Assessing the Carbon Storage of Soil and Litter from National Forest Inventory Data in South Korea
Abstract
1. Introduction
2. Materials and Methods
2.1. Study Area
2.2. Data Sources and Analysis
2.2.1. Carbon Stock of Soil and Litter
2.2.2. Mapping Soil and Litter Carbon Stocks
3. Results and Discussion
3.1. Soil and Litter Carbon Stocks by Forest Type
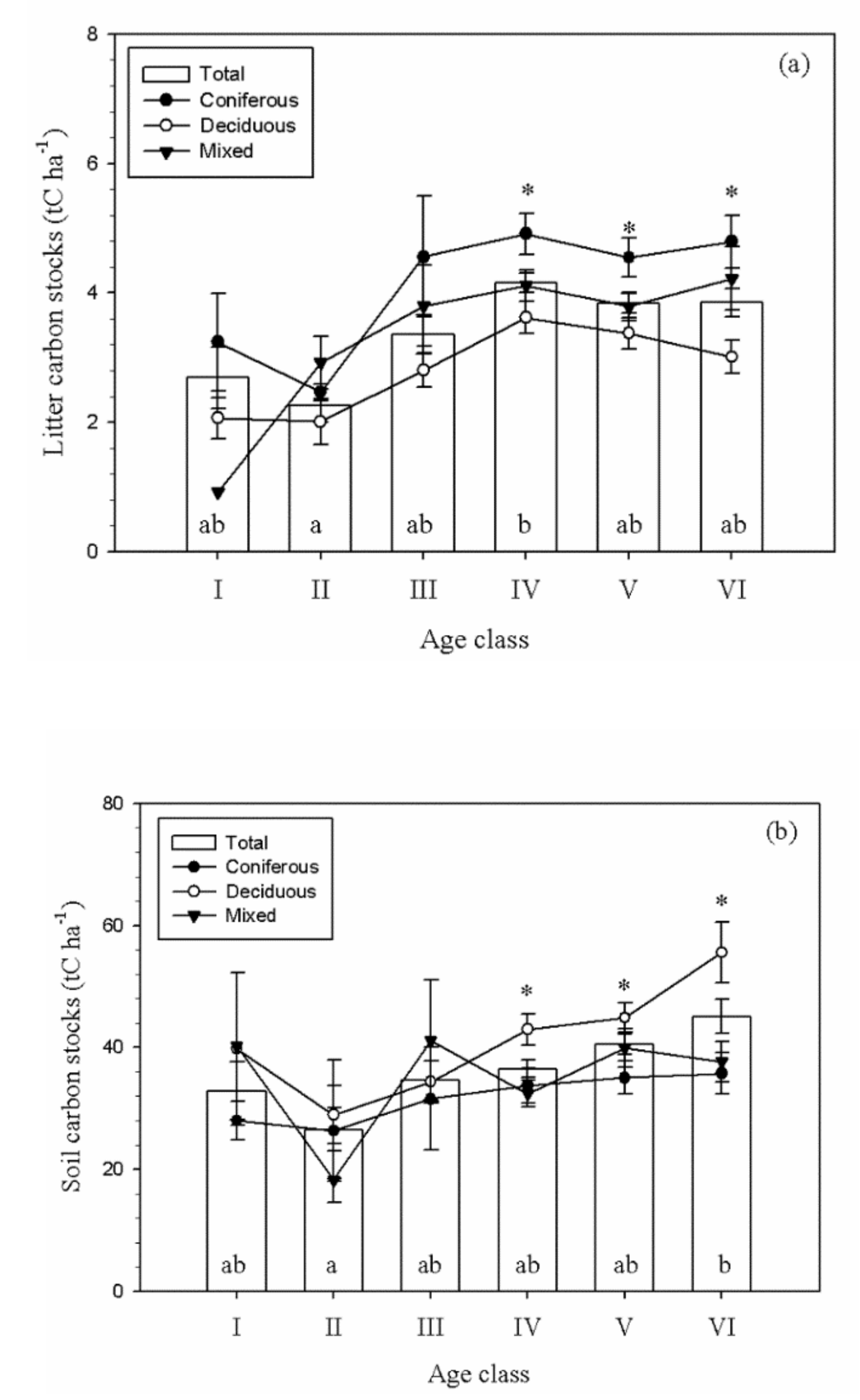
3.2. Soil and Litter Carbon Stocks by Age Class
3.3. Soil Carbon Map
3.3.1. Model Performance
3.3.2. Forest Soil Carbon Map
3.4. Implication
4. Conclusions
Author Contributions
Funding
Acknowledgments
Conflicts of Interest
References
- Jobbagy, E.; Jacson, R.B. The vertical distribution of soil organic carbon and its relation to climate and vegetation. Ecol. App. 2000, 10, 423–436. [Google Scholar] [CrossRef]
 - Pan, Y.; Birdsey, R.A.; Fang, J.; Houghton, R.; Kauppi, P.E.; Kurz, W.A.; Phillips, O.L.; Shvidenko, A.; Lewis, S.L.; Canadell, J.G.; et al. A Large and Persistent Carbon Sink in the World’s Forests. Science 2011, 333, 988–993. [Google Scholar] [CrossRef]
