A Novel Hydrazinecarbothioamide as a Potential Corrosion Inhibitor for Mild Steel in HCl
Abstract
:1. Introduction

2. Results and Discussion
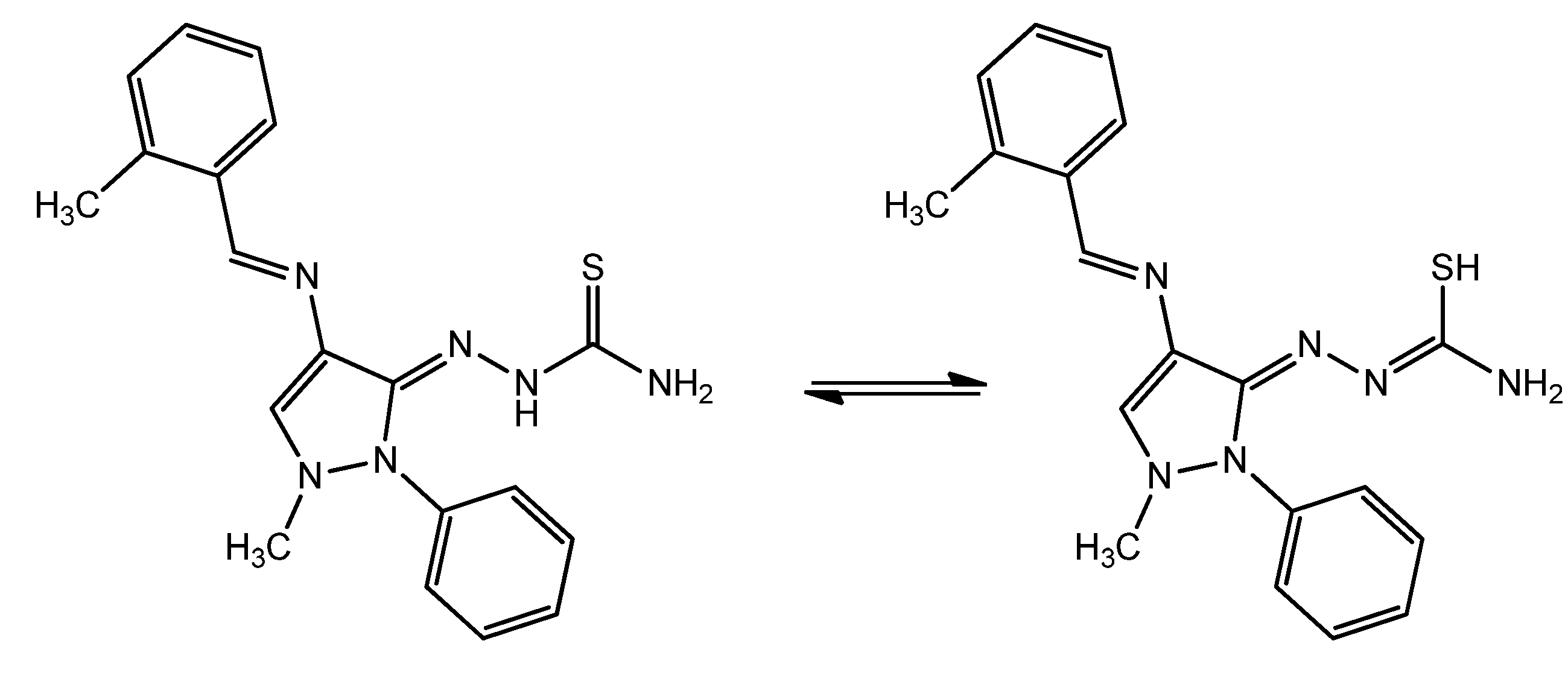
2.1. Chemistry
Synthetic Chemistry


2.2. Electrochemical Analysis
Polarization Measurements

| Concentration (mM) | ICORR (μA cm−2) | Ecorr(mV vs. SCE) | Βa (V dec−1) | βc (V dec−1) | IE (%) |
|---|---|---|---|---|---|
| 0 | 298 | 504 0 | 0.119 | 0.121 | 0 |
| 0.125 | 24.1 | 505 | 0.214 | 0.193 | 95.22 |
| 0.25 | 20.4 | 492 | 0.180 | 0.131 | 95.93 |
| 0.4 | 17.40 | 466 | 0.125 | 0.146 | 96.26 |
| 0.5 | 16.30 | 479 | 0.131 | 0.141 | 96.59 |
2.3. Electrochemical Impedance Spectroscopy (EIS) Measurements
| Concentration (mM) | Rct (ohm.cm2) | Rs (ohm.cm2) | Cdl (μFcm−2) | IE (%) |
|---|---|---|---|---|
| 0 | 77.36 | 1.484 | 408.1 | - |
| 0.125 | 122.5 | 7.425 | 532 | 39.90 |
| 0.25 | 132.1 | 7.744 | 943 | 94.16 |
| 0.4 | 152.6 | 7.76 | 1198 | 94.89 |
| 0.5 | 168 | 5.81 | 1102 | 96.50 |


3. Experimental Section
Electrochemical Measurements
4. Conclusions
Acknowledgments
References
- Machu, W. Third European Symposium on Corrosion Inhibitors; University of Ferrara: Ferrara, Italy, 1970; pp. 107–117. [Google Scholar]
- Ali, S.A.; Saeed, M.T.; Rahman, S.U. The isoxazolidines: A new class of corrosion inhibitors of mild steel in acidic medium. Corros. Sci. 2003, 45, 253–266. [Google Scholar] [CrossRef]
- Shorky, H.; Yuasa, M.; Sekine, I.; Issa, R.M.; El-Baradie, H.Y.; Gomma, G.K. Corrosion inhibition of mild steel by schiff base compounds in various aqueous solutions. Corros. Sci. 1998, 40, 2173–2186. [Google Scholar] [CrossRef]
- Machnikova, E.; Whitmire, K.H.; Hackerman, N. Corrosion inhibition of carbon steel in hydrochloric acid by furan derivatives. Electrochim. Acta 2008, 53, 6024–6032. [Google Scholar] [CrossRef]
- Benabdellah, M.; Touzani, R.; Aouniti, A.; Dafali, A.; El-Kadiri, S.; Hammouti, B.; Benkaddour, M. The influence of 2-phenylthieno (3,2-b) quinoxaline (P4) on the corrosion of steel in 1M HCl. Mater. Chem. Phys. 2007, 105, 373–379. [Google Scholar] [CrossRef]
- Fiala, A.; Chibani, A.; Darchen, A.; Boulkamh, A.; Djebbar, K. Investigations of the inhibition of copper corrosion in nitric acid solutions by ketene dithioacetal derivatives. Appl. Surf. Sci. 2007, 253, 9347–9356. [Google Scholar] [CrossRef]
- El-Shafei, A.A.; Abd El-Maksoud, S.A.; Fouda, A.S. The role of indole and its derivatives in the pitting corrosion of Al in neutral chloride solution. Corros. Sci. 2004, 46, 579–590. [Google Scholar] [CrossRef]
- Abdallah, M. Rhodanine azosulpha drugs as corrosion inhibitor. Corros. Sci. 2002, 44, 717–728. [Google Scholar] [CrossRef]
