(Sb0.5Li0.5)TiO3-Doping Effect and Sintering Condition Tailoring in BaTiO3-Based Ceramics
Abstract
1. Introduction
2. Experimental Procedure
3. Results and Discussion
3.1. Structure Change and Density Analysis
3.2. SEM Morphology and Grain Size Distribution
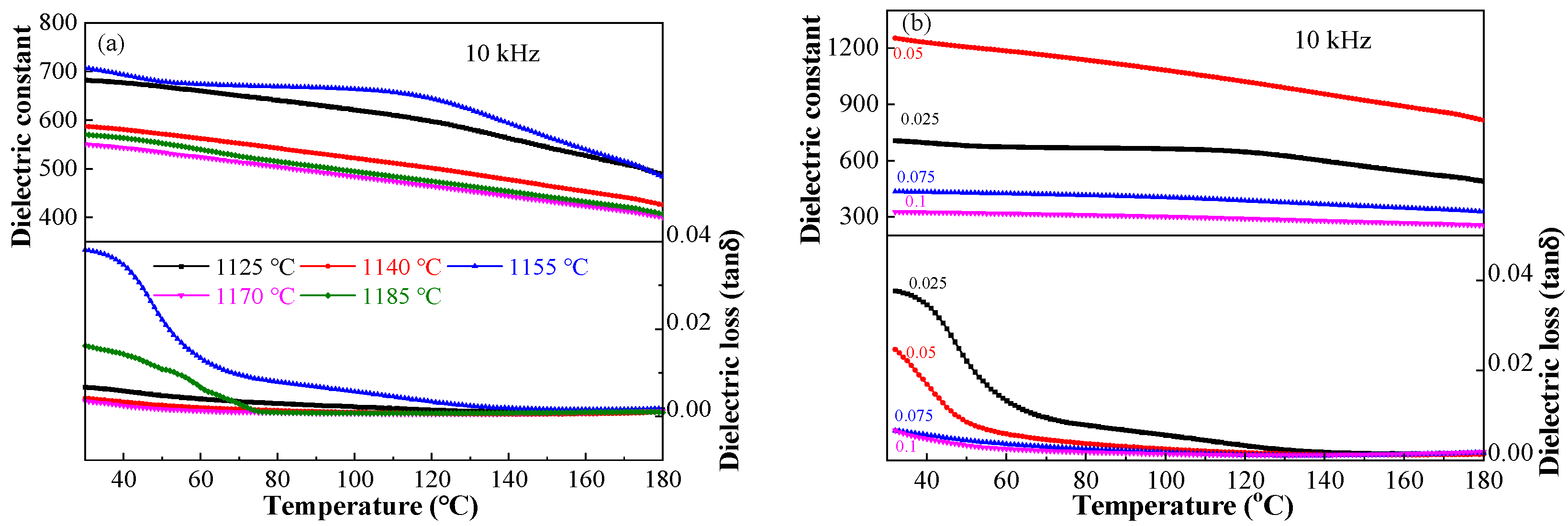
3.3. Dielectric Properties
3.4. Ferroelectric and Pulse Energy Storage Performance
4. Conclusions
Supplementary Materials
Author Contributions
Funding
Institutional Review Board Statement
Informed Consent Statement
Data Availability Statement
Conflicts of Interest
References
- Zhao, J.; Dong, K.; Dong, Y.; Dong, X.; Shahbaz, M. How renewable energy alleviate energy poverty? A global analysis. Renew. Energy 2022, 186, 299–311. [Google Scholar] [CrossRef]
- Li, Q.; Jiang, L.; Huang, G.; Wang, D.; Shepherd, J.; Dalyan, R.; Markides, C.; Taylor, R.; Scott, J. A ternary system exploiting the full solar spectrum to generate renewable hydrogen from a waste biomass feedstock. Energy Environ. Sci. 2023, 16, 3497–3513. [Google Scholar] [CrossRef]
- Yan, G.; Sun, J.; Yan, J.; Deng, T.; Fang, B.; Hao, J.; Zhang, S.; Lu, X.; Zhao, X.; Ding, J. Pulse energy-storage performance and temperature stability of Bi2O3-added BaTiO3 based ceramics. Ceram. Int. 2023, 49, 33057–33072. [Google Scholar] [CrossRef]
- Chen, M.; Zhan, S.; Yuan, Q.; Li, Y.; Lin, Y.; Yang, H. Enhanced energy storage performance of Na0.5Bi0.5TiO3 lead-free ceramics under low electric field. Mater. Today Energy. 2023, 31, 101193. [Google Scholar] [CrossRef]
- Yang, L.; Kong, X.; Li, F.; Hao, H.; Cheng, Z.; Liu, H.; Li, J.-F.; Zhang, S. Perovskite lead-free dielectrics for energy storage applications. Prog. Mater. Sci. 2019, 102, 72–108. [Google Scholar] [CrossRef]
- Matsuo, H.; Masashi, U.; Noguchi, Y. Utilizing ferrorestorable polarization in energy-storage ceramic capacitors. NPG Asia Mater. 2022, 14, 80. [Google Scholar] [CrossRef]
- Akhil Raman, T.; Nair, V.R.; Raju, K.J. Effect of nickel and cobalt co-substitution on the structural and dielectric properties of barium titanate ceramics. J. Mater. Sci. Mater. Electron. 2020, 31, 21747–21757. [Google Scholar] [CrossRef]
- Hoshina, T.; Takizawa, K.; Li, J.; Kasama, T.; Kakemoto, H.; Tsurumi, T. Domain size effect on dielectric properties of barium titanate ceramics. Jap. J. Appl. Phys. 2008, 47, 7607–7611. [Google Scholar] [CrossRef]
- Li, D.; Zeng, X.; Li, Z.; Shen, Z.; Hao, H.; Luo, W.; Wang, X.; Song, F.; Song, Z.; Li, Y. Progress and perspectives in dielectric energy storage ceramics. J. Adv. Ceram. 2021, 10, 675–703. [Google Scholar] [CrossRef]
- Ren, J.; Xu, D.; Li, D.; Zhao, W.; Xu, M.; Shi, Z.; Zhou, T.; Lin, H.; Zhou, D. Significantly enhanced energy storage density in lead-free barium strontium titanate-based ceramics through a cooperative optimization strategy. J. Mater. Chem. C 2023, 11, 16739–16747. [Google Scholar] [CrossRef]
- Diao, C.; Wang, H.; Wang, B.; He, Y.; Hou, Y.; Zheng, H. Overviews of dielectric energy storage materials and methods to improve energy storage density. J. Mater. Sci. Mater. Electron. 2022, 33, 21199–21222. [Google Scholar] [CrossRef]
