The Influence of Hydrogen-Charging Current Density and Temperature on Hydrogen Permeation and Hydrogen Embrittlement Susceptibility of 4130X Steel
Abstract
1. Introduction
2. Materials and Methods
2.1. Material Preparation
2.2. Hydrogen Permeation Tests
2.3. In Situ Tensile Tests
3. Results and Discussion
3.1. Hydrogen Permeation Behaviour of 4130X Steel
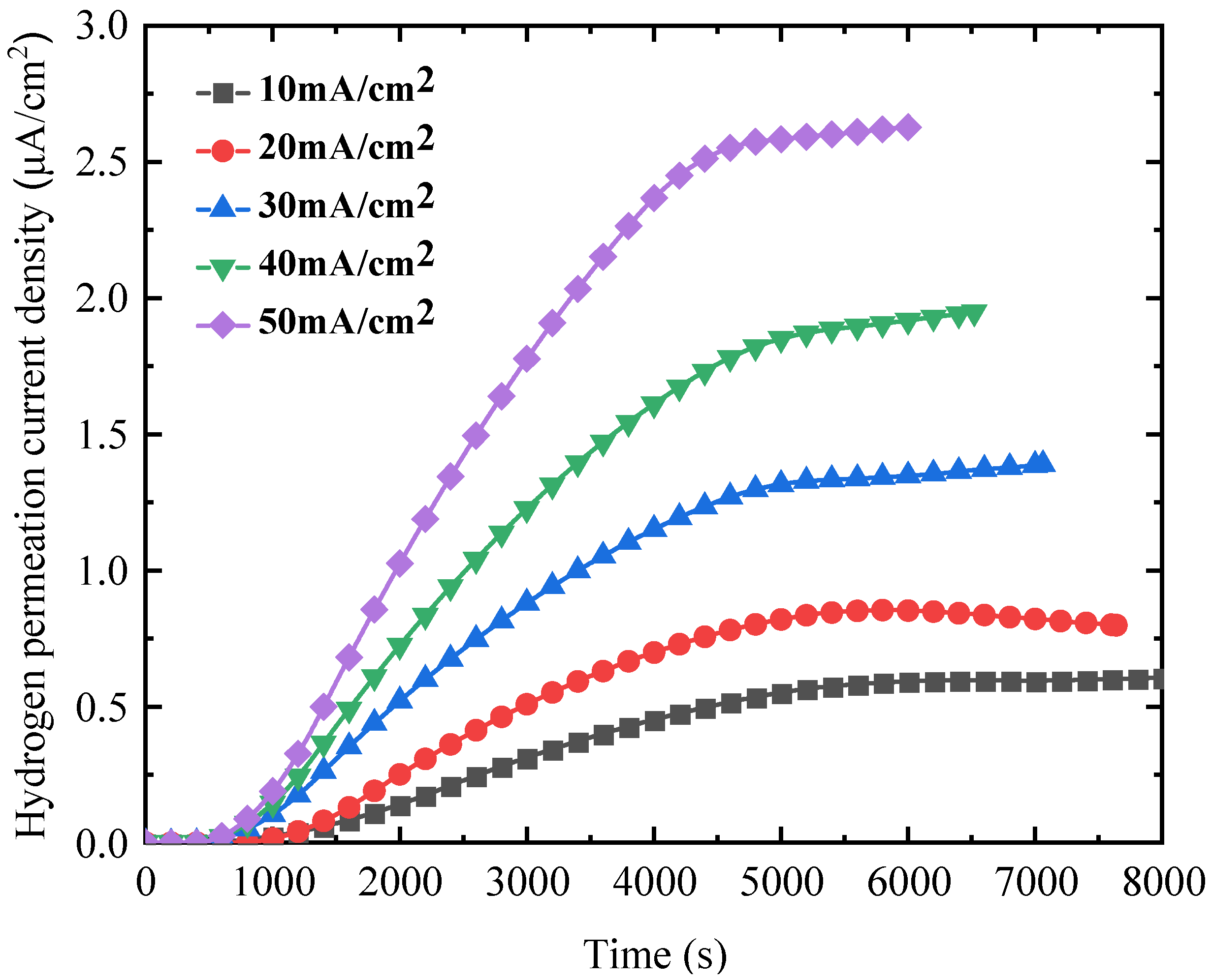
3.1.1. The Effect of Hydrogen-Charging Current Density on Hydrogen Permeation
3.1.2. The Effect of Hydrogen-Charging Temperature on Hydrogen Permeation
3.2. Hydrogen-Induced Degradation in Mechanical Properties of 4130X Steel
3.2.1. The Effect of Hydrogen-Charging Current Density on Mechanical Properties
3.2.2. The Effect of Hydrogen-Charging Temperature on Mechanical Properties
3.3. Hydrogen-Induced Transition in Fracture Morphology of 4130X Steel
3.3.1. The Effect of Hydrogen-Charging Current Density on Fracture Morphology
3.3.2. The Effect of Hydrogen-Charging Temperature on Fracture Morphology
4. Conclusions
Author Contributions
Funding
Institutional Review Board Statement
Informed Consent Statement
Data Availability Statement
Conflicts of Interest
Abbreviations
| HE | Hydrogen embrittlement |
| HEDE | Hydrogen-enhanced decohesion |
| AIDE | Adsorption-induced dislocation emission |
| HELP | Hydrogen-enhanced localized plasticity |
| GB | Grain boundary |
| Cr-Mo | Chromium-molybdenum |
| SSRT | Slow strain rate tensile |
References
- Shaner, M.R.; Atwater, H.A.; Lewis, N.S.; McFarland, E.W. A comparative technoeconomic analysis of renewable hydrogen production using solar energy. Energy Environ. Sci. 2016, 9, 2354–2371. [Google Scholar] [CrossRef]
- Abe, J.O.; Popoola, A.P.I.; Ajenifuja, E.; Popoola, O.M. Hydrogen energy, economy and storage: Review and recommendation. Int. J. Hydrogen Energy 2019, 44, 15072–15086. [Google Scholar] [CrossRef]
- Ahad, M.T.; Bhuiyan, M.M.H.; Sakib, A.N.; Becerril Corral, A.; Siddique, Z. An Overview of Challenges for the Future of Hydrogen. Materials 2023, 16, 6680. [Google Scholar] [CrossRef] [PubMed]
- Robertson, I.M. The effect of hydrogen on dislocation dynamics. Eng. Fract. Mech. 2001, 68, 671–692. [Google Scholar] [CrossRef]
- Thomas, S.; Ott, N.; Schaller, R.F.; Yuwono, J.A.; Volovitch, P.; Sundararajan, G.; Birbilis, N. The effect of absorbed hydrogen on the dissolution of steel. Heliyon 2016, 2, e00209. [Google Scholar] [CrossRef] [PubMed]
- Kholtobina, A.S.; Pippan, R.; Romaner, L.; Scheiber, D.; Ecker, W.; Razumovskiy, V.I. Hydrogen trapping in bcc iron. Materials 2020, 13, 2288. [Google Scholar] [CrossRef] [PubMed]
