Sign in to use this feature.

Years

Between: -

Subjects

remove_circle_outline
remove_circle_outline
remove_circle_outline
remove_circle_outline
remove_circle_outline
remove_circle_outline
remove_circle_outline
remove_circle_outline
remove_circle_outline

Journals

Article Types

Countries / Regions

remove_circle_outline
remove_circle_outline
remove_circle_outline
remove_circle_outline

Search Results (447)

Search Parameters:
Keywords = national forest inventory

Order results
Result details
Results per page
Select all
Export citation of selected articles as:
23 pages, 1546 KB  
Article
Remote Sensing-Based Mapping of Forest Above-Ground Biomass and Its Relationship with Bioclimatic Factors in the Atacora Mountain Chain (Togo) Using Google Earth Engine
by Demirel Maza-esso Bawa, Fousséni Folega, Kueshi Semanou Dahan, Cristian Constantin Stoleriu, Bilouktime Badjaré, Jasmina Šinžar-Sekulić, Huaguo Huang, Wala Kperkouma and Batawila Komlan
Geomatics 2026, 6(1), 8; https://doi.org/10.3390/geomatics6010008 - 22 Jan 2026
Viewed by 65
Abstract
Accurate estimation of above-ground biomass (AGB) is vital for carbon accounting, biodiversity conservation, and sustainable forest management, especially in tropical regions under strong anthropogenic pressure. This study estimated and mapped AGB in the Atacora Mountain Chain, Togo, using a multi-source remote sensing approach [...] Read more.
Accurate estimation of above-ground biomass (AGB) is vital for carbon accounting, biodiversity conservation, and sustainable forest management, especially in tropical regions under strong anthropogenic pressure. This study estimated and mapped AGB in the Atacora Mountain Chain, Togo, using a multi-source remote sensing approach within Google Earth Engine (GEE). Field data from 421 plots of the 2021 National Forest Inventory were combined with Sentinel-1 Synthetic Aperture Radar, Sentinel-2 multispectral imagery, bioclimatic variables from WorldClim, and topographic data. A Random Forest regression model evaluated the predictive capacity of different variable combinations. The best model, integrating SAR, optical, and climatic variables (S1S2allBio), achieved R2 = 0.90, MAE = 13.42 Mg/ha, and RMSE = 22.54 Mg/ha, outperforming models without climate data. Dense forests stored the highest biomass (124.2 Mg/ha), while tree/shrub savannas had the lowest (25.38 Mg/ha). Spatially, ~60% of the area had biomass ≤ 50 Mg/ha. Precipitation correlated positively with AGB (r = 0.55), whereas temperature showed negative correlations. This work demonstrates the effectiveness of integrating multi-sensor satellite data with climatic predictors for accurate biomass mapping in complex tropical landscapes. The approach supports national forest monitoring, REDD+ programs, and ecosystem restoration, contributing to SDGs 13, 15, and 12 and offering a scalable method for other tropical regions. Full article
Show Figures

Graphical abstract

27 pages, 3350 KB  
Article
Assessment of the Portuguese Forest Potential for Biogenic Carbon Production and Global Research Trends
by Tânia Ferreira, José B. Ribeiro and João S. Pereira
Forests 2026, 17(1), 63; https://doi.org/10.3390/f17010063 - 31 Dec 2025
Viewed by 264
Abstract
Forests play a central role in climate change mitigation by acting as biogenic carbon reservoirs and providing renewable biomass for energy systems. In Portugal, where fire-prone landscapes and species composition dynamics pose increasing management challenges, understanding the carbon storage potential of forest biomass [...] Read more.
Forests play a central role in climate change mitigation by acting as biogenic carbon reservoirs and providing renewable biomass for energy systems. In Portugal, where fire-prone landscapes and species composition dynamics pose increasing management challenges, understanding the carbon storage potential of forest biomass is crucial for designing effective decarbonization strategies. This study provides a comprehensive characterization of the Portuguese forest and quantifies the biogenic carbon stored in live and dead biomass across the main forest species. Species-specific carbon contents, rather than the conventional 50% assumption widely used in the literature, were applied to National Forest Inventory data, enabling more realistic and representative carbon stock estimates expressed in kilotonnes of CO2 equivalent. While the approach relies on inventory-based biomass data and literature-derived carbon fractions and is therefore subject to associated uncertainties, it provides an improved representation of species-level carbon storage at the national scale. Results show that Pinus pinaster, Eucalyptus globulus, and Quercus suber together represent the largest share of carbon storage, with approximately 300,000 kilotonnes of CO2 equivalent retained in living trees. Wood is the dominant carbon pool, but roots and branches also account for a substantial fraction, emphasizing the need to consider both above- and below-ground biomass in carbon accounting. In parallel, a bibliometric analysis based on the systematic evaluation of scientific publications was conducted to characterize the evolution, thematic focus, and geographic distribution of global research on forest-based biogenic carbon. This analysis reveals a rapidly expanding scientific interest in biogenic carbon, particularly since 2020, reflecting its growing relevance in climate change mitigation frameworks. Overall, the results underscore both the strategic importance of Portuguese forests and the alignment of this research with the broader international scientific agenda on forest-based biogenic carbon. Full article
(This article belongs to the Section Forest Meteorology and Climate Change)
Show Figures