- Yan, G.; Ma, M.; Li, C.; Li, Z.; Zhong, X.; Yang, J.; Wu, F.; Chen, Z. Enhanced energy storage property and dielectric breakdown strength in Li+ doped BaTiO3 ceramics. J. Alloys Compd. 2021, 857, 158021. [Google Scholar] [CrossRef]
- Xu, D.; Li, W.; Wang, L.; Wang, W.; Cao, W.; Fei, W. Large piezoelectric properties induced by doping ionic pairs in BaTiO3 ceramics. Acta Mater. 2014, 79, 84–92. [Google Scholar] [CrossRef]
- Alkathy, M.; Pattipaka, S.; Gatasheh, M.; Kassim, H.; Daoud, M.; Eiras, J. Achieving high energy storage performance and efficiency in lead-free SrTiO3 ceramics via neodymium and lithium co-doping technique. J. Asian Ceram. Soc. 2023, 11, 491–503. [Google Scholar] [CrossRef]
- Alkathy, M.; James Raju, K.; Eiras, J. Colossal dielectric permittivity and high energy storage efficiency in barium strontium titanate ceramics co-doped with bismuth and lithium. J. Phys. D Appl. Phys. 2021, 54, 125501. [Google Scholar] [CrossRef]
- Kim, J.; Ji, J.; Shin, D.; Koh, J. Improved Li and Sb doped lead-free (Na, K)NbO3 piezoelectric ceramics for energy harvesting applications. Ceram. Int. 2018, 44, 22219–22224. [Google Scholar] [CrossRef]
- Rubenis, K.; Populoh, S.; Thiel, P.; Yoon, S.; Muller, U. Thermoelectric properties of dense Sb-doped SnO2 ceramics. J. Alloys Compd. 2017, 692, 515–521. [Google Scholar] [CrossRef]
- Mei, T.; Dai, Q.; Zheng, W.; Chen, T. Strain properties and piezoelectric constant of lead-free barium titanate ceramics. Mater. Res. Express 2019, 6, 106301. [Google Scholar] [CrossRef]
- Kuwabara, M.; Matsuda, H.; Kurata, N.; Matsuyama, E. Shift of the Curie point of barium titanate ceramics with sintering temperature. J. Am. Ceram. Soc. 1997, 80, 2590–2596. [Google Scholar] [CrossRef]
- Alkathy, M.; Rahul, G.; James Raju, K. Effect of sintering temperature on structural and dielectric properties of Bi and Li co-substituted barium titanate ceramic. Ceram. Int. 2016, 42, 15432–15441. [Google Scholar] [CrossRef]
- Li, H.; Fang, B.; Zhang, S.; Lu, X.; Ding, J. Low-temperature sintering PZT-based ceramics for extreme condition application. J. Mater. Sci. Mater. Electron. 2023, 34, 1970. [Google Scholar] [CrossRef]
- He, X.; Fang, B.; Zhang, S.; Lu, X.; Ding, J. Preparation of nanoscale (Ba0.85Ca0.15)0.995Nd0.005(Ti0.9Hf0.1)O3 ceramics via hydrothermal method and effect of grain size on multifunctional performance. J. Alloys Compd. 2022, 925, 166249. [Google Scholar] [CrossRef]
- Peddigari, M.; Palneedi, H.; Hwang, G.; Ryu, J. Linear and nonlinear dielectric ceramics for high-power storage capacitor applications. J. Korean Ceram. Soc. 2019, 56, 1–23. [Google Scholar] [CrossRef]
- Yasmm, S.; Choudhury, S.; Hakim, M.; Bhuiyan, A.; Rabman, M. Effect of cerium doping on microstructure and dielectric properties of BaTiO3 ceramics. J. Mater. Sci. Technol. 2011, 27, 759–763. [Google Scholar] [CrossRef]
