Functionalization of the NiTi Shape Memory Alloy Surface through Innovative Hydroxyapatite/Ag-TiO2 Hybrid Coatings
Abstract
1. Introduction
2. Materials and Methods
2.1. Substrate
2.2. Preparation of Suspension, Electrophoretic Deposition, and Heat Treatment
2.3. Method of Testing
3. Results and Discussion
3.1. Morphological and Structural Characteristics of Deposited Hybrid HAp/Ag-TiO2 Coatings
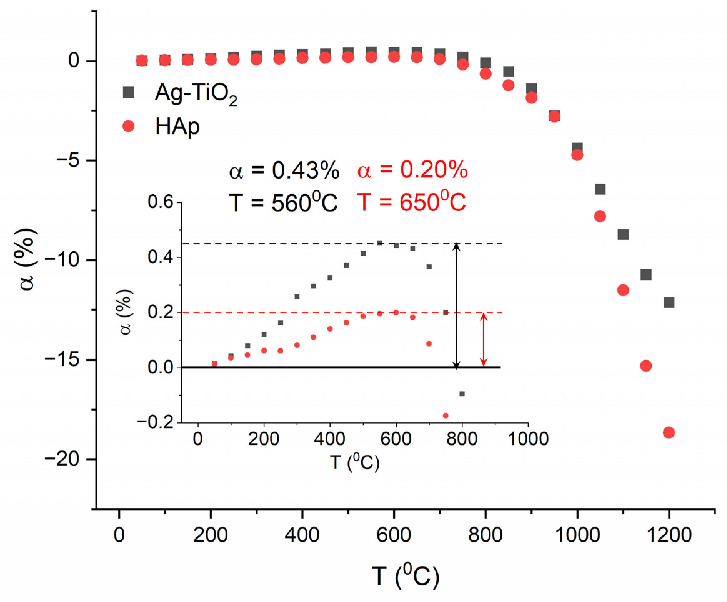
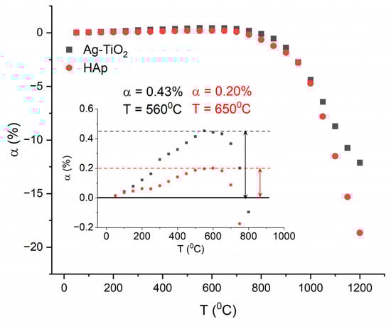
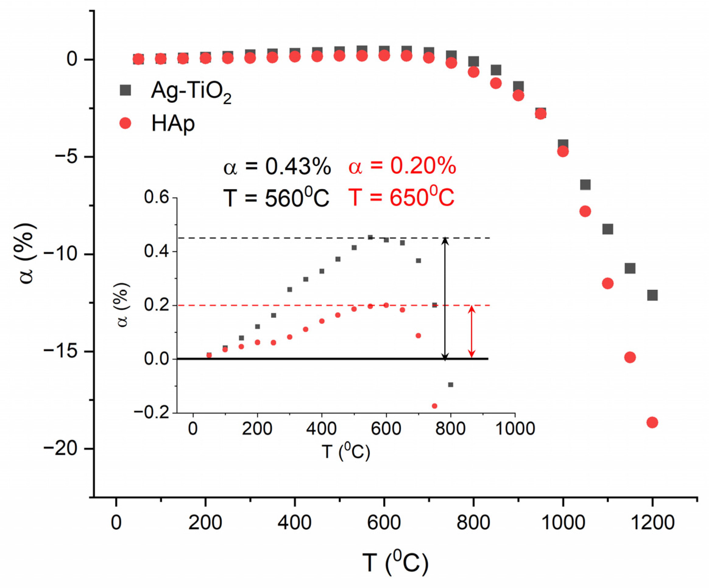
3.2. Determination of the Heat-Treatment Temperature of HAp/Ag-TiO2 Coatings
3.3. Morphological and Structural Characteristics of Heat-Treated HAp/Ag-TiO2 Coatings
4. Conclusions
Supplementary Materials
Author Contributions
Funding
Institutional Review Board Statement
Informed Consent Statement
Data Availability Statement
Conflicts of Interest
References
- Chen, X.; Li, H.; Ma, Y.; Jiang, Y. Calcium Phosphate-Based Nanomaterials: Preparation, Multifunction, and Application for Bone Tissue Engineering. Molecules 2023, 28, 4790. [Google Scholar] [CrossRef]
- Dorozhkin, S.V. Calcium orthophosphate deposits: Preparation, properties and biomedical applications. Mater. Sci. Eng. C Mater. Biol. Appl. 2015, 55, 272–326. [Google Scholar] [CrossRef] [PubMed]
- Santiago-Medina, P.; Sundaram, P.A.; Diffoot-Carlo, N. Titanium oxide: A bioactive factor in osteoblast differentiation. Int. J. Dent. 2015, 2015, 357653. [Google Scholar] [CrossRef] [PubMed]
- Chouirfa, H.; Bouloussa, H.; Migonney, V.; Falentin-Daudré, C. Review of titanium surface modification techniques and coatings for antibacterial applications. Acta Biomater. 2019, 83, 37–54. [Google Scholar] [CrossRef] [PubMed]
- Vieira, A.; Rodríguez-Lorenzo, L.; Leonor, I.B.; Reis, R.L.; Espiña, B.; Barreiros dos Santos, M. Innovative Antibacterial, Photocatalytic, Titanium Dioxide Microstructured Surfaces Based on Bacterial Adhesion Enhancement. ACS Appl. Bio Mater. 2023, 6, 754–764. [Google Scholar] [CrossRef] [PubMed]
- Jia, L.; Qiu, J.; Du, L.; Li, Z.; Liu, H.; Ge, S. TiO2 Nanorod Arrays as a Photocatalytic Coating Enhanced Antifungal and Antibacterial Efficiency of Ti Substrates. Nanomedicine 2017, 12, 761–776. [Google Scholar] [CrossRef] [PubMed]
- Ge, L.; Li, Q.; Wang, M.; Ouyang, J.; Li, X.; Xing, M.M. Nanosilver particles in medical applications: Synthesis, performance, and toxicity. Int. J. Nanomed. 2014, 16, 2399–2407. [Google Scholar] [CrossRef]
- Morozova, V.O.; Klinov, V.D. Nanosilver in Biomedicine: Advantages and Restrictions. In Silver Micro-Nanoparticles—Properties, Synthesis, Characterization, and Applications; IntechOpen: London, UK, 2021. [Google Scholar] [CrossRef]
