Growth and Characterization of Lead-free Piezoelectric Single Crystals
Abstract
:1. Introduction
2. Experimental Procedure and Crystal Growth
2.1. Chemical and Physical Analysis
| Elements | EPMA References |
|---|---|
| Ba | BaTiO3 single crystal |
| Ca | CaF2 single crystal |
| Ti | BaTiO3 single crystal |
| Zr | ZrO2 sintered ceramics (4N) |
| Li | Undetected |
| Na | NaCl |
| K | KNbO3 single crystal |
| Nb | KNbO3 single crystal |
| Ta | Ta2O5 sintered ceramics (4N) |
| Sb | Metallic Sb polycrystal or Sb2O3 sintered ceramic (4N) |
2.2. Synthesis
2.3. Growth Methodology
2.4. Crystal Growth
3. Results and Discussion
3.1. Morphology of Crystals


| KNLSTN Normalized Composition | Li (mol %) | Na (mol %) | K (mol %) | Nb (mol %) | Ta (mol %) | Sb (mol %) | |
|---|---|---|---|---|---|---|---|
| No. Attempt-Name | Phase | ||||||
| 1st attempt KNL20S14T07N | Liquid solution | 8.9% | 12.8% | 78.3% | 96.7% | 0.9% | 2.4% |
| Crystal | 2.0% | 15.5% | 82.5% | 97.9% | 0.7% | 1.4% | |
| 2nd attempt KNL34S91T40N | Liquid solution | 10.3% | 40.8% | 48.9% | 78.6% | 1.5% | 19.9% |
| Crystal | 3.4% | 84.7% | 11.9% | 86.9% | 4.0% | 9.1% | |
| 3rd attempt KNL25S50T24N | Liquid solution | 11.4% | 27.1% | 61.5% | 89.8% | 1.3% | 8.9% |
| Crystal | 2.5% | 55.8% | 41.7% | 92.6% | 2.4% | 5.0% | |
| 4th attempt KNL23S38T37N | Liquid solution | 11.4% | 22.8% | 65.8% | 91.9% | 1.5% | 6.6% |
| Crystal | 2.3% | 58.3% | 39.4% | 92.5% | 3.7% | 3.8% | |
| 5th attempt KNL34S57T47N | Liquid solution | 11.4% | 21.3% | 67.3% | 91.9% | 1.5% | 6.6% |
| Crystal | 3.4% | 60.9% | 35.7% | 89.6% | 4.7% | 5.7% | |
| KNLSTN at morphotropic phase boundary (MPB) | 4.0% | 52.0% | 44.0% | 90.0% | 4.0% | 6.0% | |
| BCTZ Normalized Composition | Ca (mol %) | Ba (mol %) | Ti (mol %) | Zr (mol %) | |
|---|---|---|---|---|---|
| No. Attempt-Name | Phase | ||||
| 1st attempt BCTZ1 | Liquid solution | 15.00% | 85.00% | 90.00% | 10.00% |
| Crystal | 4.72% | 95.28% | 42.72% | 57.28% | |
| 2nd attempt BCTZ2 | Liquid solution | 23.00% | 77.00% | 98.00% | 2.00% |
| Crystal | 14.35% | 85.65% | 92.84% | 7.16% | |
| 3rd attempt BCTZ3 | Liquid solution | 23.54% | 76.46% | 97.55% | 2.45% |
| Crystal | 16.22% | 83.78% | 85.38% | 14.62% | |
| BCTZ50 | 15.00% | 85.00% | 90.00% | 10.00% | |


| Growth Number-Name of the Attempt KNLSTN | Tsaturation (°C) | Weight Loss (%) | Duration of Growth (h) | Weight Loss Rate (%·h−1) |
|---|---|---|---|---|
| 1-KNL20S14T07N | 885 | 3% | 200 | 0.015 |
| 2-KNL34S91T40N | 1195 | 5% | 250 | 0.020 |
| 3-KNL25S50T24N | 1190 | <2% | 100 | <0.020 |
| 4-KNL23S38T37N | 1200 | 7% | 250 | 0.028 |
| 5-KNL34S57T47N | 1200 | <1% | 50 | <0.020 |
| 1-BCTZ1 | 1550–1570 | ~27% | 120 | 0.225 |
| 2-BCTZ2 | 1500–1550 | 8%–9% | 150 | 0.060 |
| 3-BCTZ3 | 1485–1510 | 6%–7% | 300 | 0.023 |
3.2. X-Ray Diffraction
