Aluminum Alloy Hot Stamping and Forming Technology: A Review
Abstract
1. Introduction
2. HFQ® Process Study
2.1. Hot Deformation Behavior of HFQ®
2.2. HFQ® Strength Prediction Model for Formed Components
2.3. Optimization of HFQ® Heat-Treatment Process
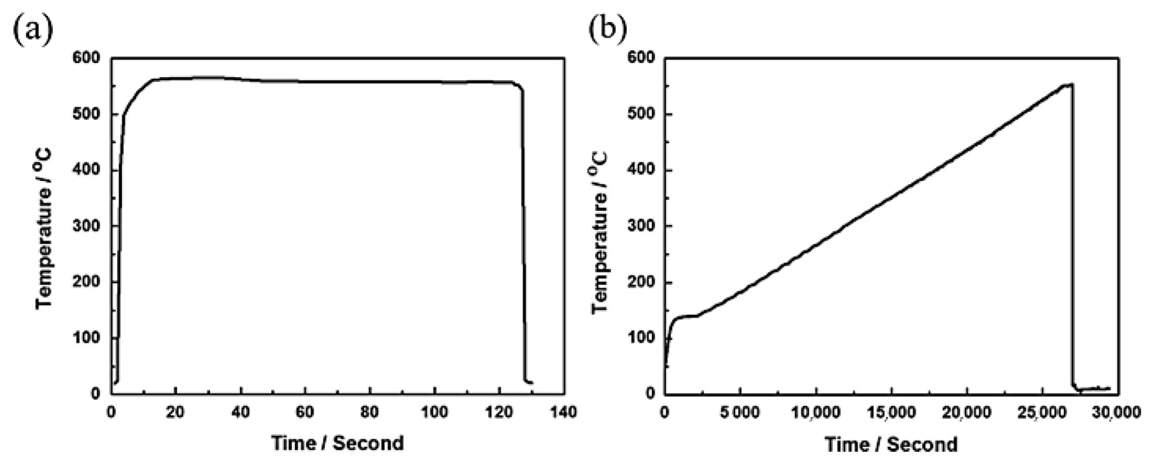
2.3.1. Rapid Solid Solution Technology
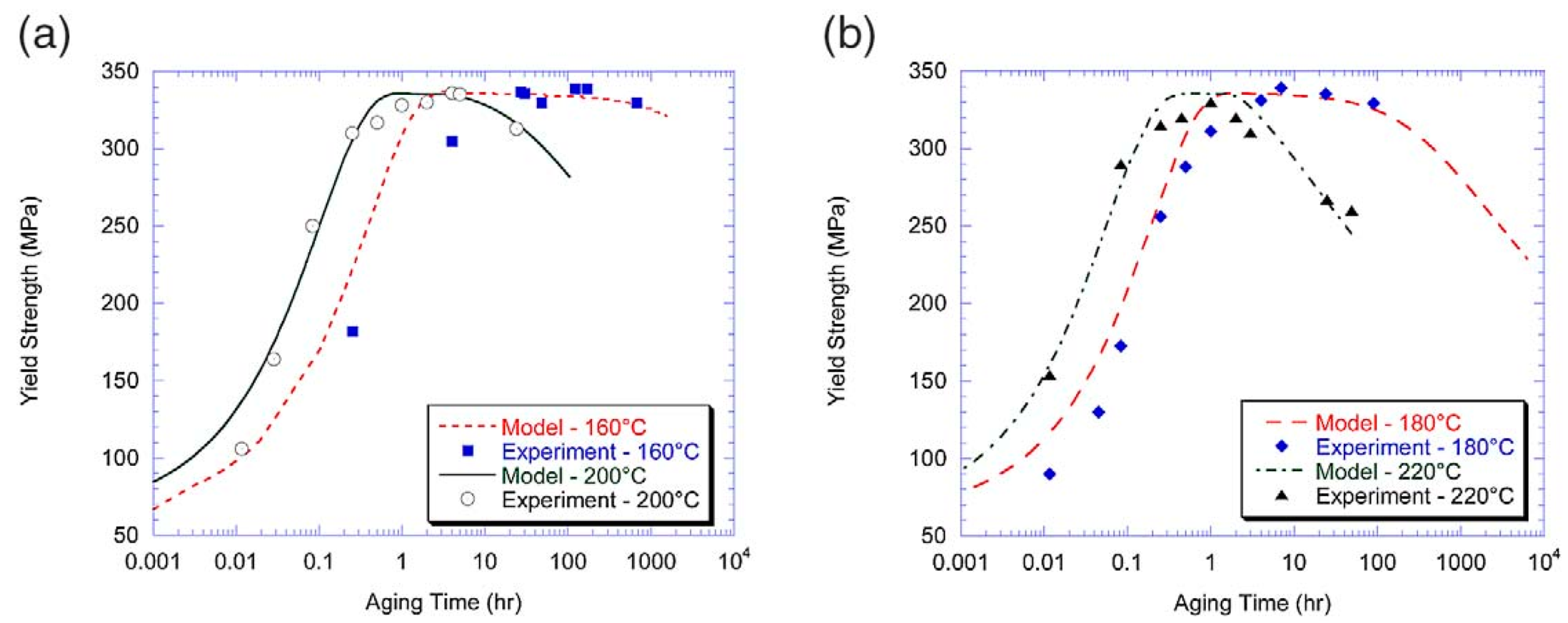
2.3.2. Rapid Aging Technology
3. Aluminum Alloy Hot Stamping—New Process Research
3.1. Pre-Cooling HFQ® Process
3.2. High-Efficiency Hot Stamping Technology for Pre-Strengthened Aluminum Alloys
4. Conclusions and Outlook
Funding
Conflicts of Interest
References
- El Fakir, O.; Wang, L.; Balint, D.; Dear, J.P.; Lin, J.; Dean, T.A. Numerical study of the solution heat treatment, forming, and in-die quenching (HFQ) process on AA5754. Int. J. Mach. Tools Manuf. 2014, 87, 39–48. [Google Scholar] [CrossRef]
- Liu, Y.; Zhu, Z.; Wang, Z.; Zhu, B.; Wang, Y.; Zhang, Y. Flow and friction behaviors of 6061 aluminum alloy at elevated temperatures and hot stamping of a B-pillar. Int. J. Adv. Manuf. Technol. 2018, 96, 4063–4083. [Google Scholar] [CrossRef]
- Zhang, W.; Xu, J. Advanced lightweight materials for Automobiles: A review. Mater. Des. 2022, 221, 110994. [Google Scholar]
- İnci, M.; Büyük, M.; Demir, M.H.; İlbey, G. A review and research on fuel cell electric vehicles: Topologies, power electronic converters, energy management methods, technical challenges, marketing and future aspects. Renew. Sust. Energ. Rev. 2021, 137, 110648. [Google Scholar]
- Taub, A.; De Moor, E.; Luo, A.; Matlock, D.K.; Speer, J.G.; Vaidya, U. Materials for Automotive Lightweighting. Annu. Rev. Mater. Res. 2019, 49, 327–359. [Google Scholar]
- Schönemann, M.; Schmidt, C.; Herrmann, C.; Thiede, S. Multi-level Modeling and Simulation of Manufacturing Systems for Lightweight Automotive Components. Procedia CIRP 2016, 41, 1049–1054. [Google Scholar] [CrossRef]
- Li, J.; Tong, C.; Zhang, R.; Shi, Z.; Lin, J. A data-informed review of scientific and technological developments and future trends in hot stamping. Int. J. Lightweight Mater. Manuf. 2024, 7, 327–343. [Google Scholar]
- Bai, J.; Li, Y.; Zuo, W. Cross-sectional shape optimisation for thin-walled beam crashworthiness with stamping constraints using genetic algorithm. Int J. Veh. Des. 2017, 73, 76–95. [Google Scholar] [CrossRef]
- Pan, F.; Zhu, P.; Zhang, Y. Metamodel-based lightweight design of B-pillar with TWB structure via support vector regression. Comput. Struct. 2010, 88, 36–44. [Google Scholar]
- Lu, R.; Gao, W.; Hu, X.; Liu, W.; Li, Y.; Liu, X. Crushing analysis and crashworthiness optimization of tailor rolled tubes with variation of thickness and material properties. Int. J. Mech. Sci. 2018, 136, 67–84. [Google Scholar]
- Gao, D.; Liang, H.; Shi, G.; Cao, L. Multiobjective Optimization of Carbon Fiber-Reinforced Plastic Composite Bumper Based on Adaptive Genetic Algorithm. Math. Probl. Eng. 2019, 2019, 8948315. [Google Scholar] [CrossRef]
- Ikeuba, A.I.; Njoku, C.N.; Ekerenam, O.O.; Njoku, D.I.; Udoh, I.I.; Daniel, E.F.; Uzoma, P.C.; Etim, I.I.N.; Okonkwo, B.O. A review of the electrochemical and galvanic corrosion behavior of important intermetallic compounds in the context of aluminum alloys. RSC Adv. 2024, 14, 31921–31953. [Google Scholar]
- Santos, M.C.; Machado, A.R.; Sales, W.F.; Barrozo, M.A.S.; Ezugwu, E.O. Machining of aluminum alloys: A review. Int. J. Adv. Manuf. Technol. 2016, 86, 3067–3080. [Google Scholar]
- Sengupta, B.; Shekhar, S.; Kulkarni, K.N. A novel ultra-high strength and low-cost as-cast titanium alloy. Mater. Sci. Eng. A-Struct. 2017, 696, 478–481. [Google Scholar] [CrossRef]
- Schlosser, J.; Schneider, R.; Rimkus, W.; Kelsch, R.; Gerstner, F.; Harrison, D.K.; Grant, R.J. Materials and simulation modelling of a crash-beam performance—A comparison study showing the potential for weight saving using warm-formed ultra-high strength aluminium alloys. J. Phys. Conf. Ser. 2017, 896, 12091. [Google Scholar]
- Mingshan, Z.; Yaqiang, T.; Xiaoping, Z.; Yuan, Z.; Liansheng, C.; Junsheng, W. Research Progress on Multi-Component Alloying and Heat Treatment of High Strength and Toughness Al–Si–Cu–Mg Cast Aluminum Alloys. Materials 2023, 16, 1065. [Google Scholar] [CrossRef]
- Georgantzia, E.; Gkantou, M.; Kamaris, G.S. Aluminium alloys as structural material: A review of research. Eng. Struct. 2021, 227, 111372. [Google Scholar]
- Tisza, M.; Czinege, I. Comparative study of the application of steels and aluminium in lightweight production of automotive parts. Int. J. Lightweight Mater. Manuf. 2018, 1, 229–238. [Google Scholar] [CrossRef]
- Zheng, K.; Politis, D.J.; Wang, L. A review on forming techniques for manufacturing lightweight complex—Shaped aluminium panel components. Int. J. Lightweight Mater. Manuf. 2018, 1, 55–80. [Google Scholar]
- Zhang, R.; Wang, W.; Lin, J.; Dean, T.A. An indirect hot form and Quench (HFQ) for manufacturing components of aluminum alloy sheets and comparison with direct HFQ. Int. J. Mach. Tools Manuf. 2023, 192, 104073. [Google Scholar] [CrossRef]
- Hirsch, J. Recent development in aluminium for automotive applications. Trans. Nonferrous Met. Soc. China 2014, 24, 1995–2002. [Google Scholar]
- Scharifi, E.; Yardley, V.A.; Weidig, U.; Szegda, D.; Lin, J.; Steinhoff, K. Hot Sheet Metal Forming Strategies for High-Strength Aluminum Alloys: A Review—Fundamentals and Applications. Adv. Eng. Mater. 2023, 25, 2300141. [Google Scholar] [CrossRef]
- El-Aty, A.A.; Xu, Y.; Guo, X.; Zhang, S.; Ma, Y.; Chen, D. Strengthening mechanisms, deformation behavior, and anisotropic mechanical properties of Al-Li alloys: A review. J. Adv. Res. 2018, 10, 49–67. [Google Scholar]
