Titanium Oxide Formation in TiCoCrFeMn High-Entropy Alloys
Abstract
1. Introduction
2. Materials and Methods
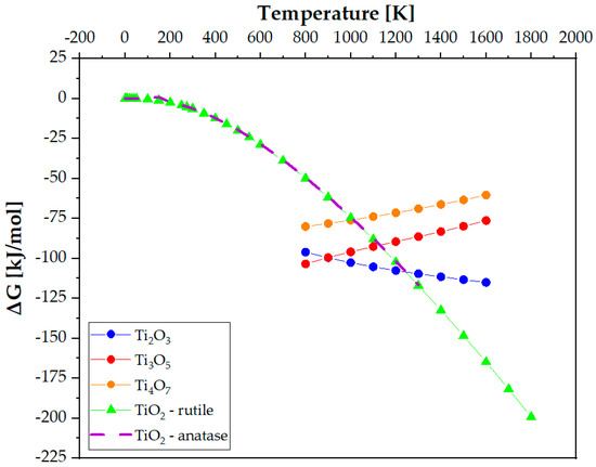
2.1. Analysis of Oxide Properties and Their Selection as Strengthening Additives for the HEA Matrix
2.2. Production of High-Entropy ODS Alloys
3. Results
- -
- CI < 0.1 means a low degree of matching of lines to cards and a small fraction of correctly indicated points;
- -
- CI = 0.1 is the accepted threshold of acceptability of phase matching (recognition).
4. Conclusions
- In the produced TiCoCrFeMn alloys with additives of at. 5% CuO and at. 5% TiO2, a significant share of oxide precipitates was observed, which coagulated and grew as a function of homogenization time. The analysis showed an increase in the share of oxides up to 100 h of homogenization, and a decrease in their share from 100 to 1000 h.
- TiO2 oxides formed during the process as a result of the reconstruction of the CuO oxide introduced in situ are more coherent with the matrix components and grow more slowly than TiO2 introduced ex situ.
- Attempts were made to identify the oxides using X-ray phase analysis, which, unfortunately, did not clearly confirm the presence of TiO2 in the form of rutile/anatase, CuO, or even common oxides with negative Gibbs energy values, such as Ti2O3 or Ti3O5. However, EDS analysis was used at the stage of microscopic observations, which only allowed for the identification of titanium oxides without the possibility of determining their exact allotropic form. In the alloy with the addition of 5% CuO, the presence of pure Cu was determined near titanium oxides, confirming the reduction of CuO to Cu and TiO2.
- Due to the above problem, it was decided to use the EBSD methodology to try to identify the exact allotropic forms of oxides. Based on samples heated for 1000 h (containing oxides of the largest sizes), it was determined that the best match corresponded to a configuration of 24% anatase and 9% Ti2O3 in the HCP matrix. The presence of rod-shaped Ti2O3 oxides and a high proportion of anatase was observed in the absence of the expected rutile. However, the literature analysis explains the lack of rutile and the formation of anatase in the presence of Ti.
- Additional analysis confirmed the highest share of anatase and Ti2O3, especially in the alloy with the addition of CuO, in which this oxide was transformed into titanium oxide through an exothermic reaction, releasing additional energy.
Author Contributions
Funding
Institutional Review Board Statement
Informed Consent Statement
Data Availability Statement
Conflicts of Interest
References
- Available online: https://en.wikipedia.org/wiki/oxide_dispersion-strengthened_alloy (accessed on 16 October 2024).
- Oono, N.; Ukai, S.; Kondo, S.; Hashitomi, O.; Kimura, A. Irradiation effects in oxide dispersion strengthened (ODS) Ni-base alloys for Gen. IV nuclear reactors. J. Nucl. Mater. 2015, 465, 835–839. [Google Scholar] [CrossRef]
- Sivasankaran, S.; Sherif, E.-S.M.; Ammar, H.R.; Alaboodi, A.S.; Mekky, A.-B.H. Influence of Oxide Dispersions (Al2O3, TiO2, and Y2O3) in CrFeCuMnNi High-Entropy Alloy on Microstructural Changes and Corrosion Resistance. Crystals 2023, 13, 605. [Google Scholar] [CrossRef]
- Paul, B.K.; Lee, K.; He, Y.; Ghayoor, M.; Chang, C.; Pasebani, S. Oxide dispersion strengthened 304L stainless steel produced by ink jetting and laser powder bed fusion. CIRP Ann. 2020, 69, 193–196. [Google Scholar] [CrossRef]
- Karnesky, R.A.; Meng, L.; Dunand, D.C. Strengthening mechanisms in aluminum containing coherent Al3Sc precipitates and incoherent Al2O3 dispersoids. Acta Mater. 2007, 55, 1299–1308. [Google Scholar] [CrossRef]
- Hirata, A.; Fujita, T.; Wen, Y.; Schneibel, J.; Liu, C.T.; Chen, M. Atomic structure of nanoclusters in oxide-dispersion-strengthened steels. Nat. Mater. 2011, 10, 922–926. [Google Scholar] [CrossRef]
- Available online: https://dunand.northwestern.edu/oxidedispersion.shtml (accessed on 16 October 2024).
