Corrosion and Mechanical Properties of Q500 qENH Steel in Simulated Plateau Environment
Abstract
1. Introduction
2. Experimental Study on Accelerated Corrosion Testing of Weathering Steel Specimens in Laboratory
2.1. Design and Parameters of Corrosion Specimens
2.2. Grouping of Corrosion Specimens
2.3. Test Methods
2.3.1. Corrosion Testing Equipment and Simulation
2.3.2. Tensile Test
3. Parameter Analysis of Weathering Steel After Corrosion
3.1. Analysis and Comparison of Specimen State After Corrosion
3.1.1. Macroscopic Corrosion Morphology
3.1.2. Stage Corrosion Characteristics
3.1.3. Microstructural Corrosion Morphology
3.2. Comparison of Parameters After Corrosion
3.3. Corrosion Kinetics
3.4. Corrosion Equivalent Conversion
4. Mechanical Properties Test Results
4.1. Fracture Morphology and Failure Mechanism
4.1.1. Tensile Fracture Analysis of Base Metal Specimen
4.1.2. Tensile Fracture Analysis of Welded Joint Specimen
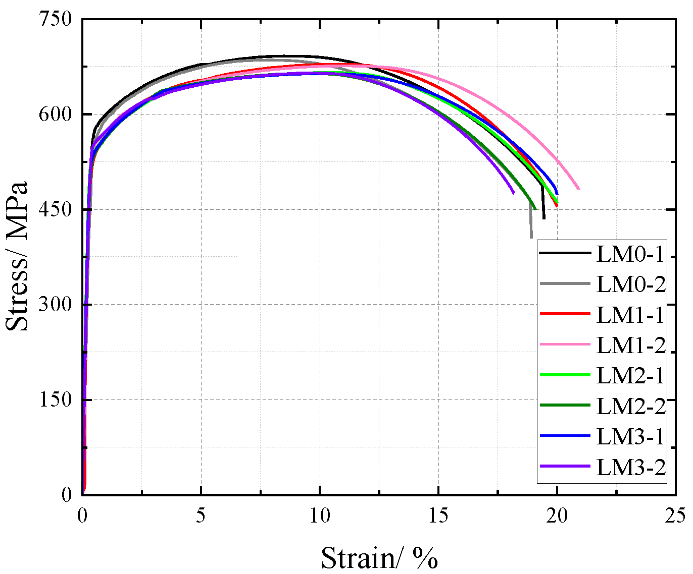
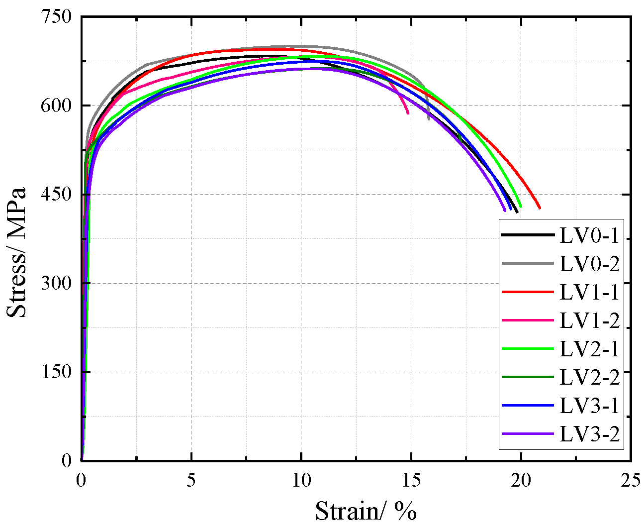
4.2. Nominal Stress-Strain Analysis
4.2.1. Nominal Stress–Strain Analysis of Base Metal Specimen
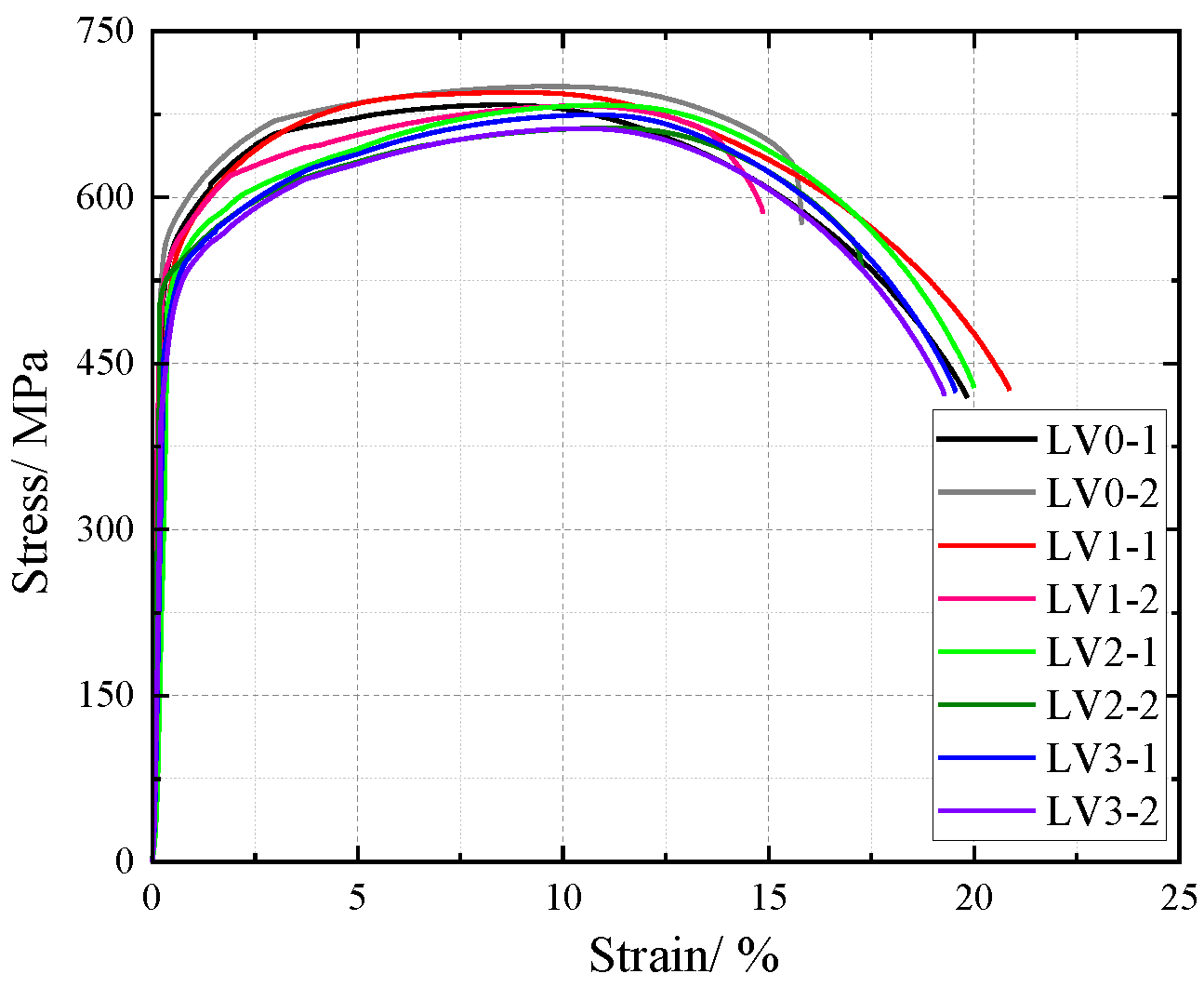
4.2.2. Nominal Stress-Strain Analysis of Welded Joint Specimen
5. Effect of Corrosion on Tensile Mechanical Properties of Specimens
Analysis of Yield Strength and Tensile Strength of Specimens
6. Conclusions
- (1)