- Prabhu, R.A.; Venkatesha, T.V.; Shanbhag, A.V.; Kulkarni, G.M.; Kalkhambkar, R.G. Inhibition effects of some Schiff’s bases on the corrosion of mild steel in hydrochloric acid solution. Corros. Sci. 2008, 50, 3356–3362. [Google Scholar] [CrossRef]
- Prabhu, R.A.; Shanbhag, A.V.; Venkatesha, T.V. Influence of tramadol [2-[(dimethylamino)methyl]-1-(3-methoxyphenylcyclohexanolhydrate] on corrosion inhibition of mild steel in acidic media. J. Appl. Electrochem. 2007, 37, 491–497. [Google Scholar] [CrossRef]
- El-Naggar, M. Corrosion inhibition of mild steel in acidic medium by some sulfa drugs compounds. Corros. Sci. 2007, 49, 2226–2236. [Google Scholar] [CrossRef]
- Obot, I.B.; Obi-Egbedi, N.O.; Umoren, S.A. drugs as corrosion inhibitors for aluminium in 0.1 M HCl. Corros. Sci. 2009, 51, 1868–1875. [Google Scholar] [CrossRef]
- Shukla, S.K.; Quraishi, M.A. 4-Substituted anilinomethylpropionate: New and efficient. corrosion inhibitors for mild steel. Corros. Sci. 2009, 51, 1007–1011. [Google Scholar] [CrossRef]
- Shukla, S.K.; Singh, A.K.; Ahamad, I.; Quraishi, M.A. Drug as corrosion inhibitor for mild steel in hydrochloric acid solution. Mater. Lett. 2009, 63, 819–822. [Google Scholar] [CrossRef]
- Singh, A.K.; Quraishi, M.A. Effect of Cefazolin on the corrosion of mild steel in HCl solution. Corros. Sci. 2010, 52, 152–160. [Google Scholar] [CrossRef]
- Ahamad, I.; Quraishi, M.A. Mebendazole: New and efficient corrosion inhibitor for mild steel in acid medium. Corros. Sci. 2010, 52, 651–656. [Google Scholar] [CrossRef]
- Quraishi, M.A. Sardar, Corrosion inhibition of mild steel in acid solutions by some aromatic oxadiazoles Mater. R. Mater. Chem. Phys. 2002, 78, 425–431. [Google Scholar] [CrossRef]
- Stupnišek-Lisac, E.; Podbršček, S.; Sorić, T. Non-toxic organic zinc corrosion inhibitors in hydrochloric acid. J. Appl. Electrochem. 1994, 24, 779–784. [Google Scholar] [CrossRef]
- Behpour, M.; Ghoreishi, S.M.; Gandomi-Niasar, A.; Soltani, N.; Salavati-Niasari, M. The inhibition of mild steel corrosion in hydrochloric acid media by two Schiff base compounds. J. Mater. Sci. 2009, 44, 2444–2453. [Google Scholar] [CrossRef]
- Asan, A.; Soylu, S.; Kiyak, T.; Yildirim, F. Schiff bases as corrosion inhibitors for mild steel. Corros. Sci. 2006, 48, 3933–3944. [Google Scholar] [CrossRef]
- Behpour, M.; Ghoreishi, S.M.; Soltani, N.; Salavati-Niasari, M.; Hamadanian, M.; Gandomi, A. The inhibition of mild steel corrosion in hydrochloric acid media by two schiff base compounds. J. Mater. Sci. 2009, 44, 2444–2453. [Google Scholar] [CrossRef]
