The Use of Diatomite-Based Composites for the Immobilization of Toxic Heavy Metals in Industrial Wastes Using Post-Flotation Sediment as an Example
Abstract
1. Introduction
2. Material and Methods
2.1. Selection of Diatomite
2.2. Materials Used as Additives
2.3. Procedure for Preparing Test Mixtures
2.4. Procedure for Modifying Mixtures
2.5. The Dry Matter Content, pH, and EC in the Composites
2.6. The Negative Surface Charge and the Distribution Function of the Apparent Dissociation Constants
2.7. FT-IR Spectroscopic Study on Structure
2.8. Incubation Experiment
2.9. Chemical and Ecotoxicological Analyses After Incubation in PFS
2.10. Statistics
3. Results
3.1. The Dry Matter (DM) Content and pH and EC Values of the Composites
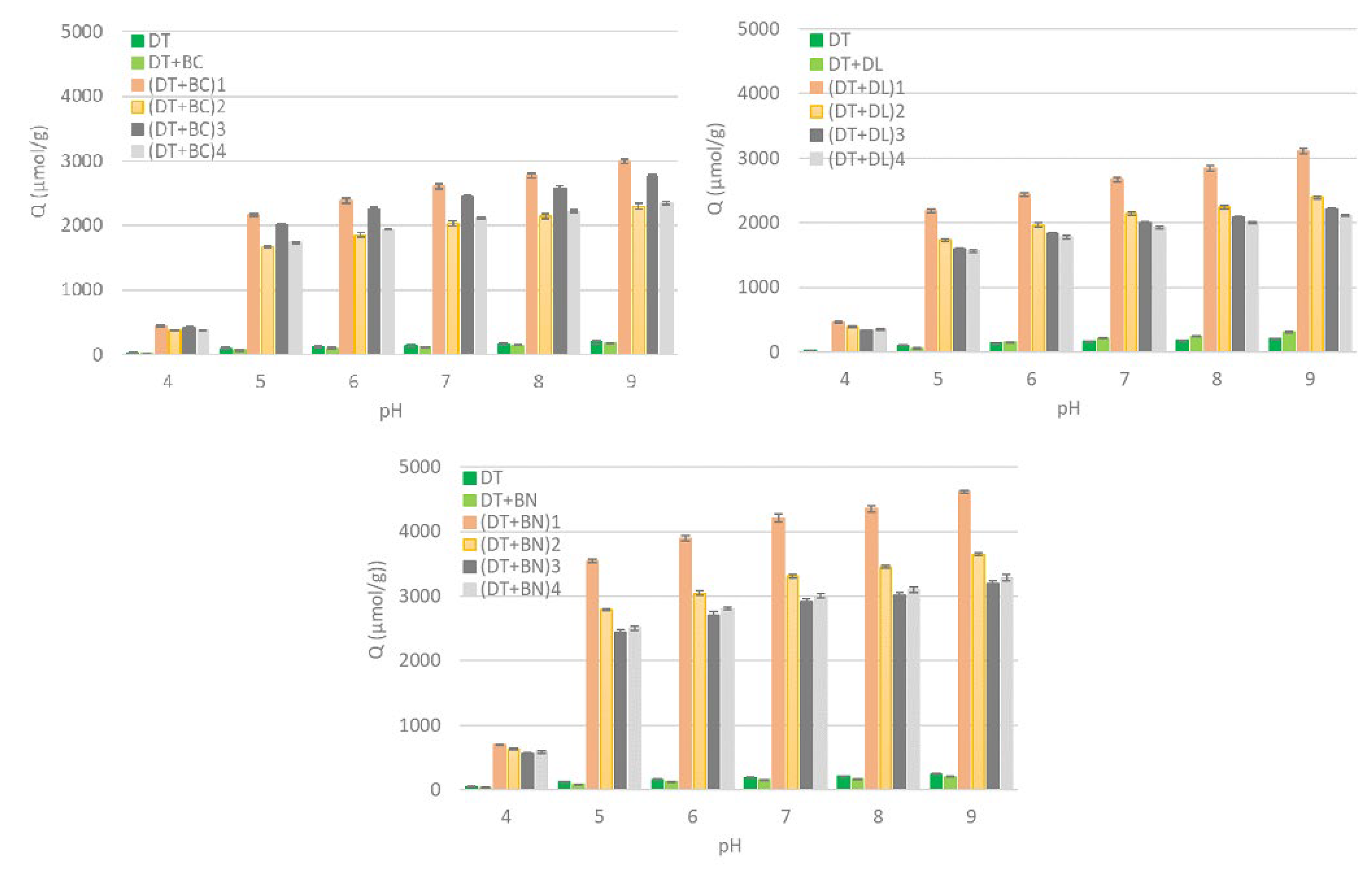
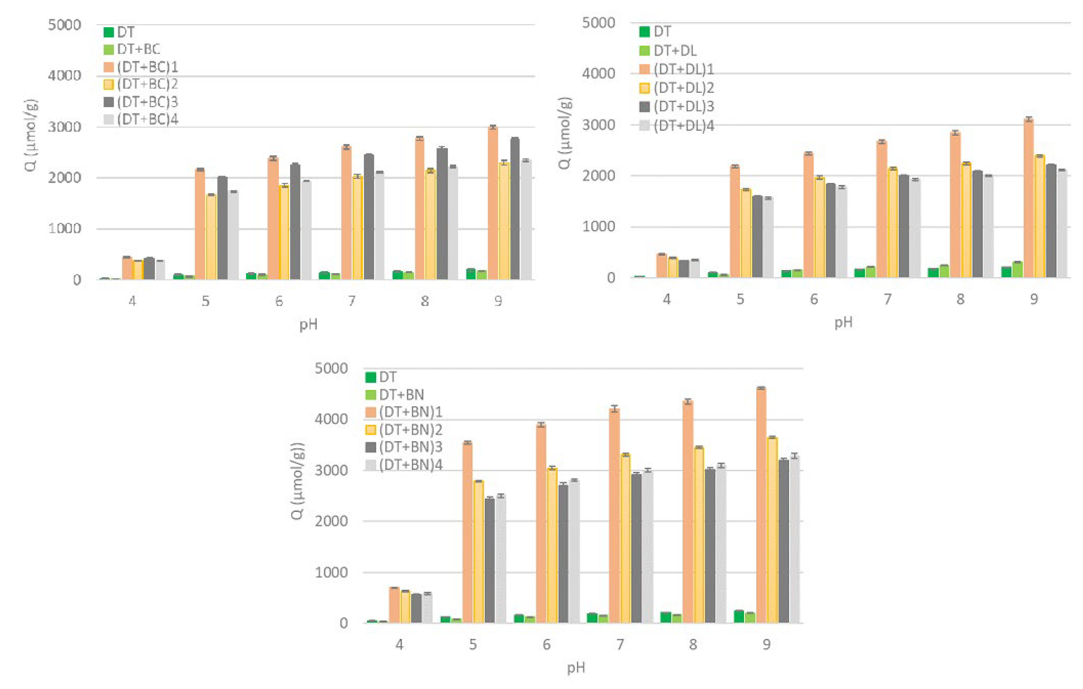
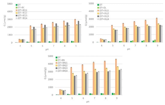
3.2. The Negative Surface Charge and the Distribution Function of the Apparent Dissociation Constants
3.3. An FT-IR Spectroscopic Study on the Structure of Diatomite-Based Composites
3.4. Mobility of Heavy Metals
3.5. Ecotoxicity of PFS After Composite Application
4. Discussion
5. Conclusions
Supplementary Materials
Author Contributions
Funding
Institutional Review Board Statement
Informed Consent Statement
Data Availability Statement
Conflicts of Interest
References
- Hussain, M.; Ali, V.; Pourebrahimi, S.; Ahmadi, S.; Ghosh, S. Chemical methods of metal management: Coagulation, flocculation, and flotation. In Heavy Metals in the Environment: Management Startegies for Global Pollution; ACS Publication: Washington, WA, USA, 2023; Volume 15, pp. 297–312. [Google Scholar] [CrossRef]
- Gahrouei, A.E.; Rezapour, A.; Pirooz, M.; Pourebrahimi, S. From classic to cutting-edge solutions: A comprehensive review of materials and methods for heavy metal removal from water environments. Desalin. Water Treat. 2024, 319, 100446. [Google Scholar] [CrossRef]
- Ciarkowska, K.; Hanus-Fajerska, E.; Gambuś, F.; Muszyńska, E.; Czech, T. Phytostabilization of Zn-Pb ore flotation tailings with Dianthus carthusianorum and Biscutella laevigata after amending with mineral fertilizers or sewage sludge. J. Environ. Manag. 2017, 189, 78–83. [Google Scholar] [CrossRef] [PubMed]