- Rao, G.S.; Rao, V.V.S.; Rao, S.R.K. Microstructure and Mechanical Properties of Welded Joints of Aluminum Alloy AA7020-T6 Obtained by Friction Stir Welding. Met. Sci. Heat Treat. 2017, 59, 139–144. [Google Scholar]
- Rodrigues, D.M.; Loureiro, A.; Leitao, C.; Leal, R.M.; Chaparro, B.M.; Vilaça, P. Influence of friction stir welding parameters on the microstructural and mechanical properties of AA 6016-T4 thin welds. Mater. Des. 2009, 30, 1913–1921. [Google Scholar]
- Miller, W.S.; Zhuang, L.; Bottema, J.; Wittebrood, A.J.; de Smet, P.; Haszler, A.; Vieregge, A. Recent development in aluminium alloys for the automotive industry. Mater. Sci. Eng. A 2000, 280, 37–49. [Google Scholar]
- Toros, S.; Ozturk, F.; Kacar, I. Review of warm forming of aluminum–magnesium alloys. J. Mater. Process. Technol. 2008, 207, 1–12. [Google Scholar]
- Shabadi, R.; Suwas, S.; Kumar, S.; Roven, H.J.; Dwarkadasa, E.S. Texture and formability studies on AA7020 Al alloy sheets. Mater. Sci. Eng. A 2012, 558, 439–445. [Google Scholar]
- Dong, H.; Li, X.; Li, Y.; Wang, Y.; Wang, H.; Peng, X.; Li, D. A review of electrically assisted heat treatment and forming of aluminum alloy sheet. Int. J. Adv. Manuf. Technol. 2022, 120, 7079–7099. [Google Scholar]
- Palumbo, G.; Tricarico, L. Numerical and experimental investigations on the Warm Deep Drawing process of circular aluminum alloy specimens. J. Mater. Process. Technol. 2007, 184, 115–123. [Google Scholar]
- Gupta, P.K.; Gupta, N.K. A study of axial compression of metallic hemispherical domes. J. Mater. Process. Technol. 2009, 209, 2175–2179. [Google Scholar] [CrossRef]
- Jin, H. Optimization of Aluminum Alloy AA5083 for Superplastic and Quick Plastic Forming, Metallurgical and materials transactions. Metall. Mater. Trans. A 2019, 50, 3868–3890. [Google Scholar] [CrossRef]
- Hu, Z.L.; Wang, X.S.; Yuan, S.J. Quantitative investigation of the tensile plastic deformation characteristic and microstructure for friction stir welded 2024 aluminum alloy. Mater. Charact. 2012, 73, 114–123. [Google Scholar] [CrossRef]
- Giuliano, G.; Franchitti, S. The determination of material parameters from superplastic free-bulging tests at constant pressure. Int. J. Mach. Tools Manuf. 2008, 48, 1519–1522. [Google Scholar] [CrossRef]
- Taylor, T.; Clough, A. Critical review of automotive hot-stamped sheet steel from an industrial perspective. Mater. Sci. Tech-Lond. 2018, 34, 809–861. [Google Scholar] [CrossRef]
- Hein, P.; Wilsius, J. Status and innovation trends in hot stamping of USIBOR 1500 P. Steel Res. Int. 2008, 79, 85–91. [Google Scholar] [CrossRef]
- Zhou, W.; Lin, J.; Balint, D.S.; Dean, T.A. Clarification of the effect of temperature and strain rate on workpiece deformation behaviour in metal forming processes. Int. J. Mach. Tools Manuf. 2021, 171, 103815. [Google Scholar] [CrossRef]
- Ho, K.C.; Lin, J.; Dean, T.A. Modelling of springback in creep forming thick aluminum sheets. Int. J. Plast. 2004, 20, 733–751. [Google Scholar] [CrossRef]
- Garrett, R.P.; Lin, J.; Dean, T.A. Solution Heat Treatment and Cold Die Quenching in Forming AA 6xxx Sheet Components: Feasibility Study. Adv. Mater. Res. 2005, 8, 673–680. [Google Scholar]
- Fan, X.; He, Z.; Yuan, S.; Lin, P. Investigation on strengthening of 6A02 aluminum alloy sheet in hot forming-quenching integrated process with warm forming-dies. Mater. Sci. Eng. A 2013, 587, 221–227. [Google Scholar]
- Lin, J.; Dean, T.A.; Garrett, R.P.; Foster, A.D. Process for Forming Metal Alloy Sheet Components. British Patent WO2008059242, 22 May 2008. [Google Scholar]
- Li, N.; Shao, Z.T.; Lin, J.G.; Dean, T.A. Investigation of Uniaxial Tensile Properties of AA6082 under HFQ® Conditions. Key Eng. Mater. 2016, 716, 337–344. [Google Scholar] [CrossRef]
- Gao, H.; Weng, T.; Liu, J.; Li, C.; Li, Z.; Wang, L. Hot stamping of an Al-Li alloy: A feasibility study. Manuf. Rev. 2016, 3, 9. [Google Scholar] [CrossRef][Green Version]
- Shao, Z.; Li, N.; Lin, J.; Dean, T.A. Development of a New Biaxial Testing System for Generating Forming Limit Diagrams for Sheet Metals Under Hot Stamping Conditions. Exp. Mech. 2016, 56, 1489–1500. [Google Scholar] [CrossRef]
- Li, M.J.; Liu, G.L.; Jiang, W.H.; Zhao, L.; Zhu, L.J.; Gu, L. Effect of Cryogenic+Solid Solution+Ageing Composite Treatment on Microstructure and Mechanical Properties of A356 Alloy. Xiyou Jinshu/Chin. J. Rare Met. 2020, 44, 100–106. [Google Scholar]
- Ferragut, R.; Somoza, A.; Tolley, A.; Univ, T.A. Nacional Del Centro De La Provincia De Buenos Aires, Microstructural evolution of 7012 alloy during the early stages of artificial ageing. Acta Mater. 1999, 47, 4355–4364. [Google Scholar]
- Ho, K.C.; Lin, J.; Dean, T.A. Constitutive modelling of primary creep for age forming an aluminium alloy. J. Mater. Process. Technol. 2004, 153–154, 122–127. [Google Scholar] [CrossRef]
- Wang, G.; Zhang, J.; Yan, W.; Xu, H. Constitutive modelling of plastic deformation behaviour for AA7075-H18 alloy based on hot forming and in-die quenching (HFQ®) process. Int. J. Mater. Form. 2022, 15, 62. [Google Scholar] [CrossRef]
- Zheng, J.; Dong, Y.; Zheng, K.; Dong, H.; Lin, J.; Jiang, J.; Dean, T.A. Experimental investigation of novel fast–ageing treatments for AA6082 in supersaturated solid solution state. J. Alloys Compd. 2019, 810, 151934. [Google Scholar] [CrossRef]
- Liu, Y.; Li, J.; Wang, L.; Wang, K.; Zhu, B.; Zhang, Y. Hot Stamping of a B-Pillar Reinforced Panel With 7075 Aluminum Alloy and the Feasibility Study of Short-Time Aging. Front. Mater. 2021, 7, 617223. [Google Scholar] [CrossRef]