 - Six, J.; Conant, R.T.; Paul, E.A.; Paustian, K.S. Stabilization mechanisms of soil organic carbon matter: Implications for C-saturation of soils. Plant Soil 2002, 241, 155–176. [Google Scholar] [CrossRef]
 - Kurz, W.A.; Shaw, C.H.; Bosivenue, C.; Stinson, G.; Metsaranta, J.; Leckie, D.; Smyth, C. Carbon in Canada’s boreal forest—A synthesis. Environ. Rev. 2013, 21, 260–292. [Google Scholar] [CrossRef]
 - Gren, I.-M.; Aklilu, A.Z.; Elofsson, K. Forest Carbon Sequestration, Pathogens and the Costs of the EU’s 2050 Climate Targets. Forests 2018, 9, 542. [Google Scholar] [CrossRef]
 - Kurz, W.A.; Smyth, C.; Lemprier, T. Climate change mitigation through forest sector activities: Principles, potential and priorities. Unasylva 2016, 246, 61–67. [Google Scholar]
 - Van Wesemael, B.; Paustian, K.; Meersmans, J.; Goidts, E.; Barancikova, G.; Easter, M. Agricultural management explains historic changes in regional soil carbon stocks. Proc. Natl. Acad. Sci. USA 2010, 107, 14926–14930. [Google Scholar] [CrossRef]
 - UNFCCC (United Nations Framework Convention on Climate Change). The Paris Agreement. Available online: https://unfccc.int/process-and-meetings/the-paris-agreement/the-paris-agreement (accessed on 28 September 2018).
