Precision of Fungal Resistance Test Method for Cereal Husk-Reinforced Composite Construction Profiles Considering Mycelium Removal Techniques
Abstract
1. Introduction
2. Materials and Methods
2.1. Samples
2.2. Exposition to Fungi
2.3. Microstructure Analysis
2.4. Flexural Properties Test
2.5. Statistical Analysis Methods
- The repeatability variance, sr2, is calculated for all properties Y according to Equation (4).
- The between-researcher variance, sL2, is calculated for all properties Y according to Equation (5).
- The within-laboratory reproducibility variance, sR2, is calculated for all properties Y according to Equation (9).
3. Results and Discussion
3.1. Surface Assessment
3.2. Flexural Properties
3.3. Statistical Analyses
3.3.1. Metrological Properties of the Test Method
3.3.2. Differences Between the Water- and Brush-Cleaned Samples
| Oat Husk-Reinforced Composite | Millet Husk-Reinforced Composite | ||||
|---|---|---|---|---|---|
| Initial Test Results | Cleaning with Water Jet | Initial Test Results | Cleaning with Water Jet | ||
| Cleaning with water jet | Difference between values of flexural strength, % | −8 | −14 | ||
| Difference between values of modulus, % | −34 | −45 | |||
| Fcrit | 4.26 | 4.26 | |||
| Fstr | 12 | 4.73 | |||
| F mod | 153 | 64 | |||
| Cleaning with soft brush | Mean difference between values of flexural strength, % | −9 | −1.3 | −28 | −16 |
| Mean difference between values of modulus, % | −36 | −3.6 | −57 | −21 | |
| Fcrit | 4.26 | 4.10 | 4.26 | 4.10 | |
| Fstr | 14 | 0.45 | 21 | 7.7 | |
| F mod | 181 | 1.85 | 151 | 9.4 | |
4. Conclusions
Author Contributions
Funding
Institutional Review Board Statement
Informed Consent Statement
Data Availability Statement
Acknowledgments
Conflicts of Interest
References
- BIPM, IEC, IFCC, ILAC, ISO, IUPAC, IUPAP, and OIML. International Vocabulary of Metrology—Basic and General Concepts and Associated Terms (VIM). Joint Committee for Guides in Metrology, JCGM 200:2012. (3rd edition). Available online: https://www.bipm.org/en/doi/10.59161/jcgm200-2012 (accessed on 15 December 2024). [CrossRef]
- The European Co-Operation for Accreditation (EA). EA-4/16 G: 2003 EA Guidelines on the Expression of Uncertainty in Quantitative Testing; The European Co-Operation for Accreditation (EA): Paris, France, 2003. [Google Scholar]
- Simonet, B.M.; Lendl, B.; Valcárcel, M. Method-Defined Parameters: Measurands Sometimes Forgotten. TrAC Trends Anal. Chem. 2006, 25, 520–527. [Google Scholar] [CrossRef]
- Szewczak, E.; Winkler-Skalna, A.; Czarnecki, L. Sustainable Test Methods for Construction Materials and Elements. Materials 2020, 13, 606. [Google Scholar] [CrossRef] [PubMed]
- Szewczak, E. Does Standardisation Ensure a Reliable Assessment of the Performance of Construction Products? Standards 2022, 2, 260–275. [Google Scholar] [CrossRef]
- Stancu, C.; Michalak, J. Interlaboratory Comparison as a Source of Information for the Product Evaluation Process. Case Study of Ceramic Tiles Adhesives. Materials 2022, 15, 253. [Google Scholar] [CrossRef]
- Michalak, J. Standards and Assessment of Construction Products: Case Study of Ceramic Tile Adhesives. Standards 2022, 2, 184–193. [Google Scholar] [CrossRef]
