Abstract
Both ZnO and BeO semiconductors crystallize in the hexagonal wurtzite (wz), cubic rock salt (rs), and zinc-blende (zb) phases, depending upon their growth conditions. Low-dimensional heterostructures ZnO/BexZn1-xO and BexZn1-xO ternary alloy-based devices have recently gained substantial interest to design/improve the operations of highly efficient and flexible nano- and micro-electronics. Attempts are being made to engineer different electronic devices to cover light emission over a wide range of wavelengths to meet the growing industrial needs in photonics, energy harvesting, and biomedical applications. For zb materials, both experimental and theoretical studies of lattice dynamics have played crucial roles for understanding their optical and electronic properties. Except for zb ZnO, inelastic neutron scattering measurement of for BeO is still lacking. For the BexZn1-xO ternary alloys, no experimental and/or theoretical studies exist for comprehending their structural, vibrational, and thermodynamical traits (e.g., Debye temperature specific heat . By adopting a realistic rigid-ion model, we have meticulously simulated the results of lattice dynamics, and thermodynamic properties for both the binary zb ZnO, BeO and ternary BexZn1-xO alloys. The theoretical results are compared/contrasted against the limited experimental data and/or ab initio calculations. We strongly feel that the phonon/thermodynamic features reported here will encourage spectroscopists to perform similar measurements and check our theoretical conjectures.
1. Introduction
Highly efficient and flexible devices are essential for the technological needs of micro- and nano-electronics in modern society. Researchers working in this area have devoted their efforts to design electronic device structures by acquiring cheap, superior-quality, novel, and non-toxic materials to meet the escalating demands in the commercial market. The revolution in photonics that took place over the past few decades has exploited different types of wide bandgap (WBG) semiconductor materials [1,2,3,4,5,6,7,8,9,10,11,12,13,14,15,16]. Progress made in the opto-electronics has changed our life in a way that has never been envisaged since the ingenuity of silicon-based transistors. Efforts to acquire partially covalent III-nitrides (or III-Ns: BN, AlN, GaN, InN) and partially ionic II-oxides (or II-Os: BeO, MgO, ZnO, CdO) began in the late 1990s [10,11,12,13,14,15,16]. Earlier difficulties for growing III-Ns were linked either to their low dissociation temperatures T, and/or the lack of suitable substrates. Despite these issues, Nakamura (1993) successfully developed the highly efficient and bright blue-ultraviolet (UV) light-emitting diode (LED) using InGaN material as an emitter [16]. A few years later, the progress made in the improvements of new epitaxial techniques have demonstrated achieving ZnO-based laser diodes (LDs) and LEDs [16].
Advancement in the growth methods for preparing II-Os have helped realizing high-quality single crystals, large area ultrathin films, and various nanostructures. Unlike III-Ns, the oxide materials are grown relatively easily by combining elements from the group IIB alkaline-earth metals (e.g., beryllium Be, magnesium Mg, cadmium Cd, zinc Zn) with a nontoxic oxygen O of group VIA [16]. In recent years, oxide materials have gained significant attention due to their superior basic properties including high optical transparency, WBG, and electrical conductivity for attaining the next generation photonics. Many physical and chemical properties of III-Ns have revealed similarities with the members of II-Os (viz., BN→ BeO; AlN, (GaN, InN) → MgO, (ZnO, CdO)) [17]. Room temperature (RT) bandgap ~ 3.39 eV of GaN and SiC is found comparable to that of ZnO ~ 3.37 eV [18,19,20,21,22]. Very close lattice constants of the two materials (GaN, ZnO) are used as appropriate substrates [16] for epitaxial growth of GaN on ZnO (or ZnO on GaN). Electronic devices based on III-Ns and II-Os have covered nearly the same wavelength range. However, ZnO is projected superior to GaN to fabricate lower threshold LDs, with excitons operating at higher efficiencies. The exciton binding energy of ZnO ~ 60 meV is nearly twice than that of GaN (~26 meV) [16]. This has made ZnO promising to engineer high-efficiency and low-cost UV photodetectors. So far, the highly textured ZnO films have demonstrated optically pumped UV lasing at RT. Before ZnO offered a significant contribution on the world of micro- and nano-electronics, it is important to achieve a reproducible p-type epilayers. Despite a substantial improvement in the growth processes, consistent replication of p-type ZnO films has not yet been attained. In intentionally doped ZnO, many intrinsic defects, e.g., Zn interstitial and O vacancy are ascribed for compensating p-type dopants. On the contrary, and exhibit low formation enthalpies [16]. Therefore, it is necessary to resolve this bottleneck issue to achieve high-quality ZnO epilayers with low n-type background charge carriers. Obviously, one needs to identify the site selectivity of both intrinsic impurities and intentionally p-doped defects either experimentally by using optical spectroscopy or theoretically by exploiting lattice dynamical methods [18].
Besides ZnO, the BeO material is another distinctive member of the II-Os family. It exhibits high thermal conductivity, exceptional hardness, large bond strength, a high melting point of ~2570 °C, radiation resistance, and higher dielectric constant, despite having a large bandgap ~ 10.6 eV [16]. High thermal conductivity of BeO makes it one of the best heat-conducting compounds among ceramics [23]. The use of BeO in devices can resist high voltage and high temperature without breakdown. It has been effectively employed as an electronic substrate and insulator for rapid heat dissipation to maintain performance and longevity of different electronic components. Since BeO is chemically inert to most acids and alkalis, it offers excellent corrosion resistance to acids, solvents, and even molten metals. For achieving high-efficiency LEDs, one requires high-quality and stable barrier layers of a material with larger than ZnO. In micro- and nanoelectronics, the use of low-dimensional heterostructures (LDHs) [viz., BeO/ZnO, ZnO/BeZnO multi quantum wells (MQWs), superlattices (SLs)], and ternary alloys are considered quite promising [24,25]. Precise tuning of by alloy composition x makes epifilms important to fabricate UV photodetectors with different cut-off edges. Due to the large lattice mismatch between BeO and ZnO, the preparation of epifilms for all x has been a challenge [24,25]. Limited ZnO/BeZnO-based devices are available to manage the temperature variation for ensuring operational stability and efficiency. Considering the emerging interests of ternary alloys in LDHs, it seems quite likely that better quality epilayers with higher composition x will be produced soon.
In recent years, the preparation of II-Os epifilms has been successfully achieved using various epitaxial and chemical techniques [26,27,28,29,30,31,32,33,34,35,36,37]. The methods that are frequently employed for their growth included MOCVD [26,27,28,29,30], PA-MBE [31,32,33,34,35], thermal decomposition, sol–gel and co-precipitation, among others [27,28,29,36,37]. Different procedures have suggested considerable flexibility in making ultrathin films by controlling their size, dimension and morphology [24,38,39,40,41,42,43,44,45,46]. Syntheses and characterization of ternary AxB1-xO and quaternary AxB1-x-yCyO (with A, B, C ≡ Be, Mg, Zn, Cd) alloys [47,48,49,50,51,52,53,54] have contributed to designing various device structures [55,56,57,58]. The incorporation of ultrathin films of binary and/or ternary alloys in MQWs and SLs has offered endless possibilities to design/fabricate opto-electronic devices. ZnO/AxB1-xO are commonly used to engineer high-power heterojunction field effect transistors (HFET); high-electron mobility transistors (HEMT); biosensors; UV detectors; and single-chip devices [16]. In LDHs, different methods are frequently employed to assess their surface morphology, structural/crystalline quality [24,38,39,40,41,42,43,44,45,46], and electronic and vibrational behavior. The measurements that are commonly used to study various functionalities of ZnO/AxB1-xO are, reflection high-energy electron diffraction (RHEED); scanning electron microscopy (SEM) [24,38,39]; photoluminescence (PL); transmission electron microscopy (TEM); cathodoluminescence (CL) [40,41]; spectroscopic ellipsometry (SE); Hall or van der Pauw measurements [43,44,45]; Raman scattering spectroscopy (RSS) [46,47,48,49,50,51,52,53,54]; Fourier transform infrared (FTIR) and/or transmission spectroscopy [48,49]; Rutherford backscattering (RBS); and atomic force microscopy (AFM), among others [42,43,44,45].
Despite the successful growth [26,27,28,29,30,31,32,33,34,35,36,37] and characterization [24,38,39,40,41,42,43,44,45,46,47,48,49,50,51,52,53,54,55,56,57,58], there are still many basic issues of II-O-based device structures that remain unresolved [16]. The structural, electronic, elastic, and vibrational traits [24,38,39,40,41,42,43,44,45,46] of epitaxially grown BeO, ZnO, and epilayers have not yet been thoroughly investigated. To obtain energy–momentum relationships of phonons in solids, an inelastic neutron scattering (INS) spectroscopy has been the most powerful and frequently used technique [54]. Careful analysis of energy lost and/or gained by scattered neutrons is employed for determining the phonon dispersions of zb ZnO [54]. In the absence of INS studies, non-destructive Raman and/or FTIR spectroscopies [48,49,50,51,52,53,54,55,56,57,58] have been exploited for assessing phonon frequencies at high critical points in the BZ. In crystals with free charge carriers, RSS has also been successfully used for understanding carrier–phonon interactions and phonon-assisted optical transitions [54,55,56,57,58]. Except for a zinc-blende (zb) ZnO and a wurtzite (wz) ZnO, no INS and Raman studies exist of for the zb BeO material. The vibrational features of ZnO have provided valuable information for their structural, electronic, and crystalline qualities [54,55,56,57,58]. In LDHs, the RSS can be extremely valuable in probing the vibrational data on alloying, strain, and intermixing of different layers. Such features in MQW- and SL-based II-Os are crucial to understanding their roles in different device performance.