 - IPCC (Intergovernmental Panel on Climate Change). IPCC Guidelines for National Greenhouse Gas Inventory; IPCC/IGES: Hayama, Japan, 2006. [Google Scholar]
 - Grassi, G.; House, J.; Dentener, G.G.F.; Federici, S.; Elzen, M.D.; Penman, J. The key role of forests in meeting climate targets requires science for credible mitigation. Nat. Clim. Chang. 2017, 7, 220–226. [Google Scholar] [CrossRef]
 - Forsell, N.; Turkovska, O.; Gusti, M.; Obersteiner, M.; Elzen, M.D.; Havlík, P. Assessing the INDCs’ land use, land use change, and forest emission projections. Carbon Balance Manag. 2016, 11, 1–17. [Google Scholar] [CrossRef]
 - Bariz, R.; Strich, S. Forests and the national greenhouse gas inventory of Germany. Biotechonl. Agron. Soc. Environ. 2000, 4, 265–271. [Google Scholar]
 - SF (Statistics Finland). Greenhouse Gas Emissions in Finland 1990–2013; Statistics Finland: Helsinki, Finland, 2015. [Google Scholar]
 - UBA (German Environment Agency). Submission Under the United Nations Framework Convention on Climate Change 2015; Federal Environment Agency: Dessau, Germany, 2015. [Google Scholar]
 - KFRI (Korea Forest Research Institute). The Changes of National Forest Inventory Systems (1971–2010); KFRI: Seoul, Korea, 2015. (In Korean) [Google Scholar]
 - GIR (Greenhouse Gas Inventory and Research Center of Korea). National Greenhouse Gas Inventory Report 2017; GIR: Seoul, Korea, 2016. [Google Scholar]
 - Lee, D.K.; Yoon, T.K.; Han, S.; Kim, S.; Yi, M.J.; Park, G.-S.; Kim, C.; Son, Y.M.; Kim, R.; Son, Y. Estimating the carbon dynamics of South Korean forests from 1954 to 2012. Biogeosciences 2014, 11, 4637–4650. [Google Scholar] [CrossRef]
 - Chen, S.; Martin, M.P.; Saby, N.P.A.; Walter, C.; Angers, D.A.; Arrouays, D. Fine resolution map of top- and subsoil carbon sequestration potential in France. Sci. Total. Environ. 2018, 630, 389–400. [Google Scholar] [CrossRef] [PubMed]
 - Arrouays, D.; Lagacherie, P.; Hartemink, A.E. Digital soil mapping across the globe. Geoderma Reg. 2017, 9, 1–4. [Google Scholar] [CrossRef]
 - Kim, S.; Kim, C.; Han, S.H.; Lee, S.T.; Son, Y. A multi-site approach toward assessing the effect of thinning on soil carbon contents across temperature pine, oak, and larch forests. For. Ecol. Manag. 2018, 424, 62–70. [Google Scholar] [CrossRef]
 - Won, H.-Y.; Kim, D.-K.; Han, A.; Lee, Y.-S.; Mun, H.-T. Distribution and absorption of Organic Carbon in Quercus mongolica and Pinus densiflora Forest at Mt. Gumgang in Seosan1a. Korean J. Environ. Ecol. 2016, 30, 243–252. [Google Scholar] [CrossRef]
 - Lee, S.J.; Yim, J.S.; Son, Y.M.; Son, Y.; Kim, R. Estimation of Forest Carbon Stocks for National Greenhouse Gas Inventory Reporting in South Korea. Forests 2018, 9, 625. [Google Scholar] [CrossRef]
 - Domke, G.M.; Perry, C.H.; Walters, B.F.; Woodall, C.; Russell, M.B.; Smith, J.E. Estimating litter carbon stocks on forest land in the United States. Sci. Total. Environ. 2016, 557–558, 469–478. [Google Scholar] [CrossRef]
 - Liu, L.; Ji, M.; Buchroithner, M. Combining Partial Least Squares and the Gradient-Boosting Method for Soil Property Retrieval Using Visible Near-Infrared Shortwave Infrared Spectra. Remote Sens. 2017, 9, 1299. [Google Scholar] [CrossRef]
 - Guo, P.-T.; Li, M.-F.; Luo, W.; Tang, Q.-F.; Liu, Z.-W.; Lin, Z.-M. Digital mapping of soil organic matter for rubber plantation at regional scale: An application of random forest plus residuals kriging approach. Geoderma 2015, 237–238, 49–59. [Google Scholar] [CrossRef]
 - Li, Q.-Q.; Yue, T.; Wang, C.-Q.; Zhang, W.-J.; Yu, Y.; Li, B.; Yang, J.; Bai, G.-C. Spatially distributed modeling of soil organic matter across China: An application of artificial neural network approach. Catena 2013, 104, 210–218. [Google Scholar] [CrossRef]
 - Keskin, H.; Grunwald, S.; Harris, W.G. Digital mapping of soil carbon fractions with machine learning. Geoderma 2019, 339, 40–58. [Google Scholar] [CrossRef]
 - KFS (Korea Forest Service). Statistical Yearbook of Forest; KFS: Daejeon, Korea, 2019. [Google Scholar]
 - KMA (Korea Meteorological Administration). Available online: http://www.weather.go.kr/weather/climate/average_south.jsp (accessed on 5 November 2020).