- Abdel-Gaber, A.M.; Masoud, M.S.; Khalil, E.A.; Shehata, E.E. Electrochemical study on the effect of Schiff base and its cobalt complex on the acid corrosion of steel. Corros. Sci. 2009, 51, 3021–3024. [Google Scholar] [CrossRef]
- Ai, J.; Guo, X.; Qu, J.; Chen, Z.; Zheng, J. Adsorption behaviour and synergistic mmechanism of a cationic inhibitor and KI on the galvanic electrode. Colloids Surf. A Physicochem. Eng. Aspects 2006, 281, 147–155. [Google Scholar] [CrossRef]
- Sankarap, S.; Apavinasam, F.; Pushpanaden, M.; Ahmed, F. Piperidine, piperidones and tetrahydrothiopyrones as inhibitors for the corrosion of copper in H2SO4. Corros. Sci. 1991, 32, 193–203. [Google Scholar] [CrossRef]
- Herrag, L.; Hammouti, B.; Elkadiri, S.; Aouniti, A.; Jama, C.; Vezin, H.; Bentiss, F. Adsorption properties and inhibition of mild steel corrosion in hydrochloric solution by some newly synthesized diamine derivatives: Experimental and theoretical investigations. Corros. Sci. 2010, 52, 3042–3051. [Google Scholar] [CrossRef]
- Wang, L. Evaluation of 2-mercaptobenzimidazole as corrosion inhibitor for mild steel in phosphoric acid. Corros. Sci. 2001, 43, 1637–1644. [Google Scholar] [CrossRef]
- Al-Amiery, A.A.; Al-Bayati, R.I.; Saed, F.M.; Ali, W.B.; Kadhum, A.H.; Mohamad, A.B. Novel pyranopyrazoles: Synthesis and theoretical studies. Molecules 2012, 17, 10377–10389. [Google Scholar] [CrossRef] [PubMed]
- Kadhum, A.A.H.; Mohamad, A.; Al-Amiery, A.A. Antimicrobial and anti-oxidant activities of new metal complexes derived from 3-aminocoumarin. Molecules 2011, 16, 6969–6984. [Google Scholar] [CrossRef] [PubMed]
- Al-Amiery, A.A.; Al-Bayati, R.; Saour, K.; Radi, M. Cytotoxicity, Antioxidant and Antimicrobial activities of novel 2-quinolone derivatives derived from coumarins. Res. Chem. Intermediat. 2012, 38, 559–569. [Google Scholar] [CrossRef]
- Al-Amiery, A.A.; Musa, A.Y.; Kadhum, A.A.H.; Mohamad, A. The use of umbelliferone in the synthesis of new heterocyclic compounds. Molecules 2011, 16, 6833–6843. [Google Scholar] [CrossRef] [PubMed]
- Al-Amiery, A.A.; Musa, A.Y.; Kadhum, A.A.H.; Mohamad, A. The antioxidant activity of new coumarin derivatives. Int. J. Mol. Sci. 2011, 12, 5757–5761. [Google Scholar]
- Kadhum, A.A.H.; Al-Amiery, A.A.; Shikara, M.; Mohamad, A.; Al-Bayati, R. Synthesis, structure elucidation and DFT studies of new thiadiazoles. Int. J. Phys. Sci. 2012, 6, 6692–6697. [Google Scholar]
- Al-Amiery, A.A.; Kadhum, A.A.H.; Mohamad, A. Antifungal and antioxidant activities of pyrrolidonethiosemicarbazone complexes. Bioinorg. Chem. Appl. 2012, 2012, 1–5. [Google Scholar] [CrossRef]
