-cutting? A review of the biodiversity aspects. For. Ecol. Manag. 2008, 255, 1–15. [Google Scholar] [CrossRef]
- Castro-Arellano, I.; Presley, S.J.; Saldanha, L.N.; Willig, M.R.; Wunderle, J.M. Effects of reduced impact logging on bat biodiversity in terra firme forest of lowland Amazonia. Biol. Conserv. 2007, 138, 269–285. [Google Scholar] [CrossRef]
- Johansson, T.; Hjältén, J.; de Jong, J.; von Stedingk, H. Environmental considerations from legislation and certification in managed forest stands: A review of their importance for biodiversity. For. Ecol. Manag. 2013, 303, 98–112. [Google Scholar] [CrossRef]
- Fenton, N.J.; Imbeau, L.; Work, T.; Jacobs, J.; Bescond, H.; Drapeau, P.; Bergeron, Y. Lessons learned from 12 years of ecological research on partial cuts in black spruce forests of northwestern Québec. For. Chron. 2013, 89, 350–359. [Google Scholar] [CrossRef]
- Elek, Z.; Kovacs, B.; Aszalos, R.; Boros, G.; Samu, F.; Tinya, F.; Odor, P. Taxon-specific responses to different forestry treatments in a temperate forest. Sci. Rep. 2018, 8, 16990. [Google Scholar] [CrossRef] [PubMed]
- Yu, D.; Zhou, L.; Zhou, W.; Ding, H.; Wang, Q.; Wang, Y.; Wu, X.; Dai, L. Forest management in Northeast China: History, problems, and challenges. Environ. Manag. 2011, 48, 1122–1135. [Google Scholar] [CrossRef] [PubMed]
- Åström, M.; Dynesius, M.; Hylander, K.; Nilsson, C. Effects of slash harvest on bryophytes and vascular plants in southern boreal forest clear-cuts. J. Appl. Ecol. 2005, 42, 1194–1202. [Google Scholar] [CrossRef]
- Ódor, P.; Standovár, T. Richness of bryophyte vegetation in near-natural and managed beech stands: The effects of management-induced differences in dead wood. Ecol. Bull. 2001, 49, 219–229. [Google Scholar]
- Vellak, K.; Ingerpuu, N. Management Effects on Bryophytes in Estonian Forests. Biodivers. Conserv. 2005, 14, 3255–3263. [Google Scholar] [CrossRef]
- Tullus, T.; Rosenvald, R.; Leis, M.; Lõhmus, P. Impacts of shelterwood logging on forest bryoflora: Distinct assemblages with richness comparable to mature forests. For. Ecol. Manag. 2018, 411, 67–74. [Google Scholar] [CrossRef]
- Fenton, N.J.; Frego, K.A.; Sims, M.R. Changes in forest floor bryophyte (moss and liverwort) communities 4 years after forest harvest. Can. J. Bot. 2003, 81, 714–731. [Google Scholar] [CrossRef]
- Oldén, A.; Ovaskainen, O.; Kotiaho, J.S.; Laaka-Lindberg, S.; Halme, P. Bryophyte species richness on retention aspens recovers in time but community structure does not. PLoS ONE 2014, 9, e93786. [Google Scholar] [CrossRef] [PubMed][Green Version]
- Romero, C. Reduced-impact logging effects on commercial non-vascular pendant epiphyte biomass in a tropical montane forest in Costa Rica. For. Ecol. Manag. 1999, 118, 117–125. [Google Scholar] [CrossRef]
- Sporn, S.G.; Bos, M.M.; Hoffstätter-Müncheberg, M.; Kessler, M.; Gradstein, S.R. Microclimate determines community composition but not richness of epiphytic understory bryophytes of rainforest and cacao agroforests in Indonesia. Funct. Plant Biol. 2009, 36, 171–179. [Google Scholar] [CrossRef] [PubMed]