 - Hong, S.Y.; Minasny, B.; Han, K.H.; Kim, Y.; Lee, K.; Ritsema, C. Predicting and mapping soil available water capacity in Korea. PeerJ 2013, 1, e71. [Google Scholar] [CrossRef] [PubMed]
 - Cha, J.; Cha, Y.; Oh, N.-H. The Effects of Tree Species on Soil Organic Carbon Content in South Korea. J. Geophys. Res. Biogeosciences 2019, 124, 708–716. [Google Scholar] [CrossRef]
 - KFRI (Korea Forest Research Institute). The Forest Soil Profiles in Korea; KFRI: Seoul, Korea, 2005. (In Korean) [Google Scholar]
 - KFRI (Korea Forest Research Institute). The 5th National Forest Inventory—Field Manual; KFRI: Seoul, Korea, 2008. (In Korean) [Google Scholar]
 - KFS (Korea Forest Service). The 6th National Forest Inventory and Forest Health Monitoring—Field Manual Ver. 1.2; KFS: Daejeon, Korea, 2012. (In Korean) [Google Scholar]
 - KFS (Korea Forest Service); KFRI (Korea Forest Research Institute); Kopf (Korea Forestry Promotion Institute). The Field Manual of the 7th National Forest Inventory and Forest HEALTH Monitoring; KFRI: Seoul, Korea, 2017. (In Korean) [Google Scholar]
 - SAS Institute. SAS/STAT 9.4 User’s Guide, 2nd ed.; SAS Institute Inc.: Cray, NC, USA, 2016. [Google Scholar]
 - Breiman, L. Random Forests Mach. Learn 2001, 45, 5–32. [Google Scholar]
 - Hastie, T.; Tibshirani, R.; Friedman, J. The Elements of Statistical Learning: Data Mining, Inference, and Prediction; Springer: Berlin/Heidelberg, Germany, 2009. [Google Scholar]
 - Liaw, A.; Wiener, M. Breiman and Cutler’s Random Forests for Classification and Regression; CRAN: Vienna, Austria, 2018. [Google Scholar]
 - R Core Team. R: A Language and Environment for STATISTICAL Computing; R Foundation for Statistical Computing: Vienna, Austria, 2020. [Google Scholar]
 - ESRI. ArcGis Desktop: Release 10; Environmental Systems Research Institute: Redlends, CA, USA, 2011. [Google Scholar]
 - KFS (Korea Forest Service); Kofpi (Korea Forestry Promotion Institute). Assessment of the Korea’s Forest Resource; Kopfi: Seoul, Korea, 2013. [Google Scholar]
 - Schulp, C.J.; Nabuurs, G.-J.; Verburg, P.H.; De Waal, R.W. Effect of tree species on carbon stocks in forest floor and mineral soil and implications for soil carbon inventories. For. Ecol. Manag. 2008, 256, 482–490. [Google Scholar] [CrossRef]
 - Grüneberg, E.; Schöning, I.; Riek, W.; Ziche, D.; Evers, J. Carbon Stocks and Carbon Stock Changes in German Forest Soils. In Forest-Water Interactions; Springer Science and Business Media LLC: Berlin, Germany, 2019; pp. 167–198. [Google Scholar]
 - Berg, B. Litter decomposition and organic matter turn-over in northern forest soils. For. Ecol. Manag. 2000, 133, 13–22. [Google Scholar] [CrossRef]