- Wang, A.; Zhong, K.; El Fakir, O.; Liu, J.; Sun, C.; Wang, L.; Lin, J.; Dean, T.A. Springback analysis of AA5754 after hot stamping: Experiments and FE modelling. Int. J. Adv. Manuf. Technol. 2017, 89, 1339–1352. [Google Scholar] [CrossRef]
- Ma, W.; Wang, B.; Xiao, W.; Yang, X.; Kang, Y. Springback analysis of 6016 aluminum alloy sheet in hot V-shape stamping. J. Cent. South Univ. 2019, 26, 524–535. [Google Scholar]
- Komgrit, L.; Hamasaki, H.; Hino, R.; Yoshida, F. Elimination of springback of high-strength steel sheet by using additional bending with counter punch. J. Mater. Process. Technol. 2016, 229, 199–206. [Google Scholar]
- Karafillis, A.P.; Boyce, M.C. Tooling design in sheet metal forming using springback calculations. Int. J. Mech. Sci. 1992, 34, 113–131. [Google Scholar]
- Zhou, J.; Yang, X.; Wang, B.; Xiao, W. Springback prediction of 7075 aluminum alloy V-shaped parts in cold and hot stamping. Int. J. Adv. Manuf. Technol. 2022, 119, 203–216. [Google Scholar]
- Ma, W.; Wang, B.; Fu, L.; Zhou, J.; Huang, M. Influence of process parameters on deep drawing of AA6111 aluminum alloy at elevated temperatures. J. Cent. South Univ. 2015, 22, 1167–1174. [Google Scholar]
- Xiao, W.; Wang, B.; Kang, Y.; Ma, W.; Tang, X. Deep drawing of aluminum alloy 7075 using hot stamping. Rare Met. 2017, 36, 485–493. [Google Scholar]
- Omer, K.; Abolhasani, A.; Kim, S.; Nikdejad, T.; Butcher, C.; Wells, M.; Esmaeili, S.; Worswick, M. Process parameters for hot stamping of AA7075 and D-7xxx to achieve high performance aged products. J. Mater. Process. Technol. 2018, 257, 170–179. [Google Scholar]
- Zheng, K.; Dong, Y.; Zheng, J.; Foster, A.; Lin, J.; Dong, H.; Dean, T.A. The effect of hot form quench (HFQ®) conditions on precipitation and mechanical properties of aluminium alloys. Mater. Sci. Eng. A 2019, 761, 138017. [Google Scholar]
- Dadbakhsh, S.; Taheri, A.K.; Smith, C.W. Strengthening study on 6082 Al alloy after combination of aging treatment and ECAP process. Mater. Sci. Eng. A 2010, 527, 4758–4766. [Google Scholar]
- Edwards, G.A.; Stiller, K.; Dunlop, G.L.; Couper, M.J. The precipitation sequence in Al-Mg-Si alloys. Acta Mater. 1998, 46, 3893–3904. [Google Scholar]
- Yuan, S.; Fan, X.; He, Z. Hot Forming-quenching Integrated Process with Cold-hot Dies for 2A12 Aluminum Alloy Sheet. Procedia Eng. 2014, 81, 1780–1785. [Google Scholar]
- Fan, X.; He, Z.; Zheng, K.; Yuan, S. Strengthening behavior of Al–Cu–Mg alloy sheet in hot forming–quenching integrated process with cold–hot dies. Mater. Des. 2015, 83, 557–565. [Google Scholar]
- Wang, S.C.; Starink, M.J. Precipitates and intermetallic phases in precipitation hardening Al–Cu–Mg–(Li) based alloys. Int. Mater. Rev. 2013, 50, 193–215. [Google Scholar] [CrossRef]
- Parel, T.S.; Wang, S.C.; Starink, M.J. Hardening of an Al–Cu–Mg alloy containing Types I and II S phase precipitates. Mater. Des. 2010, 31, S2–S5. [Google Scholar]
- Wang, S.C.; Starink, M.J. Two types of S phase precipitates in Al–Cu–Mg alloys. Acta Mater. 2007, 55, 933–941. [Google Scholar]
- Fan, X.; He, Z.; Zhou, W.; Yuan, S. Formability and strengthening mechanism of solution treated Al–Mg–Si alloy sheet under hot stamping conditions. J. Mater. Process. Technol. 2016, 228, 179–185. [Google Scholar] [CrossRef]
- Fan, X.; Wang, X.; Lin, Y.; He, Z.; Yuan, S. Deformation and strengthening behaviors of Al–Cu–Mg alloy thick plate during hot forming-quenching integrated process. J. Mater. Res. Technol. 2022, 16, 1231–1242. [Google Scholar] [CrossRef]
- Ying, L.; Gao, T.; Dai, M.; Hu, P. Investigation of interfacial heat transfer mechanism for 7075-T6 aluminum alloy in HFQ hot forming process. Appl. Therm. Eng. 2017, 118, 266–282. [Google Scholar]
- Xiao, W.; Wang, B.; Zheng, K.; Zhou, J.; Lin, J. A study of interfacial heat transfer and its effect on quenching when hot stamping AA7075. Arch. Civ. Mech. Eng. 2018, 18, 723–730. [Google Scholar]
- Zhou, J.; Wang, B.; Lin, J.; Fu, L.; Ma, W. Forming defects in aluminum alloy hot stamping of side-door impact beam. Trans. Nonferrous Met. Soc. China 2014, 24, 3611–3620. [Google Scholar] [CrossRef]
- Zhou, M.; Lin, Y.C.; Deng, J.; Jiang, Y. Hot tensile deformation behaviors and constitutive model of an Al–Zn–Mg–Cu alloy. Mater. Des. 2014, 59, 141–150. [Google Scholar] [CrossRef]
- Xiao, W.; Wang, B.; Wu, Y.; Yang, X. Constitutive modeling of flow behavior and microstructure evolution of AA7075 in hot tensile deformation. Mater. Sci. Eng. A-Struct. 2018, 712, 704–713. [Google Scholar] [CrossRef]
- Qiang, Z.; Wen, C.; Jun, L.; Shuhai, H.; Xiangsheng, X. Hot deformation behavior of 7A04 aluminum alloy at elevated temperature: Constitutive modeling and verification. Int. J. Mater. Form. 2020, 13, 293–302. [Google Scholar] [CrossRef]
- Wang, L.; Strangwood, M.; Balint, D.; Lin, J.; Dean, T.A. Formability and failure mechanisms of AA2024 under hot forming conditions. Mater. Sci. Eng. A 2011, 528, 2648–2656. [Google Scholar] [CrossRef]
- Lin, Y.C.; Chen, X. A critical review of experimental results and constitutive descriptions for metals and alloys in hot working. Mater. Des. 2011, 32, 1733–1759. [Google Scholar] [CrossRef]
- Sun, Y.; Ye, W.H.; Hu, L.X. Constitutive Modeling of High-Temperature Flow Behavior of Al-0.62Mg-0.73Si Aluminum Alloy. J. Mater. Eng. Perform. 2016, 25, 1621–1630. [Google Scholar] [CrossRef]
- Jonas, J.J.; Sellars, C.M.; Tegart, W.J.M. Strength and structure under hot-working conditions. Int. Mater. Rev. 1969, 14, 1–24. [Google Scholar] [CrossRef]