- Djokić, S. Biomedical and Pharmaceutical Applications of Electrochemistry; Springer: Berlin/Heidelberg, Germany, 2016. [Google Scholar]
- Dulski, M.; Dudek, K.; Chalon, D.; Kubacki, J.; Sulowicz, S.; Piotrowska-Seget, Z.; Mrozek-Wilczkiewicz, A.; Gawecki, R.; Nowak, A. Toward the development of an innovative implant: NiTi alloy functionalized by multifunctional β-TCP+Ag/SiO2 coatings. ACS Appl. Bio Mater 2019, 2, 987–999. [Google Scholar] [CrossRef] [PubMed]
- Yoneyama, T.; Miyazaki, S. (Eds.) Shape Memory Alloys for Biomedical Applications, 1st ed.; Woodhead Publishing: Cambridge, UK, 2008. [Google Scholar]
- Shabalovskaya, S.; Anderegg, J.; Van Humbeeckm, J. Critical overview of Nitinol surfaces and their modifications for medical applications. Acta Biomater. 2008, 4, 447–467. [Google Scholar] [CrossRef]
- Corni, I.; Ryan, M.P.; Boccaccini, A.R. Electrophoretic deposition: From traditional ceramics to nanotechnology. J. Eur. Ceram. Soc. 2008, 28, 1353–1367. [Google Scholar] [CrossRef]
- Łosiewicz, B.; Popczyk, M.; Goryczka, T.; Lelątko, J.; Smołka, A.; Kowalski, P. Structure and Resistance to Electrochemical Corrosion of NiTi Alloy. Solid State Phenom. 2013, 203–204, 335–338. [Google Scholar] [CrossRef]
- Dudek, K.; Dulski, M.; Podwórny, J.; Kujawa, M.; Rawicka, P. Optimi-zation of the Electrophoretic Deposition Parameters and Mechanism of Formation of Ag-TiO2 Nano-coating on a NiTi Shape Memory Alloy: Part I. Coatings 2023, 13, 44. [Google Scholar] [CrossRef]
- Hollricher, O.; Ibach, W. High-Resolution Optical and Confocal Microscopy. In Confocal Raman Microscopy; Springer: Berlin/Heidelberg, Germany, 2010; pp. 1–20. [Google Scholar] [CrossRef]
- Mazza, T.; Barborini, E.; Piseri, P.; Milani, P. Raman spectroscopy characterization of TiO2 rutile nanocrystals. Phys. Rev. B Condens. Matter Mater. Phys. 2007, 75, 045416-5. [Google Scholar] [CrossRef]
- Porto, S.P.; Fleury, P.A.; Damen, T.C. Raman Spectra of TiO2, MgF2, ZnF2, FeF2, and MnF2. Phys. Rev. B 1967, 154, 522–526. [Google Scholar] [CrossRef]
- Kernazhitsky, L.; Shymanovska, V.; Gavrilko, T.; Naumov, V.; Fedorenko, L.; Kshnyakin, V.; Baran, J. Laser-Excited Excitonic Luminescence of Nanocrystalline TiO2 Powder. Ukr. J. Phys. 2018, 59, 246. [Google Scholar] [CrossRef]
- Parker, J.C.; Siegel, R.W. Calibration of the Raman spectrum to the oxygen stoichiometry of nanophase TiO2. Appl. Phys. Lett. 1990, 57, 943–945. [Google Scholar] [CrossRef]