| Growth Number-Name of the Attempt BCTZ | Structure-Space Group | a (Å) | b (Å) | c (Å) | Rp (%) | Rwp (%) | Rexp (%) | Χ2 |
|---|---|---|---|---|---|---|---|---|
| 1-BCTZ1 | Cubic-Pm-3m | 4,123(1) | 4,123(1) | 4,123(1) | 7.47% | 9.96% | 6.47% | 2.37 |
| 2-BCTZ2 | Tetragonal-P4mm | 3,992(9) | 3,992(9) | 4,015(8) | 7.67% | 10.90% | 8.51% | 1.64 |
| 3-BCTZ3 | Tetragonal-P4mm | 4,010(3) | 4,010(3) | 4,021(4) | 9.05% | 12.40% | 9.26% | 1.80 |
| BCTZ50 | Tetragonal-P4mm | 4,000(5) | 4,000(5) | 4,017(3) | 6.88% | 9.15% | 6.29% | 2.11 |

3.3. Dielectric Measurements on BCTZ and KNLSTN Crystals
3.3.1. BCTZ Characterization







| T(K) | d31 (pC·N−1) | K31 |
|---|---|---|
| 293 | 70 | 0.14 |
| 305 | 93 | 0.18 |
| 337 | 91 | 0.17 |
- Common resonance geometries along with recommended aspect ratios are usually used to characterize piezoelectric materials. In our case, the dimensions of BCTZ3 single crystal do not follow appropriately the metric conditions for length thickness extensional mode. Therefore, we may introduce a significant error when determining the electromechanical coefficients.
- Although the BCTZ3 composition is close to the targeted BCTZ50 from the chemical point of view, both of them behave differently from the crystallographic point of view. Based on recent studies of Keeble et al. [8]; the orthorhombic O-phase found in BCTZ50 close to ambient temperature seems to be absent in BCTZ3 (from dielectric and pyroelectric measurements). Consequently, BCTZ3 is far away from the phase convergence region already reported for BTZ-BCT pseudo-binary phase diagram and no instability gradient could then be attained. This situation may explain the relatively low piezoelectric response in BCTZ3 compared to BCTZ50 ceramics composition. Finally, it is perhaps interesting to state that electromechanical properties of BCTZ3 single crystal presented, in this work, are consistent with those reported for BTZ (BaTiO3-BaZrO3) and BCT (BaTiO3-CaTiO3) single crystals synthesized by laser heated pedestal growth and floating zone techniques, respectively [29,38].
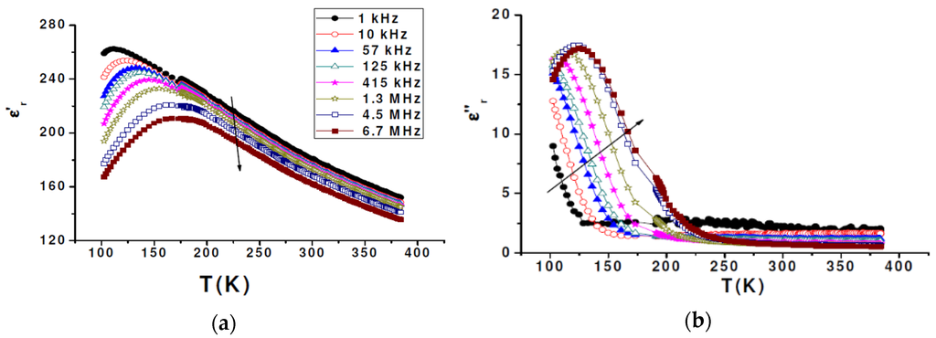
3.3.2. KNLSTN Characterization

4. Conclusions
Acknowledgments
Author Contributions
Conflicts of Interest
References
- Rabe, K.; Ahn, C.H.; Triscone, J.M. Physics of Ferroelectrics: A Modern Perspective; Springer: Berlin, Germany; Heidelberg, Germany, 2007. [Google Scholar]
- Liu, W.; Ren, X. Large piezoelectric effect in Pb-free ceramics. Phys. Rev. Lett. 2009, 103, 1–4. [Google Scholar] [CrossRef] [PubMed]
- Saito, Y.; Takao, H.; Tani, T.; Nonoyama, T.; Takatori, K.; Homma, T.; Nagaya, T.; Nakamura, M. Lead-free piezoceramics. Nature 2004, 432, 1–4. [Google Scholar] [CrossRef] [PubMed]
- Fu, J.; Zuo, R.; Fang, X.; Liu, K. Lead-free ceramics based on alkaline niobate tantalate antimonate with excellent dielectric and piezoelectric properties. Mater. Res. Bull. 2009, 44, 1188–1190. [Google Scholar] [CrossRef]
