Strengthening Mechanism of Char in Thermal Reduction Process of Silicon Dioxide
Abstract
1. Introduction
2. Samples and Experimental
2.1. Raw Materials
2.2. Analytical Methods
2.2.1. Proximate and Ultimate Analysis
2.2.2. Reactivity Testing
2.3. Experimental Apparatus and Procedure
2.4. Characterization Techniques
3. Results and Discussion
3.1. Sample Characterization
3.1.1. Proximate and Ultimate Analysis of Three Types of Char
3.1.2. Reactivity Performance
3.2. Effect of the Different Types of Char on the Reaction
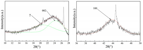
3.3. Microcrystalline Structure Analysis
3.4. Raman Result of Char
3.5. TEM Result of Char
3.6. Surface Area and Porosity
3.7. Analysis of Smelting Results and Products
3.8. Effect of Processing Parameters on Char Reactivity
3.9. The Effect of Additives on the Reaction
3.9.1. Iron Powder Addition
3.9.2. Iron Oxide Addition
3.9.3. Comparative Catalyst Performance
3.10. Effect of Reaction Temperature on Ferrosilicon Smelting Performance
4. Reaction Mechanism
5. Conclusions
Author Contributions
Funding
Institutional Review Board Statement
Informed Consent Statement
Data Availability Statement
Conflicts of Interest
References
- Khan, M.; Yan, S.; Ali, M.; Mahmood, F.; Zheng, Y.; Li, G.; Liu, J.; Song, X.; Wang, Y. Innovative solutions for high-performance silicon anodes in lithium-ion batteries:overcoming challenges and real-world applications. Nano-Micro Lett. 2024, 16, 341–384. [Google Scholar] [CrossRef]
- Jayakumari, S.; Jahrsengene, G.; Ksiazek, M. Investigations on CO2 Reactivity and Thermal Strength of Carbon Sources for Ferroalloy and Silicon Production. In Proceedings of the 62nd Conference of Metallurgists: COM 2023, Toronto, ON, Canada, 21–24 August 2023; pp. 1009–1018. [Google Scholar]
- Strakhov, V.M.; Surovtseva, I.V.; Elkin, D.K. Low-Ash Carbon Reducing Agents for Electrothermal Silicon Production. Coke Chem. 2012, 55, 172–175. [Google Scholar] [CrossRef]
- Zhou, S.C.; Chen, Z.J.; Ma, W.H.; Li, S.; Wei, K.; Wu, J.; Yang, X. Effect of AC as a reductant through the coupling treatment of microwave-assisted and alkali carbonate on silicon production. J. Alloys Compd. Interdiscip. J. Mater. Sci. Solid-State Chem. Phys. 2020, 817, 152737. [Google Scholar] [CrossRef]
- Riva, L.; Surup, G.R.; Buø, T.V.; Nielsen, H.K. A study of densified biochar as carbon source in the silicon and ferrosilicon production. Energy 2019, 181, 985–996. [Google Scholar] [CrossRef]
- Mekhtiev, A.D.; Tolymbekov, M.J.; Kim, A.V. Silicon Production using long flaming coal and improvement of its quality indicators. Metal 2014, 53, 563–566. [Google Scholar]
- Bai, Z.; Qin, B. Effect of Different Reducing Agents on Silicon-Aluminum Alloy Prepared from coal Fly Ash. In Proceedings of the 2019 2nd International Conference on Manufacturing Technology, Materials and Chemical Engineering (MTMCE 2019), Wuhan, China, 14–16 June 2019; School of Chemistry and Material Engineering, Liupanshui Normal University: Liupanshui, China, 2019; pp. 309–313. [Google Scholar]
- Ramos, D.C.; Carneiro, A.C.O.; Tangstad, M.; Pereira, B.L.; Saadieh, R.; Oliveira, A.C.; Vital, B.R. Reactivity assessment of char for use in silicon production. Eur. J. Wood Wood Prod. 2021, 79, 537–546. [Google Scholar] [CrossRef]
- Zhang, L.; Li, T.; Quyn, D.; Dong, L.; Qiu, P.; Li, C.-Z. Structural transformation of nascent char during the fast pyrolysis of mallee wood and low-rank coals. Fuel Process. Technol. 2015, 138, 390–396. [Google Scholar] [CrossRef]