- Johnson, W.H. On some remarkable changes produced in iron and steel by the action of hydrogen and acids. Nature 1875, 11, 393. [Google Scholar] [CrossRef]
- Zhou, C.; Ren, Y.; Yan, X.; Zheng, Y.; Liu, B. A Bibliometric and Visualized Overview of Hydrogen Embrittlement from 1997 to 2022. Energies 2022, 15, 9218. [Google Scholar] [CrossRef]
- Sobola, D.; Dallaev, R. Exploring Hydrogen Embrittlement: Mechanisms, Consequences, and Advances in Metal Science. Energies 2024, 17, 2972. [Google Scholar] [CrossRef]
- Yi, K.; Ma, R.; Xiang, S.; Liu, X.; Liu, C.; Zhang, X.; Fu, Y. Eliminating reversible hydrogen embrittlement in high-strength martensitic steel by an electric current pulse. Int. J. Hydrogen Energy 2022, 47, 17045–17055. [Google Scholar] [CrossRef]
- Gerberich, W.; Oriani, R.; Lji, M.J.; Chen, X.; Foecke, T. The necessity of both plasticity and brittleness in the fracture thresholds of iron. Philos. Mag. A 1991, 63, 363–376. [Google Scholar] [CrossRef]
- Lynch, S. A fractographic study of hydrogen-assisted cracking and liquid-metal embrittlement in nickel. J. Mater. Sci. 1986, 21, 692–704. [Google Scholar] [CrossRef]
- Beachem, C.D. A new model for hydrogen-assisted cracking (hydrogen “embrittlement”). Metall. Mater. Trans. B 1972, 3, 441–455. [Google Scholar] [CrossRef]
- Troiano, A.R. The role of hydrogen and other interstitials in the mechanical behavior of metals. Trans. ASME 1960, 52, 54–81. [Google Scholar] [CrossRef]
- Oriani, R.A. A mechanistic theory of hydrogen embrittlement of steels. Berichte Der Bunsenges. Für Phys. Chem. 1972, 76, 848–857. [Google Scholar] [CrossRef]
- Birnbaum, H.K.; Sofronis, P. Hydrogen-enhanced localized plasticity—A mechanism for hydrogen-related fracture. Mater. Sci. Eng. A 1994, 176, 191–202. [Google Scholar] [CrossRef]
- Robertson, I.M.; Birnbaum, H.K. An HVEM study of hydrogen effects on the deformation and fracture of nickel. Acta Metall. 1986, 34, 353–366. [Google Scholar] [CrossRef]
- Sofronis, P.; Robertson, I.M. Transmission electron microscopy observations and micromechanical/continuum models for the effect of hydrogen on the mechanical behaviour of metals. Philos. Mag. A 2002, 82, 3405–3413. [Google Scholar] [CrossRef]
- Lynch, S. Hydrogen embrittlement phenomena and mechanisms. Corros. Rev. 2012, 30, 105–123. [Google Scholar] [CrossRef]
- Lynch, S.P. Interpreting hydrogen-induced fracture surfaces in terms of deformation processes: A new approach. Scr. Mater. 2011, 65, 851–854. [Google Scholar] [CrossRef]