- Benabdallah, F.; Veber, P.; Prakasam, M.; Viraphong, O.; Shimamura, K.; Maglione, M. Continuous cross-over from ferroelectric to relaxor state and piezoelectric properties of BaTiO3-BaZrO3-CaTiO3 single crystals. J. Appl. Phys. 2014, 115. [Google Scholar] [CrossRef]
- Prakasam, M.; Veber, P.; Viraphong, O.; Etienne, L.; Lahaye, M.; Pechev, S.; Lebraud, E.; Shimamura, K.; Maglione, M. Growth and characterizations of lead-free ferroelectric KNN-based crystals. C. R. Phys. 2013, 14, 133–140. [Google Scholar] [CrossRef]
- IEEE. IEEE Standard on Piezoelectricity; ANSI/IEEE Std.176-1987; IEEE: New York, NY, USA, 1988. [Google Scholar]
- Keeble, D.S.; Benabdallah, F.; Thomas, P.A.; Maglione, M.; Kreisel, J. Revised structural phase diagram of (Ba0.7Ca0.3TiO3)-(BaZr0.2Ti0.8O3). Appl. Phys. Lett. 2013, 102. [Google Scholar] [CrossRef]
- Irle, E.; Blachnik, R.; Gather, B. The phase diagrams of Na2O and K2O with Nb2O5 and the ternary system Nb2O5-Na2O-Yb2O3. Thermochim. Acta 1991, 179, 157–169. [Google Scholar] [CrossRef]
- Polgár, K.; Péter, Á.; Kovács, L.; Corradi, G.; Szaller, Z. Growth of stoichiometric LiNbO3 single crystals by top seeded solution growth method. J. Cryst. Growth 1997, 177, 211–216. [Google Scholar] [CrossRef]
- Reisman, A.; Banks, E. Reactions of the group VB pentoxides. VIII. Thermal, density and X-ray studies of the systems KNbO3-NaNbO3 and KTaO3-KNbO3. J. Am. Chem. Soc. 1958, 80, 1877–1882. [Google Scholar] [CrossRef]
- Hofmeister, R.; Yariv, A.; Agranat, A. Growth and characterization of the perovskite K1 yLiyTa1−xNbxO3:Cu. J. Cryst. Growth 1993, 131, 486–494. [Google Scholar] [CrossRef]
- Guan, Q.; Hu, X.; Wei, J.; Wang, J.; Tian, L.; Cui, W.; Liu, Y. Growth, etching, polarization and second harmonic generation of potassium lithium tantalate niobate crystals. J. Cryst. Growth 1999, 197, 1012–1014. [Google Scholar] [CrossRef]
- Van der Klink, J.J.; Rytz, D. Growth of K1−xLixTaO3 crystals by a slow-cooling method. J. Cryst. Growth 1982, 56, 673–676. [Google Scholar] [CrossRef]
- Podlojenov, S.; Burianek, M.; Mühlberg, M. Czochralski growth and constitutional studies on single crystals of potassium lithium niobate (KLN). Cryst. Res. Technol. 2003, 38, 1015–1022. [Google Scholar] [CrossRef]
- Wang, J.Y.; Guan, Q.C.; Wei, J.Q.; Wang, M.; Liu, Y.G. Growth and characterization of cubic KTa1−xNbxO3 crystals. J. Cryst. Growth 1992, 116, 27–36. [Google Scholar] [CrossRef]
- Reisman, A.; Triebwasser, S.; Holtzberg, F. Phase Diagram of the system KNbO3-KTaO3 by the methods of differential thermal and resistance analysis. J. Am. Chem. Soc. 1955, 77, 4228–4230. [Google Scholar] [CrossRef]
- Rytz, D. Ferroelectricité quantique dans KTa1−xNbxO3. Ph.D. Thesis, Ecole Polytechnique Féférale de Lausanne, Lausanne, Switzerland, 1983. [Google Scholar]
