Study of the Material Removal Mechanism and Surface Damage in Laser-Assisted Milling of CF/PEEK
Abstract
1. Introduction
2. Laser Composite Machining Milling Modeling
3. Materials and Methods
3.1. Test Materials
3.2. Test System
4. Results and Discussion
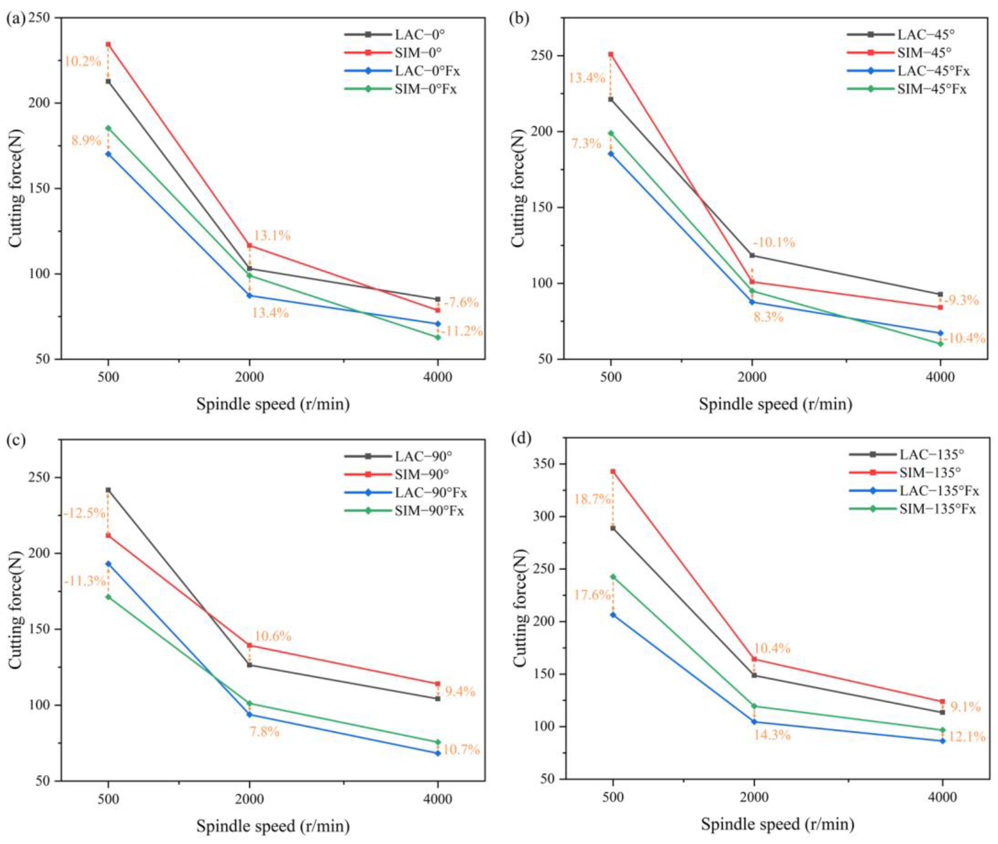
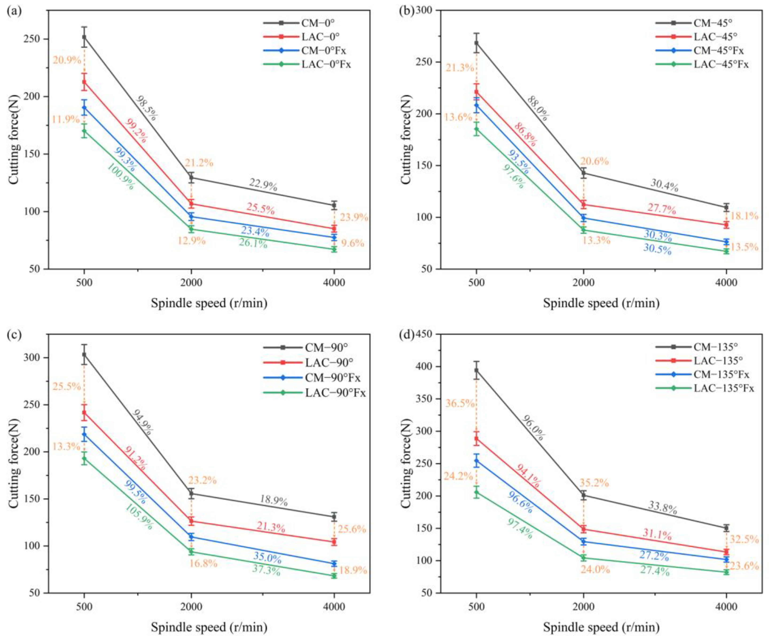
4.1. Cutting Force Analysis
4.2. Cutting Temperature Analysis
4.3. Machined Surface Damage
5. Conclusions
- (1)
- Laser-assisted milling significantly reduced both the total and feed-cutting forces in CF/PEEK composite machining compared to conventional milling. The greatest reduction in cutting forces occurred at a fiber orientation angle of 135°, followed by 90°, 45°, and 0°. Laser treatment enhanced the fiber fracture pattern and reduced the cutting forces.
- (2)
- At a constant feed rate, the milling force decreased sharply (by over 90%) with increasing spindle speed. Above 2000 r/min, the milling force reduction stabilized. Increasing the spindle speed at a constant feed rate reduced the feed per tooth, greatly impacting the milling force. Consequently, beyond 2000 r/min, minor variations in the feed per tooth led to a leveling off of the cutting force reduction.
- (3)
- Laser-assisted milling lowered the cutting temperatures relative to conventional milling. In contrast to conventional milling, laser-assisted milling exhibited the greatest temperature reduction at the 90° and 135° fiber orientations, with this effect intensifying as the spindle speed increased. In laser-assisted milling, lower cutting forces and frictional heat between the tool and workpiece amplified the heat from fiber breakage and chip deformation. Additionally, some heat was carried away as the fiber chips separated, further lowering the cutting temperature.
- (4)
- A simulation model for laser-assisted milling of microcrystalline cuts with varying fiber orientations was developed, and the fracture modes were analyzed. An experimental analysis of laser-assisted milling with varying fiber orientations confirmed that the micro-deformation removal mechanism aligned with the simulation results. At a 0° cutting angle, fractures occurred primarily through bending; at 45°, it involved bending-shear fractures; at 90°, it was dominated by compression fractures; and at 135°, it followed a compression-shear fracture mode. Thus, the proposed microscopic cutting simulation model effectively simulated the material’s microscopic fiber-removal mechanism. (While the model was able to make accurate predictions for known data ranges, the results may lose accuracy when extrapolated for data beyond this range. Therefore, it is recommended that the extrapolated results of the model be used with caution in real-world applications and that further validation or extension of the data be considered before applying it to unknown data ranges.)
- (5)
- This study provides theoretical support and technical guidance for the practical processing of laser-assisted CF/PEEK composites. In future research, this study will serve as the foundation for the further exploration of fiber changes and optimization strategies for process parameters, ultimately guiding the high-quality, efficient processing of CF/PEEK composites.