- Gondek, K.; Mierzwa-Hersztek, M.; Kopeć, M.; Bajda, T. Phytostabilisation on post-flotation sediment waste: Mobility of heavy metals and stimulation of biochemical processes by mineral-organic mixtures. J. Soil Sediments 2020, 20, 3502–3513. [Google Scholar] [CrossRef]
- Chen, S.; Wang, Y.; Xing, Z.; Xia, S.; Zhan, T. Synergistic effects of vegetation and microorganisms on enhancing of biodegradation of landfill gas. Environ. Res. 2023, 227, 115804. [Google Scholar]
- Shah, B.D.; Mehta, M.J.; Khapre, A. Performance evaluation of phytocapping as covering for sanitary landfill sites. ADBU J. Eng. Technol. 2010, 10, 2348–7305. [Google Scholar]
- Vaverková, M.D.; Radziemska, M.; Bartoň, S.; Cerdà, A.; Koda, E. The use of vegetation as a natural strategy for landfill restoration. Land Degrad. Dev. 2018, 29, 3674–3680. [Google Scholar] [CrossRef]
- Bashir, S.; Adeel, M.; Gulshan, A.B.; Iqbal, J.; Khan, S.; Rehman, M.; Azeem, M. Effects of organic and inorganic passivators on the immobilization of cadmium in contaminated soils: A review. Environ. Eng. Sci. 2019, 36, 986–998. [Google Scholar] [CrossRef]
- Wang, L.; Wang, Y.; Ma, F.; Tankpa, V.; Bai, S.; Guo, X.; Wang, X. Mechanisms and reutilization of modified biochar used for removal of heavy metals from wastewater: A review. Sci. Total Environ. 2019, 668, 1298–1309. [Google Scholar] [CrossRef]
- Hayyat, A.; Javed, M.; Rasheed, I.; Ali, S.; Shahid, M.J.; Rizwan, M.; Javed, M.; Ali, Q. Role of biochar in remediating heavy metals in soil. Phytoremediation 2016, 3, 421–437. [Google Scholar]
- Li, Z.; Chen, L.; Chen, Z.; Chen, G.; Zhou, J.; Liu, X. Study of effect on Mn, Pb, and Zn solidification in soil by a Mied curing agent of modified diatomite. ACS Omega 2022, 7, 25229–25238. [Google Scholar] [CrossRef]
- Gondek, K.; Micek, P.; Baran, A.; Bajda, T.; Kowal, J.; Lis, M.; Wyrobisz-Papiewska, A.; Wojtysiak, D.; Smoroń, K. Modified natural diatomite with various additives and its environmental potential. Materials 2023, 16, 4494. [Google Scholar] [CrossRef] [PubMed]
- Shen, T.-M.; Xu, H.; Miao, Y.; Ma, L.-L.; Chen, N.-C.; Xie, Q.-L. Study on the adsorption process of Cd(II) by Mn-diatomite modified adsorbent. Mate Lett. 2020, 300, 130087. [Google Scholar] [CrossRef]
- Ren, Z.; He, Y.; Zheng, R.; Guo, Z.; Gao, H.; He, X.; Wu, F.; Ji, X. The preparation and chracterization of calcined diatomite with high adsorption properties by CaO hydrothermal activation. Colloids Surf. A Physicochem. Eng. Asp. 2022, 636, 128134. [Google Scholar] [CrossRef]
