Mechanical Properties and Crack Evolution of Rock-like Materials with Varying Particle Sizes Prepared by Impact and Static Compaction Methods
Abstract
1. Introduction
2. Materials and Methods
2.1. Materials and Specimen Preparation
2.2. Experimental Procedure and Apparatus
3. Mechanical and Failure Characteristics Analysis
3.1. Elastic Modulus and Strength Characteristics
3.2. Stress-Strain Characteristics Analysis Under Different Preparation Methods
3.3. Failure Mode Analysis Under Different Preparation Methods
4. DIC-Based Analysis of Strain Field Evolution and Crack Propagation Mechanisms Under Different Preparation Methods
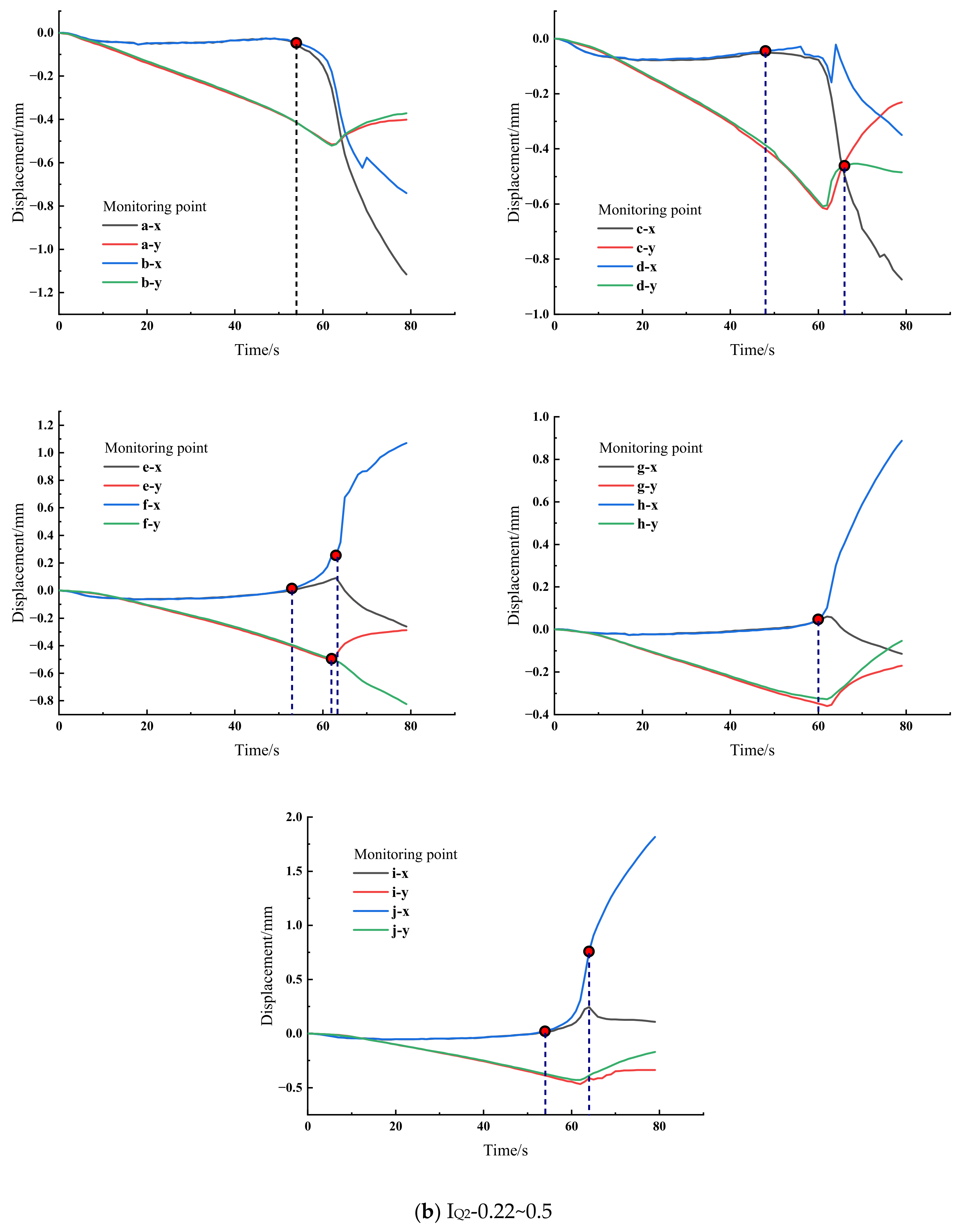
4.1. Analysis of Crack Evolution Under Different Preparation Methods
4.2. Discrimination of Crack Types Under Different Preparation Methods
4.3. Strain Evolution Analysis at Characteristic Points Under Different Preparation Methods
5. Microstructural Properties
5.1. Microstructural Analysis of Specimens Prepared by Different Methods
5.2. Correlation Between Synthetic Specimens and Natural Rock Types
6. Discussion
7. Conclusions
- For identical materials and particle sizes at a density of 1.82 g/cm3, specimens of fine-grained aeolian sand (0.075–0.18 mm) prepared by the static compaction method exhibited higher elastic modulus, initial yield strength, and peak strength compared to those fabricated by the impact compaction method. Conversely, for coarse-grained aeolian sand (0.22–0.5 mm) and quartz sand (0.22–0.5 mm) specimens, the impact compaction method resulted in higher elastic modulus, initial yield strength, and peak strength than the static compaction method. Under the static compaction method at 1.82 g/cm3, fine-grained aeolian sand specimens demonstrated superior elastic modulus, initial yield strength, and peak strength compared to coarse-grained aeolian sand specimens. However, under the