Author Contributions
Funding
Institutional Review Board Statement
Informed Consent Statement
Data Availability Statement
Conflicts of Interest
Appendix A
Appendix A.1
Appendix A.2
Appendix A.3
Appendix A.4
| Cutting Angle | Spindle Speed (r/min) | Total Cutting Force F (N) | Feed-Cutting Force F × (N) | Cutting Temperature (°C) | |||||
|---|---|---|---|---|---|---|---|---|---|
| CM | LAC | Emulate | CM | LAC | Emulate | CM | LAC | ||
| 0° | 500 | 251.7 | 212.7 | 234.4 | 190.5 | 170.2 | 185.3 | 140.2 | 128.0 |
| 2000 | 129.5 | 103.1 | 116.6 | 95.6 | 87.3 | 99.0 | 151.6 | 140.6 | |
| 3000 | 105.4 | 85.1 | 78.6 | 77.5 | 70.7 | 62.8 | 160.7 | 145.4 | |
| 45° | 500 | 268.4 | 221.2 | 250.8 | 208.3 | 185.4 | 198.9 | 136.8 | 131.8 |
| 2000 | 142.8 | 112.4 | 101.2 | 99.4 | 87.7 | 95 | 155.1 | 143.4 | |
| 4000 | 109.5 | 92.7 | 84.1 | 76.3 | 67.2 | 60.2 | 165.8 | 148.2 | |
| 90° | 500 | 303.4 | 241.7 | 211.7 | 218.7 | 193.1 | 171.3 | 163.8 | 145.9 |
| 2000 | 176.9 | 126.4 | 139.4 | 109.6 | 93.8 | 101.1 | 188.7 | 154.5 | |
| 4000 | 130.9 | 104.2 | 114 | 81.2 | 68.3 | 75.6 | 203.7 | 160.1 | |
| 135° | 500 | 394.2 | 293.7 | 342.7 | 254.6 | 206.3 | 242.6 | 168.3 | 143.7 |
| 2000 | 201.1 | 140.7 | 164.2 | 129.5 | 104.5 | 119.4 | 197.5 | 158.6 | |
| 4000 | 150.3 | 113.4 | 123.7 | 101.8 | 86.3 | 96.7 | 213.6 | 166.3 | |
References
- Hassan, E.A.; Ge, D.; Zhu, S.; Yang, L.; Zhou, J.; Yu, M. Enhancing CF/PEEK composites by CF decoration with polyimide and loosely-packed CNT arrays. Compos. Part A Appl. Sci. Manuf. 2019, 127, 105613. [Google Scholar] [CrossRef]
- Hassan, E.A.; Yang, L.; Elagib, T.H.; Ge, D.; Lv, X.; Zhou, J.; Yu, M.; Zhu, S. Synergistic effect of hydrogen bonding and π-π stacking in interface of CF/PEEK composites. Compos. Part B Eng. 2019, 171, 70–77. [Google Scholar] [CrossRef]
- Cao, H.; Song, Y.; Wu, B.; Wang, K.; Qu, D. A force model of high-speed dry milling CF/PEEK considering fiber distribution characteristics. J. Manuf. Process. 2021, 68, 602–615. [Google Scholar] [CrossRef]
- Lekrine, A.; Belaadi, A.; Dembri, I.; Jawaid, M.; Ismail, A.S.; Abdullah, M.M.; Chai, B.X.; Al-Khawlani, A.; Ghernaout, D. Thermomechanical and structural analysis of green hybrid composites based on polylactic acid/biochar/treated W. filifera palm fibers. J. Mater. Res. Technol. 2024, 30, 9656–9667. [Google Scholar] [CrossRef]
- Babu, J.; Basavarajappa, S.; Blass, D.; Blümel, S.; Chatelain, J.F.; Cong, W.; Díaz-Álvarez, J.; Dilger, K.; Feito, N.; Fischer, F.; et al. Machinability of Fibre-Reinforced Plastics; DE Gruyter: Berlin, Germany; Boston, MA, USA, 2015. [Google Scholar] [CrossRef]
- Cao, S.; Zhang, K.; Hou, G.; Luo, B.; Cheng, H.; Li, Y.; Li, X.; Liu, C. Experimental analysis of entrance and exit damage mechanism affected by the structural dynamic deformation characteristics during drilling of thin-walled CFRP. Thin-Walled Struct. 2022, 180, 109870. [Google Scholar] [CrossRef]
- Cao, H.; Liu, L.; Wu, B.; Gao, Y.; Qu, D. Process optimization of high-speed dry milling UD-CF/PEEK laminates using GA-BP neural network. Compos. Part B Eng. 2021, 221, 109034. [Google Scholar] [CrossRef]
- Su, F.; Yuan, J.; Sun, F.; Wang, Z.; Deng, Z. Analytical cutting model for a single fiber to investigate the occurrences of the surface damages in milling of CFRP. Int. J. Adv. Manuf. Technol. 2018, 96, 2671–2685. [Google Scholar] [CrossRef]
- Henerichs, M.; Voß, R.; Kuster, F.; Wegener, K. Machining of carbon fiber reinforced plastics: Influence of tool geometry and fiber orientation on the machining forces. CIRP J. Manuf. Sci. Technol. 2015, 9, 136–145. [Google Scholar] [CrossRef]
- Davim, J.P. Machining of Composite Materials; Wiley: Hoboken, NJ, USA, 2009; Available online: https://www.wiley.com/en-us/Machining+Composites+Materials-p-9781848211704 (accessed on 28 October 2024).