 - Vesterdal, L.; Raulund-Rasmussen, K. Forest floor chemistry under seven tree species along a soil fertility gradient. Can. J. For. Res. 1998, 2, 1636–1647. [Google Scholar] [CrossRef]
 - Thuille, A.; Schulze, E.-D. Carbon dynamics in successional and afforested spruce stands in Thuringia and the Alps. Glob. Chang. Biol. 2006, 12, 325–342. [Google Scholar] [CrossRef]
 - Jandl, R.; Lindner, M.; Vesterdal, L.; Bauwens, B.; Baritz, R.; Hagedorn, F.; Johnson, D.W.; Minkkinen, K.; Byrne, K.A. How strongly can forest management influence soil carbon sequestration? Geoderma 2007, 137, 253–268. [Google Scholar] [CrossRef]
 - De Vries, W.; Reinds, G.J.; Posch, G.J.J.; Sanz, M.; Krause, G.; Calatyud, V.; Dupouey, J.; Sterba, H.; Gundersen, P.; Voogd, J.; et al. Intensive Monitoring of Forest Ecosystems in Europe; Technical report; European Commission UN/ECE: Brussels, Belgium, 2003. [Google Scholar]
 - Cao, J.; Zhang, X.; Deo, R.C.; Gong, Y.; Feng, Q. Influence of stand type and stand age on soil carbon storage in China’s arid and semi-arid regions. Land Use Policy 2018, 78, 258–265. [Google Scholar] [CrossRef]
 - Lal, R. Soil carbon stocks under present and future climate with specific reference to European ecoregions. Nutr. Cycl. Agroecosystems 2007, 81, 113–127. [Google Scholar] [CrossRef]
 - Paz, C.; Goosem, M.; Bird, M.I.; Preece, N.; Goosem, S.; Fensham, R.J.; Laurance, S. Soil types influence predictions of soil carbon stock recovery in tropical secondary forests. For. Ecol. Manag. 2016, 376, 74–83. [Google Scholar] [CrossRef]
 - Johnson, D.W.; Curtis, P.S. Effects of forest management on soil C and N storage: meta analysis. For. Ecol. Manag. 2001, 140, 227–238. [Google Scholar] [CrossRef]
 - Amir, M. Soil organic content of stands of different ages in a subtropical chir pine (Pinus roxburghii) forest of pakistan. Appl. Ecol. Environ. Res. 2019, 17, 11475–11487. [Google Scholar] [CrossRef]
 - Covington, W.W. Changes in Forest Floor Organic Matter and Nutrient Content Following Clear Cutting in Northern Hardwoods. Ecology 1981, 62, 41–48. [Google Scholar] [CrossRef]
 - De Vos, B.; Cools, N.; Ilvesniemi, H.; Vesterdal, L.; Vanguelova, E.; Carnicelli, S. Benchmark values for forest soil carbon stocks in Europe: Results from a large scale forest soil survey. Geoderma 2015, 251–252, 33–46. [Google Scholar] [CrossRef]
 - Nanko, K.; Hasimoto, S.; Miura, S.; Ishizuka, S.; Sakai, T.; Levia, D.F.; Ugawa, S.; Nishizono, T.; Kitahara, F.; Osone, Y.; et al. Assessment of soil group, site and climatic effects on soil organic carbon stocsk of topsoil in Japanese forests. Soil Sci. 2017, 68, 547–558. [Google Scholar] [CrossRef]
 - Adhikari, K.; Owens, P.R.; Libohova, Z.; Miller, D.M.; Wills, S.A.; Nemecek, J. Assessing soil organic carbon stock of Wisconsin, USA and its fate under future land use and climate change. Sci. Total. Environ. 2019, 667, 833–845. [Google Scholar] [CrossRef]