- Crawford, C.B.; Quinn, B. The interactions of microplastics and chemical pollutants. Microplastic Pollut 2017, 7, 131–157. [Google Scholar]
- Chai, W.S.; Cheun, J.Y.; Kumar, P.S.; Mubashir, M.; Majeed, Z.; Banat, F.; Ho, S.-H.; Show, P.L. A review on conventional and novel materials towards heavy metal adsorption in wastewater treatment application. J. Clean Prod. 2021, 296, 126589. [Google Scholar] [CrossRef]
- Raji, Z.; Karim, A.; Karam, A.; Khalloufi, S. Adsorption of heavy metals: Mechanisms, kinetics, and applications of various adsorbents in wastewater remediation—A Review. Waste 2023, 1, 775–805. [Google Scholar] [CrossRef]
- Tripathi, A.; Ranjan, M.R. Heavy metal removal from wastewater using low cost adsorbents. Bioremediat. Biodegrad. 2015, 6, 1000315. [Google Scholar] [CrossRef]
- Aksakal, E.L.; Angin, I.; Oztas, T. Effects of diatomite on soil physical properties. Catena 2012, 88, 1–5. [Google Scholar] [CrossRef]
- Ye, X.; Kang, S.; Wang, H.; Li, H.; Zhang, Y.; Wang, G.; Zhao, H. Modified natural diatomite and its enhanced immobilization of lead, copper and cadmium in simulated contaminated soils. J. Hazard. Mater. 2015, 289, 210–218. [Google Scholar] [CrossRef]
- Haque, S.N.; Bhuyan, M.M.; Jeong, J.-H. Radiation-induced hydrogel for water treatment. Gels 2024, 10, 375. [Google Scholar] [CrossRef]
- Makó, É.; Senkár, Z.; Kristóf, J.; Vágvölgyi, V. Surface modification of mechanochemically activated kaolinites by selective leaching. J. Colloids Interface Sci. 2006, 294, 362–370. [Google Scholar] [CrossRef] [PubMed]
- Tole, I.; Habermehl-Cwirzen, K.; Cwirzen, A. Mechanochemical activation of natural clay minerals: An alternative to produce sustainable cementitious binders–review. Miner. Petrol 2019, 113, 449–462. [Google Scholar] [CrossRef]
- Moraes, D.S.; Miranda, L.C.R.; Angélica, R.S.; Filho, G.N.R.; Zamian, J.R. Functionalization of bentonite and vermiculite after the creation of structural defects through an acid leaching process. J. Braz. Chem. Soc. 2018, 29, 320–327. [Google Scholar] [CrossRef]
- Shameem, M.M.; Sasikanth, S.M.; Annamalai, R.; Raman, R.G. A brief review on polimer nanocomposites and its applications. Mater. Today Proc. 2012, 45, 2536–2539. [Google Scholar] [CrossRef]