- Wang, X.; Zhang, L. An experimental investigation into the orthogonal cutting of unidirectional fibre reinforced plastics. Int. J. Mach. Tools Manuf. 2003, 43, 1015–1022. [Google Scholar] [CrossRef]
- Kumar, D.; Gururaja, S. Machining damage and surface integrity evaluation during milling of UD-CFRP laminates: Dry vs. cryogenic. Compos. Struct. 2020, 247, 112504. [Google Scholar] [CrossRef]
- Nguyen-Dinh, N.; Zitoune, R.; Bouvet, C.; Leroux, S. Surface integrity while trimming of composite structures: X-ray tomography analysis. Compos. Struct. 2019, 210, 735–746. [Google Scholar] [CrossRef]
- Oliveira, T.L.L.; Zitoune, R.; Ancelotti, A.C., Jr.; da Cunha, S.S., Jr. Smart machining: Monitoring of CFRP milling using AE and IR. Compos. Struct. 2020, 249, 112611. [Google Scholar] [CrossRef]
- Zhu, Z.; Kang, R.; Huang, J.; Zhu, Y.; Sun, X. Investigation on cutting damage mechanism of carbon fiber reinforced polymer based on macro/microscopic simulation. Int. J. Adv. Manuf. Technol. 2023, 127, 3585–3597. [Google Scholar] [CrossRef]
- Han, L.; Zhang, J.; Liu, Y.; Sun, T. Effect of fiber orientation on depth sensing intra-laminar failure of unidirectional CFRP under nano-scratching. Compos. Part B Eng. 2021, 224, 109211. [Google Scholar] [CrossRef]
- Mata, F.; Gaitonde, V.; Karnik, S.; Davim, J.P. Influence of cutting conditions on machinability aspects of PEEK, PEEK CF 30 and PEEK GF 30 composites using PCD tools. J. Mech. Work. Technol. 2008, 209, 1980–1987. [Google Scholar] [CrossRef]
- Xu, J.; Huang, X.; Davim, J.P.; Ji, M.; Chen, M. On the machining behavior of carbon fiber reinforced polyimide and PEEK thermoplastic composites. Polym. Composite. 2020, 41, 3649–3663. [Google Scholar] [CrossRef]
- Caggiano, A. Machining of Fibre Reinforced Plastic Composite Materials. Materials 2018, 11, 442. [Google Scholar] [CrossRef]
- Wang, H.; Qin, X.; Li, H. Machinability analysis on helical milling of carbon fiber reinforced polymer. J. Adv. Mech. Des. Syst. Manuf. 2015, 9, JAMDSM0057. [Google Scholar] [CrossRef]
- Zhang, J.; Luo, T.; Ye, Z.; Deng, C.; Luo, D.; Tao, G.; Cao, H. Investigation on fiber fracture mechanism and milling force model of CF/PEEK by ultrasonic milling. Tribol. Int. 2024, 198, 109893. [Google Scholar] [CrossRef]
- Lin, Z.; Jiao, H.; Zhou, L.; Zhang, G.; Huang, P.; Zhao, Z.; Liu, H.; Huang, Y.; Zhou, J.; Long, Y. Investigation on mechanism for water-gas jet-assisted laser processing of carbon fiber-reinforced polymer. J. Reinf. Plast. Compos. 2023. [Google Scholar] [CrossRef]
- Rao, S.; Sethi, A.; Das, A.K.; Mandal, N.; Kiran, P.; Ghosh, R.; Dixit, A.R.; Mandal, A. Fiber laser cutting of CFRP composites and process optimization through response surface methodology. Mater. Manuf. Process. 2017, 32, 1612–1621. [Google Scholar] [CrossRef]