- Saravanan, L.; Senthilvelan, T. Constitutive equation and microstructure evaluation of an extruded aluminum alloy. J. Mater. Res. Technol. 2016, 5, 21–28. [Google Scholar]
- Bobbili, R.; Paman, A.; Madhu, V. High strain rate tensile behavior of Al-4.8Cu-1.2Mg alloy. Mater. Sci. Eng. A-Struct. 2016, 651, 753–762. [Google Scholar] [CrossRef]
- Liu, W.; He, Z.; Chen, Y.; Tang, S. Dynamic mechanical properties and constitutive equations of 2519A aluminum alloy. Trans. Nonferrous Met. Soc. China 2014, 24, 2179–2186. [Google Scholar] [CrossRef]
- Pare, V.; Modi, S.; Jonnalagadda, K.N. Thermo-mechanical behavior and bulk texture studies on AA5052-H32 under dynamic compression. Mater. Sci. Eng. A-Struct. 2016, 668, 38–49. [Google Scholar]
- Zerilli, F.J.; Armstrong, R.W. Dislocation-mechanics-based constitutive relations for material dynamics calculations. J. Appl. Phys. 1987, 61, 1816–1825. [Google Scholar]
- Lin, Y.C.; Chen, M.; Zhong, J. Prediction of 42CrMo steel flow stress at high temperature and strain rate. Mech. Res. Commun. 2008, 35, 142–150. [Google Scholar]
- Goetz, R.L.; Seetharaman, V. Modeling Dynamic Recrystallization Using Cellular Automata. Scr. Mater. 1998, 38, 405–413. [Google Scholar]
- Wang, L.; Yu, H.; Lee, Y.; Kim, H. Hot tensile deformation behavior of twin roll casted 7075 aluminum alloy. Met. Mater. Int. 2015, 21, 832–841. [Google Scholar]
- Trimble, D.; O’Donnell, G.E. Constitutive Modelling for elevated temperature flow behaviour of AA7075. Mater. Des. 2015, 76, 150–168. [Google Scholar]
- Samantaray, D.; Mandal, S.; Borah, U.; Bhaduri, A.K.; Sivaprasad, P.V. A thermo-viscoplastic constitutive model to predict elevated-temperature flow behaviour in a titanium-modified austenitic stainless steel. Mater. Sci. Eng. A 2009, 526, 1–6. [Google Scholar]
- Zhan, H.; Wang, G.; Kent, D.; Dargusch, M. Constitutive modelling of the flow behaviour of a β titanium alloy at high strain rates and elevated temperatures using the Johnson–Cook and modified Zerilli–Armstrong models. Mater. Sci. Eng. A-Struct. 2014, 612, 71–79. [Google Scholar]
- Yi, Y.P.; Chen, H.; Lin, Y.C. Investigation of Flow Stress Behavior and Microstructural Evolution of 7050 Al Alloy. Mater. Sci. Forum 2007, 546–549, 1065–1068. [Google Scholar]
- Lin, Y.C.; Xia, Y.; Chen, X.; Chen, M. Constitutive descriptions for hot compressed 2124-T851 aluminum alloy over a wide range of temperature and strain rate. Comput. Mater. Sci. 2010, 50, 227–233. [Google Scholar]
- Horstemeyer, M.F.; Bammann, D.J. Historical review of internal state variable theory for inelasticity. Int. J. Plast. 2010, 26, 1310–1334. [Google Scholar] [CrossRef]
- Lin, J. A set of unified constitutive equations for modelling microstructure evolution in hot deformation. J. Mater. Process. Technol. 2003, 143–144, 281–285. [Google Scholar] [CrossRef]
- Mohamed, M.S.; Foster, A.D.; Lin, J.; Balint, D.S.; Dean, T.A. Investigation of deformation and failure features in hot stamping of AA6082: Experimentation and modelling. Int. J. Mach. Tools Manuf. 2012, 53, 27–38. [Google Scholar] [CrossRef]
- Mohamed, M.; Lin, J.; Foster, A.; Dean, T.; Dear, J. A New Test Design for Assessing Formability of Materials in Hot Stamping. Procedia Eng. 2014, 81, 1689–1694. [Google Scholar] [CrossRef][Green Version]
- Fakir, O.E.; Wang, L.; Balint, D.; Dear, J.P.; Lin, J. Predicting Effect of Temperature, Strain Rate and Strain Path Changes on Forming Limit of Lightweight Sheet Metal Alloys. Procedia Eng. 2014, 81, 736–741. [Google Scholar] [CrossRef]
- Lin, J.; Cheong, B.H.; Yao, X. Universal multi-objective function for optimising superplastic-damage constitutive equations. J. Mater. Process. Technol. 2002, 125, 199–205. [Google Scholar] [CrossRef]
- Lin, J. Selection of material models for predicting necking in superplastic forming. Int. J. Plast. 2003, 19, 469–481. [Google Scholar] [CrossRef]
- Lin, J.; Mohamed, M.; Balint, D.; Dean, T.A. The development of continuum damage mechanics-based theories for predicting forming limit diagrams for hot stamping applications. Int. J. Damage Mech. 2014, 23, 684–701. [Google Scholar] [CrossRef]
- Bai, Q.; Mohamed, M.; Shi, Z.; Lin, J.; Dean, T. Application of a continuum damage mechanics (CDM)-based model for predicting formability of warm formed aluminium alloy. Int. J. Adv. Manuf. Technol. 2017, 88, 3437–3446. [Google Scholar]
- Shercliff, H.R.; Ashby, M.F. A process model for age hardening of aluminium alloys—I. The model. Acta Metall. Mater. 1990, 38, 1789–1802. [Google Scholar] [CrossRef]
- Guyot, P.; Cottignies, L. Precipitation kinetics, mechanical strength and electrical conductivity of AlZnMgCu alloys. Acta Mater. 1996, 44, 4161–4167. [Google Scholar] [CrossRef]
- Poole, W.J.; Shercliff, H.R.; Castillo, T. Process model for two step age hardening of 7475 aluminium alloy. Mater. Sci. Technol. 1997, 13, 897–904. [Google Scholar] [CrossRef]
- Deschamps, A.; Brechet, Y. Influence of predeformation and agEing of an Al–Zn–Mg alloy—II. Modeling of precipitation kinetics and yield stress. Acta Mater. 1998, 47, 293–305. [Google Scholar] [CrossRef]
- Deschamps, A.; Livet, F.; Bréchet, Y. Influence of predeformation on ageing in an Al–Zn–Mg alloy—I. Microstructure evolution and mechanical properties. Acta Mater. 1998, 47, 281–292. [Google Scholar] [CrossRef]
- Esmaeili, S.; Lloyd, D.J.; Poole, W.J. A yield strength model for the Al-Mg-Si-Cu alloy AA6111. Acta Mater. 2003, 51, 2243–2257. [Google Scholar] [CrossRef]
- Weakley-Bollin, S.C.; Donlon, W.; Wolverton, C.; Jones, J.W.; Allison, J.E. Modeling the age-hardening behavior of Al-Si-Cu alloys. Metall. Mater. Trans. A 2004, 35, 2407–2418. [Google Scholar] [CrossRef]