- Szatanik-Kloc, A.; Warchulska, P.; Józefaciuk, G. Changes in variable charge and acidity of rye (Secale cereale L.) roots surface under Zn-stress. Acta Physiol. Plant 2009, 31, 59–64. [Google Scholar] [CrossRef]
- Rauret, G.; Lopez-Sanchez, J.F.; Sahuquillo, A.; Barahona, E.; Lachica, A.M.; Ure, A.; Davidson, C.M.; Gomez, A.; Luck, D.; Bacon, J.; et al. Application of a modified BCR sequencial extraction (three-step) procedure for the determination of extractable trace metal contents in a sewage sludge amended soil reference material (CRM483), complemented by a three-year stability study of acetic acid and EDTA extractable metal content. J. Environ. Monit. 2000, 2, 228–233. [Google Scholar]
- Baran, A.; Tack, F.M.G.; Delemazure, A.; Wieczorek, J.; Boguta, P.; Skic, K. Use of selected amendments for reducing metal mobility and ecotoxicity in contaminated bottom sediments. J. Environ. Manag. 2024, 360, 121183. [Google Scholar] [CrossRef]
- Liang, G.; Zhang, B.; Lin, M.; Wu, S.; Hou, H.; Zhang, J.; Qian, G.; Huang, X.; Zhou, J. Evaluation of heavy metal mobilization in creek sediment: Influence of RAC values and ambient environmental factors. Sci. Total Environ. 2017, 607–660, 1339–1347. [Google Scholar] [CrossRef]
- Ostracodtoxkit, F. Direct contact toxicity test for freshwater sediments. In Standard Operational Procedure; MicroBioTest Inc.: Nazareth, Belgium, 2001; Volume 35. [Google Scholar]
- Microbics Corporation. Microtox Manual Toxicity Testing Handbook; Microbics Corporation: Carlsbad, CA, USA, 1992. [Google Scholar]
- Cybulak, M.; Sokołowska, Z.; Boguta, P. The influence of biochar on the content of carbon and the chemical transformations of fallow and grassland humic acids. Sci. Rep. 2021, 11, 5698. [Google Scholar] [CrossRef]
- Sokołowska, Z.; Szajdak, L.; Boguta, P. Effect of phosphates on dissolved organic matter release from peat-muck soils. Int. Agrophys. 2011, 25, 173–180. [Google Scholar]
- Warchola, T.J.; Flynn, S.L.; Robbins, L.; Liu, Y.; Gauger, T.; Kovalchuk, O.; Konhauser, K.O. Field- and lab-based potentiometric titrations of microbial mats from the fairmont hot spring, Canada. Geomicrobiol. J. 2017, 34, 851–863. [Google Scholar] [CrossRef][Green Version]