Figure 1

17 pages, 1267 KB  
Article
Allometric Equations for Estimating Carbon Stored by Individual Trees in a Radiata Pine Stand
by Mark O. Kimberley and Michael S. Watt
Forests 2026, 17(1), 61; https://doi.org/10.3390/f17010061 - 31 Dec 2025
Viewed by 337
Abstract
Radiata pine (Pinus radiata D. Don) is New Zealand’s dominant plantation species, supporting carbon sequestration under the national Emissions Trading Scheme. However, existing stand-level carbon models cannot estimate individual tree carbon stocks which are often required for modern remote sensing-based forest inventories. [...] Read more.
Radiata pine (Pinus radiata D. Don) is New Zealand’s dominant plantation species, supporting carbon sequestration under the national Emissions Trading Scheme. However, existing stand-level carbon models cannot estimate individual tree carbon stocks which are often required for modern remote sensing-based forest inventories. This study developed comprehensive allometric equations for predicting tree-level carbon in radiata pine using an extensive dataset of 894 trees spanning ages 1–42 years across eight New Zealand locations. We fitted 12 models predicting stem wood, bark, branch, and foliage biomass from varying combinations of tree height, diameter at breast height, stand age, stand density and wood density. Models incorporating both height and diameter achieved excellent accuracy for stem wood and bark (R2 > 0.99, log-transformed scale), while inclusion of age, stand density and wood density substantially improved crown component predictions (R2 = 0.95 for branches and 0.93 for foliage). Biomass predictions were converted to carbon using component-specific and age-dependent carbon fractions derived from New Zealand radiata pine, avoiding biases from generic conversion factors. The resulting equations provide a tiered system accommodating different data availability levels and are directly compatible with LiDAR-derived tree attributes. These models provide a robust framework for accurate individual-tree carbon estimation, supporting both operational plantation management and robust carbon accounting across New Zealand’s radiata pine estate. Full article
(This article belongs to the Section Forest Inventory, Modeling and Remote Sensing)
Show Figures

Figure 1

20 pages, 1558 KB  
Article
Diversity and Determinants of Tree-Related Microhabitats in Hemiboreal Forests of Europe Based on National Forest Inventory Data
by Jānis Donis and Ilze Barone
Forests 2026, 17(1), 57; https://doi.org/10.3390/f17010057 - 30 Dec 2025
Viewed by 254
Abstract
Tree-related microhabitats (TreMs) are small features on living or dead trees that offer habitat, shelter, breeding sites, or food for many organisms, making them useful indicators of forest-dwelling species. Despite increasing research on TreMs in Europe, most published studies have focused on temperate [...] Read more.
Tree-related microhabitats (TreMs) are small features on living or dead trees that offer habitat, shelter, breeding sites, or food for many organisms, making them useful indicators of forest-dwelling species. Despite increasing research on TreMs in Europe, most published studies have focused on temperate regions, leaving a relative paucity of data from hemiboreal forests. In our research, we aimed to fill the knowledge gap, offering insight into the occurrence patterns and factors influencing TreM diversity in the hemiboreal region. We analyzed data from the National Forest Inventory in Latvia, comprising information on 168,839 trees across 5653 sample plots. The most common TreMs were bark loss (6.1% of trees), bryophytes (2.6%), and perennial polypores (2.6%). TreMs occurred more frequently on deciduous than on coniferous trees, on larger trees (diameter at breast height more than 60 cm), and on dead trees compared to living ones. Forest type and signs of recent cutting also had significant effects on TreM richness at both the tree and plot scales, whereas forest protection status was significant only at the plot scale. TreMs such as buttress-root concavities and ivy or liana cover, which are common in temperate Europe, had a low relative occurrence in our study. The occurrence of specific TreM forms was strongly tree-species dependent: exudates were much more common on live Picea abies (4.0%) than on other species, whereas Populus tremula had a higher occurrence of fruiting bodies of saproxylic fungi and slime moulds (2.0%). The highest occurrence of crown deadwood was observed on Quercus robur. Overall, dead trees play a particularly important role, providing both a higher total number of TreMs and certain TreM types more frequently. Given their high TreM richness, dead and large trees represent important structural components supporting biodiversity in hemiboreal forests. Full article
(This article belongs to the Section Forest Biodiversity)
Show Figures