- Qiao, Y.; Chen, T.; Ma, H.; Liu, Y.; Tang, A.; Xiong, W.; Deng, L. Experimental study on the sidewall quality of femtosecond laser drilling CFRP. Compos. Part B Eng. 2023, 266, 110972. [Google Scholar] [CrossRef]
- Lee, C.-M.; Woo, W.-S.; Kim, D.-H.; Oh, W.-J.; Oh, N.-S. Laser-assisted hybrid processes: A review. Int. J. Precis. Eng. Manuf. 2016, 17, 257–267. [Google Scholar] [CrossRef]
- Tao, N.; Chen, G.; Cai, S.; Fang, W.; Xiao, Z. Improving hole quality of thick CFRP laminates through a laser-mechanical compound drilling process. J. Mater. Res. Technol. 2023, 27, 3243–3258. [Google Scholar] [CrossRef]
- Li, Z.; Zheng, H.; Lim, G.; Chu, P.; Li, L. Study on UV laser machining quality of carbon fibre reinforced composites. Compos. Part A Appl. Sci. Manuf. 2010, 41, 1403–1408. [Google Scholar] [CrossRef]
- Chen, L.; Li, M.; Yang, X. The feasibility of fast slotting thick CFRP laminate using fiber laser-CNC milling cooperative machining technique. Opt. Laser Technol. 2022, 149, 107794. [Google Scholar] [CrossRef]
- Fujihara, K.; Huang, Z.-M.; Ramakrishna, S.; Hamada, H. Influence of processing conditions on bending property of continuous carbon fiber reinforced PEEK composites. Compos. Sci. Technol. 2004, 64, 2525–2534. [Google Scholar] [CrossRef]
- Kong, X.; Wang, Y.; Liu, X.; Dang, Z.; Wang, M. Research on the removal mechanism and surface damage of laser assisted cutting of CFRP materials. J. Manuf. Process. 2024, 124, 196–211. [Google Scholar] [CrossRef]
- Liu, S.; Sun, Y.; Du, Y.; Zhang, Z.; Wu, X. Investigating the material removal mechanism and cutting performance in ultrasonic vibration-assisted milling of carbon fibre reinforced thermoplastic. Mater. Res. Express 2023, 10, 095603. [Google Scholar] [CrossRef]
- Qin, X.; Wu, X.; Li, H.; Li, S.; Zhang, S.; Jin, Y. Numerical and experimental investigation of orthogonal cutting of carbon fiber-reinforced polyetheretherketone (CF/PEEK). Int. J. Adv. Manuf. Technol. 2022, 119, 1003–1017. [Google Scholar] [CrossRef]
- Garcia-Gonzalez, D.; Rusinek, A.; Jankowiak, T.; Arias, A. Mechanical impact behavior of polyether–ether–ketone (PEEK). Compos. Struct. 2015, 124, 88–99. [Google Scholar] [CrossRef]
- Bouteiller, P.; Bleyer, J.; Sab, K. Continuum damage analysis of delamination in composite laminates using a stress-based layerwise plate model. Int. J. Solids Struct. 2022, 246–247, 111611. [Google Scholar] [CrossRef]
- Benzeggagh, M.L.; Kenane, M. Measurement of mixed-mode delamination fracture toughness of unidirectional glass/epoxy composites with mixed-mode bending apparatus. Compos. Sci. Technol. 1996, 56, 439–449. [Google Scholar] [CrossRef]