- Zahornyi, M.M.; Tyschenko, N.I.; Lobunet, T.F.; Kolomys, O.F.; Strelchuk, V.V.; Naumenko, K.S.; Biliavska, L.O.; Zahorodnia, S.D.; Lavrynenko, O.M.; Ievtushenko, A.I. The Effect of Ag Content on the Structural, Optical, and Cytotoxicity Properties of TiO2 Nanopowders Grown from TiO(OH)2 Precursor by the Chemical Deposition Method. J. Nano-Electron. Phys. 2021, 13, 06009. [Google Scholar] [CrossRef]
- Martína, I.; Wiesinger, R.; Schreiner, M. Micro-Raman Characterisation of Silver Corrosion Products: Instrumental Set Up and Reference Database. E-Preserv. Sci. 2012, 9, 1–8. [Google Scholar]
- Bao, X.; Muhler, M.; Pettinger, B.; Schlögl, R. On the nature of the active state of silver during catalytic oxidation of methanol. Catal. Lett. 1993, 22, 215–225. [Google Scholar] [CrossRef]
- Millar, G.J.; Metson, J.B.; Bowmaker, G.A.; Cooney, R.P. In situ Raman studies of the selective oxidation of methanol to formaldehyde and ethene to ethylene oxide on a polycrystalline silver catalyst. J. Chem. Soc. 1995, 91, 4149–4159. [Google Scholar] [CrossRef]
- Pettinger, B.; Bao, X.; Wilcock, I.C.; Muhler, M.; Ertl, G. Surface-enhanced Raman scattering from surface and subsurface oxygen species at microscopically well-defined Ag surfaces. Phys. Rev. Lett. 1994, 72, 1561–1564. [Google Scholar] [CrossRef]
- Bao, X.; Muhler, M.; Pettinger, B.; Uchida, Y.; Lehmpful, G.; Schlögl, R.; Ertl, G. The effect of water on the formation of strongly bound oxygen on silver surfaces. Catal. Lett. 1995, 32, 171–183. [Google Scholar] [CrossRef]
- De Aza, P.N.; Guitian, F.; Santos, C.; de Aza, S.; Cusco, R.; Artus, L. Vibrational Properties of Calcium Phosphate Compounds. 2. Comparison between Hydroxyapatite and β-Tricalcium Phosphate. Chem. Mater. 1997, 9, 916–922. [Google Scholar] [CrossRef]
- Cusco, R.; Guitian, F.; de Aza, S.; Artus, L. Differentiation between Hydroxyapatite and β-Tricalcium Phosphate by Means of μ-Raman Spectroscopy. J. Eur. Ceram. Soc. 1998, 18, 1301–1305. [Google Scholar] [CrossRef]
- Dudek, K.; Dulski, M.; Goryczka, T.; Gerle, A. Structural changes of hydroxyapatite coating electrophoretically deposited on NiTi shape memory alloy. Ceram. Int. 2018, 44, 11292–11300. [Google Scholar] [CrossRef]
- Dudek, K.; Dulski, M.; Łosiewicz, B. Functionalization of the NiTi Shape Memory Alloy Surface by HAp/SiO2/Ag Hybrid Coatings Formed on SiO2-TiO2 Glass Interlayer. Materials 2020, 13, 1648. [Google Scholar] [CrossRef] [PubMed]
- Zhitomirsky, I. Cathodic electrodeposition of ceramic and organoceramic materials. Fundamental aspects. Adv. Colloid Interface 2002, 97, 279–317. [Google Scholar] [CrossRef] [PubMed]
- Goryczka, T.; Dudek, K.; Lelątko, J.; Wierzchoń, T. Martensitic transformation in NiTi alloy covered by protective multi-layers. Mater. Today Proc. 2015, 2, S779–S783. [Google Scholar] [CrossRef]