impact compaction method, this trend reversed, with coarse-grained aeolian sand specimens achieving higher mechanical properties than their fine-grained counterparts. Under identical compaction energy (254.8 J), quartz sand specimens exhibited the highest elastic modulus and peak strength, followed by coarse-grained aeolian sand specimens, while fine-grained aeolian sand specimens displayed the lowest values in both parameters.
- Specimens prepared by the static compaction method at a density of 1.82 g/cm3 (fine-grained aeolian sand, coarse-grained aeolian sand, and quartz sand) predominantly failed through tensile splitting, forming a single vertical crack approximately parallel to the loading direction that penetrated the entire specimen. In contrast, specimens prepared by the impact compaction method at a density of 1.82 g/cm3 and compaction energy of 254.8 J (fine-grained aeolian sand, coarse-grained aeolian sand, and quartz sand) exhibited shear-dominated failure modes, characterized by symmetrical Y-shaped shear bands or multiple fracture surfaces with higher crack density and larger localized crack apertures. DIC analysis further discriminated crack types: static-compacted specimens primarily underwent tension-controlled failure, while impact-compacted specimens displayed tension-shear composite failure mechanisms.
- Comparative analysis with natural rock structures and lithological morphology systematically validated the applicability of both preparation methods. Based on these findings, we proposed the following recommendations: Static compaction is recommended for simulating low-strength rocks with high porosity and microvoids, such as schist, shale, three-layer water-adsorbed mudstone, and fractured brecciated rocks. Impact compaction is suitable for modeling high-strength lithologies, including single-layer water-adsorbed mudstone, granite, and basalt.