- Reka, A.; Pavlovski, B.; Fazlija, E.; Berisha, A.; Pacarizi, M.; Daghmehchi, M.; Sacalis, C.; Jovanovski, G.; Makreski, P.; Oral, A. Diatomaceous earth: Characterization, thermal modification, and application. Open Chem. 2021, 19, 451–461. [Google Scholar] [CrossRef]
- Yuan, P.; Liu, D.; Tan, D.-Y.; Liu, K.-K.; Yu, H.-G.; Zhong, Y.-H.; Yuan, A.-H.; Yu, W.-B.; He, H.-P. Surface silylation of mesoporous/macroporous diatomite (diatomaceous earth) and its function in Cu(II) adsorption: The effects of heating pretreatment. Microporous Mesoporous Mater. 2013, 170, 9–19. [Google Scholar] [CrossRef]
- Ozdemir, C.; Gumus, O.Y.; Calis-Ismetoglu, G.; Unal, H.I. Electroactively smart vibration damping suspensions of diatomite/silicone oil. Rheol. Acta 2022, 61, 459–472. [Google Scholar] [CrossRef]
- Alfattani, R.; Shah, M.A.; Siddiqui, M.I.H.; Ali, M.A.; Alnaser, I.A. Bio-char characterization produced from walnut shell biomass through slow pyrolysis: Sustainable for soil amendment and an alternate bio-fuel. Energies 2022, 15, 1. [Google Scholar] [CrossRef]
- Leng, L.; Xu, S.; Liu, R.; Yu, T.; Zhuo, X.; Leng, S.; Xiong, Q.; Huang, H. Nitrogen containing functional groups of biochar: An overview. Bioresour. Technol. 2019, 289, 122286. [Google Scholar] [CrossRef]
- Manni, A.; Boumbimba, R.; Mikdam, A.; El Bouari, A.; Meziani, J.; Wary, M. Magnesite and dolomite micro-particles: Preparation, physical properties and application in bio-based polymer composite. Polym. Bull. 2022, 79, 2149–2171. [Google Scholar] [CrossRef]
- Ravindra Reddy, T.; Kaneko, S.; Endo, T.; Lakshmi Reddy, S. Spectroscopic Characterization of Bentonite. J. Laser Opt. Photonics 2017, 4, 3. [Google Scholar]
- Granados, P.; Mireles, S.; Pereira, E.; Cheng, C.-L.; Kang, J.J. Effects of biochar production methods and biomass types on lead removal from aqueous solution. Appl. Sci. 2022, 12, 5040. [Google Scholar] [CrossRef]
- Wang, L.; Rinklebe, J.; Tack, F.M.G.; Hou, D. A review of green remediation strategies for heavy metal contaminated soil. Soil. Use Manag. 2021, 37, 936–963. [Google Scholar] [CrossRef]
- Devi, P.; Saroha, A.K. Risk analysis of pyrolyzed biochar made from paper mill effluent treatment plant sludge for bioavailability and ecotoxicity of heavy metals. Bioresour. Technol. 2014, 62, 308–315. [Google Scholar] [CrossRef] [PubMed]
- Naji, A.; Sohrabi, T. Distribution and contamination pattern of heavy metals from surface sediments in the southern part of Caspian Sea, Iran. Chem. Speciat. Bioavailab. 2015, 27, 29–43. [Google Scholar] [CrossRef]