 - Hobley, E.; Wilson, B.; Wilkie, A.; Gray, J.; Koen, T. Drivers of soil organic carbon storage and vertical distribution in Eastern Australia. Plant Soil 2015, 390, 111–127. [Google Scholar] [CrossRef]
 - Wellbrock, N.; Grüneberg, E.; Riedel, T.; Polley, H. Carbon stocks in tree biomass and soils of German forests. Central Eur. For. J. 2017, 63, 105–112. [Google Scholar] [CrossRef]
 - Vanguelova, E.I.; Bonifacio, E.; De Vos, B.; Hoosbeek, M.R.; Berger, T.W.; Vesterdal, L.; Armolaitis, K.; Celi, L.R.; Dinca, L.; Kjønaas, O.J.; et al. Sources of errors and uncertainties in the assessment of forest soil carbon stocks at different scales—Review and recommendations. Environ. Monit. Assess. 2016, 188, 630. [Google Scholar] [CrossRef] [PubMed]
 - Koh, G.W.; Park, J.B.; Kang, B.R.; Kim, G.P.; Moon, D.C. Volcanism in Jeju Island. J. Geol. Soc. Korea 2013, 49, 209–230. [Google Scholar] [CrossRef]
 - Tak, H.M.; Kim, S.H.; Son, I. A study on distributions and spatial properties of geomorphological mountain area. J. Geol. Soc. Korea 2013, 48, 1–18, (In Korean with English abstract). [Google Scholar]
 - Park, S.J.; Son, I. Discussions on the distribution and genesis of mountain ranges in the Korean peninsular (III): Proposing a new mountain range map. J. Geol. Soc. Korea 2008, 43, 276–295, (in Korean with English abstract). [Google Scholar]
 - Son, Y.M.; Lee, S.J.; Kim, S.; Hwang, J.S.; Kim, R.; Park, H. Mapping and Assessment of Forest Biomass Resources in Korea. J. Korean For. Soc. 2014, 103, 431–438. [Google Scholar] [CrossRef][Green Version]
 




| Forest Type | ||||
|---|---|---|---|---|
| Category | Coniferous | Deciduous | Mixed | |
| NFI7 | Number of plots | 184 | 264 | 195 | 
| Age | 40.26 ± 0.98 | 39.89 ± 0.87 | 40.54 ± 0.84 | |
| Height (m) | 12.94 ± 0.30 | 12.77 ± 0.19 | 13.40 ± 0.18 | |
| Diameter at breast height (cm) | 22.97 ± 0.53 | 22.43 ± 0.38 | 24.44 ± 0.34 | |
| Tree density (trees ha−1) | 1175.36 ± 50.73 | 1003.29 ± 32.63 | 1112.55 ± 42.46 | |
| Tree growing stocks (m3 ha−1) | 217.73 ± 8.46 | 145.26 ± 4.80 | 180.92 ± 6.07 | |
| FHM | Litter carbon contents (%) | |||
| Litter horizon | 44.78 ± 0.27 | 42.59 ± 0.27 | 43.89 ± 0.29 | |
| Fermentation and humus horizon | 41.22 ± 0.43 | 38.92 ± 0.41 | 40.94 ± 0.38 | |
| Soil characteristics | ||||
| Bulk density (Mg m−3) | ||||
| 0–10 cm | 1.13 ± 0.03 | 1.23 ± 0.05 | 1.27 ± 0.07 | |
| 10–20 cm | 1.15 ± 0.03 | 1.26 ± 0.04 | 1.23 ± 0.04 | |
| 20–30 cm | 1.14 ± 0.03 | 1.19 ± 0.03 | 1.18 ± 0.03 | |
| Coarse fragment contents (%) | ||||
| 0–10 cm | 33.31 ± 0.93 | 32.45 ± 0.81 | 33.47 ± 1.00 | |