- Kenel, C.; Dawson, K.; Barras, J.; Hauser, C.; Dasargyri, G.; Bauer, T.; Colella, A.; Spierings, A.B.; Tatlock, G.J.; Leinenbach, C.; et al. Microstructure and oxide particle stability in a novel ODS γ-TiAl alloy processed by spark plasma sintering and laser additive manufacturing. Intermetallics 2017, 90, 63–73. [Google Scholar] [CrossRef]
- Farhat, H. Materials and coating technologies. In Operation, Maintenance, and Repair of Land-Based Gas Turbines, 1st ed.; Elsevier: Amsterdam, The Netherlands, 2021; pp. 63–87. [Google Scholar]
- Chung, S.; Ryu, H. Status of Oxide Dispersion Strengthened High Entropy Alloys Development. In Proceedings of the Transactions of the Korean Nuclear Society Spring Meeting, Jeju, Republic of Korea, 18–19 May 2017; pp. 1–3. [Google Scholar]
- Klueh, R.L.; Shingledecker, J.P.; Swindeman, R.W.; Hoelzer, D.T. Oxide dispersion-strengthened steels: A comparison of some commercial and experimental alloys. J. Nucl. Mater. 2005, 341, 103–114. [Google Scholar] [CrossRef]
- Ukai, S.; Ohtsuka, S. Oxide dispersion-strengthened/ferrite-martensite steels as core materials for Generation IV nuclear reactors. In Materials for Generation IV Nuclear Reactors, 1st ed.; Yvon, P., Ed.; Woodhead Publishing: Sawston, UK, 2017; pp. 357–414. [Google Scholar]
- Samaras, M. Nuclear Energy Systems: Advanced Alloys and Cladding. In Encyclopedia of Materials: Science and Technology, 2nd ed.; Bushow, K.H.J., Cahn, R.W., Flemings, M.C., Ilschner, B., Kramer, E.J., Mahajan, S., Veyssière, P., Eds.; Pergamon: Bergama, Turkey, 2011; pp. 1–7. [Google Scholar]
- Henry, J.; Maloy, S.A. Irradiation-resistant ferritic and martensitic steels as core materials for Generation IV nuclear reactors. In Structural Materials for Generation IV Nuclear Reactors, 1st ed.; Yvon, P., Ed.; Woodhead Publishing: Sawston, UK, 2017; pp. 329–355. [Google Scholar]
- Hadraba, H.; Chlup, Z.; Dlouhy, A.; Dobes, F.; Roupcova, P.; Vilemova, M.; Matejicek, J. Oxide dispersion strengthened CoCrFeNiMn high-entropy alloy. Mater. Sci. Eng. A 2017, 689, 252–256. [Google Scholar] [CrossRef]
- Gwalani, B.; Pohan, M.; Waseem, O.A.; Alam, T.; Hong, S.H.; Ryu, H.J.; Banerjee, R. Strengthening of Al0.3CoCrFeMnNi-based ODS high entropy alloys with incremental changes in the concentration of Y2O3. Scr. Mater. 2019, 162, 477–481. [Google Scholar] [CrossRef]
- Smith, T.M.; Thompson, A.C.; Gabb, T.P.; Rogers, R.B.; Kulis, M.J. Tacina, Microstructural and Mechanical Characterization of a Dispersion Strengthened Medium Entropy Alloy Produced Using Selective Laser Melting. In Proceedings of the World Congress on High Entropy Alloys 2019, Seattle, WA, USA, 17–20 November 2019. [Google Scholar]
- Kulikowski, K. Badanie Żaroodporności Stopu Tytanu Ti6Al4V z Wytworzonymi Warstwami z faz Międzymetalicznych z Układu Ti-Al. Master’s Thesis, Warsaw University of Technology, Warsaw, Poland, 2010. [Google Scholar]
- Król, S. Mechanizm i Kinetyka Utleniania Tytanu oraz Wybranych Stopów Tytanu; Wydawnictwo Wyższej Szkoły Inżynierskiej: Opole, Poland, 1994. [Google Scholar]
- Valeeva, A.A.; Nazarova, S.Z.; Schrottner, H.; Gerasimov, E.Y.; Rempel, A.A. Effects of high mechanical treatment and longterm annealing on crystal structure and thermal stability of Ti2O3 nanocrystals. R. Soc. Chem. 2020, 10, 25717–25720. [Google Scholar]
- Ramanavicius, S.; Ramanavicius, A. Insights in the Application of Stoichiometric and Non-Stoichiometric Titanium Oxides for the Design of Sensors for the Determination of Gases and VOCs (TiO2−x and TinO2n−1 vs. TiO2). Sensors 2010, 97, 6833. [Google Scholar] [CrossRef] [PubMed]
- Gorniewicz, D.; Przygucki, H.; Kopec, M.; Karczewski, K.; Jóźwiak, S. TiCoCrFeMn (BCC + C14) High-Entropy Alloy Multiphase Structure Analysis Based on the Theory of Molecular Orbitals. Materials 2021, 14, 5285. [Google Scholar] [CrossRef]
- Gorniewicz, D.; Karczewski, K.; Bojar, Z.; Jóźwiak, S. Structural Stability of Titanium-Based High-Entropy Alloys Assessed Based on Changes in Grain Size and Hardness. Materials 2023, 16, 7361. [Google Scholar] [CrossRef] [PubMed]
- Available online: https://www.doitpoms.ac.uk/tlplib/ellingham_diagrams/printall.php (accessed on 24 October 2024).