- Eivani, A.R.; Taheri, A.K. Modeling age hardening kinetics of an Al–Mg–Si–Cu aluminum alloy. J. Mater. Process. Technol. 2008, 205, 388–393. [Google Scholar] [CrossRef]
- Hosseini-Benhangi, P.; Mazinani, M.; Haddad-Sabzevar, M. Physically Based Model of the Yield Strength for an Al-Mg-Si-Cu-Zn Alloy. Metall. Mater. Trans. A 2015, 46, 5407–5417. [Google Scholar] [CrossRef]
- Bahrami, A.; Miroux, A.; Sietsma, J. An Age-Hardening Model for Al-Mg-Si Alloys Considering Needle-Shaped Precipitates. Metall. Mater. Trans. A 2012, 43, 4445–4453. [Google Scholar] [CrossRef]
- Zhang, J.; Deng, Y.; Zhang, X. Constitutive modeling for creep age forming of heat-treatable strengthening aluminum alloys containing plate or rod shaped precipitates. Mater. Sci. Eng. A-Struct. 2013, 563, 8–15. [Google Scholar] [CrossRef]
- Myhr, O.R.; Grong, Ø.; Schäfer, C. An Extended Age-Hardening Model for Al-Mg-Si Alloys Incorporating the Room-Temperature Storage and Cold Deformation Process Stages. Metall. Mater. Trans. A 2015, 46, 6018–6039. [Google Scholar] [CrossRef]
- Anjabin, N. Modeling the Age-Hardening Process of Aluminum Alloys Containing the Prolate/Oblate Shape Precipitates. Met. Mater.-Int. 2021, 27, 1620–1630. [Google Scholar]
- Hou, Y.H.; Gu, Y.X.; Liu, Z.Y.; Li, Y.T.; Chen, X. Modeling of whole process of ageing precipitation and strengthening in Al-Cu-Mg-Ag alloys with high Cu-to-Mg mass ratio. Trans. Nonferrous Met. Soc. China 2010, 20, 863–869. [Google Scholar]
- Bardel, D.; Perez, M.; Nelias, D.; Deschamps, A.; Hutchinson, C.R.; Maisonnette, D.; Chaise, T.; Garnier, J.; Bourlier, F. Coupled precipitation and yield strength modelling for non-isothermal treatments of a 6061 aluminium alloy. Acta Mater. 2014, 62, 129–140. [Google Scholar]
- Mishra, S.; Yadava, M.; Kulkarni, K.; Gurao, N.P. A modified Taylor model for predicting yield strength anisotropy in age hardenable aluminium alloys. Mater. Sci. Eng. A 2017, 699, 217–228. [Google Scholar] [CrossRef]
- Seisenbacher, B.; Winter, G.; Grün, F. Modelling the effect of ageing on the yield strength of an aluminium alloy under cyclic loading at different ageing temperatures and test temperatures. Int. J. Fatigue 2020, 137, 105635. [Google Scholar]
- Poole, W.J.; Saeter, J.A.; Skjervold, S.; Waterloo, G. A model for predicting the effect of deformation after solution treatment on the subsequent artificial aging behavior of AA7030 and AA7108 alloys. Metall. Mater. Trans. A 2000, 31, 2327–2338. [Google Scholar]
- Yazdanmehr, M.; Bahrami, A.; Anijdan, S.H.M. A precipitation-hardening model for non-isothermal ageing of Al–Mg–Si alloys. Comput. Mater. Sci. 2009, 45, 385–387. [Google Scholar]
- Myhr, O.R.; Grong, Ø.; Pedersen, K.O.; Precipitation, A.C.; Strength, Y. and Work Hardening Model for Al-Mg-Si Alloys. Metall. Mater. Trans. A 2010, 41, 2276–2289. [Google Scholar]
- Anjabin, N.; Taheri, A.K. Physically based material model for evolution of stress-strain behavior of heat treatable aluminum alloys during solution heat treatment. Mater. Des. 2010, 31, 433–437. [Google Scholar] [CrossRef]
- Zhou, P.; Song, Y.; Hua, L.; Lin, J.; Lu, J. Using novel strain aging kinetics models to determine the effect of solution temperature on critical strain of Al-Zn-Mg-Cu alloy. J. Alloys. Compd. 2020, 838, 155647. [Google Scholar] [CrossRef]
- Lan, J.; Shen, X.; Liu, J.; Hua, L. Strengthening mechanisms of 2A14 aluminum alloy with cold deformation prior to artificial aging. Mater. Sci. Eng. A-Struct. 2019, 745, 517–535. [Google Scholar]
- Wang, A.; El Fakir, O.; Liu, J.; Zhang, Q.; Zheng, Y.; Wang, L. Multi-objective finite element simulations of a sheet metal-forming process via a cloud-based platform. Int. J. Adv. Manuf. Technol. 2019, 100, 2753–2765. [Google Scholar]
- Zhang, Q.; Luan, X.; Dhawan, S.; Politis, D.J.; Du, Q.; Fu, M.W.; Wang, K.; Gharbi, M.M.; Wang, L. Development of the post-form strength prediction model for a high-strength 6xxx aluminium alloy with pre-existing precipitates and residual dislocations. Int. J. Plast. 2019, 119, 230–248. [Google Scholar]
- Myhr, O.R.; Grong, Ø.; Andersen, S.J. Modelling of the age hardening behaviour of Al–Mg–Si alloys. Acta Mater. 2001, 49, 65–75. [Google Scholar]
- Toda, H.; Nishimura, T.; Uesugi, K.; Suzuki, Y.; Kobayashi, M. Influence of high-temperature solution treatments on mechanical properties of an Al–Si–Cu aluminum alloy. Acta Mater. 2010, 58, 2014–2025. [Google Scholar] [CrossRef]
- Fan, Y.; Wen, K.; Li, Z.; Li, X.; Zhang, Y.; Xiong, B.; Xie, J. Microstructure of as-extruded 7136 aluminum alloy and its evolution during solution treatment. Rare Met. 2017, 36, 256–262. [Google Scholar]
- Garrett, R.P.; Lin, J.; Dean, T.A. An investigation of the effects of solution heat treatment on mechanical properties for AA 6xxx alloys: Experimentation and modelling. Int. J. Plast. 2005, 21, 1640–1657. [Google Scholar] [CrossRef]
- Mrówka-Nowotnik, G.; Sieniawski, J. Influence of heat treatment on the microstructure and mechanical properties of 6005 and 6082 aluminium alloys. J. Mater. Process. Technol. 2005, 162–163, 367–372. [Google Scholar] [CrossRef]
- Fan, X.; He, Z.; Yuan, S.; Zheng, K. Experimental investigation on hot forming–quenching integrated process of 6A02 aluminum alloy sheet. Mater. Sci. Eng. A 2013, 573, 154–160. [Google Scholar] [CrossRef]
- Ma, W.; Wang, B.; Yang, L.; Tang, X.; Xiao, W.; Zhou, J. Influence of solution heat treatment on mechanical response and fracture behaviour of aluminium alloy sheets: An experimental study. Mater. Des. 2015, 88, 1119–1126. [Google Scholar]