Due to limited experimental data on the binary/ternary alloys of novel II-Os, many researchers have developed theoretical methods to effectively synthesize/predict their structural, electronic, vibrational, and thermodynamic traits [59,60,61,62,63,64,65,66,67]. By exploiting a commercial package of ABINIT software package and/or Quantum-Espresso program, the theoretical results are available on the electronic properties of binary wz ZnO and BeO materials [59,60,61,62]. These simulations have employed the first-principles plane-wave self-consistent pseudopotential methods [60,61,62] in the local-density approximation (LDA) [63,64,65,66,67]. Efforts are made to acquire trends in correlating the microhardness of II-Os with their bulk, shear, and Young’s moduli [17]. Comprehending the lattice dynamics of ZnO, BeO, and is of fundamental interest. Phonon characteristics [16] are frequently considered for evaluating the efficiency of different device structures in microelectronics, optoelectronics, heat transport, and quantum electronics. Very few calculations exist on the lattice dynamics of zb ZnO and BeO [60,61,62]. Some published reports on the electronic and vibrational characteristics available in the literature are either inconsistent and/or questionable [61,62]. For instance, Chibueze [61] and Zafar et al. [62] have adopted an ab initio approach to study the mechanical, structural, phonon, and electronic properties of zb ZnO material in the framework of a density function theory (DFT) by using a generalized gradient approximation (GGA). The author [61] has considered a revised Perdew–Burke–Ernzerhof GGA method and claimed achieving degenerate phonon energies at the center of the BZ (i.e., = ∼379 cm−1 near → 0). For zb ZnO, this outcome is in complete disagreement with the existing INS [54] and Raman scattering spectroscopy results [48,49,50,51,52,53,54,55,56,57] of phonon dispersions reported by Serrano et al. [54] and LDA simulations [66]. Evaluating the importance of thin zb ZnO, BeO, and epifilms in LDHs-based ZnO/BexZn1-xO structures for thermal management devices, realistic calculations of lattice dynamics density of states (DOS) , Debye temperature (T), specific heat , Grüneisen constants , and linear thermal expansion coefficient are necessary [68,69,70,71].
This paper aims to report on the results of a methodical study for understanding the structural, phonon, and thermodynamical properties of binary zb ZnO, BeO. and ternary alloys. In Section 2.1 and Section 2.2, different crystal structures and epitaxial growth of II-Os are described. For designing XO-based device structures, the zb phase played an important role due to its unique optical and electronic properties [16]. Specifically, the zb structure offers potential advantages like lower carrier scattering and higher doping efficiencies as compared to the commonly available wz structure. These features have made the zb ZnO material suitable for applications in optoelectronics and nanoelectronics. Some ab initio calculations provided conflicting results [61,62] of structural, elastic, electronic, and lattice dynamical properties for the zb and wz phases of ZnO and BeO. Absolutely no efforts have been made to comprehend the vibrational and thermodynamic traits of . Among many nonmetallic solids, the phonons in BeO are suggested to be the main heat carriers [16]. Accurate description of lattice dynamics in ternary alloys is vital, as it plays important roles for determining phase transitions, electron–phonon interactions, and transport coefficients. The vibrational characteristics of perfect binary zb ZnO and BeO materials are reported here by adopting a realistic rigid-ion model (RIM) [68] (cf. Section 3, Section 3.1.1, Section 3.1.2 and Section 3.1.3). A generalized Greens function (GF) theory [69] is considered in the virtual crystal approximation (VCA) for studying the phonons in mixed BexZn1-xO ternary alloys. The RIM method used here is succinctly outlined in Section 3.1.1, Section 3.1.2 and Section 3.1.3. The model includes both the short-range and long-range Coulomb interactions. For estimating the interatomic force constants (IFCs), we have used (cf. Section 3.1.1) values of critical-point phonon frequencies of zb ZnO and BeO materials at a few critical points (Γ, X and L) as input, while their elastic constants and equilibrium lattice-constants are employed as constraints [70,71]. The calculated values of IFCs are systematically exploited in the RIM framework to comprehend the lattice dynamics, structural, and thermodynamic characteristics of ternary alloys. The results of RIM calculations are compared (see Section 4) with the experimental and/or ab initio studies [72,73,74,75,76,77,78,79,80]. In highly ionic zb BeO crystal, we have noticed a large splitting between modes at the center of BZ. Unlike zb ZnO, the calculated phonon dispersions of zb BeO exhibited atypical behavior like that in the cubic BN and diamond [81,82,83]—revealing the longitudinal acoustic (LA) modes falling between the LO-TO phonons. A possible explanation for this abnormal trend is linked to the combined effects of short bond length and strong electron localization due to the small core size of the electronic charge near the Be atom in BeO. The concluding remarks are presented in Section 5. We strongly feel that the phonon and thermodynamic features reported here will encourage spectroscopists to perform similar measurements and check our theoretical conjectures.
2. Material Properties of II-Os
2.1. Crystal Structures of ZnO and BeO
The XO (X ≡ Be, Zn) materials are known to have a non-centrosymmetric wurtzite (wz) crystal structure (see Figure 1b) of the B4 phase or the space group with polar surfaces at ambient (i.e., temperature T and pressure P) conditions. The wz structure is considered having two interpenetrating hexagonal close packed (hcp) sublattices of cation (X) and anion (O) displaced by the length of cation-anion bond in the [0001]-direction. Ultrathin metastable XO films of the cubic zinc-blende (zb) phase with a space group is possible (see Figure 1c) if prepared on the GaAs (001), (111), and/or Si substrates [16]. The zb materials present a mixture of the tetrahedral covalent and ionic bonding. At high pressure, the XO materials transform to the NaCl-like/rocksalt (rs) or B1 polymorph of space group (see Figure 1a).
Figure 1.
Three different crystal structures of the novel XO (X = Zn, Be) materials: (a) the cubic rock salt (), (b) wurtzite (), and (c) zinc-blende ( in the Strukturbericht designation. The small-size gold-colored balls represent the O atoms, while the large-size purple-colored balls signify the X atoms. The letters A and B in Figure (a) signify the X and O atoms. The symbols a and b in Figure (b) and a, b, and c in Figure (c) show the different stacking sequences of the close-packed planes of O (gold) and X (purple) atoms in the wurtzite and zinc-blende structures, respectively.
In principle, the XO materials are generally classified as highly mismatched due to a large difference in lattice constants and electronegativity between the X cation (i.e., low electronegative metallic atom) and the O anion (i.e., high electronegative atom). Such disparity can cause energetically favorable lattice defects such as cation/anion vacancies [18]. These intrinsic defects are suggested for trigerring localized energy states within the WBG II-Os. Such impurity levels are known to be strongly influencing the electronic and optical properties [18]. The formation of preferential intrinsic defects such as is predominantly dependent on the position of the Fermi level with respect to the charge neutrality level, i.e., the Fermi stabalization energy [16].
2.2. Epitaxially Grown II-O Films
The epitaxially grown XO films on most substrates yield a stable wz structure. There are reports that also suggest achieving epifilms with the zb and rs phases [16]. Investigation of high-pressure phase transitions in XO [24,38,39,40,41,42,43,44,45,46,47,48,49,50,51,52,53,54,55,56,57,58] has been the subject of intense experimental and theoretical efforts [59,60,61,62,63,64,65,66,67,68,69,70,71]. These studies have revealed appropriate sequences of pressure-dependent transformations from wz → zb → rs structures. Depending on the approximations used in first-principle calculations [61,62], significant divergences exist in the predictions of their basic characteristics. Efforts have been made earlier for studying the elastic, thermodynamic, lattice dynamics, and pressure-dependent properties [72,73] in different semiconductors. Very few attempts have been made; however, to explore the lattice dynamics of binary XO and alloy epifilms.
3. Vibrational Properties
3.1. Lattice Dynamics
Two types of theoretical approaches are frequently considered for studying the lattice dynamics of zb semiconductors. The techniques include (a) a microscopic or first-principle method [59,60,61,62,63,64,65,66,67], which employs an ionic potential screened by electron gas to study the structural/vibrational and elastic properties, and (b) a macroscopic technique, which uses phenomenological models [68,69,70,71] in terms of the general IFCs. For systematically studying the phonon dispersions and thermodynamic properties at ambient conditions of zb ZnO and BeO materials, we have adopted a realistic RIM [68] (cf. Section 3.1.2). The optimized set of appropriate IFCs are carefully obtained in Section 3.1.1.
3.1.1. Interatomic Force Constants
Unique optimization procedures described elsewhere [71] are applied here for estimating the RIM interatomic force constants for the binary zb ZnO and BeO materials. In calculating IFCs, we have used accurate values of experimental [54] and/or theoretical [60] phonon frequencies at high critical points (Γ, X and L) as input (see Table 1), while the elastic constants and equilibrium lattice-constants are employed as constraints.