- Iijima, T.; Itoga, H.; An, B.; San Marchi, C.; Somerday, B.P. Fracture properties of a Cr-Mo ferritic steel in high-pressure gaseous hydrogen. In Proceedings of the Pressure Vessels and Piping Conference, Boston, MA, USA, 19–23 July 2015; American Society of Mechanical Engineers: New York, NY, USA, 2015; Volume 57007, p. V06BT06A012. [Google Scholar]
- Matsunaga, H.; Yoshikawa, M.; Kondo, R.; Yamabe, J.; Matsuoka, S. Slow strain rate tensile and fatigue properties of Cr–Mo and carbon steels in a 115 MPa hydrogen gas atmosphere. Int. J. Hydrogen Energy 2015, 40, 5739–5748. [Google Scholar] [CrossRef]
- Yoo, I.; Lee, J.M.; Lim, H.S.; Suh, J.Y.; Lee, J.; Hwang, B. Comparative study of hydrogen embrittlement of three heat-resistant Cr-Mo steels subjected to electrochemical and gaseous hydrogen charging. Metall. Mater. Trans. A 2020, 51, 2118–2125. [Google Scholar] [CrossRef]
- Valentini, R.; Salina, A. Influence of microstructure on hydrogen embrittlement behaviour of 2·25Cr–1 Mo steel. Mater. Sci. Technol. 1994, 10, 908–914. [Google Scholar] [CrossRef]
- Li, J.; Zheng, Z.; Yu, X.; Lu, K.; Liang, H.; Yin, P.; Deng, G. Hydrogen diffusion mechanisms in the 4130X steel: An integrated study with electrochemical experiments and molecular dynamics simulations. J. Appl. Phys. 2024, 136, 165105. [Google Scholar] [CrossRef]
- Li, J.; Wu, Z.; Zhu, L.; Zhang, Z.; Teng, L.; Zhang, L.; Zhang, C. Investigations of temperature effects on hydrogen diffusion and hydrogen embrittlement of X80 pipeline steel under electrochemical hydrogen charging environment. Corros. Sci. 2023, 223, 111460. [Google Scholar] [CrossRef]
- Xing, X.; Pang, Z.; Zhang, H.; Liu, J.; Cui, G. Study of temperature effect on hydrogen embrittlement in X70 pipeline steel. Corros. Sci. 2024, 230, 111939. [Google Scholar] [CrossRef]
- Boes, N.; Züchner, H. Electrochemical methods for studying diffusion, permeation and solubility of hydrogen in metals. J. Less Common Met. 1976, 49, 223–240. [Google Scholar] [CrossRef]
- Sun, Y.; Cheng, Y.F. Hydrogen permeation and distribution at a high-strength X80 steel weld under stressing conditions and the implication on pipeline failure. Int. J. Hydrogen Energy 2021, 46, 23100–23112. [Google Scholar] [CrossRef]
- Álvarez, G.; Arniella, V.; Belzunce, F.J.; Rodríguez, C. Study of the influence of current density and displacement rate on hydrogen embrittlement using small punch tests. Theor. Appl. Fract. Mech. 2023, 125, 103838. [Google Scholar] [CrossRef]
- Cavaliere, P.; Sadeghi, B.; Perrone, A.; Marsano, D.; Marzanese, A. Modelling of hydrogen diffusion leading to embrittlement in austenitic stainless steels. Int. J. Press. Vessel. Pip. 2024, 208, 105120. [Google Scholar] [CrossRef]