| 10–20 cm | 32.65 ± 0.94 | 32.08 ± 0.80 | 32.62 ± 0.99 | |
| 20–30 cm | 32.98 ± 1.01 | 32.41 ± 0.80 | 32.57 ± 0.97 | |
| Soil organic carbon contents (%) | ||||
| 0–10 cm | 1.98 ± 0.13 | 2.53 ± 0.12 | 2.00 ± 0.11 | |
| 10–20 cm | 1.62 ± 0.10 | 2.02 ± 0.09 | 1.58 ± 0.08 | |
| 20–30 cm | 1.36 ± 0.10 | 1.70 ± 0.08 | 1.37 ± 0.07 | |
| Predictors | Data Type | Source | Scale | 
|---|---|---|---|
| Soil type | Categorical | Forest soil map | 1:25,000 | 
| Soil parent | Categorical | Forest soil map | 1:25,000 | 
| Rock exposure index | Categorical | Forest soil map | 1:25,000 | 
| Wind exposure index | Categorical | Forest soil map | 1:25,000 | 
| Weathering index | Categorical | Forest soil map | 1:25,000 | 
| Forest type | Categorical | The National Forest Inventory (NFI) | 2 km or 4 km | 
| Tree age (year) | Continuous | The National Forest Inventory (NFI) | 2 km or 4 km | 
| Crown density (%) | Continuous | The National Forest Inventory (NFI) | 2 km or 4 km | 
| Accessibility class (m) | Continuous | The National Forest Inventory (NFI) | 2 km or 4 km | 
| Topography | Categorical | The National Forest Inventory (NFI) | 2 km or 4 km | 
| Elevation (m) | Continuous | The National Forest Inventory (NFI) | 2 km or 4 km | 
| Slope (°) | Continuous | The National Forest Inventory (NFI) | 2 km or 4 km | 
| Tree density (n ha−1) | Continuous | The National Forest Inventory (NFI) | 2 km or 4 km | 
| Growing stocks (m2 ha−1) | Continuous | The National Forest Inventory (NFI) | 2 km or 4 km | 
| Diameter at breast height (cm) | Continuous | The National Forest Inventory (NFI) | 2 km or 4 km | 
| Basal area (m2 ha−1) | Continuous | The National Forest Inventory (NFI) | 2 km or 4 km | 
| Height (m) | Continuous | The National Forest Inventory (NFI) | 2 km or 4 km | 
| Coniferous | Deciduous | Mixed | |
|---|---|---|---|
| Litter | |||
| Litter horizon | 2.04 ± 0.07 a | 1.56 ± 0.05 b | 1.80 ± 0.08 c | 
| Fermentation and humus horizon | 2.59 ± 0.13 a | 1.72 ± 0.10 b | 2.18 ± 0.11 c | 
| sub-total | 4.63 ± 0.18 a | 3.28 ± 0.13 b | 3.98 ± 0.15 c | 
| Soil | |||
| 0–10 cm | 13.08 ± 0.65 a | 17.24 ± 0.64 b | 13.83 ± 0.67 a | 
| 10–20 cm | 11.33 ± 0.56 a | 14.71 ± 0.55 b | 11.83 ± 0.57 a | 
| 20–30 cm | 9.54 ± 0.60 a | 12.16 ± 0.50 b | 10.09 ± 0.53 a | 
| sub-total | 33.96 ± 1.62 a | 44.11 ± 1.54 b | 35.75 ± 1.60 a | 
| Total | 38.58 ± 1.62 a | 47.39 ± 1.53 b | 39.73 ± 1.60 a | 
| For Soil Carbon Only | For Soil and Litter Carbon | |||||||
|---|---|---|---|---|---|---|---|---|
| RF1 | RF2 | RF3 | RF4 | RF1 | RF2 | RF3 | RF4 | |
| Soil type | 7865 | 8250 | 8520 | 9581 | 7239 | 8052 | 8403 | 9353 | 
| Soil parent | 3741 | 3867 | - | - | 3718 | 3670 | - | - | 
| Rock exposure index | 3414 | - | - | - | 3119 | - | - | - | 