- Vorob’ev, G.; Ekhanin, S.; Nesmelov, N. Electrical breakdown in solid dielectrics. Phys. Solid State. 2005, 47, 1083–1087. [Google Scholar] [CrossRef]
- Bhootpur, N.; Brouwer, H.; Tang, Y. Influence of bismuth oxide as a sintering aid on the densification of cold sintering of zirconia. Ceram. Int. 2023, 49, 33495–33499. [Google Scholar] [CrossRef]
- Fu, J.; Zuo, R. Structural evidence for the polymorphic phase boundary in (Na,K)NbO3 based perovskites close to the rhombohedral-tetragonal phase coexistence zone. Acta Mater. 2020, 195, 571–578. [Google Scholar] [CrossRef]
- Li, X.; Zhang, B.; Cao, X.; Peng, B.; Ren, K. Large strain response in (Bi0.5Na0.5)TiO3-6BaTiO3-based lead-free ceramics at high temperature. Ceram. Int. 2022, 48, 9051–9058. [Google Scholar] [CrossRef]
- Alkathy, M.; Zabotto, F.; Milton, F.; Botero, E.; Gatasheh, M.; Gond, J.; Eiras, J. Effect of sintering temperature on structural, electrical, and ferroelectric properties of neodymium and sodium co-doped barium titanate ceramics. J. Mater. Sci. Mater. Electron. 2023, 34, 1144. [Google Scholar] [CrossRef]
- Wang, M.; Feng, Q.; Luo, C.; Lan, Y.; Yuan, C.; Luo, N.; Zhou, C.; Fujita, T.; Xu, J.; Chen, G.; et al. Ultrahigh energy storage density and efficiency in Bi0.5Na0.5TiO3-based ceramics via the domain and bandgap engineering. ACS Appl. Mater. Interfaces 2021, 13, 51218–51229. [Google Scholar] [CrossRef]
- Luo, C.; Wei, Y.; Feng, Q.; Wang, M.; Luo, N.; Yuan, C.; Zhou, C.; Fujita, T.; Xu, J. Significantly enhanced energy-storage properties of Bi0.47Na0.47Ba0.06TiO3-CaHfO3 ceramics by introducing Sr0.7Bi0.2TiO3 for pulse capacitor application. Chem. Eng. J. 2022, 429, 132165. [Google Scholar] [CrossRef]
- Chang, M.; Yu, S. Raman study for (Ba1−xCax)TiO3 and Ba(Ti1−yCay)O3 crystalline ceramics. J. Mater. Sci. Lett. 2000, 19, 1323–1325. [Google Scholar] [CrossRef]
- Lee, H.; Sun, W.; Luo, J.; Zhou, Z.; Li, J. Sol-gel processing and nanoscale characterization of (Bi0.5Na0.5)TiO3-SrTiO3 lead-free piezoelectric thin films. Ceram. Int. 2018, 44, 4114–4120. [Google Scholar] [CrossRef]
- Barzilay, M.; Elangovan, H.; Ivry, Y. Surface nucleation of the paraelectric phase in ferroelectric BaTiO3: Atomic scale mapping. ACS Appl. Energy Mater. 2019, 1, 2431–2436. [Google Scholar] [CrossRef]
- Hu, Z.; Li, Z.; Tang, K.; Wen, Z.; Zhu, Y. Modeling of atomic diffusion coefficient in nanostructured materials. Entropy 2018, 20, 252. [Google Scholar] [CrossRef]
- Dai, Z.; Xie, J.; Chen, Z.; Zhou, S.; Liu, J.; Liu, W.; Xi, Z.; Ren, X. Improved energy storage density and efficiency of (1−x)Ba0.85Ca0.15Zr0.1Ti0.9O3-xBiMg2/3Nb1/3O3 lead-free ceramics. Chem. Eng. J. 2021, 410, 128341. [Google Scholar] [CrossRef]
- Kang, F.; Zhang, L.; Yang, W.; Kang, R.; Xue, R.; He, L.; Sun, Q.; Zhang, T.; Wang, Z.; Wang, J.; et al. Achieving ultrahigh energy storage performance in BiFeO3-BaTiO3 based lead free relaxors via a composition optimization strategy. J. Eur. Ceram. Soc. 2022, 42, 6958–6967. [Google Scholar] [CrossRef]