- BIPM, IEC, IFCC, ILAC, ISO, IUPAC, IUPAP, and OIML. Evaluation of Measurement Data—The Role of Measurement Uncertainty in Conformity Assessment. Joint Committee for Guides in Metrology, JCGM 106:2012. Available online: https://www.bipm.org/en/doi/10.59161/JCGM106-2012 (accessed on 15 December 2024). [CrossRef]
- Schabowicz, K. Testing of Materials and Elements in Civil Engineering. Materials 2021, 14, 3412. [Google Scholar] [CrossRef] [PubMed]
- Walker, W.E.; Harremoës, P.; Rotmans, J.; van der Sluijs, J.P.; van Asselt, M.B.A.; Janssen, P.; Krayer von Krauss, M.P. Defining Uncertainty: A Conceptual Basis for Uncertainty Management in Model-Based Decision Support. Integr. Assess. 2003, 4, 5–17. [Google Scholar] [CrossRef]
- Vercher, J.; Fombuena, V.; Diaz, A.; Soriano, M. Influence of fibre and matrix characteristics on properties and durability of wood–plastic composites in outdoor applications. J. Thermoplast. Compos. Mater. 2020, 33, 477–500. [Google Scholar] [CrossRef]
- Friedrich, D.; Luible, A. Investigations on ageing of wood-plastic composites for outdoor applications: A meta-analysis using empiric data derived from diverse weathering trials. Constr. Build. Mater. 2016, 124, 1142–1152. [Google Scholar] [CrossRef]
- Stark, N.M.; Matuana, L.M. Ultraviolet weathering of photostabilised wood-flour-filled high-density polyethylene composites. J. Appl. Polym. Sci. 2003, 90, 2609–2617. [Google Scholar] [CrossRef]
- Sudoł, E.; Kozikowska, E.; Choińska, E. The Utility of Recycled Rice Husk-Reinforced PVC Composite Profiles for Façade Cladding. Materials 2022, 15, 3418. [Google Scholar] [CrossRef] [PubMed]
- Qin, J.; Jiang, J.; Tao, Y.; Zhao, S.; Zeng, W.; Shi, Y.; Xiao, M. Sunlight tracking and concentrating accelerated weathering test applied in weatherability evaluation and service life prediction of polymeric materials: A review. Polym. Test. 2021, 93, 106940. [Google Scholar] [CrossRef]
- Pilarski, J.M.; Matuana, L.M. Durability of wood flour-plastic composites exposed to accelerated freeze-thaw cycling. Part I. Rigid PVC Matrix. J. Vinyl Addit. Technol. 2005, 11, 1–8. [Google Scholar] [CrossRef]
- Sethi, S.; Ray, B.C. Environmental effects on fibre reinforced polymeric composites: Evolving reasons and remarks on interfacial strength and stability. Adv. Colloid Interface Sci. 2015, 217, 43–67. [Google Scholar] [CrossRef]
- Ladaci, N.; Saadia, A.; Belaadi, A.; Boumaaza, M.; Chai, B.X.; Abdullah MM, S.; Al-Khawlanif, A.; Ghernaout, D. ANN and RSM Prediction of Water Uptake of Recycled HDPE Biocomposite Reinforced with Treated Palm Waste W. filifera. J. Nat. Fibers 2024, 21, 2356697. [Google Scholar] [CrossRef]
- Barton-Pudlik, J.; Czaja, K.; Grzymek, M.; Lipok, J. Evaluation of wood-polyethylene composites biodegradability caused by filamentous fungi. Int. Biodeterior. Biodegrad. 2017, 118, 10–18. [Google Scholar] [CrossRef]
- Altuntas, E.; Yilmaz, E.; Salan, T.; Alma, M.H. Biodegradation properties of wood-plastic composites containing high content of lignocellulosic filler and zinc borate exposed to two different brown-rot fungi. BioResources 2017, 12, 7161–7177. [Google Scholar] [CrossRef]