Figure 1

19 pages, 26223 KB  
Article
Exploratory Data Analysis from SAOCOM-1A Polarimetric Images over Forest Attributes of the Semiarid Caldén (Neltuma caldenia) Forest, Argentina
by Elisa Frank Buss, Juan Pablo Argañaraz and Alejandro C. Frery
Sustainability 2026, 18(1), 369; https://doi.org/10.3390/su18010369 - 30 Dec 2025
Viewed by 250
Abstract
The caldén (Neltuma caldenia) forest, a xerophytic low-stature ecosystem in central Argentina, faces increasing threats from land use change and desertification. This study assesses the capability of full-polarimetric L-band SAR data from the Argentine SAOCOM-1A satellite to characterise forest attributes in [...] Read more.
The caldén (Neltuma caldenia) forest, a xerophytic low-stature ecosystem in central Argentina, faces increasing threats from land use change and desertification. This study assesses the capability of full-polarimetric L-band SAR data from the Argentine SAOCOM-1A satellite to characterise forest attributes in this ecosystem. We computed the Generalised Radar Vegetation Index (GRVI) and compared it with aboveground biomass and tree canopy cover data from the Second National Forest Inventory, under fire and non-fire conditions. We also assessed other SAR indices and polarimetric decompositions. GRVI values exhibited limited variability relative to the broad range of field-estimated biomass, and most regression models were not statistically significant. Nevertheless, GRVI effectively distinguished woody from non-woody vegetation and showed a weak correlation with canopy cover. Statistically significant, albeit weak, correlations were also observed between biomass and specific polarimetric components, such as the helix term of the Yamaguchi decomposition and the Pauli volume component. Key challenges included limited spatial and temporal coverage of SAOCOM-1A data and the distribution of field plots. Despite these limitations, our results support the use of GRVI for land cover monitoring in semiarid regions, emphasising the importance of multitemporal data, integration with C-band SAR, and enhanced field sampling to improve forest attribute modelling. Full article
(This article belongs to the Special Issue Landscape Connectivity for Sustainable Biodiversity Conservation)
Show Figures

Figure 1

22 pages, 5274 KB  
Article
Mining Remnants Hindering Forest Management Detected Using Digital Elevation Model from the National Airborne Laser Scanning Database (Kłobuck Forest District and Its Environs, Southern Poland)
by Ewa E. Kurowska, Krzysztof Grzyb and Andrzej Czerniak
Forests 2026, 17(1), 37; https://doi.org/10.3390/f17010037 - 26 Dec 2025
Viewed by 283
Abstract
Forested areas in Poland comprise numerous post-mining sites that hinder effective forest management. Such mining remnants may pose a threat to humans, animals, and operating forest machines. This study aimed to determine the feasibility of inventorying such man-made landforms as mining waste heaps, [...] Read more.
Forested areas in Poland comprise numerous post-mining sites that hinder effective forest management. Such mining remnants may pose a threat to humans, animals, and operating forest machines. This study aimed to determine the feasibility of inventorying such man-made landforms as mining waste heaps, excavations, remnants of shallow shafts, adits, etc., using the Digital Elevation Model (DEM) based on Airborne Laser Scanning (ALS) data provided by the national agency (the Head Office of Geodesy and Cartography—HOGC) as open data. The DEM, when combined with other cartographic materials using GIS, accurately reflects the anthropogenic transformation evident in the topography. This paper presents the results of inventorying remnants of iron ore mining in the present-day forested area located between Krzepice, Kłobuck, and Częstochowa in southern Poland. The identification and inventory of post-mining landforms, mainly mounds resulting from shallow shaft mining operations, were supplemented by their digitization, automatically providing information on parameters such as perimeter (ranged in most cases from 24.3 to 159 m), surface area (46.9 to 1656 m2), length and width (7.8 to 59.2 m). The heights of the investigated structures were also read from the DEM, ranging from 0.3 to 4.1 m. Much larger structures were also identified, but they occurred accidentally (up to 23.5 m in height). In this manner, approximately 823 morphological forms were characterized, resulting in a database. Test fieldwork was then conducted to verify the DEM readings. It was proposed to calculate deformation indexes (Id [%]) for forested areas and apply them when estimating the forest management hindrance index used by the State Forests. The studied forest compartments managed by State Forests were characterized by an Id value from 0.1 to 55.5%. This type of measure provides a helpful tool in planning forestry operations in areas with diverse topography, including those transformed by mining activities. The actual environmental impact is highlighted. Forest management practices in the study area must take into consideration, in particular, topography, as well as geology and hydrology. Studies have shown that the DEM based on the ALS data is sufficiently accurate to detect even minor post-mining deformations (which may be important, in particular, in inaccessible areas). The recorded parameters can be considered when planning management, protection interventions, or reclamation activities. Full article
Show Figures