Table 1.
Critical-point phonon frequencies (cm−1) of zb ZnO (column 3) and BeO (column 5) and lattice constants in (Å) elastic constants 1011dyn/cm2. These parameters [54,60] are used for optimizing the rigid-ion model (RIM) interatomic force constants (see Table 2) for the binary materials.
In column 3 of Table 1, we have listed the phonon frequencies as well as the lattice and elastic constants of zb ZnO [54]. A similar ab initio data [60] for the zb BeO is reported in column 5. Columns 2 and 4 register our RIM-calculated phonon frequencies. The lattice constant and elastic constants are obtained after achieving the optimized IFCs.
3.1.2. Rigid-Ion Model
The vibrational properties of XO materials have played valuable roles for assessing important basic characteristics including the phase transitions, transport coefficients, electron–phonon interactions, and polaron behavior [16]. In BexZn1-xO ternary alloys, the knowledge of phonons and the thermodynamic, optical, and structural traits are crucial for correlating them to their different microscopic attributes. A realistic RIM [68] is adopted here for simulating phonon dispersions , one-phonon DOS and the thermodynamic properties of binary zb ZnO, BeO and ternary BexZn1-xO alloys.
The RIM that we have considered here includes both the short-range (up to second nearest neighbors) and long-range Coulomb interactions [68]. An atom in a zb crystal is identified by two indices, namely l and κ. The term l represents the number of unit cells while κ signifies the two types of atoms (i.e., κ = 1 (O) and κ = 2 (X) in XO materials). Following Kunc [68], the polarization in crystals is determined by the displacements of point ions from their equilibrium positions anticipating them to be rigid and non-polarized. The quantities of interest in RIM are the force constants or dynamical matrices [68]. Ten short-range () force constants and one long-range Coulomb interaction ( are involved. In the harmonic approximation, the lattice vibrations are obtained by solving the following equations of motion [68]:
where represents the dynamical matrix comprising the short-range and long-range Coulomb interactions. For each mode frequency the components of eigenvectors in Equation (1) satisfy the familiar orthogonality [68]
and closure relations
Once the optimized set of IFCs , and e)] are evaluated (see Table 2) for the binary zb ZnO and BeO (cf. Section 3.1.2) materials, it is straightforward to simulate and density of states (DOS) using Equation (1).
Table 2.
In the notations of Ref. [68] and following Ref. [71], we have obtained the optimized sets of rigid-ion-model (RIM) parameters [A, B, C1, C2, D1, D2, E1, E2, F1, F2 (105 dyn/cm)] at ambient pressure for novel zb XO (X = Zn and Be) materials. The term Zeff is the effective charge (see text).
3.1.3. Phonon-Induced Thermal Characteristics
In zb II-Os, the study of plays a prominent role for comprehending several important phenomena, including thermal expansion α(T), Grüneisen parameters γ(T), heat capacity , entropy, Debye temperature etc. [16]. For semiconductor materials, the phonons are also linked to many of their physical characteristics such as elastic and mechanical properties. Accurate knowledge of thermodynamical traits for II-Os is important not only from a basic standpoint but also to design and engineer devices for applications in advanced semiconductor technology.
By using RIM in conjunction with a quasi-harmonic approximation (QHA), one can perform systematic simulations to obtain structural, vibrational, and thermodynamic properties [70,71]. Phonon contributions to the Helmholtz free energy, entropy, and constant-volume-specific heat are determined (cf. Section 3.1.4). The RIM calculations (cf. Section 4) of , and for zb ZnO, BeO, and BexZn1-xO alloys have agreed reasonably well with the existing experimental/theoretical data [72,73,74,75,76,77,78,79,80].
3.1.4. Specific Heat and Debye Temperature
For II-O semiconductors, the complete knowledge of phonon dispersions and density of states using RIM makes it possible to calculate different thermodynamical properties as a function of temperature T. For it is necessary to evaluate the Helmholtz free energy of the atomic vibrations [73]:
where is the Boltzmann constant. The entropy () of vibrating lattice is linked to the Helmholtz free energy via . Clearly, the knowledge of and allows the calculations of internal energy U of the crystalline lattice by using The heat capacity at a constant volume can be obtained either by exploiting or . In the QHA, and using Equation (3), is obtained as a function of T [73] i.e.,
From the Debye’s equation
one can simulate for the zb XO materials. In Equation (5), the term r signifies the number of atoms per unit cell.
3.2. Lattice Dynamics of Ternary AxB1-xO Alloys
Composition-dependent phonon dispersions for the mixed zb AxB1-xO crystals are simulated as a function of x (0 ≤ x ≤ 1) (cf. Section 4) by adopting a generalized GF theory in the VCA [69]. For a one-dimensional ternary AxB1-xO alloy with two interpenetrating sublattices, Kutty has developed a GF approach and derived the following dynamical matrix equation [69]:
by postulating that sublattice 1 occupies O atoms while sublattice 2 is randomly acquired by atoms of type A and B having concentrations (x) and 1 − x, respectively. In Equation (3), , , , , , and the term represents the IFCs. By substituting these parameters in Equation (6), it gives [69]
with the solution of Equation (7) leading to the vibrational mode frequencies.
Extension of the above one-dimensional approach to simulate the lattice dynamics of three-dimensional ideal zb random AxB1-xO ternary alloys using GF theory [69] in the framework of a RIM [68] is trivial. Here, we have assumed that the mixed AxB1-xO crystal lattice forms (a) ideal pseudo-binary alloys in the entire composition range x, (probably in contrast to the reality), (b) the cation sublattice 2, which is structurally close to the virtual crystal lattice where A and B atoms are randomly distributed having the concentration of B (1 − x) and of A as x, (c) the anion sublattice 1 with O atoms remaining undistorted, and (d) the characteristic nearest-neighbor atomic distances, which follow Vegard’s law. It is to be noted that in GF methodology, no additional IFCs are required for the descriptions of wave vector-dependent phonon dispersions of AxB1-xO alloys in arbitrary crystallographic directions. To simulate the dynamical characteristics of pseudo-binary alloys using RIM (cf. Section 4.3), we have deliberated IFCs of the binary zb ZnO and BeO materials in a three-body framework. While this approach has allowed the calculations of phonon spectra for the optical, acoustic, and disorder-induced modes, the disorder-related broadening of spectral lines has been neglected.
4. Numerical Simulations Results and Discussions
In materials, the significance of lattice dynamics for understanding the interactions among the atoms is well known to those working in solid-state physics, electronics, optoelectronics, quantum electronics, superconductivity, etc. Phonons in LDHs can act as a guide to research on dimensionally confined modes, leading to the vibrational effects to design nano- and/or microelectronic device structures [16]. Following standard practices and using optimized set of RIM parameters (cf. Table 2), we have computed the lattice dynamics and thermodynamic properties of the binary zb ZnO, BeO, and the ternary BexZn1-xO alloys. A generalized GF method is adopted (cf. Section 3.2) by carefully incorporating the necessary IFCs (Table 2) of binary materials to study phonon characteristics of ternary alloys. The theoretical results are analyzed by comparing/contrasting them with the existing experimental and ab initio calculations [72,73,74,75,76,77,78,79,80].
4.1. Vibrational Properties of XO Materials
To understand the lattice dynamical properties of zb XO materials, the best fit values of IFCs (cf. Table 2) are used in Equation (1) to calculate the phonon dispersions . The results of the simulated one-phonon DOS are achieved by incorporating the phonon values at a mesh of 64,000 points in the BZ. Standard practices are employed here for calculating the one phonon DOS by setting the sampling widths of phonons at Δω = ωLO(Γ)/100.
4.1.1. Lattice Dynamics and Density of States for zb ZnO
The basic understanding of thermal as well as electrical properties in terms of the low- and high-field carrier transport requires a precise knowledge of the vibrational modes of the bulk crystals. In a zb ZnO material, we have simulated the RIM results of the phonon dispersions along high-symmetry directions (Γ→ X→ K→ Γ→ L→ X→ W→ L). Our theoretical results of the phonon frequencies at high critical points in the BZ are compared/contrasted (see Table 3) against the existing experimental and/or ab initio calculations [54,60,61,62].
Table 3.
Comparison of our RIM-calculated phonon frequencies (cm−1) of zb ZnO and BeO at critical point in the BZ with the existing experimental [54,55] and first-principle calculations [54,60,61,62].
Close inspection of the optical and acoustic phonon dispersions (see Figure 2a) along the high-symmetry directions and DOS reported in Figure 2b has confirmed that they are affected by the atomic masses of the O (16.00 amu) and Zn (63.58 amu) atoms, respectively. Obviously, there are no negative frequencies in our study that confirm that the zb ZnO is dynamically stable. It corroborates the experimental claims of its synthesizability [16]. The study has provided non-degenerate longitudinal acoustic and longitudinal optical phonons, while the transverse acoustic and transverse optical modes are doubly degenerate. The RIM study has predicted the correct optical phonon splitting (≡ − ) at the center of the BZ [54]. This phonon separation is required for estimating the effective transverse charge . Our systematic calculations have also offered a strong justification to the existing first-principle results [54,55,66] about the flatness of and branches as they fall below the region of the phonon band gap region.