- Yan, G.; Sun, J.; Yan, J.; Fang, B.; Zhang, S.; Lu, X.; Zhao, X.; Wang, F.; Ding, J. Achieving outstanding temperature and frequency stability in NaNbO3-modified (Ba0.94Li0.02La0.04)(Mg0.04Ti0.96)O3 pulse energy storage ceramics. J. Mater. Chem. A 2023, 11, 12089–12101. [Google Scholar] [CrossRef]
- Lv, J.; Li, Q.; Li, Y.; Tang, M.; Jin, D.; Yan, Y.; Fan, B.; Jin, L.; Liu, G. Significantly improved energy storage performance of NBT-BT based ceramics through domain control and preparation optimization. Chem. Eng. J. 2021, 420, 129900. [Google Scholar] [CrossRef]
- Li, Y.; Jiao, Y.; Zhang, S.; Li, Z.; Song, C.; Dong, J. Improved electric energy storage properties of BT-SBT lead-free ceramics incorporating with A-site substitution with Na & Bi ions and liquid sintering generated by Na0.5Bi0.5TiO3. J. Alloys Compd. 2021, 856, 156708. [Google Scholar] [CrossRef]












| Sintering Temperature (°C) | Bulk Density (g/cm3) | Theoretical Density (g/cm3) | Relative Density (%) | |
|---|---|---|---|---|
| 1125 | 5.4254 | 5.9216 | 91.62 | |
| 1140 | 5.4616 | 5.8723 | 93.01 | |
| x = 0.025 | 1155 | 5.7180 | 5.9189 | 96.60 |
| 1170 | 5.6355 | 5.9280 | 95.06 | |
| 1185 | 5.5578 | 5.9033 | 94.19 | |
| 1140 | 5.4616 | 5.8787 | 92.90 | |
| x = 0.05 | 1155 | 5.7366 | 5.8714 | 97.70 |
| 1170 | 5.4239 | 5.8642 | 92.49 | |
| 1140 | 5.0021 | 5.8583 | 85.38 | |
| x = 0.075 | 1155 | 5.6904 | 5.8366 | 97.50 |
| 1170 | 5.2314 | 5.8276 | 89.77 | |
| 1155 | 5.5432 | 5.7544 | 96.33 | |
| x = 0.1 | 1170 | 5.7188 | 5.7597 | 99.29 |
| 1185 | 5.5757 | 5.7731 | 96.58 |
Disclaimer/Publisher’s Note: The statements, opinions and data contained in all publications are solely those of the individual author(s) and contributor(s) and not of MDPI and/or the editor(s). MDPI and/or the editor(s) disclaim responsibility for any injury to people or property resulting from any ideas, methods, instructions or products referred to in the content. |
© 2024 by the authors. Licensee MDPI, Basel, Switzerland. This article is an open access article distributed under the terms and conditions of the Creative Commons Attribution (CC BY) license (https://creativecommons.org/licenses/by/4.0/).
Share and Cite
Yan, J.; Fang, B.; Zhang, S.; Lu, X.; Ding, J. (Sb0.5Li0.5)TiO3-Doping Effect and Sintering Condition Tailoring in BaTiO3-Based Ceramics. Materials 2024, 17, 2085. https://doi.org/10.3390/ma17092085
Yan J, Fang B, Zhang S, Lu X, Ding J. (Sb0.5Li0.5)TiO3-Doping Effect and Sintering Condition Tailoring in BaTiO3-Based Ceramics. Materials. 2024; 17(9):2085. https://doi.org/10.3390/ma17092085
Chicago/Turabian StyleYan, Juanwen, Bijun Fang, Shuai Zhang, Xiaolong Lu, and Jianning Ding. 2024. "(Sb0.5Li0.5)TiO3-Doping Effect and Sintering Condition Tailoring in BaTiO3-Based Ceramics" Materials 17, no. 9: 2085. https://doi.org/10.3390/ma17092085
APA StyleYan, J., Fang, B., Zhang, S., Lu, X., & Ding, J. (2024). (Sb0.5Li0.5)TiO3-Doping Effect and Sintering Condition Tailoring in BaTiO3-Based Ceramics. Materials, 17(9), 2085. https://doi.org/10.3390/ma17092085