- Al-Amiery, A.A. Synthesis and antioxidant, antimicrobial evaluation, DFT studies of novel metal complexes derivate from Schiff base. Res. Chem. Intermediat. 2012, 38, 745–759. [Google Scholar] [CrossRef]
- Al-Amiery, A.A.; Kadhum, A.A.H.; Mohamad, A. Antifungal activities of new coumarins. Molecules 2012, 17, 5713–5723. [Google Scholar] [CrossRef] [PubMed]
- Junaedi, S.; Kadhum, A.A.H.; Al-Amiery, A.A.; Mohamad, A.; Takriff, M. Synthesis and characterization of novel corrosion inhibitor derived from oleic acid: 2-Amino 5-Oleyl-1,3,4-Thiadiazol (AOT). Int. J. Electrochem. Sci. 2012, 7, 3543–3554. [Google Scholar]
- Zhu, Y.; Yao, C.; Zou, X.; Hu, F.; Liu, B.; Li, Y.; Yang, H. The synthesis and herbicidal activity of 1-Alkyl-3-(α-hydroxysubstituted benzylidene)pyrrolidine-2,4-diones. Molecules 2005, 10, 427–434. [Google Scholar] [CrossRef] [PubMed]
- Madkour, H.M.F. Structural elucidation of Z- and E-isomers of 5-alkyl-4-ethoxycarbonyl-5-(4’-chlorophenyl)-3-oxa-4-pentenoic acids. Molecules 2000, 5, 737–745. [Google Scholar] [CrossRef]
- Li, Y.; Liu, Y.; Wang, H.; Xiong, X.; Wei, P.; Li, F. Synthesis, crystal structure, vibration spectral, and dft studies of 4-aminoantipyrine and its derivatives. Molecules 2013, 18, 877–893. [Google Scholar] [CrossRef] [PubMed]
- Davood, A.; Maseud, S. Synthesis and characterization of new 3,5-dinaphthyl substituted 2-pyrazolines and study of their antimicrobial activity. Molecules 2002, 7, 885–895. [Google Scholar] [CrossRef]
- Hleli, S.; Abdelghani, A.; Tlili, A. Impedance spectroscopy technique for DNA hybridization. Sensors 2003, 3, 472–479. [Google Scholar] [CrossRef]
- Badr, G.E. The role of some thiosemicarbazide derivatives as corrosion inhibitors in acidic media. Corros. Sci. 2009, 51, 2529–2536. [Google Scholar] [CrossRef]
- Wang, Z. The inhibition effect of bis-benzimidazole compound for mild steel in 0.5 M HCl solution. Int. J. Electrochem. Sci. 2012, 7, 11149–11160. [Google Scholar]
- Ramesh Saliyan, V.; Adhikari, A.V. Quinolin-5-ylmethylene-3-{[8-(trifluoromethyl)quinolin-4-yl]thio}propanohydrazide as an effective inhibitor of mild steel corrosion in HCl solution. Corros. Sci. 2008, 50, 55–61. [Google Scholar] [CrossRef]
- Liu, F.G.; Du, M.; Zhang, J.; Qiu, M. Electrochemical behavior of Q235 steel in saltwater saturated with carbon dioxide based on new imidazoline derivative inhibitor. Corros. Sci. 2009, 51, 102–109. [Google Scholar] [CrossRef]
- Xiu, W.; Ye, W.; Qing, W.; Ying, M. Study of inhibitive effect of 1,4-bis(benzimidazolyl)benzene on mild steel corrosion in 0.5 M HCl and 0.25 M H2SO4 solutions. Int. J. Electrochem. Sci. 2013, 8, 806–820. [Google Scholar]