Figure 2.
(a) Calculated rigid-ion-mode phonon dispersions using parameter values of Table 2 for the zb ZnO along high-symmetry directions. (b) Calculated rigid-ion-mode result of the one-phonon density of states for zb ZnO.
In Figure 2b, we have displayed our simulated results of the one-phonon DOS for the zb ZnO. A wide phonon gap (~275–405 cm−1) between the acoustic and optical branches is clearly identified. The phonon gap region is indicated by using the green-colored arrows. For zb ZnO, the RIM lattice dynamical calculations of phonon frequencies (all in cm−1) at the major critical points (Γ, X, L) in the BZ are summarized in Table 3. Comparison of our calculations are made with the existing INS and RSS experimental [54] data as well as the ab initio calculations [54,55,61,62]. Clearly, our phonon values have agreed reasonably well (see Table 3) with those of Serrano et al. [54,55]. Obviously, the results of the phonon dispersion curves and DOS for the zb ZnO reported by Chibueze [61] and Zafar et al. [62] are either ambiguous and/or questionable.
4.1.2. Lattice Dynamics and Density of States for zb BeO
For zb BeO, the RIM results of are displayed in Figure 3a along the high-symmetry directions of the BZ. Calculations of one-phonon DOS are also reported in Figure 3b. In the absence of experimental data, the phonon values (see Table 3) are compared at a few critical points against the existing ab initio data [60]. Contrasting the results of BeO with zb BN, diamond (C) materials [81,82,83] have revealed some interesting features. In zb BeO, the zone-center optical phonons has exhibited a very large splitting 353 cm−1. Moving away from the Γ-point (i.e., the center of BZ), the modes offered high (low) dispersive behavior along the major high-symmetry [Γ→X], [X→Γ], [Γ→ L] directions. The calculated one-phonon DOS of zb BeO has revealed a broad band between 825 cm−1–1075 cm−1 (see Figure 3b), showing a minimum phonon gap appearing in the region between 744 cm−1–825 cm−1 (see blue-colored arrows).
Figure 3.
(a) Calculated rigid-ion-mode phonon dispersions using parameter values of Table 2 for the zb BeO along high-symmetry directions. (b) Calculated rigid-ion-mode result of the one-phonon density of states for zb BeO.
Unlike most other zb II–VI compounds, including zb ZnO, the flatness in phonon branches near the X and L critical points are absent in the zb BeO. For large , the RIM simulation of has also revealed an atypical behavior of phonon branches along the Γ→X and Γ→L directions. That is, the modes exhibit higher frequencies than the phonons (i.e., (see Figure 3a)). Accordingly, in (see Figure 3b) no clear phonon gap appears between the acoustic and optical branches. Interestingly, identical trends are noticed in and for the BN and C materials [81,82,83]. As compared to ZnO, the distinct phonon features in BeO can be ascribed to the changes in bond lengths for affecting the stiffness in the bonds as well as bond ionicity (or covalency). Our lattice vibrational results provided a strong justification to an earlier assertion that BeO could exhibit structural, elastic, and dynamic characteristics like those of the super hard BN and C materials [17]. The theoretical study of eigenvectors for the zb BeO material [60] is linked to the vibration of the lighter Be atom to and the heavier O oscillation to phonon.
4.2. Thermodynamic Properties of XO Materials
In XO materials, the Debye temperature is a valuable physical parameter for comprehending the excitations of lattice phonons [73] and appraising the interatomic forces. Knowledge of specific heat offers a strong measure for evaluating the storage of thermal energy in all the active atomic oscillations. These quantities have played vital roles in selecting MQWs and SLs for designing diverse nano- and micro-structured devices [16]. In semiconductors, the values of at low T are commonly obtained by exploiting the heat capacity measurements via the speed-of-sound or heat flux calorimetry [73]. Low-temperature heat capacity experiments in XOs (X = Be and Zn) are essential for understanding the phase transformation and construction of phase diagrams in the low-temperature regions of equilibrium P and T. However, experimental constraints have remained for accurately probing [73].
Thus, very few measurements exist on and for the zb ZnO and BeO materials [16]. Theoretically, the calculated phonon dispersions and one-phonon DOS g(ω) are used here to assess the thermodynamic traits [e.g., Debye temperature, , heat capacity ] of XOs for comprehending their optical characteristics [16]. Thermodynamic and optical features are frequently used to assess how these materials respond to the temperature change. These characteristics have also helped engineers to design various devices for thermoelectric, energy storage, and high-temperature application needs [16].
4.2.1. Debye Temperature of Binary zb ZnO and BeO
Although several research groups have employed different theoretical methods to simulate the structural, P-, and/or T-dependent lattice-, elastic-, and thermodynamic characteristics—the reported results on have exhibited sizable discrepancies [72,73,74,75,76,77,78,79,80]. By incorporating RIM phonon dispersions and of XO materials and using Equations (4) and (5), we have systematically calculated to assess .
The RIM simulations of T-dependent for zb ZnO and BeO materials are displayed in Figure 4a,b for 0 ≤ T ≤ 1600 K, respectively. In a wide range of T, our RIM calculations of (T) for zb ZnO and zb BeO materials have revealed identical trends. At low T, the calculations of have agreed reasonably well with the general behavior. For instance, in zb BeO (zb ZnO) materials of lower (higher) density and higher (lower) melting point, exhibits a large ~1400 K (small ~483 K) value. The decrease in theoretical values of (T) (cf. Figure 4a,b) from the zb BeO to ZnO is linked to the increase in X (cation) atomic mass [i.e., from Be (9.01 amu) → Zn (63.58 amu)]. The higher of zb BeO indicates an exceptional thermal stability and its resistance to thermal expansion [74,75].
For nanostructured ZnO and BeO materials, the value is projected to be lower than the reported values of their bulk counterparts [16]. It is simply due to an increased surface area and enhanced thermal vibrations at the surface as compared to the bulk interior. The size-dependent Debye temperature is a consequence of the increased surface-to-volume ratio in the nanomaterials, leading to the altered thermal and elastic properties [72,73,74,75,76,77,78,79,80].
In Table 4, we have compared our RIM results of thermodynamic quantities and at selected temperatures for the zb ZnO and BeO materials with the existing experimental/theoretical data [16,77,78,79,80]. Large discrepancies with significantly lower values of Debye temperatures in zb ZnO reported in [16] are possibly related to the diverse analytical expressions used by different authors. In Section 4.2.2, we have compared and contrasted our T-dependent RIM results of for the zb XO binary materials with the existing experimental and theoretical [72,73,74,75,76,77,78,79,80] data.
Table 4.
Comparison of the thermodynamical (, ) properties of zb ZnO and BeO with the existing experimental and first-principle calculations. The Debye temperature is in K while is in the units of (J/mol-K).
4.2.2. Specific Heat of Binary zb ZnO and BeO
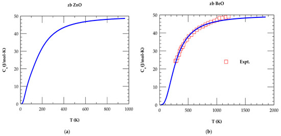
Earlier, in a physical property measurement system and using a calibrated heater-thermometer platform, the specific heat measurements were performed on bulk rs-ZnO, w-ZnO, and BeO materials between 310 K > T > 2 K [77,78]. In Table 4, a comparison of the thermodynamic quantities is made using RIM for the zb ZnO and BeO with existing experimental and ab initio calculations [16,77,78,79,80].
The results of our T-dependent simulations of are displayed in Figure 5a,b, respectively, for zb ZnO and BeO. In each material, the shape of the calculated is seen changing appropriately with the increase in T. At higher T, approaches the Dulong–Petit limits (~50 J/mol–K). For a given T, the in BeO (ZnO) decreased (increased) with a decrease in anion mass, in very good agreement with the ab initio calculations [78]. Except for the large differences in the values reported by Kamenev et al. [76], our calculations of (T → 0 ~ 483 K), (T → 297 ~ 661 K), and (T→ ∞ ~ 686 K) for the zb ZnO and BeO of (T → 0 ~ 1390 K), (T → 297 ~ 1187 K) and (T→ ∞ ~ 1214 K) agreed reasonably well with the experimental [77,78] and theoretical [16] data.
In Section 4.3.1 and Section 4.3.2, we have reported our RIM results in the GF framework on the composition-dependent and for the ternary BexZn1-xO alloys.
4.3. Phonons in Ternary BexZn1-xO Alloys
Controlling heat transport at the film interfaces in LDHs-based ZnO/(Be)ZnO structures is critical for achieving the energy conversions required in the growing needs of energy management applications for developing thermoelectric, nano- and microelectronic, photonic, and plasmonic devices [16]. In the layered structures, the mechanisms of interfacial heat transport can be easily manipulated by adjusting the phonon modes and their scattering. Understanding the contributions of heat transport from each layer is important to engineering novel micro- and nano-electronic/photonic devices for achieving their optimal thermal performance.
In this context, the lattice vibrations of BexZn1-xO ternary alloys and BeO/ZnO SLs have played crucial roles for manipulating high performance in the flexible UV photodetectors for different electronic devices in thermal management applications.