Author Contributions
Funding
Institutional Review Board Statement
Informed Consent Statement
Data Availability Statement
Conflicts of Interest
References
- Xie, X.; Cheng, Y.; Li, S.; Chen, X. Influence of mineral composition and grain size on mechanical properties of marble. Chin. J. Rock Mech. Eng. 2024, 43, 3280–3295. [Google Scholar]
- Wu, J.; Yang, X.; Song, Y.; Liu, S.; Li, S.; Liu, J. Inversion study on elastic–plastic material parameters of red sandstone in uniaxial compression test. Sci. Rep. 2023, 13, 21847. [Google Scholar] [CrossRef]
- Xu, H.; Jing, P.; Feng, G.; Zhang, Z.; Jiang, Q.; Yan, J. Effect of Mineral Composition and Particle Size on the Failure Characteristics and Mechanisms of Marble in the China Jinping Underground Laboratory. Materials 2024, 17, 2290. [Google Scholar] [CrossRef] [PubMed]
- Lakirouhani, A.; Asemi, F.; Zohdi, A.; Medzvieckas, J.; Kliukas, R. Physical parameters, tensile and compressive strength of dolomite rock samples: Influence of grain size. J. Civ. Eng. Manag. 2020, 26, 789–799. [Google Scholar] [CrossRef]
- Yu, Q.; Zhu, W.; Ranjith, P.; Shao, S. Numerical simulation and interpretation of the grain size effect on rock strength. Geomech. Geophys. Geo-Energy Geo-Resour. 2018, 4, 157–173. [Google Scholar] [CrossRef]
- Yu, Y.; Liu, J.; Yang, Y.; Wang, P.; Wang, Z.; Song, Z.; Liu, J.; Zhao, S. Failure energy evolution of coal–rock combination with different inclinations. Sci. Rep. 2022, 12, 19455. [Google Scholar] [CrossRef]
- Wang, Z.; Yu, M.; Wang, L.; Xie, H.; Xu, Y.; Wang, L. Strength degradation characteristics and damage constitutive model of sandstone under freeze–thaw cycles. Sci. Rep. 2024, 14, 22674. [Google Scholar] [CrossRef]
- Hofmann, H.; Babadagli, T.; Zimmermann, G. A grain based modeling study of fracture branching during compression tests in granites. Int. J. Rock Mech. Min. Sci. 2015, 77, 152–162. [Google Scholar] [CrossRef]
- Li, Z.; Huang, S.; Lv, C.; Liao, C.; Li, X.; Du, H. Experimental Study on the Size Effect of Compression-Shear Fracture Characteristics of Rock-like Materials Containing Open Cracks. Materials 2024, 17, 5941. [Google Scholar] [CrossRef]
- Lai, R.; Zhang, Z.; Zhu, J.; Xu, Z.; Wei, X.; Liu, X.; Xiong, B. Deterioration mechanisms of tuff with surface fractures under freeze–thaw cycles. Sci. Rep. 2024, 14, 13402. [Google Scholar] [CrossRef]
- Liu, Y.; Zhao, F.; Wu, Q.; Ye, Z. Mechanical Properties of Rock-like Materials Under Disturbance Loads at Different Lateral Pressures. Materials 2024, 17, 5439. [Google Scholar] [CrossRef] [PubMed]
- GB/T 50123-2019; Ministry of Housing and Urban-Rural Development of the People’s Republic of China. Standard for Geotechnical Testing Methods. China Planning Press: Beijing, China, 2019.
- Hong, Z.; Chen, S.; Liu, X.; Li, F. Experimental study on mechanical properties of 3D Printed layered rock like materials. Sci. Rep. 2024, 14, 25367. [Google Scholar] [CrossRef] [PubMed]
- Chen, Y.; Zhang, Z.; Cao, C.; Wang, S.; Xu, G.; Chen, Y.; Liu, J. Experimental Study of Mechanical Properties and Failure Characteristics of Coal–Rock-like Composite Based on 3D Printing Technology. Materials 2023, 16, 3681. [Google Scholar] [CrossRef] [PubMed]
- Jiang, T.; Wan, L.; Wang, W.; Xu, C.; Liu, C.; Meng, F.; Cui, Y.; Li, L. Study on Staged Damage Behaviors of Rock-like Materials with Different Brittleness Degrees Based on Multiple Parameters. Materials 2023, 16, 2334. [Google Scholar] [CrossRef]