- Liu, Q.; Chen, S.; Gu, R.; Wang, W.; Wei, X. Effect of Heat Treatment Conditions on Mechanical Properties and Precipitates in Sheet Metal Hot Stamping of 7075 Aluminum Alloy. J. Mater. Eng. Perform. 2018, 27, 4423–4436. [Google Scholar]
- Chang, Y.; Hung, F.; Lui, T. Enhancing the tensile yield strength of A6082 aluminum alloy with rapid heat solutionizing. Mater. Sci. Eng. A 2017, 702, 438–445. [Google Scholar] [CrossRef]
- Mendiguren, J.; de Argandona, E.S.; Galdos, L. Hot stamping of AA7075 aluminum sheets. IOP Conf. Ser. Mater. Sci. Eng. 2016, 159, 012026. [Google Scholar]
- Marlaud, T.; Deschamps, A.; Bley, F.; Lefebvre, W.; Baroux, B. Evolution of precipitate microstructures during the retrogression and re-ageing heat treatment of an Al–Zn–Mg–Cu alloy. Acta Mater. 2010, 58, 4814–4826. [Google Scholar]
- ROMETSCH, P.A.; ZHANG, Y.; KNIGHT, S. Heat treatment of 7xxx series aluminium alloys—Some recent developments. Trans. Nonferrous Met. Soc. China 2014, 24, 2003–2017. [Google Scholar] [CrossRef]
- Harrison, N.R.; Luckey, S.G. Hot Stamping of a B-Pillar Outer from High Strength Aluminum Sheet AA7075. SAE Int. J. Mater. Manuf. 2014, 7, 567–573. [Google Scholar]
- Li, N.; Zheng, J.; Zhang, C.; Zheng, K.; Lin, J.; Dean, T.A.; Qin, Y.; Dean, T.A.; Lin, J.; Yuan, S.J.; et al. Investigation on fast and energy-efficient heat treatments of AA6082 in HFQ processes for automotive applications. MATEC Web Conf. 2015, 21, 5015. [Google Scholar]
- Mori, K.; Maeno, T.; Fuzisaka, S. Punching of ultra-high strength steel sheets using local resistance heating of shearing zone. J. Mater. Process. Technol. 2012, 212, 534–540. [Google Scholar]
- Mori, K.; Saito, S.; Maki, S. Warm and hot punching of ultra high strength steel sheet. CIRP Ann. 2008, 57, 321–324. [Google Scholar] [CrossRef]
- Mori, K.; Maeno, T.; Maruo, Y. Punching of small hole of die-quenched steel sheets using local resistance heating. CIRP Ann. 2012, 61, 255–258. [Google Scholar] [CrossRef]
- Mori, K.; Bariani, P.F.; Behrens, B.A.; Brosius, A.; Bruschi, S.; Maeno, T.; Merklein, M.; Yanagimoto, J. Hot stamping of ultra-high strength steel parts. CIRP Ann. 2017, 66, 755–777. [Google Scholar] [CrossRef]
- Mori, K.S.S.M.; Maeno, T.S.S.; Yamada, H.S.S.; Matsumoto, H.S.S. 1-Shot hot stamping of ultra-high strength steel parts consisting of resistance heating, forming, shearing and die quenching. Int. J. Mach. Tools Manuf. 2015, 89, 124–131. [Google Scholar]
- Maeno, T.; Mori, K.; Yachi, R. Hot stamping of high-strength aluminium alloy aircraft parts using quick heating. CIRP Ann. 2017, 66, 269–272. [Google Scholar] [CrossRef]
- Mori, K.; Maeno, T.; Mongkolkaji, K. Tailored die quenching of steel parts having strength distribution using bypass resistance heating in hot stamping. J. Mater. Process. Technol. 2013, 213, 508–514. [Google Scholar] [CrossRef]
- Karbasian, H.; Tekkaya, A.E. A review on hot stamping. J. Mater. Process. Technol. 2010, 210, 2103–2118. [Google Scholar] [CrossRef]
- Conrad, H. Effects of electric current on solid state phase transformations in metals. Mater. Sci. Eng. A-Struct. 2000, 287, 227–237. [Google Scholar]
- Xu, Z.; Tang, G.; Tian, S.; He, J. Research on the engineering application of multiple pulses treatment for recrystallization of fine copper wire. Mater. Sci. Eng. A 2006, 424, 300–306. [Google Scholar]
- Zheng, Y.S.; Tang, G.Y.; Kuang, J.; Zheng, X.P. Effect of electropulse on solid solution treatment of 6061 aluminum alloy. J. Alloys Compd. 2014, 615, 849–853. [Google Scholar] [CrossRef]
- Xu, X.; Zhao, Y.; Wang, X.; Zhang, Y.; Ning, Y. Effect of rapid solid-solution induced by electropulsing on the microstructure and mechanical properties in 7075 Al alloy. Mater. Sci. Eng. A 2016, 654, 278–281. [Google Scholar]
- Xu, X.; Zhao, Y.; Ma, B.; Zhang, J.; Zhang, M. Rapid grain refinement of 2024 Al alloy through recrystallization induced by electropulsing. Mater. Sci. Eng. A 2014, 612, 223–226. [Google Scholar] [CrossRef]
- Liu, Y.; Lai, X.; Gu, Y.; Wang, B.; Wang, G.; Liu, Q. Investigation on the ageing behaviour and hardening mechanisms of 5A90 Al–Li alloy U-shaped parts formed by electric resistance heating forming-quenching process. J. Alloys Compd. 2021, 869, 159120. [Google Scholar]
- Geng, H.; Wang, Y.; Wang, Z.; Zhang, Y. Investigation on Contact Heating of Aluminum Alloy Sheets in Hot Stamping Process. Metals 2019, 9, 1341. [Google Scholar] [CrossRef]
- Jin, W.; Yu, J.; Zhang, Z.; Jia, H.; Ren, M. Study on Ultra-High Temperature Contact Solution Treatment of Al–Zn–Mg–Cu Alloys. Metals 2021, 11, 842. [Google Scholar] [CrossRef]
- Zhang, Z.; Yu, J.; He, D. Effect of contact solid solution treatment on peak aging of Al-Zn-Mg-Cu alloys. J. Mater. Res. Technol. 2020, 9, 6940–6943. [Google Scholar]
- Zhang, Z.; Yu, J.; He, D. Influence of contact solid-solution treatment on microstructures and mechanical properties of 7075 aluminum alloy. Mater. Sci. Eng. A 2019, 743, 500–503. [Google Scholar]
- Zhang, Z.; Yu, J.; He, D. Effects of contact body temperature and holding time on the microstructure and mechanical properties of 7075 aluminum alloy in contact solid solution treatment. J. Alloys Compd. 2020, 823, 153919. [Google Scholar]
- Rasera, J.N.; Daun, K.J.; Shi, C.J.; D’D, M. Direct contact heating for hot forming die quenching. Appl. Therm. Eng. 2016, 98, 1165–1173. [Google Scholar]
- Wang, X.; Guo, M.; Cao, L.; Luo, J.; Zhang, J.; Zhuang, L. Effect of heating rate on mechanical property, microstructure and texture evolution of Al–Mg–Si–Cu alloy during solution treatment. Mater. Sci. Eng. A 2015, 621, 8–17. [Google Scholar] [CrossRef]