- With prolonged corrosion exposure, the number of surface pitting pits on the specimens progressively increased. Macroscopic corrosion morphology analysis revealed that the rust layer evolved from yellowish-brown with black corrosion products to granular iron oxides, followed by progressive thickening and eventual spalling. By 18 days of corrosion, the rust layer had become exposed across most specimen surfaces, with the inner rust layer exhibiting significantly enhanced densification. Consequently, the corrosion rate stabilized.
- (2)
- The corrosion process can be divided into two distinct stages: a rapid corrosion stage (before 18 days), and a slow corrosion stage (after 18 days). For both types of welded joint specimens, the corrosion rates were consistently higher than those of the base metal specimens under identical corrosion durations. Moreover, the difference in corrosion rates between the base metal and welded joint specimens initially increased, subsequently decreased, and eventually stabilized over time.
- (3)
- Regression analysis revealed that the corrosion kinetics of the steel specimens followed a power–law relationship (D = Atn), with the corrosion depth of all three specimen types exhibiting good fitting accuracy to this model. The derived power–law relationship was consistent with the observed trends in both corrosion rate and degradation rate. The equivalent conversion between periodic immersion corrosion tests and natural atmospheric corrosion in polluted environments was established. The results demonstrate that the 27-day accelerated corrosion test significantly exceeded the 30-year corrosion threshold under natural atmospheric pollution conditions in plateau regions. This conclusively validates the superior service life of Q500 qENH weathering steel in such environments.