- Rytz, D.; Scheel, H.J. Crystal growth of KTa1−xNbxO3 (0< x <0.04) solid solutions by a slow-cooling method. J. Cryst. Growth 1982, 59, 468–484. [Google Scholar] [CrossRef]
- Badurski, M.; Stróż, K. Growth and phase transitions in single crystals of (KxNa1−x)NbO3. J. Cryst. Growth 1979, 46, 274–276. [Google Scholar] [CrossRef]
- Sadel, A.; von der Mühll, R.; Ravez, J.; Chaminade, J.P.; Hagenmuller, P. Synthèse et étude des transitions de phases de céramiques et de cristaux de composition Li0.02Na0.98NbO3. Solid State Commun. 1982, 44, 345–349. (In French) [Google Scholar] [CrossRef]
- Chani, V.I.; Nagata, K.; Kawaguchi, T.; Imaeda, M. Segregation and uniformity of K3Li2(Ta,Nb)5O3 fiber crystals grown by micro-pulling-down method. J. Cryst. Growth 1998, 194, 374–378. [Google Scholar] [CrossRef]
- Fukuda, T.; Hirano, H. Solid-solution LiTaxNb1−xO3 single crystal growth by Czochralski and edge-defined film-fed growth technique. J. Cryst. Growth 1976, 35, 127–132. [Google Scholar] [CrossRef]
- Fukuda, T. Structural and Dielectric Studies of Ferroelectric K3Li2(TaxNb1−x)5O15. Jpn. J. Appl. Phys. 1970, 9. [Google Scholar] [CrossRef]
- Shirane, G.; Newnham, R.; Pepinsky, R. Dielectric properties and phase transitions of NaNbO3 and (Na,K)NbO3. Phys. Rev. 1954, 96, 581–588. [Google Scholar] [CrossRef]
- Ferriol, M.; Cochez, M.; Aillerie, M. Ternary system Li2O-K2O-Nb2O5: Re-examination of the 30 mol % K2O isopleth and growth of fully stoichiometric potassium lithium niobate single crystals by the micro-pulling down technique. J. Cryst. Growth 2009, 311, 4343–4349. [Google Scholar] [CrossRef]
- Fukuda, T.; Hirano, H.; Koide, S. Growth and properties of ferroelectric K3Li2(TaxNb1−x)5O15. J. Cryst. Growth 1970, 6, 293–296. [Google Scholar] [CrossRef]
- Fu, D.; Itoh, M.; Koshihara, S. Crystal growth and piezoelectricity of BaTiO3-CaTiO3 solid solution. Appl. Phys. Lett. 2008, 93. [Google Scholar] [CrossRef]
- Yu, Z.; Guo, R.Y.; Bhalla, A.S. Orientation dependence of the ferroelectric and piezoelectric behavior of Ba(Ti1 − xZrx)O3 single crystals. Appl. Phys. Lett. 2000, 77, 1535–1537. [Google Scholar] [CrossRef]
- Zeng, Y.; Zheng, Y.; Tu, X.; Lu, Z.; Shi, E. Growth and characterization of lead-free Ba(1−x)CaxTi(1−y)ZryO3 single crystal. J. Cryst. Growth 2012, 343, 17–20. [Google Scholar] [CrossRef]
- Waser, R.; Böttger, U.; Tiedke, S. Polar Oxides-Properties, Characterization, and Imaging; Wiley-VCH Verlag GmbH & Co. KGaA: Weinheim, Germany, 2005. [Google Scholar]
- Bokov, A.A.; Ye, Z.G. Recent progress in relaxor ferroelectrics with perovskite structure. J. Mater. Sci. 2006, 41, 31–52. [Google Scholar] [CrossRef]
- Ravez, J.; Broustera, C.; Simon, A. Lead-free ferroelectric relaxor ceramics in the BaTiO3-BaZrO3-CaTiO3 system. J. Mater. Chem. 1999, 9, 1609–1613. [Google Scholar] [CrossRef]