- Löbs, N.; Walter, D.; Barbosa, C.G.G.; Brill, S.; Alves, R.P.; Cerqueira, G.R.; de Oliveira Sá, M.; de Araújo, A.C.; de Oliveira, L.R.; Ditas, F.; et al. Microclimatic conditions and water content fluctuations experienced by epiphytic bryophytes in an Amazonian rain forest. Biogeosciences 2020, 17, 5399–5416. [Google Scholar] [CrossRef]
- Söderström, L. The occurrence of epixylic bryophyte and lichen species in an old natural and a managed forest stand in Northeast Sweden. Biol. Conserv. 1988, 45, 169–178. [Google Scholar] [CrossRef]
- Longton, R.E.; Hedderson, T.A. What are rare species and why conserve them? Lindbergia 2000, 25, 53–61. [Google Scholar]
- Gaston, K.J. Rarity; Springer Science and Business Media: Comwall, UK, 1994. [Google Scholar] [CrossRef]
- Márialigeti, S.; Németh, B.; Tinya, F.; Ódor, P. The effects of stand structure on ground-floor bryophyte assemblages in temperate mixed forests. Biodivers. Conserv. 2009, 18, 2223–2241. [Google Scholar] [CrossRef]
- Goffinet, B.; Shaw, A.J. Bryophyte Biology, 2nd ed.; Cambridge University Press: Cambridge, UK, 2009. [Google Scholar] [CrossRef]
- Táborská, M.; Kovács, B.; Németh, C.; Ódor, P.; Wulf, M. The relationship between epixylic bryophyte communities and microclimate. J. Veg. Sci. 2020, 31, 1168–1180. [Google Scholar] [CrossRef]
- Boudreault, C.; Paquette, M.; Fenton, N.J.; Pothier, D.; Bergeron, Y. Changes in bryophytes assemblages along a chronosequence in eastern boreal forest of Quebec. Can. J. For. Res. 2018, 48, 821–834. [Google Scholar] [CrossRef]
- Fenton, N.J.; Bergeron, Y. Stochastic processes dominate during boreal bryophyte community assembly. Ecology 2013, 94, 1993–2006. [Google Scholar] [CrossRef]
- Rovere, A.E.; Calabrese, G.M. Diversidad de musgos en ambientes degradados sujetos a restauración en el Parque Nacional Lago Puelo (Chubut, Argentina). Rev. Chil. Hist. Nat. 2011, 84, 571–580. [Google Scholar] [CrossRef]
- Zander, R. Genera of the Pottiaceae: Mosses of Harsh Environments; The Buffalo Society of Natural Sciences: New York, NY, USA, 1993. [Google Scholar]
- Melo, F.P.L.; Arroyo-Rodríguez, V.; Fahrig, L.; Martínez-Ramos, M.; Tabarelli, M. On the hope for biodiversity-friendly tropical landscapes. Trends Ecol. Evol. 2013, 28, 462–468. [Google Scholar] [CrossRef]
- Arroyo-Rodriguez, V.; Fahrig, L.; Tabarelli, M.; Watling, J.I.; Tischendorf, L.; Benchimol, M.; Cazetta, E.; Faria, D.; Leal, I.R.; Melo, F.P.L.; et al. Designing optimal human-modified landscapes for forest biodiversity conservation. Ecol. Lett. 2020, 23, 1404–1420. [Google Scholar] [CrossRef]
- Paltto, H.; Nordén, B.; Götmark, F. Partial cutting as a conservation alternative for oak (Quercus spp.) forest-Response of bryophytes and lichens on dead wood. For. Ecol. Manag. 2008, 256, 536–547. [Google Scholar] [CrossRef]
- Vanderpoorten, A.; Engels, P. Patterns of bryophyte diversity and rarity at a regional scale. Biodivers. Conserv. 2003, 12, 545–553. [Google Scholar] [CrossRef]
- Benítez, Á.; Prieto, M.; Aragón, G. Large trees and dense canopies: Key factors for maintaining high epiphytic diversity on trunk bases (bryophytes and lichens) in tropical montane forests. Forestry 2015, 88, 521–527. [Google Scholar] [CrossRef]
- Robson, J.P.; Berkes, F. Exploring some of the myths of land use change: Can rural to urban migration drive declines in biodiversity? Glob. Environ. Chang. 2011, 21, 844–854. [Google Scholar] [CrossRef]