- Xu, Z.; Zhang, P.; Meng, G.; Wang, Y.; Wang, J.; Shao, Y.; Wang, F. Influence of low tensile stress on the kinetics of hydrogen permeation and evolution behavior in alkaline environment. Int. J. Hydrogen Energy 2022, 47, 33803–33812. [Google Scholar] [CrossRef]
- Hempel, C.; Mandel, M.; Schröder, C.; Quitzke, C.; Schimpf, C.; Wendler, M.; Krüger, L. Influence of microstructure on hydrogen trapping and diffusion in a pre-deformed TRIP steel. Int. J. Hydrogen Energy 2023, 48, 4906–4920. [Google Scholar] [CrossRef]
- Hofmann, W.; Rauls, W. Ductility of steel under the influence of external high pressure hydrogen. Weld. Res. Suppl. 1965, 5, 225–230. [Google Scholar]
- Borchers, C.; Michler, T.; Pundt, A. Effect of Hydrogen on the Mechanical Properties of Stainless Steels. Adv. Eng. Mater. 2008, 10, 11–23. [Google Scholar] [CrossRef]
- Zhang, L.; Imade, M.; An, B.; Wen, M.; Iijima, T.; Fukuyama, S.; Yokogawa, K. Internal Reversible Hydrogen Embrittlement of Austenitic Stainless Steels Based on Type 316 at Low Temperatures. ISIJ Int. 2012, 52, 240–246. [Google Scholar] [CrossRef]
- Nguyen, T.T.; Heo, H.M.; Park, J.; Nahm, S.H.; Beak, U.B. Damage assessment and mechanical performance of Cr-Mo steel used in hydrogen storage vessels. Eng. Fail. Anal. 2021, 120, 105031. [Google Scholar] [CrossRef]
- Nguyen, T.T.; Park, J.; Bae, K.O.; Baek, U.B. Hydrogen-related degradation of fracture properties and altered fracture behavior of Cr–Mo steel used in hydrogen stationary vessels. Int. J. Hydrogen Energy 2024, 53, 1009–1024. [Google Scholar] [CrossRef]
- Williams, D.P.; Nelson, H.G. Embrittlement of 4130 steel by low pressure gaseous hydrogen. Metall. Trans. 1970, 1, 63–68. [Google Scholar] [CrossRef]
- Nelson, H.G.; Williams, D.P.; Tetelman, A.S. Embrittlement of a ferrous alloy in a partially dissociated hydrogen environment. Metall. Mater. Trans. A 1971, 2, 953–959. [Google Scholar] [CrossRef]
- Holbrook, J.; West, A. The Effect of Temperature and Strain Rate on the Tensile Properties of Hydrogen-Charged 304 L, 21-6-9 and JBK 75. In Hydrogen Effects in Metals; Metallurgical Society of AIME: San Ramon, CA, USA, 1981; pp. 655–663. [Google Scholar]
- Quadrini, E. The effect of temperature on hydrogen induced fracture in UNI 40NiCrM07 steel. Mater. Chem. Phys. 1988, 20, 73–85. [Google Scholar] [CrossRef]
- Michler, T.; Schweizer, F.; Wackermann, K. Review on the influence of temperature upon hydrogen effects in structural alloys. Metals 2021, 11, 423. [Google Scholar] [CrossRef]