- Benabdallah, F.; Simon, A.; Khemakhem, H.; Elissalde, C.; Maglione, M. Linking large piezoelectric coefficients to highly flexible polarization of lead free BaTiO3-CaTiO3-BaZrO3 ceramics. J. Appl. Phys. 2011, 109. [Google Scholar] [CrossRef]
- Park, S.E.; Shrout, T.R. Ultrahigh strain and piezoelectric behavior in relaxor based ferroelectric single crystals. J. Appl. Phys. 1997, 82, 1804–1811. [Google Scholar] [CrossRef]
- Park, S.E.; Wada, S.; Cross, L.E.; Shrout, T.R. Crystallographically engineered BaTiO3 single crystals for high-performance piezoelectrics. J. Appl. Phys. 1999, 86, 2746–2750. [Google Scholar] [CrossRef]
- Wada, S.; Takeda, K.; Muraishi, T.; Kakemoto, H.; Tsurumi, T.; Kimura, T. Domain wall engineering in lead-free piezoelectric grain-oriented ceramics. Ferroelectrics 2008, 373, 11–21. [Google Scholar] [CrossRef]
- Jaffe, B.; Cook, W.R., Jr.; Jaffe, H. Piezoelectric Ceramics; Academic Press: New York, NY, USA, 1971. [Google Scholar]
- Jiménez, B.; Jiménez, R.; Castro, A.; Pardo, L. Compositional evolution of structural phase transitions in sodium niobates. J. Eur. Ceram. Soc. 2004, 24, 1521–1524. [Google Scholar] [CrossRef]
- Hollenstein, E.; Davis, M.; Damjanovic, D.; Setter, N. Piezoelectric properties of Li- and Ta-modified (K0.5Na0.5)NbO3 ceramics. Appl. Phys. Lett. 2005, 87. [Google Scholar] [CrossRef]
- Ochoa, D.A.; García, J.E.; Pérez, R.; Gomis, V.; Albareda, A.; Rubio-Marcos, F.; Fernández, J.F. Extrinsic contribution and non-linear response in lead-free KNN-modified piezoceramics. J. Phys. D Appl. Phys. 2009, 42. [Google Scholar] [CrossRef]
© 2015 by the authors; licensee MDPI, Basel, Switzerland. This article is an open access article distributed under the terms and conditions of the Creative Commons by Attribution (CC-BY) license (http://creativecommons.org/licenses/by/4.0/).
Share and Cite
Veber, P.; Benabdallah, F.; Liu, H.; Buse, G.; Josse, M.; Maglione, M. Growth and Characterization of Lead-free Piezoelectric Single Crystals. Materials 2015, 8, 7962-7978. https://doi.org/10.3390/ma8115436
Veber P, Benabdallah F, Liu H, Buse G, Josse M, Maglione M. Growth and Characterization of Lead-free Piezoelectric Single Crystals. Materials. 2015; 8(11):7962-7978. https://doi.org/10.3390/ma8115436
Chicago/Turabian StyleVeber, Philippe, Feres Benabdallah, Hairui Liu, Gabriel Buse, Michael Josse, and Mario Maglione. 2015. "Growth and Characterization of Lead-free Piezoelectric Single Crystals" Materials 8, no. 11: 7962-7978. https://doi.org/10.3390/ma8115436
APA StyleVeber, P., Benabdallah, F., Liu, H., Buse, G., Josse, M., & Maglione, M. (2015). Growth and Characterization of Lead-free Piezoelectric Single Crystals. Materials, 8(11), 7962-7978. https://doi.org/10.3390/ma8115436