- Bautista, L.J.; Damon, A.; Ochoa-Gaona, S.; Tapia, R.C. Impact of silvicultural methods on vascular epiphytes (ferns, bromeliads and orchids) in a temperate forest in Oaxaca, Mexico. For. Ecol. Manag. 2014, 329, 10–20. [Google Scholar] [CrossRef]
- Ramírez Santiago, R.; Ángeles Pérez, G.; Hernández de La Rosa, P.; Cetina Alcalá, V.M.; Plascencia Escalante, O.; Clark-Tapia, R. Efectos del aprovechamiento forestal en la estructura, diversidad y dinámica de rodales mixtos en la Sierra Juárez de Oaxaca, México. Madera y Bosques 2019, 25. [Google Scholar] [CrossRef]




| Site | Terrestrial | Epiphytic | ||||
|---|---|---|---|---|---|---|
| Obs. | Est. (CI) (Chao 2) | % spp. Record | Obs. | Est. (CI) (Chao 2) | % spp. Record | |
| C1 | 17 | 39 (25–78) | 45 | 7 | 18 (10–55) | 39 |
| C2 | 19 | 28 (22–44) | 68 | 11 | 40 (18–123) | 28 |
| C3 | 17 | 49 (28–115) | 35 | 12 | 15 (13–21) | 80 |
| M1 | 10 | 13 (11–20) | 77 | 9 | 13 (10–23) | 69 |
| M2 | 11 | 40 (18–123) | 28 | 11 | 47 (21–150) | 23 |
| M3 | 14 | 28 (18–62) | 50 | 9 | 12 (10–19) | 75 |
| Terrestrial | Epiphytic | |||||
|---|---|---|---|---|---|---|
| Sites | βrepl | βrich | βTot | βrepl | βrich | βTot |
| C1-C2 | 73 | 7 | 80 | 31 | 31 | 62 |
| C1-C3 | 79 | 0 | 79 | 50 | 31 | 81 |
| C2-C3 | 64 | 7 | 71 | 80 | 5 | 85 |
| M1-M2 | 63 | 6 | 69 | 53 | 13 | 67 |
| M1-M3 | 53 | 21 | 74 | 88 | 0 | 88 |
| M3-M2 | 67 | 14 | 81 | 90 | 10 | 100 |
| C-M | 52 | 24 | 76 | 74 | 0 | 74 |
| Variables | t or Wilcoxon Value | p | |
|---|---|---|---|
| Local-scale variables (LSV) | Canopy coverage (%) | W = 7 | 0.35 |
| Altitude (m a.s.l) | t = −1.5 | 0.22 | |
| Daily temperature (°C) | t = 2.6 | 0.07 | |
| Daily light (lx) | t = −0.5 | 0.66 | |
| Regional-scale variables (RSV) | Total annual rainfall (mm) | t = −1.8 | 0.16 |
| Orientation (°) | W = 7 | 0.40 | |
| Slope (°) | t = 1.4 | 0.23 |
Publisher’s Note: MDPI stays neutral with regard to jurisdictional claims in published maps and institutional affiliations. |
© 2021 by the authors. Licensee MDPI, Basel, Switzerland. This article is an open access article distributed under the terms and conditions of the Creative Commons Attribution (CC BY) license (http://creativecommons.org/licenses/by/4.0/).
Share and Cite
Hernández-Rodríguez, E.; Escalera-Vázquez, L.H.; García-Ávila, D.; Montoro Girona, M.; Mendoza, E. Reduced-Impact Logging Maintain High Moss Diversity in Temperate Forests. Forests 2021, 12, 383. https://doi.org/10.3390/f12040383
Hernández-Rodríguez E, Escalera-Vázquez LH, García-Ávila D, Montoro Girona M, Mendoza E. Reduced-Impact Logging Maintain High Moss Diversity in Temperate Forests. Forests. 2021; 12(4):383. https://doi.org/10.3390/f12040383
Chicago/Turabian StyleHernández-Rodríguez, Enrique, Luis H. Escalera-Vázquez, Deneb García-Ávila, Miguel Montoro Girona, and Eduardo Mendoza. 2021. "Reduced-Impact Logging Maintain High Moss Diversity in Temperate Forests" Forests 12, no. 4: 383. https://doi.org/10.3390/f12040383
APA StyleHernández-Rodríguez, E., Escalera-Vázquez, L. H., García-Ávila, D., Montoro Girona, M., & Mendoza, E. (2021). Reduced-Impact Logging Maintain High Moss Diversity in Temperate Forests. Forests, 12(4), 383. https://doi.org/10.3390/f12040383