- Xu, K.; Feng, J.; Zhong, T.; Zheng, Z.; Chen, T. Effects of volatile chemical components of wood species on mould growth susceptibility and termite attack resistance of wood plastic composites. Int. Biodeterior. Biodegrad. 2015, 100, 106–115. [Google Scholar] [CrossRef]
- Hosseinaei, O.; Wang, S.; Taylor, A.M.; Kim, J.W. Effect of hemicellulose extraction on water absorption and mold susceptibility of wood-plastic composites. Int. Biodeterior. Biodegrad. 2012, 71, 29–35. [Google Scholar] [CrossRef]
- Yap, S.Y.; Sreekantan, S.; Hassan, M.; Sudesh, K.; Ong, M.T. Characterization and Biodegradability of Rice Husk-Filled Polymer Composites. Polymers 2021, 13, 104. [Google Scholar] [CrossRef]
- Rajak, D.K.; Pagar, D.D.; Menezes, P.L.; Linul, E. Fiber-Reinforced Polymer Composites: Manufacturing, Properties, and Applications. Polymers 2019, 11, 1667. [Google Scholar] [CrossRef] [PubMed]
- Fabiyi, J.S.; McDonald, A.G.; Morrell, J.J.; Freitag, C. Effects of wood species on durability and chemical changes of fungal decayed wood plastic composites. Compos. Part A Appl. Sci. Manuf. 2011, 42, 501–510. [Google Scholar] [CrossRef]
- Catto, A.L.; Rosseto, E.S.; Reck, M.A.; Rossini, K.; da Silveira RM, B.; Santana RM, C. Growth of white rot fungi in composites produced from urban plastic waste and wood. Macromol. Symp. 2014, 344, 33–38. [Google Scholar] [CrossRef]
- Camarero, S.; Martínez, M.J.; Martínez, A.T. Understanding lignin biodegradation for the improved utilization of plant biomass in modern biorefineries. Biofuels Bioprod. Biorefining 2014, 8, 615–625. [Google Scholar] [CrossRef]
- Catto, A.L.; Montagna, L.S.; Almeida, S.H.; Silveira, R.M.; Santana, R.M. Wood plastic composites weathering: Effects of compatibilization on biodegradation in soil and fungal decay. Int. Biodeterior. Biodegrad. 2016, 109, 11–22. [Google Scholar] [CrossRef]
- Mankowski, M.; Morrell, J.J. Patterns of fungal attack in wood-plastic composites following exposure in a soil block test. Wood Fiber Sci. 2000, 32, 340–345. Available online: https://ir.library.oregonstate.edu/concern/articles/fn106z43g (accessed on 8 November 2024).
- Ashori, A.; Behzad, H.M.; Tatmain, A. Effects of chemical preservative treatments on durability of wood flour/HDPE composites. Compos. Part B 2013, 47, 308–313. [Google Scholar] [CrossRef]
- Naumann, A.; Seefeldt, H.; Stephan, I.; Braun, U.; Noll, M. Material resistance of flame retarded wood-plastic composites against fire and fungal decay. Polym. Degrad. Stab. 2012, 97, 1189–1196. [Google Scholar] [CrossRef]
- ENV 12038:2022; Durability of Wood and Wood-Based Products. Wood based panels. Method of Test for Determining the Resistance Against Wood-Destroying Basidiomycetes. European Committee for Standardization (CEN): Brussels, Belgium, 2002.
- EN 15534-1:2017; Composites Made from Cellulose-Based Materials and Thermoplastics (Usually Called Wood-Polymer Composites (WPC) or Natural Fibre Composites (NFC)). Part 1: Test Methods for Characterisation of Compounds and Products. European Committee for Standardization (CEN): Brussels, Belgium, 2017.
- ISO 178:2019; Plastics. Determination of Flexural Properties. International Organization for Standardization ISO: Geneva, Switzerland, 2019.