- Li, X.J.; Hayashi, J.I.; Li, C.Z. FT-Raman spectroscopic study of the evolution of char structure during the pyrolysis of a Victorian brown coal. Fuel 2006, 85, 1700–1707. [Google Scholar] [CrossRef]
- Takagi, H.; Maruyama, K.; Yoshizawa, N.; Yamada, Y.; Sato, Y. XRD analysis of carbon stacking structure in coal during heat treatment. Fuel 2004, 83, 2427–2433. [Google Scholar] [CrossRef]
- Yu, J.; Sun, L.; Berrueco, C.; Fernandez, B.F.; Paterson, N.; Millan, M. Influence of temperature and particle size on structural characteristics of chars from Beechwood pyrolysis. J. Anal. Appl. Pyrolysis 2018, 130, 127–134. [Google Scholar] [CrossRef]
- Czajka, K.M.; Modliński, N.; Kisiela-Czajka, A.M.; Naidoo, R.; Peta, S.; Nyangwa, B. Volatile matter release from coal at different heating rates –experimental study and kinetic modelling. J. Anal. Appl. Pyrolysis 2019, 139, 282–290. [Google Scholar] [CrossRef]
- Yang, M.; Zou, B.; Jiang, C.; Ma, L.; Yang, Y. Elucidation of elemental and structural changes in high-volatile bituminous coal during thermal treatment by X-ray diffraction and terahertz time-domain spectroscopy. Fuel 2021, 293, 120410. [Google Scholar] [CrossRef]
- Zhang, W.; Zhang, X.; Zheng, M. Influence of Coke Deterioration Behavior in Blast Furnace on Microcrystalline Structure Characteristics. Coke Chem. 2022, 65, 33–39. [Google Scholar] [CrossRef]
- Burket, C.L.; Rajagopalan, R.; Foley, H.C. Synthesis of nanoporous carbon with pre-graphitic domains. Carbon 2007, 45, 2307–2310. [Google Scholar] [CrossRef]
- Burket, C.L.; Rajagopalan, R.; Foley, H.C. Overcoming the barrier to graphitization in a polymer-derived nanoporous carbon. Carbon 2008, 46, 501–510. [Google Scholar] [CrossRef]
- Keown, D.M.; Li, X.; Hayashi, J.-I.; Li, C.-Z. Characterization of the Structural Features of Char from the Pyrolysis of Cane Trash Using Fourier Transform-Raman Spectroscopy. Energy Fuels 2007, 21, 1816–1821. [Google Scholar] [CrossRef]
- Malysheva, V.Y.; Fedorova, N.I.; Andrey, N.; Ismagilov, Z. Vitrinite Components of Kuznetsk Basin Coal: Thermogravimetric and Raman Spectroscopic Analysis. Coke Chem. 2022, 3, 65. [Google Scholar] [CrossRef]
- Lei, L.; Xiang, J.-H.; Zeng, F.-G.; Deng, X.-P. High resolution TEM image analysis of anthracite coal microcrystalline structure. J. Fuel Chem. Technol. 2021, 49, 742–751. [Google Scholar] [CrossRef]
- Pan, J.; Wang, S.; Ju, Y.; Hou, Q.; Niu, Q.; Wang, K.; Li, M.; Shi, X. Quantitative study of the macromolecular structures of tectonically deformed coal using high-resolution transmission electron microscopy. J. Nat. Gas Sci. Eng. 2015, 27, 1852–1862. [Google Scholar] [CrossRef]
- Liu, Y.; Qu, J.Y.; Wu, X.H.; Zhang, K.; Zhang, Y. Reaction kinetics and internal diffusion of Zhundong char gasification with CO2. Front. Chem. Sci. Eng. 2020, 15, 373–383. [Google Scholar] [CrossRef]
- Lu, L.; Sahajwalla, V.; Kong, C.; Harris, D. Quantitative X-ray diffraction analysis and its application to various coals. Carbon 2001, 39, 1821–1833. [Google Scholar] [CrossRef]
- Gomila, R.M.; Frontera, A. Covalent and Non-covalent Noble Gas Bonding Interactions in XeFn Derivatives ( n = 2–6): A Combined Theoretical and ICSD Analysis. Resour. Conserv. Recycl. 2023, 8, 199. [Google Scholar] [CrossRef]
- Elkin, K.S.; Fedorov, N.I.; Sporykhin, V.S.; Cherevko, A.E. Production of High Quality Ferrosilicon Using Petroleum Coke. Steel Transl. 2010, 40, 983–984. [Google Scholar] [CrossRef]