Figure 1

18 pages, 3019 KB  
Article
Modeling Commercial Height in Amazonian Forests: Accuracy of Mixed-Effects Regression Versus Random Forest
by Renato Bezerra da Silva Ribeiro, Leonardo Pequeno Reis, Antonio Pedro Fragoso Woycikievicz, Marcello Neiva de Mello, Afonso Henrique Moraes Oliveira, Carlos Tadeu dos Santos Dias and Lucietta Guerreiro Martorano
Forests 2026, 17(1), 30; https://doi.org/10.3390/f17010030 - 25 Dec 2025
Viewed by 381
Abstract
Accurate estimation of commercial tree height is essential for volumetric predictions in forest management plans, particularly in Amazonian forests with high species diversity. We assessed two predictive approaches for estimating commercial height, using the sum of actual commercial log lengths as the reference [...] Read more.
Accurate estimation of commercial tree height is essential for volumetric predictions in forest management plans, particularly in Amazonian forests with high species diversity. We assessed two predictive approaches for estimating commercial height, using the sum of actual commercial log lengths as the reference metric. The dataset comprised 1745 harvested trees from Annual Production Unit 8 in the Tapajós National Forest. Three commercial volume groups dominated the structural gradient: 46.1% of the trees Group 1 (<6 m3), 36.7% into Group 2 (6–10 m3), and 17.2% into Group 3 (≥10 m3). The Linear Mixed-Effects Model included diameter at breast height (DBH) as a fixed effect and species as a random effect, whereas the Random Forest model used DBH and species as predictors. The mixed-effects model achieved higher accuracy (r = 0.77; RMSE = 2.95 m), while the Random Forest model performed slightly worse (r = 0.73; RMSE = 3.10 m). Species with greater commercial heights exerted a strong influence on both modelling approaches. Principal Component Analysis revealed structural separation among the three volume groups, driven by DBH, commercial height, number of logs, and log volume. The mixed-effects model provided effective framework for predicting commercial height in heterogeneous tropical forests. Full article
(This article belongs to the Section Forest Inventory, Modeling and Remote Sensing)
Show Figures

Figure 1

19 pages, 2205 KB  
Article
Phytosociology of Ecological Transition Ecosystems in Anauá National Forest, Roraima State, Brazil
by Tiago Monteiro Condé, Niro Higuchi, Adriano José Nogueira Lima, Moacir Alberto Assis Campos, Joaquim Dos Santos, Bruno Oliva Gimenez, Fabiano Emmert and Vilany Matilla Colares Carneiro
Ecologies 2026, 7(1), 2; https://doi.org/10.3390/ecologies7010002 - 25 Dec 2025
Viewed by 455
Abstract
The northern Brazilian Amazon has ecological transition ecosystems with high diversity and endemism of tree species and few botanical collections. We evaluated the phytosociology between Dense Ombrophilous Forest (Ds) and Forested Campinarana (Ld) within Anauá National Forest in Roraima, Brazil. A total of [...] Read more.
The northern Brazilian Amazon has ecological transition ecosystems with high diversity and endemism of tree species and few botanical collections. We evaluated the phytosociology between Dense Ombrophilous Forest (Ds) and Forested Campinarana (Ld) within Anauá National Forest in Roraima, Brazil. A total of 14,730 trees with a DBH ≥ 10 cm were inventoried across 30 hectares (ha), distributed among 55 botanical families, 183 genera, 386 species, and 123 undetermined trees. Ten hyperdominant tree families accounted for 69% of the sampled trees and 65% of the stored forest carbon (102.9 ± 5.0 Mg ha−1), like Arecaceae (2555 trees), Fabaceae (1738 trees), and Sapotaceae (1311 trees). Ten hyperdominant species accounted for 32% of the sampled individuals and 32% of the stored forest carbon (46.3 ± 3.8 Mg ha−1), like Euterpe precatoria (1151 trees), Pouteria macrophylla (561 trees) and Inga alba (574 trees). Anauá National Forest has great potential for sustainable multiple-use forest management through forest concessions; however, tree mortality due to natural causes and anthropogenic actions (deforestation, illegal selective logging, and forest fires) was considered high (7%) for tropical forests in the Amazon. Full article
Show Figures