- Clark, W.G. Effect of temperature and pressure on hydrogen cracking in high strength type 4340 steel. J. Mater. Energy Syst. 1979, 1, 33–40. [Google Scholar] [CrossRef]
- Li, X.; Wang, Y.; Zhang, P.; Li, B.; Song, X.; Chen, J. Effect of pre-strain on hydrogen embrittlement of high strength steels. Mater. Sci. Eng. A 2014, 616, 116–122. [Google Scholar] [CrossRef]
- Fan, Y.; Zhang, B.; Yi, H.L.; Hao, G.S.; Sun, Y.Y.; Wang, J.Q.; Ke, W. The role of reversed austenite in hydrogen embrittlement fracture of S41500 martensitic stainless steel. Acta Mater. 2017, 139, 188–195. [Google Scholar] [CrossRef]
- Wu, X.; Kim, I. Effects of strain rate and temperature on tensile behavior of hydrogen-charged SA508 Cl.3 pressure vessel steel. Mater. Sci. Eng. A 2003, 348, 309–318. [Google Scholar] [CrossRef]
- Plimpton, S. Fast Parallel Algorithms for Short-Range Molecular Dynamics. J. Comp. Phys. 1995, 117, 1–19. [Google Scholar] [CrossRef]
- Ramasubramaniam, A.; Itakura, M.; Carter, E. Interatomic potentials for hydrogen in based on density functional theory. Phys. Rev. B. 2009, 79, 174101. [Google Scholar] [CrossRef]
- Song, J.; Curtin, W. Atomic mechanism and prediction of hydrogen embrittlement in iron. Nat. Mater. 2012, 12, 145–151. [Google Scholar] [CrossRef] [PubMed]
- Stukowski, A. Visualization and analysis of atomistic simulation data with OVITO–the Open Visualization Tool. Model. Simul. Mater. Sci. Eng. 2010, 18, 015012. [Google Scholar] [CrossRef]
- Tehranchi, A.; Curtin, W. Atomistic study of hydrogen embrittlement of grain boundaries in nickel: I. Fracture. J. Mech. Phys. Solids 2017, 101, 150–165. [Google Scholar] [CrossRef]
- Li, J.; Lu, C.; Wang, L.; Pei, L.; Godbole, A.; Michal, G. The Role of Hydrogen on the Behavior of Intergranular Cracks in Bicrystalline α-Fe Nanowires. Nanomaterials 2021, 11, 294. [Google Scholar] [CrossRef] [PubMed]














| C | Mn | Si | P | S | Cr | Mo | Fe |
|---|---|---|---|---|---|---|---|
| 0.280 | 0.860 | 0.270 | 0.007 | 0.003 | 1.000 | 0.230 | Bal. |
| Charging Current Density (mA/cm2) | i∞ (μA/cm2) | Deff (×10−10, m2/s) | JHL (×10−10, mol/m s) |
|---|---|---|---|
| 10 | 0.59 | 0.49 | 0.61 |
| 20 | 0.81 | 0.55 | 0.83 |
| 30 | 1.38 | 0.56 | 1.42 |
| 40 | 1.90 | 0.57 | 1.98 |
| 50 | 2.63 | 0.59 | 2.71 |
| Temperature (K) | i∞ (μA/cm2) | Deff (×10−10, m2/s) | JHL (×10−10, mol/m s) |
|---|---|---|---|
| 293 | 0.59 | 0.49 | 0.61 |
| 298 | 0.68 | 0.68 | 0.71 |
| 303 | 0.95 | 0.88 | 0.99 |
| 308 | 1.65 | 0.94 | 1.71 |
| 313 | 2.93 | 1.25 | 3.04 |
| Experimental Conditions | Tensile Strength (MPa) | (%) | (%) | (%) |