- Sudoł, E.; Kozikowska, E.; Szewczak, E. Artificial Weathering Resistance Test Methods for Building Performance Assessment of Profiles Made of Natural Fibre-Reinforced Polymer Composites. Materials 2022, 15, 296. [Google Scholar] [CrossRef]
- ISO 5725-2:2019; Accuracy (Trueness and Precision) of Measurement Methods and Results. Part 2: Basic Method for the Determination of Repeatability and Reproducibility of a Standard Measurement Method. International Organization for Standardization ISO: Geneva, Switzerland, 2019.
- Prasad, A.; Rao, K. Mechanical properties of natural fibre reinforced polyester composites: Jowar, sisal and bamboo. Mater. Design 2011, 32, 4658–4663. [Google Scholar] [CrossRef]
- Stark, N.M.; Matuana, L.M.; Clemons, C.M. Effect of processing method on surface and weathering characteristics of wood-flour/HDPE composites. J. Appl. Polym. Sci. 2004, 93, 1021–1030. [Google Scholar] [CrossRef]







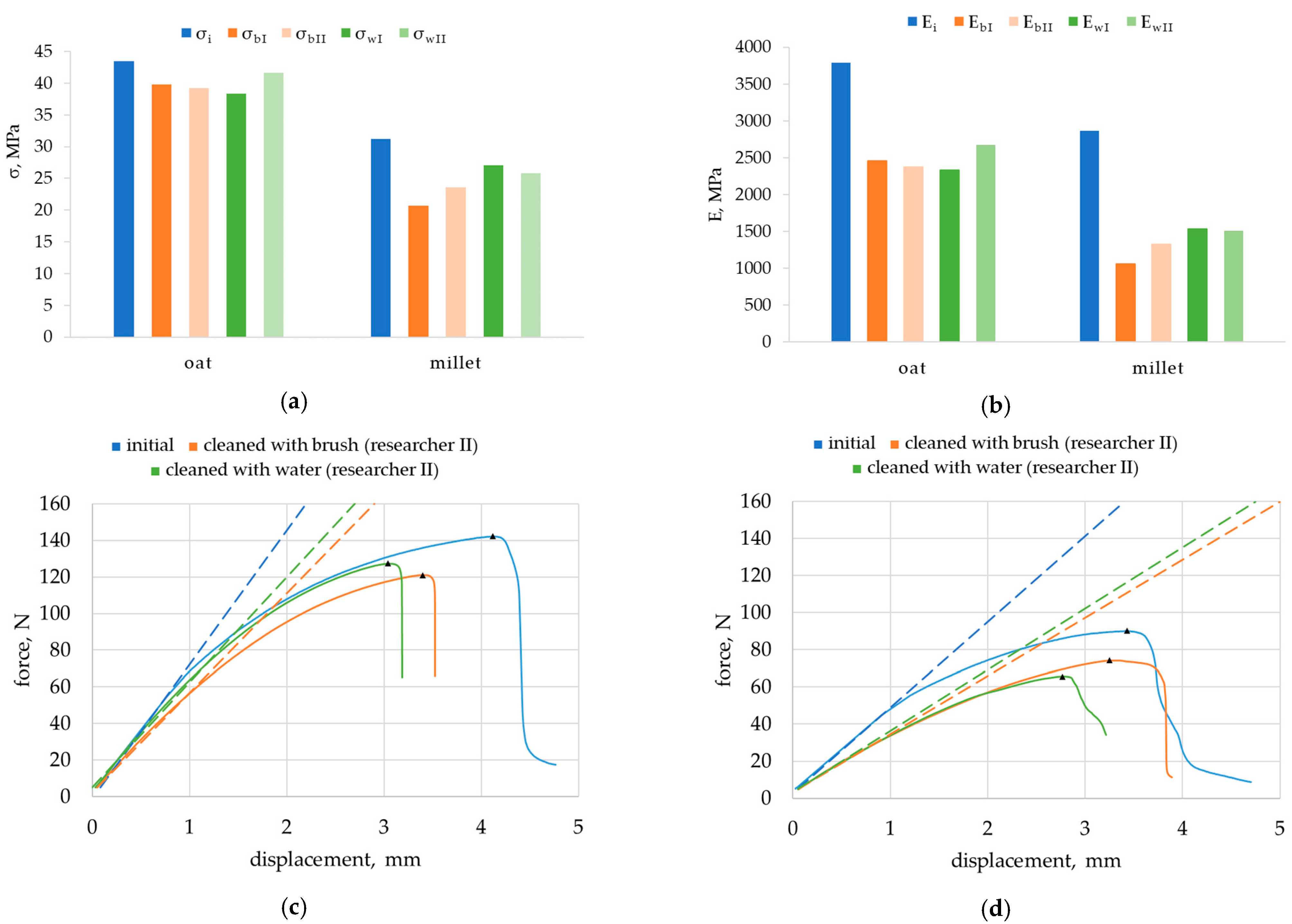
maximum force, the dotted line shows the tangent.