- Dadbakhsh, S.; Taheri, A.K. Study on static strain aging of 6082 aluminium alloy. Mater. Sci. Technol. 2010, 26, 169–175. [Google Scholar]
- Shang, B.C.; Yin, Z.M.; Wang, G.; Liu, B.; Huang, Z.Q. Investigation of quench sensitivity and transformation kinetics during isothermal treatment in 6082 aluminum alloy. Mater. Des. 2011, 32, 3818–3822. [Google Scholar]
- Yanagimoto, J.; Oyamada, K.; Nakagawa, T. Springback of High-Strength Steel after Hot and Warm Sheet Formings. CIRP Ann. 2005, 54, 213–216. [Google Scholar]
- Kolleck, R.; Veit, R.; Merklein, M.; Lechler, J.; Geiger, M. Investigation on induction heating for hot stamping of boron alloyed steels. CIRP Ann. 2009, 58, 275–278. [Google Scholar]
- Shang, F.; Sekiya, E.; Nakayama, Y. Application of high-frequency induction heating apparatus to heat treatment of 6061 aluminum alloy. J. Jpn. Inst. Light Met. 2012, 62, 67–74. [Google Scholar]
- Shao, Z.; Jiang, J.; Lin, J. Feasibility study on direct flame impingement heating applied for the solution heat treatment, forming and cold die quenching technique. J. Manuf. Process. 2018, 36, 398–404. [Google Scholar]
- Malikov, G.K.; Lobanov, D.L.; Malikov, K.Y.; Lisienko, V.G.; Viskanta, R.; Fedorov, A.G. Direct flame impingement heating for rapid thermal materials processing. Int. J. Heat Mass Transf. 2001, 44, 1751–1758. [Google Scholar]
- Chander, S.; Ray, A. Flame impingement heat transfer: A review. Energy Convers. Manag. 2005, 46, 2803–2837. [Google Scholar] [CrossRef]
- Liu, Y.; Zhu, B.; Wang, Y.; Li, S.; Zhang, Y. Fast solution heat treatment of high strength aluminum alloy sheets in radiant heating furnace during hot stamping. Int. J. Lig. Mat. Manuf. 2020, 3, 20–25. [Google Scholar]
- Rivard, J.D.K.; Blue, C.A.; Ott, R.D.; Sabau, A.; Santella, M.; Pan, T.Y.; Joaquin, A. Advanced Manufacturing Technologies Utilising High Density Infrared Radiant Heating. Surf. Eng. 2004, 20, 220–228. [Google Scholar]
- Lin, Y.C.; Jiang, Y.Q.; Zhang, J.L.; Chen, X.M. Influence of Stress-Aging Processing on Precipitates and Mechanical Properties of a 7075 Aluminum Alloy. Adv. Eng. Mater. 2018, 20, 201700583. [Google Scholar]
- Xu, X.; Zhao, Y.; Wang, X.; Zhang, Y.; Ning, Y. The rapid age strengthening induced by Ag additions in 7075 aluminum alloy. Mater. Sci. Eng. A 2015, 648, 367–370. [Google Scholar]
- Wang, Y.; Wu, X.; Cao, L.; Tong, X.; Zou, Y.; Zhu, Q.; Tang, S.; Song, H.; Guo, M. Effect of Ag on aging precipitation behavior and mechanical properties of aluminum alloy 7075. Mater. Sci. Eng. A 2021, 804, 140515. [Google Scholar]
- Dehghani, K. Bake hardening of nanograin AA7075 aluminum alloy. Mater. Sci. Eng. A 2011, 530, 618–623. [Google Scholar]
- Dehghani, K.; Nekahi, A.; Mirzaie, M.A.M. Optimizing the bake hardening behavior of Al7075 using response surface methodology. Mater. Des. 2010, 31, 1768–1775. [Google Scholar]
- Abid, T.; Boubertakh, A.; Hamamda, S. Effect of pre-aging and maturing on the precipitation hardening of an Al–Mg–Si alloy. J. Alloys. Compd. 2010, 490, 166–169. [Google Scholar]
- Lee, Y.; Koh, D.; Kim, H.; Ahn, Y. Improved bake-hardening response of Al-Zn-Mg-Cu alloy through pre-aging treatment. Scr. Mater. 2018, 147, 45–49. [Google Scholar]
- Jin, S.; Ngai, T.; Li, L.; Lai, Y.; Chen, Z.; Wang, A. Influence of natural aging and pre-treatment on the precipitation and age-hardening behavior of Al-1.0Mg-0.65Si-0.24Cu alloy. J. Alloys. Compd. 2018, 742, 852–859. [Google Scholar]
- Cao, L.; Rometsch, P.A.; Couper, M.J. Effect of pre-ageing and natural ageing on the paint bake response of alloy AA6181A. Mater. Sci. Eng. A-Struct. 2013, 571, 77–82. [Google Scholar]
- Masuda, T.; Takaki, Y.; Sakurai, T.; Hirosawa, S. Combined Effect of Pre-Straining and Pre-Aging on Bake-Hardening Behavior of an Al-0.6 mass%Mg-1.0 mass%Si Alloy. Mater. Trans. 2010, 51, 325–332. [Google Scholar] [CrossRef]
- Li, H.; Yan, Z.; Cao, L. Bake hardening behavior and precipitation kinetic of a novel Al-Mg-Si-Cu aluminum alloy for lightweight automotive body. Mater. Sci. Eng. A-Struct. 2018, 728, 88–94. [Google Scholar] [CrossRef]
- Liu, Y.; Li, W.; Jiang, D. The effect of pre-ageing on the microstructure and properties of 7050 alloy. J. Mater. Res. 2015, 30, 3803–3810. [Google Scholar] [CrossRef]
- Yan, L.; Li, Z.; Zhang, Y.; Xiong, B.; Li, X.; Liu, H.; Huang, S.; Yan, H. Pre-aging on early-age behavior and bake hardening response of an Al-0.90Mg-0.80Si-0.64Zn-0.23Cu alloy. Prog. Nat. Sci-Mater. 2016, 26, 398–403. [Google Scholar] [CrossRef]
- Yin, D.; Xiao, Q.; Chen, Y.; Liu, H.; Yi, D.; Wang, B.; Pan, S. Effect of natural ageing and pre-straining on the hardening behaviour and microstructural response during artificial ageing of an Al–Mg–Si–Cu alloy. Mater. Des. 2016, 95, 329–339. [Google Scholar] [CrossRef]
- Jiang, Y.F.; Ding, H.; Cai, M.H.; Chen, Y.; Liu, Y.; Zhang, Y.S. Investigation into the hot forming-quenching integrated process with cold dies for high strength aluminum alloy. Mater. Charact. 2019, 158, 109967. [Google Scholar] [CrossRef]
- Wang, L.; Elfakir, O.; Sun, Y.; Ji, K.; Cai, Z.; Luan, X.; Liu, X. A Method of Forming Parts from Sheet Metal. U.S. Patent 11,313,010, 26 April 2022. [Google Scholar]
- Xu, Y.Q.; Tong, C.Y.; Zhan, L.; Liu, C.H.; Tan, J.S.; Huang, M.H.; Yang, Y.L.; Li, H. A low-density pulse-current-assisted age forming process for high-strength aluminum alloy components. Int. J. Adv. Manuf. Technol. 2018, 97, 3371–3384. [Google Scholar] [CrossRef]
- Sun, W.; Zhu, Y.; Marceau, R.; Wang, L.; Zhang, Q.; Gao, X.; Hutchinson, C. Precipitation strengthening of aluminum alloys by room-temperature cyclic plasticity. Science 2019, 363, 972–975. [Google Scholar] [CrossRef]