4.3.1. Lattice Dynamics and Density of States of BexZn1-xO
In an earlier study [18], we have considered a modified random-element iso-displacement (MREI) model for comprehending the composition-dependent long-wavelength optical phonons ( → 0) in the zb BexZn1-xO ternary alloys. The calculation [18] has predicted a two-phonon mode behavior in excellent agreement with recent results reported for wz BexZn1-xO ternary alloys [59].
By appropriately including the IFCs (see Table 2) of bulk binary zb ZnO and BeO materials in a methodical GF [69] approach (cf. Section 3.2), we report here our simulated x-dependent (≡ 0, 0.2, 0.4, 0.6, 0.8 and 1) results of phonon dispersions and one-phonon DOS for BexZn1-xO ternary alloys (see Figure 6a,b).

Figure 6.
(a) Calculated rigid-ion-model results of phonon dispersions of ternary BexZn1-xO alloys. IFCs values of Table 2 were used and the methodology outlined in Section 3.2. was adopted. (b) Same key as of Figure (a) but for the density of states of ternary BexZn1-xO alloys.
Due to the significant difference in the phonon frequencies of BeO and ZnO materials, the results for BexZn1-xO alloys have revealed ZnO-like optical modes hybridizing with the BeO-like LA modes. We strongly feel that these features will enhance phonon–phonon scattering and lower the thermal conductivity of BexZn1-xO ternary alloys [16]. From Figure 6a,b, one may also note that, in the limiting situations (i.e., x → 0 and x → 1), the RIM phonon features of the ternary BexZn1-xO alloys transform to those of the binary zb ZnO and BeO materials.
4.3.2. Debye Temperature and Specific Heat of BexZn1-xO
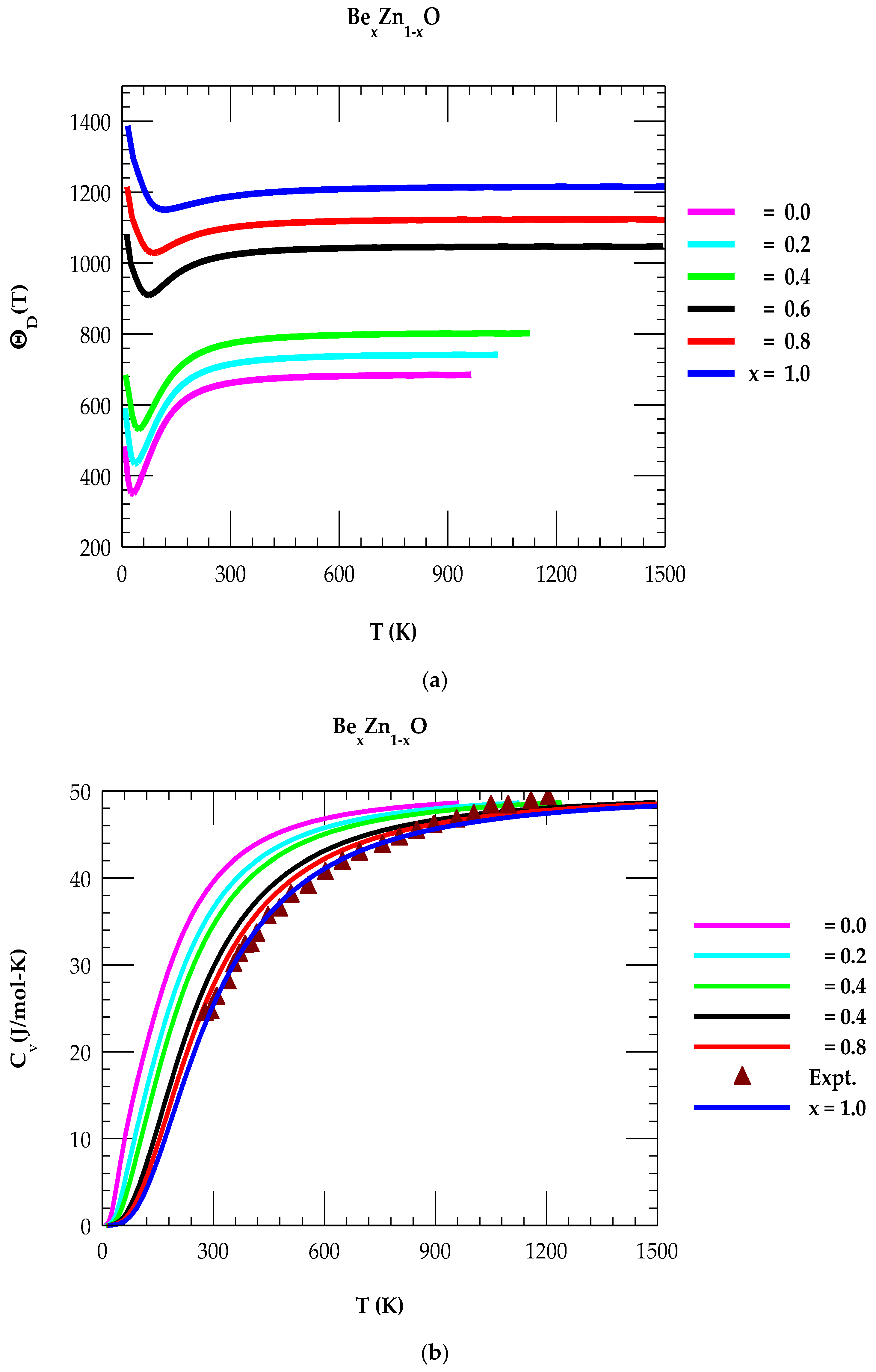
By using the composition-dependent phonon dispersions and DOS in Equations (4) and (5), we have reported our simulated results of (T) and for BexZn1-xO ternary alloys (see Figure 7a,b).
Figure 7.
(a) Calculated rigid-ion model results of Debye temperature (T) vs. T for zb BexZn1-xO using IFCs values of Table 2 and methodology described in Section 3.1.4 and Section 3.2. (b) Calculated results of specific heat (T) vs. T for zb BexZn1-xO using the IFCs values of Table 2 and the methodology described in Section 3.1.4 and Section 3.2. The result for x = 1 is compared with the experimental data.
The Debye temperature of a solid signifies its characteristic temperature that relates to the speed of sound and density of the material. It represents the maximum energy that phonons (lattice vibrations) can have at a given temperature. The lighter Be atom in BeO leads to higher vibrational frequency at lower temperatures as compared to lower vibrational frequency for the heavier Zn atom in ZnO. Consequently, for zb ZnO, it causes a lower Debye temperature. Obviously, the strength of chemical bonds between Be-O and Zn-O impacts their vibrational mode frequencies and thus (T). Stronger bonds typically lead to higher vibrational frequencies and higher (T). Again, the ratio of Be to Zn in BexZn1-xO alloys are seen affecting (T). While (T) is considered a property of materials, it is alsodependent on T, especially at higher T, due to thermal expansion and changes in lattice parameters. The x-dependent results of (T) for the BexZn1-xO reported in Figure 7a have clearly revealed a higher value for BeO (x → 1) than ZnO (x → 0).
In the Debye model, the heat capacity results are reported in Figure 7b for the BexZn1-xO ternary alloys. Obviously, the of BexZn1-xO is influenced by several factors, including the alloy composition, x, T, and the electronic and phonon structure [16]. The perusal of Figure 7b has clearly shown that starts at a zero value; it increases with T3 at low T for all x and gradually attains the Dulong–Petit limit (~ 50 J/mol–K) at higher T. Again, from Figure 7b, our results have perceived that in the temperature range (300 K < T < 1000 K), the depends both on T and x in BexZn1-xO—exhibiting lower values for ZnO than BeO. The outcome of our study has not only concurred a satisfactory behavior comparable with the experimental data for XO [54,60] materials but also corroborated the first-principle calculations [60] known for several binary and ternary alloy semiconductors. Obviously, the specific heat results of BexZn1-xO can influence their suitability in various applications, namely thermal insulation, heat sinks, and energy storage systems.
5. Summary and Concluding Remarks
Understanding the electronic, structural, and thermal properties of novel ZnO and BeO materials requires a precise knowledge of their vibrational modes in terms of low- and high-field carrier transport [16]. Lattice dynamics and thermal properties of materials are known to play the crucial roles in solid state physics, materials science, and electronics. The valuable material characteristics include , thermal conductivity κ(T), heat capacity , Debye temperature (T), thermal expansion α(T), etc. These traits are crucial for creating novel materials and designing efficient device systems that can handle temperature changes and heat transfer. BeO is a WBG semiconductor with high thermal conductivity, while ZnO has many unique electrical properties suitable for developing optoelectronics, power electronics, and thermal management systems. Complete phonon dispersions of bulk zb ZnO are available by INS spectroscopy [54,55]. Many attempts are also made to obtain the vibrational modes of ultrathin ZnO epifilms. Phonon frequencies of ZnO epifilms derived by RSS and FTIR spectroscopies are consistent with those of the bulk ZnO using INS [54,55].