|---|---|---|---|---|
| Air | 895.15 ± 17 | 10.74 ± 0.62 | 21.80 ± 0.68 | — |
| 10 mA/cm2 | 839.51 ± 21 | 6.14 ± 0.54 | 9.97 ± 0.63 | 54.28 ± 0.81 |
| 20 mA/cm2 | 682.46 ± 19 | 3.99 ± 0.57 | 6.53 ± 0.64 | 70.02 ± 0.79 |
| 30 mA/cm2 | 749.32 ± 14 | 3.62 ± 0.59 | 6.43 ± 0.59 | 70.53 ± 0.81 |
| 40 mA/cm2 | 724.16 ± 11 | 3.38 ± 0.42 | 6.07 ± 0.64 | 72.14 ± 0.89 |
| 50 mA/cm2 | 729.99 ± 17 | 3.42 ± 0.61 | 5.40 ± 0.69 | 75.22 ± 0.95 |
| Experimental Conditions | Tensile Strength (MPa) | (%) | (%) | (%) |
|---|---|---|---|---|
| 293 K, Air | 895.15 ± 11 | 10.74 ± 0.51 | 21.80 ± 0.72 | |
| 293 K, Charged | 839.51 ± 14 | 6.14 ± 0.54 | 9.97 ± 0.63 | 54.28 ± 1.84 |
| 298 K, Charged | 815.17 ± 15 | 5.14 ± 0.55 | 8.31 ± 0.66 | 61.90 ± 1.94 |
| 303 K, Charged | 763.28 ± 19 | 4.78 ± 0.53 | 8.00 ± 0.61 | 63.30 ± 1.71 |
| 308 K, Charged | 708.31 ± 11 | 3.33 ± 0.54 | 7.22 ± 0.69 | 66.88 ± 1.87 |
| 313 K, Charged | 731.69 ± 13 | 6.57 ± 0.51 | 10.28 ± 0.68 | 52.87 ± 1.76 |
Disclaimer/Publisher’s Note: The statements, opinions and data contained in all publications are solely those of the individual author(s) and contributor(s) and not of MDPI and/or the editor(s). MDPI and/or the editor(s) disclaim responsibility for any injury to people or property resulting from any ideas, methods, instructions or products referred to in the content. |
© 2025 by the authors. Licensee MDPI, Basel, Switzerland. This article is an open access article distributed under the terms and conditions of the Creative Commons Attribution (CC BY) license (https://creativecommons.org/licenses/by/4.0/).
Share and Cite
Xu, C.; Wang, F.; Li, J. The Influence of Hydrogen-Charging Current Density and Temperature on Hydrogen Permeation and Hydrogen Embrittlement Susceptibility of 4130X Steel. Materials 2025, 18, 3448. https://doi.org/10.3390/ma18153448
Xu C, Wang F, Li J. The Influence of Hydrogen-Charging Current Density and Temperature on Hydrogen Permeation and Hydrogen Embrittlement Susceptibility of 4130X Steel. Materials. 2025; 18(15):3448. https://doi.org/10.3390/ma18153448
Chicago/Turabian StyleXu, Caijun, Fang Wang, and Jiaqing Li. 2025. "The Influence of Hydrogen-Charging Current Density and Temperature on Hydrogen Permeation and Hydrogen Embrittlement Susceptibility of 4130X Steel" Materials 18, no. 15: 3448. https://doi.org/10.3390/ma18153448
APA StyleXu, C., Wang, F., & Li, J. (2025). The Influence of Hydrogen-Charging Current Density and Temperature on Hydrogen Permeation and Hydrogen Embrittlement Susceptibility of 4130X Steel. Materials, 18(15), 3448. https://doi.org/10.3390/ma18153448