Graphical abstract

31 pages, 3838 KB  
Article
Automated Morphological Characterization of Mediterranean Dehesa Using a Low-Density Airborne LiDAR Technique: A DBSCAN–Concaveman Approach for Segmentation and Delineation of Tree Vegetation Units
by Adrián J. Montero-Calvo, Miguel A. Martín-Tardío and Ángel M. Felicísimo
Forests 2026, 17(1), 16; https://doi.org/10.3390/f17010016 - 22 Dec 2025
Viewed by 320
Abstract
Mediterranean dehesa ecosystems are highly valuable agroforestry systems from ecological, social and economic perspectives. Their structural characterization has traditionally relied on resource-intensive field inventories. This study assesses the applicability of low-density airborne LiDAR data from the Spanish National Aerial Orthophotography Plan (PNOA) for [...] Read more.
Mediterranean dehesa ecosystems are highly valuable agroforestry systems from ecological, social and economic perspectives. Their structural characterization has traditionally relied on resource-intensive field inventories. This study assesses the applicability of low-density airborne LiDAR data from the Spanish National Aerial Orthophotography Plan (PNOA) for the automated morphological characterization of Quercus ilex dehesas. This novel workflow integrates the DBSCAN clustering algorithm for unsupervised segmentation of tree vegetation units and Concaveman for crown perimeter delineation and slicing using concave hulls. The technique was applied over 116 hectares in Santibáñez el Bajo (Cáceres), identifying 1254 vegetation units with 99.8% precision, 97.3% recall and an F-score of 98.5%. A field validation on 35 trees revealed strong agreement with the LiDAR-derived metrics, including crown diameter (R2 = 0.985; bias = −0.96 m) and total height (R2 = 0.955; bias = −0.34 m). Crown base height was overestimated (+0.77 m), leading to a 20.9% underestimation of crown volume, which was corrected using a regression model (R2 = 0.952). This methodology allows us to produce scalable, fully automated forest inventories across extensive Iberian dehesas with similar structural characteristics using publicly available LiDAR data, even with a six-year acquisition gap. Full article
(This article belongs to the Section Forest Inventory, Modeling and Remote Sensing)
Show Figures

Graphical abstract

23 pages, 2476 KB  
Article
Climate and Competition Effects on Basal Area Growth Vary with Beech–Fir Mixture and Stand Structure
by Soraya Versace, Michele Innangi, Marco Ottaviano, Bruno Lasserre, Mirko Di Febbraro, Francesco Parisi, Marco Marchetti, Gherardo Chirici, Giovanni D’Amico, Walter Mattioli, Giancarlo Papitto and Roberto Tognetti
Forests 2026, 17(1), 11; https://doi.org/10.3390/f17010011 - 21 Dec 2025
Viewed by 320
Abstract
Mixed stands enhance climate resilience and ecosystem service provision through functional diversity, but their productivity depends on intra- and interspecific competition, forest structure, stand density, and site conditions. In this study, we analyzed the effects of competition and aridity on the growth of [...] Read more.
Mixed stands enhance climate resilience and ecosystem service provision through functional diversity, but their productivity depends on intra- and interspecific competition, forest structure, stand density, and site conditions. In this study, we analyzed the effects of competition and aridity on the growth of European beech (Fagus sylvatica L.) in mixed and pure stands, using data from 38 plots of the Italian National Forest Inventory (NFI, 2015). To understand the variables influencing European beech growth, tree-level basal area increment models were applied, incorporating different competition structures (intraspecific, interspecific, size-symmetric, and size-asymmetric) and aridity index (De Martonne). Results showed that size-asymmetric intraspecific competition negatively affected European beech growth, highlighting low self-tolerance, especially in pure stands where growth was lower than in mixed stands. In mixed stands, European beech growth was shaped by size-dependent competition and the relative dominance of coexisting species, benefiting from size-asymmetric and hindered by size-symmetric interactions. Additionally, European beech growth was shaped by aridity and stand structure (Gini coefficient and density), with drought sensitivity mitigated in mixed stands and enhanced growth in structurally diverse, low-density stands. This study highlights how species interactions, aridity, and stand structure jointly shape tree growth, underscoring their importance for climate-adaptive forest management. Full article
(This article belongs to the Section Forest Ecology and Management)
Show Figures