Unfortunately, similar measurements of for both the bulk zb BeO and/or thin epifilms are lacking. Absolutely no efforts have been made to achieve for the ternary BexZn1-xO alloys. A deeper understanding of phonon dispersions is necessary for binary ZnO, BeO, and ternary BexZn1-xO materials by using realistic lattice dynamical models. The information on lattice dynamics and thermal properties can be crucial for developing LDHs-based advanced flexible micro- and nano-optoelectronics [16]. By adopting realistic RIM, we have reported the results of our methodical study to predict the structural, phonon, and thermodynamical properties of novel zb ZnO and BeO. The IFCs for these materials are systematically included in the GF [69] methodology for simulating (T), and for zb BexZn1-xO ternary alloys. The results of our RIM calculation are compared and contrasted reasonably well with the limited experimental and ab initio calculations. Due to the significant variation in the bond strength of Be-O from Zn-O, the phonon frequencies of BeO and ZnO materials are seen quite different. The calculated for the BexZn1-xO ternary alloys have revealed ZnO-like optical modes hybridizing with the BeO-like LA modes. In BeZnO, the intermixing of such phonons represents a fundamental interaction between the vibrational characteristics of two constituent materials. This feature can certainly affect the overall properties of LDHs-based structures, which, in turn, can impact the performance of optoelectronic devices due to thermal transport and electron–phonon interactions.
Heat dissipation in micro and nanoelectronic devices has been and still is a major concern among scientists and engineers. In MQW- and SL-based structures involving the ternary Be1-xZnxO alloy, epifilms have predicted a reduction in the thermal conductivity to affect heat dissipation and stability of various electronic devices [16]. The introduction of Zn atoms into BeO lattice creates a disordered structure that enhances phonon scattering and disrupts heat transport. Consequently, in Be1-xZnxO alloys, one would expect a reduction in thermal conductivity [16]. Low thermal conductivity of ultrathin alloy Be1-xZnxO films can be used to reduce heat transfer and prevent overheating of various micro- and nanoelectronic device modules. Other applications of the ternary Be1-xZnxO alloy epifilms include creating thermal barriers, insulating electronic components, and developing the solar-blind detectors. Recently, BexZn1-xO alloys have been used for creating insulation layers to prevent heat conduction from different heat-generating components, including transistors and/or microprocessors. As a material, Be1-xZnxO can be used in solar-blind UV detectors, as they are sensitive to UV light and insensitive to visible light. Certainly, it will improve the stability and reliability of UV detectors under high-temperature operations.
In summary, our methodical results of RIM calculations on the lattice dynamics and thermal properties of Be1-xZnxO alloys are important. We strongly feel that the theoretical predictions made here of the phonon and thermodynamic characteristics for the novel binary zb ZnO, zb BeO, and Be1-xZnxO ternary alloys will encourage experimentalists to perform similar measurements to check our theoretical conjectures. In MQW- and SL-based structures involving BeZnO epifilms, one expects a reduction in the thermal conductivity, which can affect the heat dissipation and reliability of various electronic devices [16]. The low thermal conductivity of Be1-xZnxO-based structures is a valuable property that should be exploited in a variety of applications, including thermal barriers, electronic insulation, and advanced UV detectors.
Author Contributions
D.N.T. has been responsible for conceptualization, developing methodology, investigations, and the computational analysis of the results reported here. As a supervisor, P.B. provided valuable feedback and checked, reviewed, and edited the original draft. All authors have read and agreed to the published version of the manuscript.
Funding
This research has received no external funding.
Data Availability Statement
The data that support the findings of this study are available from the corresponding author upon reasonable request.
Acknowledgments
The work reported here was carried out at the Physics Department, University of North Florida (UNF) in Jacksonville, FL 32224. The author DT would like to thank Deanne Snavely, Dean College of Natural Science and Mathematics at Indiana University of Pennsylvania, for the travel support which made this research possible. DT would also like to thank Jason Haraldsen of the UNF Physics Department for providing the Origin software (2017) for data analysis and graphing.
Conflicts of Interest
The authors declare having no financial and/or competing interests.
References
- Udayagiri, H.; Sana, S.S.; Dogiparthi, L.K.; Vadde, R.; Varma, R.S.; Koduru, J.R.; Ghodake, G.S.; Somala, A.R.; Boya, V.K.N.; Kim, S.-C.; et al. Phytochemical fabrication of ZnO nanoparticles and their antibacterial and anti-biofilm activity. Sci. Rep. 2024, 14, 19714. [Google Scholar] [CrossRef] [PubMed]
- Mutukwa, D.; Taziwa, R.T.; Khotseng, L. A Review of Plant-Mediated ZnO Nanoparticles for Photodegradation and Antibacterial Applications. Nanomaterials 2024, 14, 1182. [Google Scholar] [CrossRef] [PubMed]
- Jha, S.; Rani, R.; Singh, S. Biogenic Zinc Oxide Nanoparticles and Their Biomedical Applications: A Review. J. Inorg. Organomet. Polym. Mater. 2023, 33, 1437–1452. [Google Scholar] [CrossRef]
- Natu, K.; Laad, M.; Ghule, B.; Shalu, A. Transparent and flexible zinc oxide-based thin-film diodes and thin-film transistors: A review. J. Appl. Phys. 2023, 134, 190701. [Google Scholar] [CrossRef]
- Hazarika, R.; Kalita, B. Site selective behavior of B, C and N doping in MgO monolayers towards spintronic and optoelectronic applications. Mater. Sci. Semicond. Process. 2023, 162, 1075. [Google Scholar] [CrossRef]
- Balu, K.; Kaliyamoorthy, S.; Mani, D.; Aguiar, A.; Sobral, M.C.M.; Muthuvel, I.; Kumaravel, S.; Avula, B.; Sobral, A.J.F.N.; Ahn, Y.-H. Porphyrins and ZnO hybrid semiconductor materials: A review. Inorg. Chem. Commun. 2023, 154, 110973. [Google Scholar] [CrossRef]
- Tian, W.; Lu, H.; Li, L. Nanoscale Ultraviolet Photodetectors Based on One-Dimensional Metal Oxide Nanostructures. Nano Res. 2015, 8, 382–405. [Google Scholar] [CrossRef]
- Willander, M.; Nur, O.; Zhao, Q.X.; Yang, L.L.; Lorenz, M.; Cao, B.Q.; Zuniga-Perez, J.; Czekalla, C.; Zimmermann, G.; Grundmann, M.; et al. Zinc Oxide Nanorod Based Photonic Devices: Recent Progress in Growth, Light Emitting Diodes and Lasers. Nanotechnology 2009, 20, 332001. [Google Scholar] [CrossRef]
- Consonni, V.; Briscoe, J.; Karber, E.; Li, X.; Cossuet, T. ZnO Nanowires for Solar Cells: A Comprehensive Review. Nanotechnology 2019, 30, 362001. [Google Scholar] [CrossRef]
- Zhu, L.; Zeng, W. Room-Temperature Gas Sensing of ZnO Based Gas Sensor: A Review. Sens. Actuators A 2017, 267, 242–261. [Google Scholar] [CrossRef]
- Abdullahi, Y.Z.; Ersan, F. Stability and electronic properties of XO (X = Be, Mg, Zn, Cd) biphenylene and graphenylene networks: A first-principles study. Appl. Phys. Lett. 2023, 123, 252104. [Google Scholar] [CrossRef]
- Pushpalatha, C.; Suresh, J.; Gayathri, V.S.; Sowmya, S.V.; Augustine, D.; Alamoudi, A.; Zidane, B.; Albar, N.H.M.; Patil, S. Zinc Oxide Nanoparticles: A Review on Its Applications in Dentistry, Nanoparticles. Front. Bioeng. Biotechnol. 2022, 10, 917990. [Google Scholar] [CrossRef]