- Li, H.N.; Wang, J.P.; Wu, C.Q.; Zhao, Y.J.; Xu, J.; Liu, X.; Zhu, W.Q. Damage behaviors of unidirectional CFRP in orthogonal cutting: A comparison between single- and multiple-pass strategies. Compos. Part B Eng. 2020, 185, 107774. [Google Scholar] [CrossRef]
- Li, M.; Chen, L.; Yang, X. A feasibility study on high-power fiber laser cutting of thick CFRP laminates using single-pass strategy. Opt. Laser Technol. 2021, 138, 106889. [Google Scholar] [CrossRef]
- Weber, R.; Hafner, M.; Michalowski, A.; Graf, T. Minimum Damage in CFRP Laser Processing. Phys. Procedia 2011, 12, 302–307. [Google Scholar] [CrossRef]
- Qi, Z.; Zhang, K.; Cheng, H.; Wang, D.; Meng, Q. Microscopic mechanism based force prediction in orthogonal cutting of unidirectional CFRP. Int. J. Adv. Manuf. Technol. 2015, 79, 1209–1219. [Google Scholar] [CrossRef]
- Kong, X.; Dang, Z.; Liu, X.; Wang, M. A comparative evaluation of laser assisted drilling CFRP with improved machining mechanism. J. Mater. Process. Tech. 2023, 321, 118156. [Google Scholar] [CrossRef]
- Li, H.; Qin, X.; He, G.; Jin, Y.; Sun, D.; Price, M. Investigation of chip formation and fracture toughness in orthogonal cutting of UD-CFRP. Int. J. Adv. Manuf. Technol. 2016, 82, 1079–1088. [Google Scholar] [CrossRef]
- Wang, F.-J.; Zhang, B.-Y.; Zhao, M.; Cheng, D.; Wang, Z.-G. Evolution laws of fiber-matrix interface cracks in machining of carbon fiber reinforced polymer. Int. J. Adv. Manuf. Technol. 2019, 101, 963–977. [Google Scholar] [CrossRef]
- Zhu, T.; Ren, Z.; Xu, J.; Shen, L.; Xiao, C.; Zhang, C.; Zhou, X.; Jian, X. Damage evolution model and failure mechanism of continuous carbon fiber-reinforced thermoplastic resin matrix composite materials. Compos. Sci. Technol. 2023, 244, 110300. [Google Scholar] [CrossRef]
- Wang, C.; Wen, L.; Ming, W.; An, Q.; Chen, M. Experimental study on effects of fiber cutting angle in milling of high-strength unidirectional carbon fiber–reinforced polymer laminates. Proc. Inst. Mech. Eng. Part B J. Eng. Manuf. 2018, 232, 1813–1824. [Google Scholar] [CrossRef]
- Gong, S.L. Advanced Laser Processing Technology; Aviation Industry Press: Beijing, China, 2016; p. 11. [Google Scholar]














| l × w × h | 77 × 32 × 100 μm | γ | 15° |
| φ | 5° | re | 1.5 μm |
| ht | 40 μm | ac | 30 μm |
| l1 | 25 μm | vc | 12.56, 50.27, 100.53 m/min |
| Material | Property | Values |
|---|---|---|
| Carbon fiber | Elastic constants | E11 = 235 GPa, E22 = 14 GPa |
| E33 = 14 GPa | ||
| v12 = v13 = v23 = 0.25 | ||
| G12 = 28 GPa, G13 = 28 GPa | ||
| G23 = 5.5 GPa | ||
| Longitudinal strength | Xt = 3590 MPa, Xc = 2700 MPa | |
| Transverse strength | Yt = 3590 MPa, Yc = 2700 MPa | |
| PEEK | Elastic constants | E33 = 4.1 GPa, v = 0.38 |
| J-C plastic parameter A, B, C, n, m | A = 132 MPa, B = 10 MPa, C = 0.035 | |
| m = 0.7, n = 1.2 | ||
| J-C failure parameter d1~d5 | 0.05, 1.2, 0.254, −0.009,1 | |