Figure 1

28 pages, 14066 KB  
Article
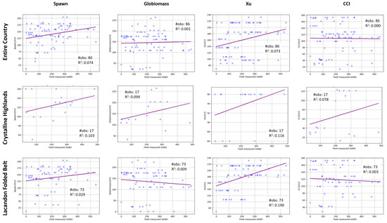
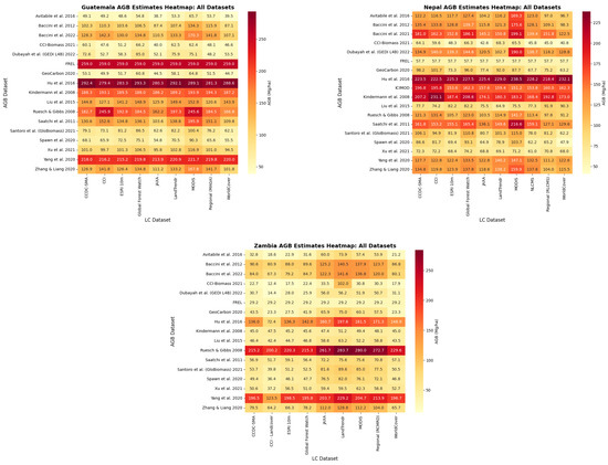
Evaluating Global and National Datasets in an Ensemble Approach to Estimating Carbon Emissions as Part of SERVIR’s CArbon Pilot
by Christine Evans, Emil A. Cherrington, Lauren Carey, Ashutosh Limaye, Sajana Maharjan, Diego Incer Nuñez, Eric R. Anderson, Kelsey Herndon and Africa I. Flores-Anderson
Remote Sens. 2025, 17(24), 3975; https://doi.org/10.3390/rs17243975 - 9 Dec 2025
Viewed by 968
Abstract
Understanding where forest loss occurs and the resulting carbon emissions is a critical component of assessing national carbon budgets. To complement existing greenhouse gas (GHG) guidance and evaluate input datasets used in emissions estimation, SERVIR—a joint USAID and NASA initiative—implemented the SERVIR CArbon [...] Read more.
Understanding where forest loss occurs and the resulting carbon emissions is a critical component of assessing national carbon budgets. To complement existing greenhouse gas (GHG) guidance and evaluate input datasets used in emissions estimation, SERVIR—a joint USAID and NASA initiative—implemented the SERVIR CArbon Pilot (S-CAP) project. This study focuses on the variability and reliability of land cover and biomass datasets that serve as inputs for such calculations. Seventeen aboveground biomass and twelve land cover change datasets were analyzed to characterize the variability in forest cover loss and biomass estimates for Guatemala, Nepal, and Zambia. Forest loss estimates varied substantially, ranging from 20,733 to 441,227 ha/yr in Guatemala, 1738 to 385,087 ha/yr in Nepal, and 6141 to 1,902,957 ha/yr in Zambia. Biomass estimates also differed widely depending on the dataset and forest mask applied: mean values ranged from 54.6 to 293.3 tons/ha across countries and periods. Accuracy assessments using national reference data for forest changes ranged from 67 to 97%, while National Forest Inventory biomass estimates diverged notably from global products. The ensemble approach highlights how differences in input datasets, particularly in forest extent and biomass magnitude, can propagate through emissions calculations. These findings underscore the importance of understanding and evaluating dataset variability prior to national carbon reporting and emissions estimation. Full article
(This article belongs to the Section Earth Observation Data)
Show Figures