- Sharma, D.K.; Shukla, S.; Sharma, K.K.; Kumar, V. A review on ZnO: Fundamental properties and applications. Mater. Today Proc. 2022, 49, 3028–3035. [Google Scholar] [CrossRef]
- Zahoor, R.; Jalil, A.; Ilyas, S.Z.; Ahmed, S.; Hassan, A. Optoelectronic and solar cell applications of ZnO nanostructures. Results Surf. Interfaces 2021, 2, 100003. [Google Scholar] [CrossRef]
- Singh, J.P.; Singh, V.; Sharma, A.; Pandey, G.; Chae, K.H.; Lee, S. Approaches to synthesize MgO nanostructures for diverse applications. Heliyon 2020, 6, e04882. [Google Scholar] [CrossRef]
- Özgür, Ü.; Alivov, Y.I.; Liu, C.; Teke, A.; Reshchikov, M.A.; Doğan, S.; Avrutin, V.; Cho, S.-J.; Morkoç, H. A comprehensive review of ZnO materials and devices. J. Appl. Phys. 2005, 98, 041301. [Google Scholar] [CrossRef]
- Talwar, D.N.; Becla, P. Microhardness, Young’s and Shear Modulus in Tetrahedrally Bonded Novel II-Oxides and III-Nitrides. Materials 2025, 18, 494. [Google Scholar] [CrossRef] [PubMed]
- Talwar, D.N.; Becla, P. Dynamical Characteristics of Isolated Single and Complex Defect Centers in Novel ZnO. Nanomaterials 2025, 15, 720. [Google Scholar] [CrossRef]
- Talwar, D.N.; Semone, S.; Becla, P. Strain-Dependent Effects on Confinement of Folded Acoustic and Optical Phonons in Short-Period (XC)m/(YC)n with X,Y (≡Si, Ge, Sn) Superlattices. Materials 2024, 17, 3082. [Google Scholar] [CrossRef]
- Talwar, D.N. Composition-Dependent Phonon and Thermodynamic Characteristics of C-Based XxY1−xC (X, Y ≡ Si, Ge, Sn) Alloys. Inorganics 2024, 12, 100. [Google Scholar] [CrossRef]
- Talwar, D.N.; Haraldsen, J.T. Simulations of Infrared Reflectivity and Transmission Phonon Spectra for Undoped and Doped GeC/Si (001). Nanomaterials 2024, 14, 1439. [Google Scholar] [CrossRef] [PubMed]
- Talwar, D.N.; Feng, Z.C.; Liu, C.W.; Tin, C.-C. Influence of surface roughness and interfacial layer on the infrared spectra of VCVD grown 3C-SiC/Si (1 0 0) epilayers. Semicond. Sci. Technol. 2012, 27, 115019. [Google Scholar] [CrossRef]
- Qiu, T.; Akinoglu, E.M.; Luo, B.; Konarova, M.; Yun, J.; Gentle, I.R. Nanosphere lithography: A versatile approach to develop transparent conductive films for optoelectronic applications. Adv. Mater. 2022, 34, 2103842. [Google Scholar] [CrossRef]
- Ryu, Y.R.; Lee, T.S.; Lubguban, J.A.; Corman, A.B.; White, H.W.; Leem, J.H.; Han, M.S.; Park, Y.S.; Youn, C.J.; Kim, W.J. Wide-band gap oxide alloy: BeZnO. Appl. Phys. Lett. 2006, 88, 052103. [Google Scholar] [CrossRef]
- Jang, Y.; Jung, D.; Sultane, P.R.; Bielawski, C.W.; Oh, J. Polarization-Induced Two-Dimensional electron gas at BeO/ZnO interface. Appl. Surf. Sci. 2022, 600, 154103. [Google Scholar] [CrossRef]
- Zheng, Y.; Gu, S.; Ye, J.; Liu, W.; Zhu, S.; Qin, F.; Hu, L.; Zhang, R.; Shi, Y. MOCVD Growth and Properties of ZnO and Zn1−x,MgxO Films. In Proceedings of the Sixth Chinese Optoelectronics Symposium, Hong Kong, China, 12–14 September 2003; IEEE: Piscataway, NJ, USA, 2003. [Google Scholar]
- Opel, M.; Geprags, S.; Althammer, M.; Brenninger, T.; Gross, R. Laser molecular beam epitaxy of ZnO thin films and heterostructures. J. Phys. D Appl. Phys. 2014, 47, 034002. [Google Scholar] [CrossRef]
- Chauveau, J.-M.; Morhain, C.; Teisseire, M.; Laugt, M.; Deparis, C.; Zuniga-Perez, J.; Vinter, B. (Zn, Mg)O/ZnO-based heterostructures grown by molecular beam epitaxy on sapphire: Polar vs. non-polar. Microelectron. J. 2009, 40, 512–516. [Google Scholar] [CrossRef]
- Chen, M.; Zhu, Y.; Su, L.; Zhang, Q.; Chen, A.; Ji, X.; Xiang, R.; Gui, X.; Wu, T.; Pan, B.; et al. Formation behavior of BexZn1−xO alloys grown by plasma assisted molecular beam epitaxy. Appl. Phys. Lett. 2013, 102, 202103. [Google Scholar] [CrossRef]
- Cui, Y.; Du, G.; Zhang, Y.; Zhu, H.; Zhang, B. Growth of ZnO (002) and ZnO (10 0) films on GaAs substrates by MOCVD. J. Cryst. Growth 2005, 282, 389–393. [Google Scholar] [CrossRef]
- Bang, K.-H.; Hwang, D.-K.; Lim, S.-W.; Myoung, J.-M. Effects of growth temperature on the properties of ZnO/GaAs prepared by metalorganic chemical vapor deposition. J. Cryst. Growth 2003, 250, 437–443. [Google Scholar] [CrossRef]
- Nicolay, S.; Fay, S.; Ballif, C. Growth Model of MOCVD Polycrystalline ZnO. Cryst. Growth Des. 2009, 9, 4957. [Google Scholar] [CrossRef]
- Zhang, J.; Cui, X.; Shi, Z.; Wu, B.; Zhang, Y.; Zhang, B. Nucleation and growth of ZnO films on Si substrates by LP-MOCVD. Superlattices Microstruct. 2014, 71, 23–29. [Google Scholar] [CrossRef]
- Kadhim, G.A. Study of the Structural and Optical Traits of In:ZnO Thin Films Via Spray Pyrolysis Strategy: Influence of laser Radiation Change in Different Periods. AIP Conf. Proc. 2024, 2922, 240006. [Google Scholar] [CrossRef]
- Wei, X.H.; Li, Y.R.; Zhu, J.; Huang, W.; Zhang, Y.; Luo, W.B.; Ji, H. Epitaxial properties of ZnO thin films on Sr Ti O3 substrates grown by laser molecular beam epitaxy. Appl. Phys. Lett. 2007, 90, 151918. [Google Scholar] [CrossRef]
- Triboulet, R.; Perrière, J. Epitaxial growth of ZnO films. Prog. Cryst. Growth Charact. Mater. 2003, 47, 65–138. [Google Scholar] [CrossRef]
- Su, L.; Zhu, Y.; Zhang, Q.; Chen, M.; Wu, T.; Gui, X.; Pan, B.; Xiang, R.; Tang, Z. Structure and Optical Properties of Ternary Alloy BeZnO and Quaternary Alloy BeMgZnO Films Growth by Molecular Beam Epitaxy. Appl. Surf. Sci. 2013, 274, 341–344. [Google Scholar] [CrossRef]
- Du, X.; Mei, Z.; Liu, Z.; Guo, Y.; Zhang, T.; Hou, Y.; Zhang, Z.; Xue, Q.; Kuznetsov, A.Y. Controlled Growth of High-Quality ZnO-based Films and Fabrication of Visible-Blind and Solar-Blind Ultra-Violet Detectors. Adv. Mater. 2009, 21, 4625–4630. [Google Scholar] [CrossRef]
- Zheng, Q.; Huang, F.; Ding, K.; Huang, J.; Chen, D.; Zhan, Z.; Lin, Z. MgZnO-based Metal-Semiconductor-Metal Solar-Blind Photodetectors on ZnO Substrates. Appl. Phys. Lett. 2011, 98, 221112. [Google Scholar] [CrossRef]
- Kim, W.; Leem, J.; Han, M.; Park, I.W.; Ryu, Y.; Lee, T. Crystalline Properties of Wide Band Gap BeZnO Films. J. Appl. Phys. 2006, 99, 096104. [Google Scholar] [CrossRef]
- Chen, Y.; Bagnall, D.; Yao, T. ZnO as a novel photonic material for the UV region. Mater. Sci. Eng. B 2000, 75, 190–198. [Google Scholar] [CrossRef]
- Kaida, T.; Kamioka, K.; Ida, T.; Kuriyama, K.; Kushida, K.; Kinomura, A. Rutherford backscattering and nuclear reaction analyses of hydrogen ion-implanted ZnO bulk single crystals. Nucl. Instrum. Methods Phys. Res. B 2014, 332, 15–18. [Google Scholar] [CrossRef]
- Ismail, M.A.; Taha, K.K.; Modwi, A.; Khezami, L. ZnO Nanoparticles: Surface and x-ray profile analysis. J. Ovonic Res. 2018, 14, 381–393. [Google Scholar]
- Mohan, A.C.; Renjanadevi, B. Preparation of Zinc Oxide Nanoparticles and its Characterization Using Scanning Electron Microscopy (SEM) and X-Ray Diffraction (XRD). Procedia Technol. 2016, 24, 761–766. [Google Scholar] [CrossRef]
- Martínez-Tomás, M.C.; Hortelano, V.; Jiménez, J.; Wang, B.; Muñoz-Sanjosé, V. High resolution X-ray diffraction, X-ray multiple diffraction and cathodoluminescence as combined tools for the characterization of substrates for epitaxy: The ZnO case. CrystEngComm 2013, 15, 3951–3958. [Google Scholar] [CrossRef]
- Chao, L.-C.; Yang, S.-H. Growth and Auger electron spectroscopy characterization of donut-shaped ZnO nanostructures. Appl. Surf. Sci. 2007, 253, 7162–7165. [Google Scholar] [CrossRef]
- Raouf, D. Synthesis and photoluminescence characterization of ZnO nanoparticles. J. Lumin. 2013, 134, 213–219. [Google Scholar] [CrossRef]