- Available online: https://en.wikipedia.org/wiki/ellingham_diagram (accessed on 24 October 2024).
- Available online: https://web.mit.edu/2.813/www/readings/ellingham_diagrams.pdf (accessed on 24 October 2024).
- Przygucki, H.W. Próby Umocnienia Dyspersyjnymi Cząstkami Tlenków Stopów o Wysokiej Entropii Wytwarzanych za Pomocą Metalurgii Proszków. Master’s Thesis, Military University of Technology, Warsaw, Poland, 2021. [Google Scholar]
- Yi, F.; DeLisio, J.B.; Nguyen, N.; Zachariah, M.R.; LaVan, D.A. High heating rate decomposition dynamics of copper oxide by nanocalorimetry-coupled time-of-flight mass spectrometry. Chem. Phys. Lett. 2017, 689, 26–29. [Google Scholar] [CrossRef]
- Hanaor, D.; Sorrell, C.C. Review od the anatase to rutile phase transformation. J. Mater. Sci. 2011, 46, 855–874. [Google Scholar] [CrossRef]
- Smith, S.J.; Stevens, R.; Shengfeng, L.; Li, G.; Navrotsky, A.; Boerio-Goates, J.; Woodfield, B.F. Heat capacities and thermodynamic functions of TiO2 anatase and rutile: Analysis of phase stability. Am. Mineral. 2009, 94, 236–243. [Google Scholar] [CrossRef]
- Navrotsky, A.; Kleppa, O.J. Enthalpy of the Anatase-Rutile Transformation. J. Am. Ceram. Soc. 1967, 50, 626. [Google Scholar] [CrossRef]
- Jayashree, S.; Ashokkumar, M. Switchable Intrinsic Defect Chemistry of Titania for Catalytic Applications. Catalysts 2018, 8, 601. [Google Scholar] [CrossRef]
- Available online: https://genicore.eu/ (accessed on 24 October 2024).
- Chang, H.L.; Liang, M.S. Oxygen vacancy estimation of high k metal gate using thermal dynamic model. Appl. Phys. Lett. 2010, 97, 041912. [Google Scholar] [CrossRef]
- Wierzbicka, E.; Domaschke, M.; Denisov, N.; Fehn, D.; Hwang, I.; Kaufmann, M.; Kunstmann, B.; Schmidt, J.; Meyer, K.; Peukert, W.; et al. Magneli Phases Doped with Pt for Photocatalytic Hydrogen Evolution. ACS Appl. Energy Mater. 2019, 2, 8399–8404. [Google Scholar] [CrossRef]













Disclaimer/Publisher’s Note: The statements, opinions and data contained in all publications are solely those of the individual author(s) and contributor(s) and not of MDPI and/or the editor(s). MDPI and/or the editor(s) disclaim responsibility for any injury to people or property resulting from any ideas, methods, instructions or products referred to in the content. |
© 2025 by the authors. Licensee MDPI, Basel, Switzerland. This article is an open access article distributed under the terms and conditions of the Creative Commons Attribution (CC BY) license (https://creativecommons.org/licenses/by/4.0/).
Share and Cite
Przygucka, D.; Polkowska, A.; Polkowski, W.; Karczewski, K.; Jóźwiak, S. Titanium Oxide Formation in TiCoCrFeMn High-Entropy Alloys. Materials 2025, 18, 412. https://doi.org/10.3390/ma18020412
Przygucka D, Polkowska A, Polkowski W, Karczewski K, Jóźwiak S. Titanium Oxide Formation in TiCoCrFeMn High-Entropy Alloys. Materials. 2025; 18(2):412. https://doi.org/10.3390/ma18020412
Chicago/Turabian StylePrzygucka, Dominika, Adelajda Polkowska, Wojciech Polkowski, Krzysztof Karczewski, and Stanisław Jóźwiak. 2025. "Titanium Oxide Formation in TiCoCrFeMn High-Entropy Alloys" Materials 18, no. 2: 412. https://doi.org/10.3390/ma18020412
APA StylePrzygucka, D., Polkowska, A., Polkowski, W., Karczewski, K., & Jóźwiak, S. (2025). Titanium Oxide Formation in TiCoCrFeMn High-Entropy Alloys. Materials, 18(2), 412. https://doi.org/10.3390/ma18020412