- Zheng, Q.; Liu, E.; Liu, M. Influence of dip angle of structural planes on mechanical properties of artificial rock samples under triaxial test conditions. Rock Soil Mech. 2019, 40, 1854–1861. [Google Scholar]
- Liu, M.; Liu, E. Dynamic mechanical properties of artificial jointed rock samples subjected to cyclic triaxial loading. Int. J. Rock Mech. Min. Sci. 2017, 98, 54–66. [Google Scholar]
- Zheng, Q.; Liu, E.; Sun, P.; Liu, M.; Yu, D. Dynamic and damage properties of artificial jointed rock samples subjected to cyclic triaxial loading at various frequencies. Int. J. Rock Mech. Min. Sci. 2020, 128, 104243. [Google Scholar] [CrossRef]
- Liu, M.; Liu, E.; Liu, X.; Zheng, Q. Dynamic binary-medium model for jointed rock subjected to cyclic loading. Mathematics 2024, 12, 1765. [Google Scholar] [CrossRef]
- Pu, C.; Liu, F.; Chen, Y. The study on post-peak mechanical properties of non-penetrating rock-like specimen. J. Exp. Mech. 2020, 35, 1121–1128. [Google Scholar]
- Meng, X.; Zhou, J.; Wei, C.; Zhang, K.; Shen, Z.; Yang, Z. Effects of salinity on soil freezing temperature and unfrozen water content. Rock Soil Mech. 2020, 41, 952–960. [Google Scholar]
- Liu, X.; Liu, E.; Zhang, D.; Zhang, G.; Yin, X.; Song, B. Study on effect of coarse-grained content on the mechanical properties of frozen mixed soils. Cold Reg. Sci. Technol. 2019, 158, 237–251. [Google Scholar] [CrossRef]
- Xu, X.; Bai, R.; Lai, Y.; Hu, K. Experimental study on mechanical properties of saline frozen silty sand. J. China Coal Soc. 2016, 41, 836–842. [Google Scholar]
- Zhu, Y.; Zhang, Y.; Li, W.; Yang, F.; Han, Y.; Li, F.; Lan, H. Experimental study on effect of roughness on strength and deformation characteristics of interface between siliceous slate and mudstone. Chin. J. Rock Mech. Eng. 2022, 41, 1358–1372. [Google Scholar]
- Yuan, S.; Jiang, T.; Lei, J.; Cui, C. Experimental study on fracture characteristics of rock-like material with prefabricated cracks under compression shear. Sci. Rep. 2022, 12, 2809. [Google Scholar] [CrossRef]
- Wang, G.; Liu, Y.; Xu, J. Stress localization in brittle rock-like samples of particle-filled joints under direct shear loading. KSCE J. Civ. Eng. 2021, 25, 345–355. [Google Scholar] [CrossRef]
- Zhang, Z.; Jiang, L.; Sainoki, A.; Peng, X.; Li, C.; Niu, Q.; Wang, X.; Gang, M. Strengthening effect of particle gradation on the mechanical properties of sand powder 3D printed rock analog. J. Mater. Res. Technol.-JMR&T 2025, 35, 1377–1390. [Google Scholar]
- Qin, H.; Cao, S.; Yilmaz, E. Grain-size composition effect on flexural response and pore structure of cementitious tail-rock fills with fiber reinforcement. Dev. Built Environ. 2024, 20, 100558. [Google Scholar] [CrossRef]
- Beshr, H.; Almusallam, A.A.; Maslehuddin, M. Effect of coarse aggregate quality on the mechanical properties of high strength concrete. Constr. Build. Mater. 2003, 17, 97–103. [Google Scholar] [CrossRef]
- Nguyen, L.H.; Beaucour, A.L.; Ortola, S.; Noumowé, A. Influence of the volume fraction and the nature of fine lightweight aggregates on the thermal and mechanical properties of structural concrete. Constr. Build. Mater. 2014, 51, 121–132. [Google Scholar] [CrossRef]
- Zhao, K.; Zhou, Y.; Zeng, P.; Lu, C. Experimental study on acoustic emission characteristics of rock-like materials with different particle sizes under three-point bending. J. China Coal Soc. 2018, 43, 3107–3114. [Google Scholar]