- Saadatkia, P.; Ariyawansa, G.; Leedy, K.D.; Look, D.C.; Boatner, L.A.; Selim, F.A. Fourier Transform Infrared Spectroscopy Measurements of Multi-phonon and Free-Carrier Absorption in ZnO. J. Electron. Mater. 2016, 45, 6329. [Google Scholar] [CrossRef]
- Keyes, B.; Gedvilas, L.; Li, X.; Coutts, T. Infrared spectroscopy of polycrystalline ZnO and ZnO:N thin films. J. Cryst. Growth 2005, 281, 297–302. [Google Scholar] [CrossRef]
- Damen, T.C.; Porto, S.P.S.; Tell, B. Raman Effect in Zinc Oxide. Phys. Rev. 1966, 142, 570. [Google Scholar] [CrossRef]
- Calleja, J.M.; Cardona, M. Resonant raman scattering in ZnO. Phys. Rev. B 1977, 16, 3753. [Google Scholar] [CrossRef]
- Manjon, F.J.; Syassen, K.; Lauck, R. Effect of pressure on phonon modes in wurtzite zinc oxide. High Press. Res. 2002, 22, 299. [Google Scholar] [CrossRef]
- Reddy, A.J.; Kokila, M.K.; Nagabhushana, H.; Rao, J.L.; Shivakumara, C.; Nagabhushana, B.M.; Chakradhar, R.P.S. Combustion synthesis, characterization and Raman studies of ZnO nano powders. Spectrochim. Acta Part A 2011, 81, 53–58. [Google Scholar] [CrossRef] [PubMed]
- Serrano, J.; Manjón, F.J.; Romero, A.H.; Ivanov, A.; Cardona, M.; Lauck, R.; Bosak, A.; Krisch, M. Phonon dispersion relations of zinc oxide: Inelastic neutron scattering and ab initio calculations. Phys. Rev. B 2010, 81, 174304. [Google Scholar] [CrossRef]
- Serrano, J.; Romero, A.H.; Manjo’n, F.J.; Lauck, R.; Cardona, M.; Rubio, A. Pressure dependence of the lattice dynamics of ZnO: An ab initio approach. Phys. Rev. B 2004, 69, 094306. [Google Scholar] [CrossRef]
- Serrano, J.; Manjón, F.J.; Romero, A.H.; Ivanov, A.; Lauck, R.; Cardona, M.; Krisch, M. The phonon dispersion of wurtzite-ZnO revisited. Phys. Status Solidi (B) 2007, 244, 1478–1482. [Google Scholar] [CrossRef]
- Bhandari, K.P.; Sapkota, D.R.; Ramanujam, B. Spectroscopic-ellipsometry study of the optical properties of ZnO nanoparticle thin films. MRS Commun. 2024, 14, 1085–1089. [Google Scholar] [CrossRef]
- Huang, M.R.S.; Erni, R.; Lin, H.-Y.; Wang, R.-C.; Liu, C.-P. Characterization of wurtzite ZnO using valence electron energy loss spectroscopy. Phys. Rev. B 2011, 84, 155203. [Google Scholar] [CrossRef]
- Yıldırım, H. Dispersion relations of interface and quasi-confined phonon modes in ZnO/BeZnO quantum wells. Phys. Lett. A 2021, 385, 126977. [Google Scholar] [CrossRef]
- Duman, S.; Sütlü, A.; Bağcı, S.; Tütüncü, H.M.; Srivastava, G.P. Structural, elastic, electronic, and phonon properties of zincblende and wurtzite BeO. J. Appl. Phys. 2009, 105, 033719. [Google Scholar] [CrossRef]
- Chibueze, T.C. Ab initio study of mechanical, phonon and electronic Properties of cubic zinc-blende structure of ZnO. Niger. Ann. Pure Appl. Sci. 2021, 4, 119. [Google Scholar] [CrossRef]
- Zafar, M.; Ahmed, S.; Shakil, M.; Choudhary, M.A. First-principles calculations of structural, electronic, and thermodynamic properties of ZnO1−xSx alloys. Chin. Phys. B 2014, 23, 106108. [Google Scholar] [CrossRef]
- Bocharov, D.; Pudza, I.; Klementiev, K.; Krack, M.; Kuzmin, A. Study of High-Temperature Behaviour of ZnO by Ab Initio Molecular Dynamics Simulations and X-ray Absorption Spectroscopy. Materials 2021, 14, 5206. [Google Scholar] [CrossRef]
- Bachmann, M.; Czerner, M.; Edalati-Boostan, S.; Heiliger, C. Ab initio calculations of phonon transport in ZnO and ZnS. Eur. Phys. J. B 2012, 85, 146. [Google Scholar] [CrossRef]
- Ren, D.; Xiang, B.; Gao, Y.; Hu, C.; Zhang, H. Ab initio study of lattice instabilities of zinc chalcogenides ZnX (X=O, S, Se, Te) induced by ultrafast intense laser irradiation. AIP Adv. 2017, 7, 095021. [Google Scholar] [CrossRef]
- Yu, Y.; Zhou, J.; Han, H.; Zhang, C.; Cai, T.; Song, C.; Gao, T. Ab initio study of structural, dielectric, and dynamical properties of zinc-blende ZnX (X = O, S, Se, Te). J. Alloys Compd. 2009, 471, 492–497. [Google Scholar] [CrossRef]
- Calzolari, A.; Nardelli, M.B. Dielectric properties and Raman spectra of ZnO from a first principles finite-differences/finite-fields approach. Sci. Rep. 2013, 3, 2999. [Google Scholar] [CrossRef]
- Kunc, K. Dynamique de réseau de composés ANB8-N présentant la structure de la blende. Ann. Phys. 1973, 8, 319. (In French) [Google Scholar] [CrossRef]
- Kutty, A.P.G. Phonons in mixed crystals. Solid State Commun. 1974, 14, 213–215. [Google Scholar] [CrossRef]
- Talwar, D.N. Dilute III-V Nitride Semiconductors and Material Systems: Physics and Technology; Erol, A., Ed.; Springer Series in Materials Science; Springer: Berlin/Heidelberg, Germany, 2008; Chapter 9; Volume 105, p. 222. [Google Scholar]
- Talwar, D.N. Computational phonon dispersions structural and thermodynamical characteristics of novel C-based XC (X = Si, Ge and Sn) materials. Next Mater. 2024, 4, 100198. [Google Scholar] [CrossRef]
- Weinstein, B.A.; Zallen, R. Pressure-Raman effects in covalent and molecular solids. In Light Scattering in Solids IV; Cardona, M., Guntherodt, G., Eds.; Topics in Applied Physics; Springer: Berlin/Heidelberg, Germany, 1984; Volume 54, pp. 463–527. [Google Scholar]
- Boer, K.W.; Pohl, U.W. Phonon-induced thermal properties. In Semiconductor Physics; Springer International Publishing: Cham, Switzerland, 2014. [Google Scholar]
- Slack, G.A.; Austerman, S.B. Thermal Conductivity of BeO Single Crystals. J. Appl. Phys. 1971, 42, 4713–4717. [Google Scholar] [CrossRef]
- Slack, G.A. Thermal Conductivity of II-VI Compounds and Phonon Scattering by Fe2+ Impurities. Phys. Rev. B 1972, 6, 3791. [Google Scholar] [CrossRef]
- Kamenev, K.V.; Courac, A.; Sokolov, P.S.; Baranov, A.N.; Sharikov, F.Y.; Solozhenko, V.L. Heat Capacities of Nanostructured Wurtzite and Rock Salt ZnO: Challenges of ZnO Nano-Phase Diagram. Solids 2021, 2, 121–128. [Google Scholar] [CrossRef]
- Luo, F.; Cheng, Y.; Cai, L.-C.; Chen, X.-R. Structure and thermodynamic properties of BeO: Empirical corrections in the quasi-harmonic approximation. J. Appl. Phys. 2013, 113, 033517. [Google Scholar] [CrossRef]
- Wdowik, U.D. Structural stability and thermal properties of BeO from the quasi-harmonic approximation. J. Phys. Condens. Matter 2010, 22, 045404. [Google Scholar] [CrossRef]
- Sun, X.W.; Liu, Z.J.; Chen, Q.F.; Lu, H.W.; Song, T.; Wang, C.W. Heat capacity of ZnO with cubic structure at high temperatures. Solid State Commun. 2006, 140, 219–224. [Google Scholar] [CrossRef]
- Serrano, J.; Kremer, R.K.; Cardona, M.; Siegle, G.; Romero, A.H.; Lauck, R. Heat capacity of ZnO: Isotope effects. Phys. Rev. B 2006, 73, 094303. [Google Scholar] [CrossRef]
- Karch, K.; Bechstedt, F. Ab initio lattice dynamics of BN and AlN: Covalent versus ionic forces. Phys. Rev. B 1997, 56, 7404. [Google Scholar] [CrossRef]
- Pavone, P.; Karch, K.; Schiitt, O.; Windl, W.; Strauch, D.; Giannozzi, P.; Baroni, S. Ab initio lattice dynamics of diamond. Phys. Rev. B 1993, 48, 3156. [Google Scholar] [CrossRef] [PubMed]
- Erba, A. On combining temperature and pressure effects on structural properties of crystals with standard ab initio techniques. J. Chem. Phys. 2014, 141, 124115. [Google Scholar] [CrossRef]
Disclaimer/Publisher’s Note: The statements, opinions and data contained in all publications are solely those of the individual author(s) and contributor(s) and not of MDPI and/or the editor(s). MDPI and/or the editor(s) disclaim responsibility for any injury to people or property resulting from any ideas, methods, instructions or products referred to in the content. |
© 2025 by the authors. Licensee MDPI, Basel, Switzerland. This article is an open access article distributed under the terms and conditions of the Creative Commons Attribution (CC BY) license (https://creativecommons.org/licenses/by/4.0/).