- (4)
- After 27 days of corrosion, partial fracture surfaces of V-type welded joint specimens appeared at the weld toe, exhibiting brittle fracture characteristics. The remaining specimens demonstrated ductile fracture behavior. The material heterogeneity in both V-type and Y-type welds showed no significant influence on the microstructural morphology of weathering steel specimens, nor did it alter their fracture modes.
- (5)
- With prolonged corrosion exposure, all weathering steel specimens exhibited a progressive degradation in yield strength, yield load, tensile strength, and ultimate load, with gradually decreasing degradation rates. After 27 days of corrosion, the base metal specimens, V-type, and Y-type welded joint specimens showed yield strength reductions of 3.33%, 3.93%, and 4.17%, respectively. The material inhomogeneity in weld zones was found to adversely affect the corrosion resistance of weathering steel specimens. However, due to the presence of the weld metal alloy, the welded joint specimens exhibit higher strength than the base metal specimens.
Author Contributions
Funding
Institutional Review Board Statement
Informed Consent Statement
Data Availability Statement
Conflicts of Interest
References
- Chen, Y.Y.; Tzeng, H.J.; Wei, L.I.; Wang, L.H.; Oung, J.C.; Shih, H.C. Corrosion Resistance and Mechanical Properties of Low-Alloy Steels under Atmospheric Conditions. Corros. Sci. 2005, 47, 1001–1021. [Google Scholar] [CrossRef]
- Li, Q.X.; Wang, Z.Y.; Han, W.; Han, E.H. Characterization of the Rust Formed on Weathering Steel Exposed to Qinghai Salt Lake Atmosphere. Corros. Sci. 2008, 50, 365–371. [Google Scholar] [CrossRef]
- Asami, K.; Kikuchi, M. Characterization of rust layers on weathering steels air-exposed for a long period. Mater. Trans. 2002, 43, 2818–2825. [Google Scholar] [CrossRef]
- Morcillo, M.; Díaz, I.; Cano, H.; Chico, B.; de la Fuente, D. Atmospheric Corrosion of Weathering Steels. Overview for Engineers. Part II: Testing, Inspection, Maintenance. Constr. Build. Mater. 2019, 222, 750–765. [Google Scholar] [CrossRef]
- Morcillo, M.; Díaz, I.; Chico, B.; Cano, H.; de la Fuente, D. Weathering Steels: From Empirical Development to Scientific Design. A Review. Corros. Sci. 2014, 83, 6–31. [Google Scholar] [CrossRef]
- Cano, H.; Neff, D.; Morcillo, M.; Dillmann, P.; Diaz, I.; de la Fuente, D. Characterization of Corrosion Products Formed on Ni 2.4 Wt%–Cu 0.5 Wt%–Cr 0.5 Wt% Weathering Steel Exposed in Marine Atmospheres. Corros. Sci. 2014, 87, 438–451. [Google Scholar] [CrossRef]
- Kimura, M.; Kihira, H.; Ohta, N.; Hashimoto, M.; Senuma, T. Control of Fe(O,OH)6 Nano-Network Structures of Rust for High Atmospheric-Corrosion Resistance. Corros. Sci. 2005, 47, 2499–2509. [Google Scholar] [CrossRef]
- Zhang, W.; Yang, S.; Geng, W.-T.; Hu, Q.; Zhou, L. Corrosion Behavior of the Low Alloy Weathering Steels Coupled with Stainless Steel in Simulated Open Atmosphere. Mater. Chem. Phys. 2022, 288, 126409. [Google Scholar] [CrossRef]
- Lehner, P.; Kubzová, M.; Křivý, V.; Konečný, P.; Bujdoš, D.; Rovnaníková, P. Correlation between Surface Concentration of Chloride Ions and Chloride Deposition Rate in Concrete. Constr. Build. Mater. 2022, 320, 126183. [Google Scholar] [CrossRef]
- Santa, A.C.; Tamayo, J.A.; Correa, C.D.; Gómez, M.A.; Castaño, J.G.; Baena, L.M. Atmospheric Corrosion Maps as a Tool for Designing and Maintaining Building Materials: A Review. Heliyon 2022, 8, e10438. [Google Scholar] [CrossRef]