| Wind exposure index | 5173 | 5492 | 5960 | - | 5778 | 548 | 6010 | - | 
| Weathering index | 3900 | 3720 | - | 4028 | 3898 | - | - | |
| Forest type | 6637 | 6631 | 6459 | - | 5915 | 6343 | 6590 | - | 
| Age class | 7809 | 7472 | 7698 | 7671 | 7246 | 7419 | 7735 | 8206 | 
| Crown density (%) | 3432 | - | - | - | 3332 | - | - | - | 
| Accessibility class (m) | 24,863 | 26,914 | 26,628 | 28,154 | 25,978 | 25,430 | 27,006 | 29,154 | 
| Topography | 10,290 | 10,767 | 10,443 | 11,295 | 9845 | 10,251 | 11,048 | 11,010 | 
| Elevation (m) | 43,141 | 44,420 | 45,062 | 46,613 | 41,820 | 43,291 | 42,879 | 43,366 | 
| Slope (°) | 20,331 | 21,332 | 22,099 | 22,089 | 19,942 | 21,470 | 21,957 | 22,233 | 
| Tree density (n ha−1) | 14,138 | 14,894 | 15,970 | 17,121 | 13,802 | 14,449 | 15,011 | 17,257 | 
| Growing stocks (m2 ha−1) | 15,937 | 16,992 | 17,837 | 18,649 | 16,385 | 17,367 | 17,506 | 18,889 | 
| DBH (cm) | 17,733 | 17,864 | 19,658 | 19,906 | 18,329 | 19,316 | 19,466 | 20,678 | 
| Basal area (m2 ha−1) | 13,087 | 14,693 | 15,024 | 16,478 | 13,121 | 14,313 | 14,323 | 15,815 | 
| Height (m) | 16,842 | 17,141 | 18,012 | 19,418 | 16,657 | 16,779 | 18,240 | 19,387 | 
| Predicted Soil Carbon | Predicted Soil and Litter Carbon | |||||||
|---|---|---|---|---|---|---|---|---|
| RF1 | RF2 | RF3 | RF4 | RF1 | RF2 | RF3 | RF4 | |
| RMSE | 1.82 | 1.67 | 1.65 | 1.63 | 1.56 | 1.49 | 1.54 | 1.39 | 
| MAE | 15.90 | 15.85 | 15.80 | 16.00 | 16.11 | 15.99 | 15.93 | 16.25 | 
Publisher’s Note: MDPI stays neutral with regard to jurisdictional claims in published maps and institutional affiliations.  | 
© 2020 by the authors. Licensee MDPI, Basel, Switzerland. This article is an open access article distributed under the terms and conditions of the Creative Commons Attribution (CC BY) license (http://creativecommons.org/licenses/by/4.0/).
Share and Cite
Lee, S.; Lee, S.; Shin, J.; Yim, J.; Kang, J. Assessing the Carbon Storage of Soil and Litter from National Forest Inventory Data in South Korea. Forests 2020, 11, 1318. https://doi.org/10.3390/f11121318
Lee S, Lee S, Shin J, Yim J, Kang J. Assessing the Carbon Storage of Soil and Litter from National Forest Inventory Data in South Korea. Forests. 2020; 11(12):1318. https://doi.org/10.3390/f11121318
Chicago/Turabian StyleLee, Sunjeoung, Seunghyun Lee, Joonghoon Shin, Jongsu Yim, and Jinteak Kang. 2020. "Assessing the Carbon Storage of Soil and Litter from National Forest Inventory Data in South Korea" Forests 11, no. 12: 1318. https://doi.org/10.3390/f11121318
APA StyleLee, S., Lee, S., Shin, J., Yim, J., & Kang, J. (2020). Assessing the Carbon Storage of Soil and Litter from National Forest Inventory Data in South Korea. Forests, 11(12), 1318. https://doi.org/10.3390/f11121318
        