- Lei, J.; Cheng, J.; Ding, B.; Ma, B.; Gao, L.; Li, Y.; Cheng, Y. Triaxial test study on aeolian sand cement-based materials with different fiber content. J. Railw. Sci. Eng. 2023, 20, 587–599. [Google Scholar]
- Fu, S.; Li, H.; Li, X. Research on the range of fracture process zone of granite based on DIC and acoustic emission. Chin. J. Rock Mech. Eng. 2022, 41, 2497–2508. [Google Scholar]
- Yu, L.; Yao, Q.; Xu, Q.; Wang, W.; Niu, Z.; Liu, W. Experimental and numerical simulation study on crack propagation of fractured fine sandstone under the influence of loading rate. J. China Coal Soc. 2021, 46, 3488–3501. [Google Scholar]
- Bao, C.; Tang, C.; Cai, M.; Tang, M. Spacing and failure mechanism of edge fracture in two-layered materials. Int. J. Fract. 2013, 181, 241–255. [Google Scholar] [CrossRef]
- Wang, L.; Ni, B.; Xie, W.; Wang, S.; Kou, K.; Zhao, K. Microscopic-macroscopic crack evolution mechanism of yellow sandstone with different particle sizes. Rock Soil Mech. 2022, 43, 373–381. [Google Scholar]
- Wang, X.; Zhao, Y.; Wang, Z.; Chen, B.; Dong, Z.; Wu, S. Quantitative identification of cracks in jointed layered rock specimens under uniaxial compression. Min. Res. Dev. 2023, 43, 127–133. [Google Scholar]
- Wang, Z.; Sun, W.; Wang, X.; Qiao, B. Surface deformation field and fracture propagation mechanism of rock-like specimen with pre-existing fracture. Coal Sci. Technol. 2023, 51, 72–82. [Google Scholar]
- Wu, H.; He, M.; Cheng, J.; Wang, T.; Che, Y.; Du, Y. Study on the synergistic effects of OPC and silica fume on the mechanical and microstructural properties of geopolymer mortar. Constr. Build. Mater. 2024, 434, 136740. [Google Scholar] [CrossRef]
- Niu, L.; Mu, R.; Chen, J. Experimental Study on Mechanical Properties of Rock Containing Natural Micro-fractures. J. Changjiang River Sci. Res. Inst. 2020, 37, 141–146. [Google Scholar]
- Li, G.; Jiang, Z.; Feng, X.; Zhang, N.; Xu, X. Relation between molecular structure of smectite and liquefaction of mudstone. RSC Adv. 2015, 5, 23481–23488. [Google Scholar] [CrossRef]















| Parameter | Porosity/% | m−3) | m−3) | m−3) | Clay Content/% | Fineness Modulus |
|---|---|---|---|---|---|---|
| Measured Value | 44.87 | 1469 | 1307 | 2665 | 3.6 | 0.252 |
| Component | SiO2 | Al2O3 | Fe2O3 | CaO | K2O | Na2O | Other |
|---|---|---|---|---|---|---|---|
| Content/% | 99.86 | 0.05 | 0.011 | 0.013 | 0.017 | 0.014 | 0.0293 |
| Specimen | Specimen Preparation Method | Aggregate Type | Aggregate Particle Size (mm) | Density (g/cm3) | Elastic Modulus (GPa) | Initial Yield Strength (MPa) | Peak Strength (MPa) |
|---|---|---|---|---|---|---|---|
| SA-0.075~0.18 | static compaction method | aeolian sand | 0.075~0.18 | 1.82 | 2.177 | 7.81 | 9.08 |
| IA1-0.075~0.18 | impact compaction method | aeolian sand | 0.075~0.18 | 1.82 | 1.44 | 6.23 | 7.47 |
| SA-0.22~0.5 | static compaction method | aeolian sand | 0.22~0.5 | 1.82 | 1.963 | 5.39 | 6.57 |
| IA1-0.22~0.5 | impact compaction method | aeolian sand | 0.22~0.5 | 1.82 | 2.473 | 6.43 | 7.7 |
| SQ-0.22~0.5 | static compaction method | quartz sand | 0.22~0.5 | 1.82 | 2.208 | 8.71 | 9.92 |
| IQ1-0.22~0.5 | impact compaction method | quartz sand | 0.22~0.5 | 1.82 | 2.866 | 9.66 | 11.28 |
| Specimen | Specimen Preparation Method | Aggregate Type | Aggregate Particle Size (mm) | Density (g/cm3) | Elastic Modulus (GPa) | Initial Yield Strength (MPa) | Peak Strength (MPa) |