- Cano, H.; Díaz, I.; de la Fuente, D.; Chico, B.; Morcillo, M. Effect of Cu, Cr and Ni alloying elements on mechanical properties and atmospheric corrosion resistance of weathering steels in marine atmospheres of different aggressivities. Mater. Corros. 2018, 69, 8–19. [Google Scholar] [CrossRef]
- Cheng, X.; Jin, Z.; Liu, M.; Li, X. Optimizing the Nickel Content in Weathering Steels to Enhance Their Corrosion Resistance in Acidic Atmospheres. Corros. Sci. 2017, 115, 135–142. [Google Scholar] [CrossRef]
- Qian, Y.; Ma, C.; Niu, D.; Xu, J.; Li, M. Influence of Alloyed Chromium on the Atmospheric Corrosion Resistance of Weathering Steels. Corros. Sci. 2013, 74, 424–429. [Google Scholar] [CrossRef]
- Liu, C.; Revilla, R.I.; Liu, Z.; Zhang, D.; Li, X.; Terryn, H. Effect of Inclusions Modified by Rare Earth Elements (Ce, La) on Localized Marine Corrosion in Q460NH Weathering Steel. Corros. Sci. 2017, 129, 82–90. [Google Scholar] [CrossRef]
- Zhang, L.M.; Chao, W.W.; Liu, Z.Y.; Cong, Y.; Wang, Z.Q. Crack propagation characteristics during progressive failure of circular tunnels and the early warning thereof based on multi-sensor data fusion. Geomech. Geophys. Geo-Energy Geo-Resour. 2022, 8, 172. [Google Scholar] [CrossRef]
- Rojhirunsakool, T.; Thublaor, T.; Bidabadi, M.H.; Chandra-ambhorn, S.; Yang, Z.; Gao, G. Corrosion behavior of multiphase bainitic rail steels. Metals 2022, 12, 694. [Google Scholar] [CrossRef]
- Li, Z.Q.; Wei, S.X.; Wang, Y.L.; Zhang, S.H. Initial corrosion behavior of 550NH weathering steel in three typical atmospheric environments. Mater. Prot. 2024, 57, 104–111+117. [Google Scholar]
- Yin, C.H.; Yu, Q.; Liang, L.; Chen, J.H.; Hu, Z.H.; Li, Z.L.; Xiao, K.; Dong, C.F.; Li, X.G. Study on corrosion behavior of weathering steel in typical atmospheric environments in Southwest China. Adv. Mater. High Speed Railw. 2023, 2, 8–16. [Google Scholar]
- Li, W.G.; Xiao, P.; Pan, J.L.; Lin, X.Z. Corrosion behavior of Q420 carbon steel in atmospheric environment of Western Sichuan. Corros. Prot. 2023, 44, 13–17. [Google Scholar]
- Niu, B.; Liu, J.H. Compilation of natural environment spectrum of airport in plateau area. Equip. Environ. Eng. 2023, 20, 122–127. [Google Scholar]
- Zhao, W.; Yu, C.; Wang, Y.X. Evolution law of corrosion product film of Q345qDNH bridge weathering steel in simulated industrial atmospheric environment. Corros. Prot. 2024, 45, 55–61. [Google Scholar]
- Feng, Y. Fatigue performance of weathering steel bridge base material Q345DNH in corrosive environments. Traffic Transp. 2025, 41, 36–39. [Google Scholar]
- Li, Y.L.; Zhang, H.B.; Kuang, S.; Yang, Y.H.; Liu, L.P.; Wang, Y.H. Influence of cooling mode on mechanical properties of weathering steel for container. Heat Treat. Met. 2019, 44, 150–155. [Google Scholar]
- Luo, Y.; An, H.L.; Sun, L.; Zhang, P.; Sun, X.R.; Ren, L.L. Comparative study on properties of weathering steel and Q345B square tube. Hebei Metall. 2017, 5, 8+12. [Google Scholar] [CrossRef]
- Wang, J.; Wang, Z.Y.; Ke, W. Corrosion behavior and mechanical properties of weathering steel expose to Qinghai Salt Lake atmospheric. China Build. Mater. Sci. Technol. 2010, 124, 90–94. [Google Scholar]
- Sharma, B.R.; Kuttippurath, J.; Patel, V.K.; Gopikrishnan, G.S. Regional Sources of NH3, SO2 and CO in the Third Pole. Environ. Res. 2024, 248, 118317. [Google Scholar] [CrossRef]
- Wei, Z.J. The Research on Structure Property and Corrosion Behavior of Q450NQR1 High Strength Anti-Corrosion Steel. Master’s Thesis, Northeastern University, Boston, MA, USA, 2019. [Google Scholar]
- GB/T 16545-2015; Corrosion of Metals and Alloys—Removal of Corrosion Products from Corrosion Test Specimens. Standards Press of China: Beijing, China, 2016.