- Al-Sarawy, A.A.; Fouda, A.S.; Shehab El-Dein, W.A. Some thiazole derivatives as corrosion inhibitors for carbon steel in acidic medium. Desalination 2008, 229, 279–293. [Google Scholar] [CrossRef]
- Ramesh Saliyan, V.; Adhikari, A.V. Quinolin-5-ylmethylene-3-{[8-(trifluoromethyl)quinolin-4-yl]thio}propanohydrazide as an effective inhibitor of mild steel corrosion in HCl solution. Corros. Sci. 2008, 50, 55–61. [Google Scholar] [CrossRef]
- Pardo, A.; Merino, M.C.; Arrabal, R.; Feliu, S., Jr.; Viejo, F.; Carboneras, M. Enhanced corrosion resistance of A3xx.x/SiCp composites in chloride media by La surface treatments. Electrochim. Acta. 2006, 51, 4367–4378. [Google Scholar] [CrossRef]
- Popova, A.; Christov, M. Evaluation of impedance measurements on mild steel corrosion in acid media in the presence of heterocyclic compounds. Corros. Sci. 2005, 48, 3208–3221. [Google Scholar] [CrossRef]
- Khaled, K.F. The inhibition of benzimidazole derivatives on corrosion of iron in 1 M HCl solutions. Electrochim. Acta 2003, 48, 2493–2503. [Google Scholar] [CrossRef]
- ASTM (American Society for Testing and Materials). Standard Practice for Preparing, Cleaning, and Evaluating Corrosion Test Specimens; ASTM: West Conshohocken, PA, USA, 2003; Available online: http://www.cosasco.com/documents/ASTM_G1_Standard_Practice.pdf (accessed on 11 March 2013).
© 2013 by the authors; licensee MDPI, Basel, Switzerland. This article is an open access article distributed under the terms and conditions of the Creative Commons Attribution license (http://creativecommons.org/licenses/by/3.0/).
Share and Cite
Al-Amiery, A.A.; Kadhum, A.A.H.; Mohamad, A.B.; Junaedi, S. A Novel Hydrazinecarbothioamide as a Potential Corrosion Inhibitor for Mild Steel in HCl. Materials 2013, 6, 1420-1431. https://doi.org/10.3390/ma6041420
Al-Amiery AA, Kadhum AAH, Mohamad AB, Junaedi S. A Novel Hydrazinecarbothioamide as a Potential Corrosion Inhibitor for Mild Steel in HCl. Materials. 2013; 6(4):1420-1431. https://doi.org/10.3390/ma6041420
Chicago/Turabian StyleAl-Amiery, Ahmed A., Abdul Amir H. Kadhum, Abu Bakar Mohamad, and Sutiana Junaedi. 2013. "A Novel Hydrazinecarbothioamide as a Potential Corrosion Inhibitor for Mild Steel in HCl" Materials 6, no. 4: 1420-1431. https://doi.org/10.3390/ma6041420
APA StyleAl-Amiery, A. A., Kadhum, A. A. H., Mohamad, A. B., & Junaedi, S. (2013). A Novel Hydrazinecarbothioamide as a Potential Corrosion Inhibitor for Mild Steel in HCl. Materials, 6(4), 1420-1431. https://doi.org/10.3390/ma6041420