Figure 1

23 pages, 22342 KB  
Article
National-Scale Orchard Mapping and Yield Estimation in Pakistan Using Object-Based Random Forest and Multisource Satellite Imagery
by Ansar Ali, Ibrar ul Hassan Akhtar, Maisam Raza and Amjad Ali
Sensors 2025, 25(24), 7468; https://doi.org/10.3390/s25247468 - 8 Dec 2025
Viewed by 504
Abstract
Accurate geospatial inventories of fruit orchards are essential for precision horticulture and food security, yet Pakistan lacks consistent spatial datasets at district and tehsil levels. This study presents the first national-scale, object-based Random Forest (RF) framework for orchard delineation and yield estimation by [...] Read more.
Accurate geospatial inventories of fruit orchards are essential for precision horticulture and food security, yet Pakistan lacks consistent spatial datasets at district and tehsil levels. This study presents the first national-scale, object-based Random Forest (RF) framework for orchard delineation and yield estimation by integrating multi-temporal Sentinel-2 imagery on Google Earth Engine (GEE) with high-resolution Pakistan Remote Sensing Satellite-1 (PRSS-1) data. Among the tested classifiers, RF achieved the highest performance on Sentinel-2 data (Overall Accuracy (OA) = 79.0%, kappa (κ) = 0.78), outperforming Support Vector Machines (OA = 74.5%, κ = 0.74) and Gradient Boosting Decision Trees (OA = 73.8%, κ = 0.73), with statistical significance confirmed (McNemar’s χ2, p < 0.01). Integrating RF with Object-Based Image Analysis (OBIA) on PRSS-1 imagery further enhanced boundary precision (OA = 92.6%, κ = 0.89), increasing Producer’s and User’s accuracies to 90.4% and 91.5%, and increasing Intersection-over-Union (IoU) from 0.71 to 0.86 (p < 0.01). Regression-based yield modeling using field-observed data revealed that mean- and median vegetation index aggregations provided the most stable predictions (R2 = 0.77–0.79; RMSE = 72–105 kg tree−1), while extreme-value models showed higher errors (R2 = 0.46–0.56; RMSE > 560 kg tree−1). The resulting multisensory geospatial inventory of citrus and mango orchards establishes a scalable, transferable, and operationally viable framework for orchard mapping yield forecasting, and resource planning, demonstrating the strategic value of national satellite assets for food security monitoring in data-scarce regions. Full article
(This article belongs to the Section Smart Agriculture)
Show Figures

Figure 1

14 pages, 2545 KB  
Article
Study on the Climate Sensitivity Transition Matrix Growth Model of Liaodong Oak Stand in Qingyang City
by Liheng Xu, Xianglong Liu, Nana Wu and Haiting Zhao
Sustainability 2025, 17(23), 10864; https://doi.org/10.3390/su172310864 - 4 Dec 2025
Viewed by 254
Abstract
The Liaodong oak (Quercus wutaishanica Mayr) is dominant in the composition scheme in Qingyang City, and its growth performance and management practices have long been central concerns of forest management. However, the long cycles and complex dynamics of forest development make accurate [...] Read more.
The Liaodong oak (Quercus wutaishanica Mayr) is dominant in the composition scheme in Qingyang City, and its growth performance and management practices have long been central concerns of forest management. However, the long cycles and complex dynamics of forest development make accurate prediction difficult, thereby constraining the design of optimal silvicultural strategies. To remedy the slow growth and suboptimal timber quality of Q. wutaishanica plantations—while fostering large-diameter trees, increasing merchantable yield and the output of high-value timber, and enhancing forests’ carbon-sequestration and oxygen-release services—there is an urgent need for a rigorous predictive framework. Using data from the sixth, seventh, and eighth National Forest Resource Inventories, we developed a transition-matrix growth model comprising growth, ingrowth, and mortality sub-models. With this model, we selected representative plots and simulated 25-year trajectories of stand diameter-class structure and growing stock under three climate scenarios (RCP2.6, RCP4.5, RCP8.5). Results indicate divergent trends in growing stock among scenarios; under RCP2.6, stands attain higher growing stock, a more balanced diameter-class distribution, and a markedly larger number of large-diameter trees. Moreover, Q. wutaishanica exhibits relatively stable growth throughout the simulation horizon. Overall, the transition-matrix model effectively captures short-term stand dynamics, fills a regional research gap for Qingyang City, and provides a robust evidence base for subsequent science-based forest management. Full article
Show Figures