- Sun, R.; Yu, Q.; Zhang, Y.; Yan, X.; Lu, Y.; Zhang, C.; Wang, Q. Effect of Si content on the corrosion behavior of 420 MPa weathering steel. Metals 2019, 9, 486. [Google Scholar] [CrossRef]
- Zhang, B.Y. Experimental Study on Shear Resistance Capacity of the Corroded Weathering Steel High Strength Bolt Connection. Master’s Thesis, Xi’an University of Architecture and Technology, Xi’an, China, 2022. [Google Scholar]
- Zhang, L.M.; Cong, Y.; Meng, F.Z.; Wang, Z.Q.; Zhang, P.; Gao, S. Energy evolution analysis and failure criteria for rock under different stress paths. Acta Geotech. 2021, 16, 569–580. [Google Scholar] [CrossRef]
- Xing, G.J. Experimental Study on Mechanical Properties of Corrosion-Damaged Weathering Steel Welded Joints. Master’s Thesis, Xi’an University of Architecture and Technology, Xi’an, China, 2024. [Google Scholar]
- Liang, C.F.; Hou, W.T. Atmospheric Corrosion of Carbon Steels and Low-Alloy Steels. Corros. Sci. Prot. Technol. 1995, 7, 183–186. [Google Scholar]
- GB 50661-2011; Code for Welding of Steel Structures. China Architecture & Building Press: Beijing, China, 2012.






















| Chemical Composition/% | C | V | P | Mn | S | Cr | Mo | Ni | Cu | Nb | Si |
|---|---|---|---|---|---|---|---|---|---|---|---|
| Q500 qENH | 0.060 | 0.036 | 0.013 | 1.360 | 0.003 | 0.470 | 0.100 | 0.410 | 0.250 | 0.025 | 0.340 |
| Chemical Composition/% | Si | C | Mn | S | P | Cr | Ni | Mo | Cu |
|---|---|---|---|---|---|---|---|---|---|
| JWER60NHQ | 0.360 | 0.050 | 1.130 | 0.002 | 0.008 | 0.360 | 0.550 | — | 0.340 |
| JWS60NHQ | 0.380 | 0.043 | 1.610 | 0.003 | 0.013 | 0.330 | 0.420 | — | 0.280 |
| Corrosion Cycle /d | Corrosion Specimen | ||
|---|---|---|---|
| \d | Base Metal | V-Type Welded Joints | Y-Type Welded Joints |
| 0 | LM0-1, LM0-2, LM0-3 | LV0-1, LV0-2, LV0-3 | LY0-1, LY0-2, LY0-3 |
| 9 | LM1-1, LM1-2, LM1-3 | LV1-1, LV1-2, LV1-3 | LY1-1, LY1-2, LY1-3 |
| 18 | LM2-1, LM2-2, LM2-3 | LV2-1, LV2-2, LV2-3 | LY2-1, LY2-2, LY2-3 |
| 27 | LM3-1, LM3-2, LM3-3 | LV3-1, LV3-2, LV3-3 | LY3-1, LY3-2, LY3-3 |
| Total/block | 12 | 12 | 12 |
Disclaimer/Publisher’s Note: The statements, opinions and data contained in all publications are solely those of the individual author(s) and contributor(s) and not of MDPI and/or the editor(s). MDPI and/or the editor(s) disclaim responsibility for any injury to people or property resulting from any ideas, methods, instructions or products referred to in the content. |
© 2025 by the authors. Licensee MDPI, Basel, Switzerland. This article is an open access article distributed under the terms and conditions of the Creative Commons Attribution (CC BY) license (https://creativecommons.org/licenses/by/4.0/).
Share and Cite
Liu, Y.; Liu, X.; Lan, T.; Li, Z.; Xing, G.; Song, S. Corrosion and Mechanical Properties of Q500 qENH Steel in Simulated Plateau Environment. Materials 2025, 18, 3923. https://doi.org/10.3390/ma18163923
Liu Y, Liu X, Lan T, Li Z, Xing G, Song S. Corrosion and Mechanical Properties of Q500 qENH Steel in Simulated Plateau Environment. Materials. 2025; 18(16):3923. https://doi.org/10.3390/ma18163923
Chicago/Turabian StyleLiu, Yanchen, Xin Liu, Tao Lan, Zexu Li, Guangjie Xing, and Shuailong Song. 2025. "Corrosion and Mechanical Properties of Q500 qENH Steel in Simulated Plateau Environment" Materials 18, no. 16: 3923. https://doi.org/10.3390/ma18163923
APA StyleLiu, Y., Liu, X., Lan, T., Li, Z., Xing, G., & Song, S. (2025). Corrosion and Mechanical Properties of Q500 qENH Steel in Simulated Plateau Environment. Materials, 18(16), 3923. https://doi.org/10.3390/ma18163923