- Zhantasov, K.T.; Lavrov, B.A.; Anan’ev, N.I.; Zhantasova, D.M.; Amiraliev, B.B.; Naukenova, A.S.; Strakhov, V.M. Adding Carbon Bearing Waste to Coke in Ferrosilicon and Zinc Phosphide Production. Coke Chem. 2014, 57, 493–496. [Google Scholar] [CrossRef]
- Buø, T.V.; Gray, R.J.; Patalsky, R.M. Reactivity and petrography of cokes for ferrosilicon and silicon production. Int. J. Coal Geol. 2000, 43, 243–256. [Google Scholar]
- Kolesnikova, O.; Nurbaeva, F.; Sabyrbayeva, G.; Nurshakhanova, L. Thermodynamic modeling of the reaction of simultaneous interaction of nickel (II), cobalt (II) and iron (III) oxides with carbon. E3S Web Conf. 2023, 378, 04001. [Google Scholar] [CrossRef]
- Vorob’eV, V.P. Carborundum-Bearing Carbon Reducing Agents in Silicon and Silicon-Ferroalloy Production. Steel Transl. 2015, 45, 439–442. [Google Scholar] [CrossRef]
- Sevastyanov, V.G.; Ezhov, Y.S.; Simonenko, E.P.; Kuznetsov, N.T. Thermodynamic analysis of the production of silicon carbide via silicon dioxide and carbon. In Proceedings of the 10th International Conference on Silicon Carbide and Related Materials (ICSCRM 2003), Part.1, Lyon, France, 5–10 October 2003; pp. 59–62. [Google Scholar]
- Kopeć, G.; Machulec, B. Selection of Carbon Reducers for the Ferrosilicon Smelting Process. J. Solid State Phenom. 2016, 4090, 256–259. [Google Scholar] [CrossRef]





















| Items | YQ1 | CW1 | HY1 | |
|---|---|---|---|---|
| Proximate analysis (wt.%, ad) | Ash | 11.54 | 7.63 | 8.32 |
| Volatility | 2.46 | 1.76 | 2.95 | |
| Ultimate analysis (wt.%, daf) | C | 86.04 | 90.41 | 90.00 |
| H | 0.56 | 0.54 | 0.50 | |
| O * | 0.96 | 0.40 | 0 | |
| N | 0.71 | 0.75 | 0.82 | |
| S | 0.20 | 0.28 | 0.37 |
| HY1 | YQ1 | CW1 | |
|---|---|---|---|
| Starting point (cm3/g STP) | 2.49 | 1.01 | 0.98 |
| Inflection point (cm3/g STP) | 8.97 | 7.21 | 7.03 |
| Sample | HY1 | YQ1 | CW1 |
|---|---|---|---|
| Peak intensity of SiO2 (a.u.) | 9293 | 10,859 | 12,152 |
Disclaimer/Publisher’s Note: The statements, opinions and data contained in all publications are solely those of the individual author(s) and contributor(s) and not of MDPI and/or the editor(s). MDPI and/or the editor(s) disclaim responsibility for any injury to people or property resulting from any ideas, methods, instructions or products referred to in the content. |
© 2025 by the authors. Licensee MDPI, Basel, Switzerland. This article is an open access article distributed under the terms and conditions of the Creative Commons Attribution (CC BY) license (https://creativecommons.org/licenses/by/4.0/).
Share and Cite
Xu, X.; Yu, P.; Dou, J.; Yu, J. Strengthening Mechanism of Char in Thermal Reduction Process of Silicon Dioxide. Materials 2025, 18, 3651. https://doi.org/10.3390/ma18153651
Xu X, Yu P, Dou J, Yu J. Strengthening Mechanism of Char in Thermal Reduction Process of Silicon Dioxide. Materials. 2025; 18(15):3651. https://doi.org/10.3390/ma18153651
Chicago/Turabian StyleXu, Xiuli, Peng Yu, Jinxiao Dou, and Jianglong Yu. 2025. "Strengthening Mechanism of Char in Thermal Reduction Process of Silicon Dioxide" Materials 18, no. 15: 3651. https://doi.org/10.3390/ma18153651
APA StyleXu, X., Yu, P., Dou, J., & Yu, J. (2025). Strengthening Mechanism of Char in Thermal Reduction Process of Silicon Dioxide. Materials, 18(15), 3651. https://doi.org/10.3390/ma18153651