Figure 1

16 pages, 1954 KB  
Article
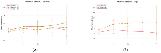
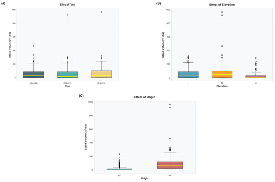
Dynamic Interactions of Stand Characteristics and Site on Quercus spp. Volume in China Under Climate Change
by Cheng-Rui Liao, Jun-Xiang Ouyang, Yu-Hao Li, Hong-Bo Jiang and Yin-Yin Wang
Forests 2025, 16(12), 1769; https://doi.org/10.3390/f16121769 - 25 Nov 2025
Viewed by 332
Abstract
The impacts of global warming on species’ habitat suitability and consequent potential range shifts have attracted increasing scholarly attention. As keystone species in China’s climax communities, Quercus spp. are widely distributed across the country and play vital roles in ecological conservation, economic development, [...] Read more.
The impacts of global warming on species’ habitat suitability and consequent potential range shifts have attracted increasing scholarly attention. As keystone species in China’s climax communities, Quercus spp. are widely distributed across the country and play vital roles in ecological conservation, economic development, and recreational services. Current research primarily focuses on variations in biomass at regional/watershed scales or employs distribution modeling to predict population responses to climate change. This study investigates nationwide trends in stand volume of Quercus spp. across three elevation gradients, analyzing the impacts of forest age, origin, and temporal dynamics by integrating historical National Forest Inventory (NFI) datasets with meteorological records spanning 1948–2021. Our findings demonstrate a persistent warming trend throughout China from 1948 to 2021, exhibiting significant seasonal divergence in temperature variability patterns. The stand volume of Quercus spp. showed non-significant elevational variation (p > 0.05), but exhibited marked differences across temporal gradients and origins. Notably, natural forests demonstrated higher stand volume than plantations (p < 0.01). Moreover, significant interactive effects were observed among elevation, origin, and forest age (p < 0.05), particularly for natural Quercus spp. Their stand volume exhibited distinct age-dependent trajectories: (1) high-elevation stands (>3000 m) displayed a “decline-recovery” fluctuation during 41–80 years, (2) mid-elevation stands (500–3000 m) maintained steady increases, and (3) low-elevation stands (<500 m) followed parabolic patterns peaking at 61–80 years. Our work further validates differential migration patterns of Quercus spp. under global warming, providing novel mechanistic insights into their climate-responsive dynamics. Full article
Show Figures

Figure 1

16 pages, 2754 KB  
Article
Tree Size Inequalities Induced by Stand Age and Functional Trait Identities Control Biomass Productivity Across Stand Types of Temperate Forests in South Korea
by Yong-Ju Lee and Chang-Bae Lee
Forests 2025, 16(12), 1759; https://doi.org/10.3390/f16121759 - 21 Nov 2025
Viewed by 472
Abstract
Enhancing forest biodiversity and carbon sinks in the face of climate change is a high priority on the global agenda. The aim of our study was to explore the feasibility and potential of enhancing biodiversity and stand biomass productivity, which are strongly linked [...] Read more.
Enhancing forest biodiversity and carbon sinks in the face of climate change is a high priority on the global agenda. The aim of our study was to explore the feasibility and potential of enhancing biodiversity and stand biomass productivity, which are strongly linked to forest ecosystem functioning and services in temperate forests. Based on data from the 5th to 7th National Forest Inventory of South Korea, 1760 natural forest plots (0.16 ha) were used, of which 344 plots belonged to conifer stands, 711 plots belonged to broadleaved stands, and 705 plots belonged to mixed stands. Forest succession-related factor (i.e., stand age), and abiotic (i.e., climatic and topographic conditions, and soil properties) and biotic drivers (i.e., species diversity, functional trait diversity, functional trait identity, and stand structural diversity) were jointly included as independent variables in an integrated model to explain variations in stand biomass productivity. In order to reveal the key drivers and relationships that regulate stand biomass productivity across forest stand types, we applied a multi-model averaging approach and piecewise structural equation modelling (pSEM). As a key finding, across all forest stand types, forest stand age-induced tree size inequality (i.e., DBH STD) in all forest stand types commonly increased stand biomass productivity, showing strong positive standardized effects (β > 0.5, p < 0.001). We also found that the functional trait identities controlling stand biomass productivity within each forest stand type differed according to their functional traits of dominant species, and that these mechanisms were controlled directly or indirectly by environmental conditions. Our research suggests that appropriate forest management plans should be developed in accordance with environmental gradients to simultaneously promote biodiversity and stand biomass productivity in different forest stand types. Full article
(This article belongs to the Section Forest Ecology and Management)
Show Figures

Figure 1

Back to TopTop