maximum force, the dotted line shows the tangent.

| Series Name | Matrix | Mineral Filler | Cereal Husk Filler | Other |
|---|---|---|---|---|
| M | PVC (100 phr) | CaCO3 (50 phr) | pulverised millet husks (30 phr) | impact modifiers (4.5 phr) flow modifiers (1 phr) stabiliser (4.5 phr) wax (2 phr) |
| O | pulverised oat husks (30 phr) |
| Properties | State of samples | ||||
| Initial | After exposure to fungi | ||||
| mycelium removal method | |||||
| soft brush | water jet | ||||
| researcher | |||||
| I | II | I | II | ||
| Flexural strength | σi | σbI | σbII | σwI | σwII |
| Modulus of elasticity | Ei | EbI | EbII | EwI | EwII |
| Composite | Water Jet Cleaning | Soft Brush Cleaning | Water Jet Cleaning | Soft Brush Cleaning |
|---|---|---|---|---|
| , % | , % | , % | , % | |
| Oat husk-reinforced | 5.4 | 1.8 | 9.5 | 1.2 |
| Millet husk-reinforced | 5.1 | 6.6 | 8.0 | 14.4 |
Disclaimer/Publisher’s Note: The statements, opinions and data contained in all publications are solely those of the individual author(s) and contributor(s) and not of MDPI and/or the editor(s). MDPI and/or the editor(s) disclaim responsibility for any injury to people or property resulting from any ideas, methods, instructions or products referred to in the content. |
© 2025 by the authors. Licensee MDPI, Basel, Switzerland. This article is an open access article distributed under the terms and conditions of the Creative Commons Attribution (CC BY) license (https://creativecommons.org/licenses/by/4.0/).
Share and Cite
Sudoł, E.; Szewczak, E.; Goron, M.; Kozikowska, E. Precision of Fungal Resistance Test Method for Cereal Husk-Reinforced Composite Construction Profiles Considering Mycelium Removal Techniques. Materials 2025, 18, 411. https://doi.org/10.3390/ma18020411
Sudoł E, Szewczak E, Goron M, Kozikowska E. Precision of Fungal Resistance Test Method for Cereal Husk-Reinforced Composite Construction Profiles Considering Mycelium Removal Techniques. Materials. 2025; 18(2):411. https://doi.org/10.3390/ma18020411
Chicago/Turabian StyleSudoł, Ewa, Ewa Szewczak, Mariia Goron, and Ewelina Kozikowska. 2025. "Precision of Fungal Resistance Test Method for Cereal Husk-Reinforced Composite Construction Profiles Considering Mycelium Removal Techniques" Materials 18, no. 2: 411. https://doi.org/10.3390/ma18020411
APA StyleSudoł, E., Szewczak, E., Goron, M., & Kozikowska, E. (2025). Precision of Fungal Resistance Test Method for Cereal Husk-Reinforced Composite Construction Profiles Considering Mycelium Removal Techniques. Materials, 18(2), 411. https://doi.org/10.3390/ma18020411