- Pramod, S.L.; Ravikirana; Rao, A.K.P.; Murty, B.S.; Bakshi, S.R. Effect of Sc addition and T6 aging treatment on the microstructure modification and mechanical properties of A356 alloy. Mater. Sci. Eng. A-Struct. 2016, 674, 438–450. [Google Scholar] [CrossRef]
- Li, H.; Ling, J.; Xu, Y.; Sun, Z.; Liu, H.; Zheng, X.; Tao, J. Effect of Aging Treatment on Precipitation Behavior and Mechanical Properties of a Novel Aluminum–Lithium Alloy. Acta Metall. Sin-Engl. 2015, 28, 671–677. [Google Scholar] [CrossRef]
- Ghiotti, A.; Bruschi, S.; Medea, F. Wear onset in hot stamping of aluminium alloys sheets. Wear 2017, 376–377, 484–495. [Google Scholar] [CrossRef]
- Wang, H.; Luo, Y.B.; Friedman, P.; Chen, M.H.; Gao, L. Warm forming behavior of high strength aluminum alloy AA7075. Trans. Nonferrous Met. Soc. China 2012, 22, 1–7. [Google Scholar] [CrossRef]
- Adam, G.; Balint, D.; Dean, T.; Dear, J.; El Fakir, O.; Foster, A.; Lin, J.; Wang, L. A Method of Forming Parts from Sheet Metal Alloy. United States Patent US 11,441,216, 13 September 2022. [Google Scholar]
- Zheng, K.; Lee, J.; Xiao, W.; Wang, B.; Lin, J. Experimental Investigations of the In-Die Quenching Efficiency and Die Surface Temperature of Hot Stamping Aluminium Alloys. Metals 2018, 8, 231. [Google Scholar] [CrossRef]
- Huo, W.; Hou, L.; Zhang, Y.; Zhang, J. Warm formability and post-forming microstructure/property of high-strength AA 7075-T6 Al alloy. Mater. Sci. Eng. A 2016, 675, 44–54. [Google Scholar] [CrossRef]
- Zheng, K.; Zhu, L.; Lin, J.; Dean, T.A.; Li, N. An experimental investigation of the drawability of AA6082 sheet under different elevated temperature forming processes. J. Mater. Process. Technol. 2019, 273, 116225. [Google Scholar] [CrossRef]
- Zhu, L.; Liu, Z.; Zhang, Z. Investigation on strengthening of 7075 aluminum alloy sheet in a new hot stamping process with pre-cooling. Int. J. Adv. Manuf. Technol. 2019, 103, 4739–4746. [Google Scholar] [CrossRef]
- Li, Y.; Yu, L.; Zheng, J.; Guan, B.; Zheng, K. A physical-based unified constitutive model of AA7075 for a novel hot forming condition with pre-cooling. J. Alloys Compd. 2021, 876, 160142. [Google Scholar] [CrossRef]
- Zheng, K.; Dong, Y.; Zheng, D.; Lin, J.; Dean, T.A. An experimental investigation on the deformation and post-formed strength of heat-treatable aluminium alloys using different elevated temperature forming processes. J. Mater. Process. Technol. 2019, 268, 87–96. [Google Scholar] [CrossRef]
- Zhang, W.; Li, H.; Hu, Z.; Hua, L. Investigation on the deformation behavior and post-formed microstructure/properties of AA7075-T6 alloy under pre-hardened hot forming process. Mater. Sci. Eng. A 2020, 792, 139749. [Google Scholar] [CrossRef]
- Hua, L.; Zhang, W.; Ma, H.; Hu, Z. Investigation of formability, microstructures and post-forming mechanical properties of heat-treatable aluminum alloys subjected to pre-aged hardening warm forming. Int. J. Mach. Tools Manuf. 2021, 169, 103799. [Google Scholar] [CrossRef]
- Zhang, W.; Pang, Q.; Lu, J.; Hu, Z. Comparative study on deformation behavior, microstructure evolution and post-forming property of an Al Zn Mg Cu alloy in a novel warm forming process. J. Mater. Process. Technol. 2023, 312, 117854. [Google Scholar] [CrossRef]
- Wei, P.; Hu, Z.; Pang, Q. Microstructure evolution and strengthening mechanisms of high strength Al-Zn-Mg-Cu alloy via pre-hardening forming. J. Alloys. Compd. 2023, 968, 172057. [Google Scholar] [CrossRef]
- Hu, Z.; Zheng, J.; Hua, L.; Sun, Q. Investigation of forging formability, microstructures and mechanical properties of pre-hardening Al-Zn-Mg-Cu alloy. J. Manuf. Process. 2024, 131, 2082–2100. [Google Scholar]
- Tang, L.; Wei, P.; Hu, Z.; Pang, Q. Microstructure and mechanical properties stability of pre-hardening treatment in Al–Cu alloys for pre-hardening forming process. Int. J. Min. Met. Mater. 2024, 31, 539–551. [Google Scholar]



















































| Temperature/ °C | Springback Angle/(°) | Relative Error/% | |
|---|---|---|---|
| Experimental Result | Simulation Result | ||
| 200 | α = 2.474 | α = 2.375 | 4.0 |
| 400 | α = 0.197 | α = 0.212 | 7.6 |
| 200 | β = 3.315 | β = 2.881 | 13.1 |
| 400 | β = 0.629 | β = 0.536 | 14.8 |
Disclaimer/Publisher’s Note: The statements, opinions and data contained in all publications are solely those of the individual author(s) and contributor(s) and not of MDPI and/or the editor(s). MDPI and/or the editor(s) disclaim responsibility for any injury to people or property resulting from any ideas, methods, instructions or products referred to in the content. |
© 2025 by the authors. Licensee MDPI, Basel, Switzerland. This article is an open access article distributed under the terms and conditions of the Creative Commons Attribution (CC BY) license (https://creativecommons.org/licenses/by/4.0/).
Share and Cite
Wu, R.; Dai, W.; Luo, J.; Li, M.; Liu, Y.; Li, H. Aluminum Alloy Hot Stamping and Forming Technology: A Review. Materials 2025, 18, 1694. https://doi.org/10.3390/ma18081694
Wu R, Dai W, Luo J, Li M, Liu Y, Li H. Aluminum Alloy Hot Stamping and Forming Technology: A Review. Materials. 2025; 18(8):1694. https://doi.org/10.3390/ma18081694
Chicago/Turabian StyleWu, Ruolin, Wei Dai, Jiake Luo, Mengxin Li, Yuan Liu, and Huanhuan Li. 2025. "Aluminum Alloy Hot Stamping and Forming Technology: A Review" Materials 18, no. 8: 1694. https://doi.org/10.3390/ma18081694
APA StyleWu, R., Dai, W., Luo, J., Li, M., Liu, Y., & Li, H. (2025). Aluminum Alloy Hot Stamping and Forming Technology: A Review. Materials, 18(8), 1694. https://doi.org/10.3390/ma18081694