- Norby, P.; Dinnebier, R.; Fitch, A.N. Decomposition of Silver Carbonate—The Crystal Structure of Two High-Temperature Modifications of Ag2CO3. Inorg. Chem. 2002, 41, 3628–3637. [Google Scholar] [CrossRef] [PubMed]
- Waterhouse, G.I.N.; Bowmaker, G.A.; Metson, J.B. The thermal decomposition of silver (I, III) oxide: A combined XRD, FT-IR and Raman spectroscopic study. Phys. Chem. Chem. Phys. 2001, 3, 3838–3845. [Google Scholar] [CrossRef]
- Zhang, D.; Zhang, C.; Liu, J.; Chen, Q.; Zhu, X.; Liang, C. Carbon-Encapsulated Metal/Metal Carbide/Metal Oxide Core–Shell Nanostructures Generated by Laser Ablation of Metals in Organic Solvents. ACS Appl. Nano Mater. 2019, 2, 28–39. [Google Scholar] [CrossRef]
- Li, J.G.; Tsai, C.Y.; Kuo, S.W. Fabrication and Characterization of Inorganic Silver and Palladium Nanostructures within Hexagonal Cylindrical Channels of Mesoporous Carbon. Polymers 2014, 6, 1794–1809. [Google Scholar] [CrossRef]








Disclaimer/Publisher’s Note: The statements, opinions and data contained in all publications are solely those of the individual author(s) and contributor(s) and not of MDPI and/or the editor(s). MDPI and/or the editor(s) disclaim responsibility for any injury to people or property resulting from any ideas, methods, instructions or products referred to in the content. |
© 2024 by the authors. Licensee MDPI, Basel, Switzerland. This article is an open access article distributed under the terms and conditions of the Creative Commons Attribution (CC BY) license (https://creativecommons.org/licenses/by/4.0/).
Share and Cite
Dudek, K.; Dulski, M.; Podwórny, J.; Kujawa, M.; Gerle, A.; Rawicka, P. Functionalization of the NiTi Shape Memory Alloy Surface through Innovative Hydroxyapatite/Ag-TiO2 Hybrid Coatings. Materials 2024, 17, 604. https://doi.org/10.3390/ma17030604
Dudek K, Dulski M, Podwórny J, Kujawa M, Gerle A, Rawicka P. Functionalization of the NiTi Shape Memory Alloy Surface through Innovative Hydroxyapatite/Ag-TiO2 Hybrid Coatings. Materials. 2024; 17(3):604. https://doi.org/10.3390/ma17030604
Chicago/Turabian StyleDudek, Karolina, Mateusz Dulski, Jacek Podwórny, Magdalena Kujawa, Anna Gerle, and Patrycja Rawicka. 2024. "Functionalization of the NiTi Shape Memory Alloy Surface through Innovative Hydroxyapatite/Ag-TiO2 Hybrid Coatings" Materials 17, no. 3: 604. https://doi.org/10.3390/ma17030604
APA StyleDudek, K., Dulski, M., Podwórny, J., Kujawa, M., Gerle, A., & Rawicka, P. (2024). Functionalization of the NiTi Shape Memory Alloy Surface through Innovative Hydroxyapatite/Ag-TiO2 Hybrid Coatings. Materials, 17(3), 604. https://doi.org/10.3390/ma17030604