|---|---|---|---|---|---|---|---|
| SA-0.075~0.18 | static compaction method | aeolian sand | 0.075~0.18 | 1.82 | 2.177 | 7.81 | 9.08 |
| SA-0.22~0.5 | static compaction method | aeolian sand | 0.22~0.5 | 1.82 | 1.963 | 5.39 | 6.57 |
| SA-0.22~0.5 | static compaction method | aeolian sand | 0.22~0.5 | 1.82 | 1.963 | 5.39 | 6.57 |
| SQ-0.22~0.5 | static compaction method | quartz sand | 0.22~0.5 | 1.82 | 2.208 | 8.71 | 9.92 |
| Specimen | Specimen Preparation Method | Aggregate Type | Aggregate Particle Size (mm) | Density (g/cm3) | Elastic Modulus (GPa) | Initial Yield Strength (MPa) | Peak Strength (MPa) |
|---|---|---|---|---|---|---|---|
| IA1-0.075~0.18 | impact compaction method | aeolian sand | 0.075~0.18 | 1.82 | 1.44 | 6.23 | 7.47 |
| IA1-0.22~0.5 | impact compaction method | aeolian sand | 0.22~0.5 | 1.82 | 2.473 | 6.43 | 7.7 |
| IA1-0.22~0.5 | impact compaction method | aeolian sand | 0.22~0.5 | 1.82 | 2.473 | 6.43 | 7.7 |
| IQ1-0.22~0.5 | impact compaction method | quartz sand | 0.22~0.5 | 1.82 | 2.866 | 9.66 | 11.28 |
| Specimen | Specimen Preparation Method | Aggregate Type | Aggregate Particle Size (mm) | Compaction Energy (J) | Elastic Modulus (GPa) | Initial Yield Strength (MPa) | Peak Strength (MPa) |
|---|---|---|---|---|---|---|---|
| IA2-0.075~0.18 | impact compaction method | aeolian sand | 0.075~0.18 | 254.8 | 3.157 | 16.87 | 19.54 |
| IA2-0.22~0.5 | impact compaction method | aeolian sand | 0.22~0.5 | 254.8 | 3.48 | 23.14 | 25.71 |
| IA2-0.22~0.5 | impact compaction method | aeolian sand | 0.22~0.5 | 254.8 | 3.48 | 23.14 | 25.71 |
| IQ2-0.22~0.5 | impact compaction method | quartz sand | 0.22~0.5 | 254.8 | 3.511 | 23.33 | 26.29 |
Disclaimer/Publisher’s Note: The statements, opinions and data contained in all publications are solely those of the individual author(s) and contributor(s) and not of MDPI and/or the editor(s). MDPI and/or the editor(s) disclaim responsibility for any injury to people or property resulting from any ideas, methods, instructions or products referred to in the content. |
© 2025 by the authors. Licensee MDPI, Basel, Switzerland. This article is an open access article distributed under the terms and conditions of the Creative Commons Attribution (CC BY) license (https://creativecommons.org/licenses/by/4.0/).
Share and Cite
Hu, Q.; Li, Q.; Liu, X.; Ding, K.; Li, Z.; Bai, Y. Mechanical Properties and Crack Evolution of Rock-like Materials with Varying Particle Sizes Prepared by Impact and Static Compaction Methods. Materials 2025, 18, 1695. https://doi.org/10.3390/ma18081695
Hu Q, Li Q, Liu X, Ding K, Li Z, Bai Y. Mechanical Properties and Crack Evolution of Rock-like Materials with Varying Particle Sizes Prepared by Impact and Static Compaction Methods. Materials. 2025; 18(8):1695. https://doi.org/10.3390/ma18081695
Chicago/Turabian StyleHu, Qi, Qinglin Li, Xingyan Liu, Kun Ding, Zongen Li, and Yuxiang Bai. 2025. "Mechanical Properties and Crack Evolution of Rock-like Materials with Varying Particle Sizes Prepared by Impact and Static Compaction Methods" Materials 18, no. 8: 1695. https://doi.org/10.3390/ma18081695
APA StyleHu, Q., Li, Q., Liu, X., Ding, K., Li, Z., & Bai, Y. (2025). Mechanical Properties and Crack Evolution of Rock-like Materials with Varying Particle Sizes Prepared by Impact and Static Compaction Methods. Materials, 18(8), 1695. https://doi.org/10.3390/ma18081695