| Interface | Cohesive stiffness | K = 6.4 × 105 MPa/mm |
| Normal strength | = 43 MPa | |
| Shear strength | = = 50 MPa |
| Material | Parameters | Values |
|---|---|---|
| CF/PEEK | Density | 1.550 g/cm3 |
| Tensile strength | 2200 MPa | |
| Compressive strength | 1200 MPa | |
| Bending strength | 2000 MPa | |
| Bending modulus | 130 GPa | |
| Interlaminar shear strength | 90 MPa | |
| Transverse Poisson’s ratio | 0.25 | |
| Longitudinal Poisson’s ratio | 0.38 | |
| Carbon fiber (50%) | Density | 1.80 g/cm3 |
| Tensile strength | 4900 MPa | |
| Tensile modulus | 230 GPa | |
| Polyetheretherketone resins (50%) | Density | 1.3 g/cm3 |
| Tensile strength | 95 MPa | |
| Melting temperature | 343 °C | |
| Glass transition temperature | 143 °C | |
| Elongation at break | 15% |
| Parameters | Values | Parameters | Values |
|---|---|---|---|
| Laser power | 400 W | Shank diameter | 8 mm |
| CNC movement speed | 250 mm/min | Shank length | 60 mm |
| CNC spindle speed | 500, 2000, 4000 r/min | Blade length | 20 mm |
| CNC feed speed | 250 mm/min | Tool rake angle | 15° |
| Fiber cutting angle | 0°, 45°, 90°, 135° | Tool trailing angle | 5° |
| Horizontal cut width | 5 mm | Tool helix angle | 45° |
| Radial depth of cutting | 3 mm | Knife blade | 4 |
Disclaimer/Publisher’s Note: The statements, opinions and data contained in all publications are solely those of the individual author(s) and contributor(s) and not of MDPI and/or the editor(s). MDPI and/or the editor(s) disclaim responsibility for any injury to people or property resulting from any ideas, methods, instructions or products referred to in the content. |
© 2025 by the authors. Licensee MDPI, Basel, Switzerland. This article is an open access article distributed under the terms and conditions of the Creative Commons Attribution (CC BY) license (https://creativecommons.org/licenses/by/4.0/).
Share and Cite
Wang, Q.; Wang, M.; Fu, L.; Xiao, K.; Wang, X. Study of the Material Removal Mechanism and Surface Damage in Laser-Assisted Milling of CF/PEEK. Materials 2025, 18, 791. https://doi.org/10.3390/ma18040791
Wang Q, Wang M, Fu L, Xiao K, Wang X. Study of the Material Removal Mechanism and Surface Damage in Laser-Assisted Milling of CF/PEEK. Materials. 2025; 18(4):791. https://doi.org/10.3390/ma18040791
Chicago/Turabian StyleWang, Qijia, Minghai Wang, Li Fu, Kang Xiao, and Xuezhi Wang. 2025. "Study of the Material Removal Mechanism and Surface Damage in Laser-Assisted Milling of CF/PEEK" Materials 18, no. 4: 791. https://doi.org/10.3390/ma18040791
APA StyleWang, Q., Wang, M., Fu, L., Xiao, K., & Wang, X. (2025). Study of the Material Removal Mechanism and Surface Damage in Laser-Assisted Milling of CF/PEEK. Materials, 18(4), 791. https://doi.org/10.3390/ma18040791