- Mariani, L.; Grenni, P.; Caracciolo, A.; Pescatore, T.; Spataro, F.; Rauseo, J.; Narciso, A.; Rolando, L.; Patrolecco, L. Use of the Heterocypris incongruens bioassay for assessing ecotoxicity of soils containing the anionic surfactant sodium lauryl ether sulphate (SLES). Ecol. Indic. 2022, 145, 109597. [Google Scholar] [CrossRef]
- Marín-Alzate, N.; Tobón, J.I.; Bertolotti, B.; Caceda, M.E.Q.; Flores, E. Evaluation of the properties of diatomaceous earth in relation to their performance in the removal of heavy metals from contaminated effluents. Water Air Soil. Pollut. 2021, 232, 122. [Google Scholar] [CrossRef]
- Jung, K.-W.; Jang, D.; Ahn, K.-H. A novel approach for improvement of purity and porosity in diatomite (diatomaceous earth) by applying an electric field. Int. J. Miner. Process 2014, 131, 7–11. [Google Scholar] [CrossRef]
- Boriskov, D.; Efremova, S.; Komarova, N.; Tikhomirova, E.; Bodrov, A. Applicability of the modified diatomite for treatment of wastewater containing heavy metals. In Proceedings of the International Conference on Efficient Production and Processing (ICEPP-2021), Kazan, Russia, 26 February 2021; Volume 247, p. 01052. [Google Scholar]
- Steudel, A.; Batenburg, L.F.; Fischer, H.R.; Weidler, P.G.; Emmerich, K. Alteration of swelling clay minerals by acid activation. Appl. Clay Sci. 2009, 44, 105–115. [Google Scholar] [CrossRef]
- Pluangklang, C.; Rangsriwatananon, K. Facile method by bentonite treated with heat and acid to enhance pesticide adsorption. Appl. Sci. 2021, 11, 5147. [Google Scholar] [CrossRef]
- Sinpichai, S.; Yuangsawad, R.; Na-Ranong, D. Effects of acid and alkaline treatments on efficiency of diatomaceous earth in removal of tetracycline in aqueous solution. ASEAN Eng. J. 2023, 13, 173–179. [Google Scholar] [CrossRef]
- Ahmed, I.M.; Attia, L.A.; Attallah, M.F. Modification of perlite to prepare low cost zeolite as adsorbent material for removal of 144Ce and 152+154 Eu from aqueous solution. Radiochim. Acta 2020, 108, 727–735. [Google Scholar] [CrossRef]
- Xiong, W.; Peng, J. Development and characterization of ferrihydrite-modified diatomite as a phosphorus adsorbent. Water Res. 2008, 42, 4869–4877. [Google Scholar] [CrossRef]
- Fazeli Sangani, M.; Forghani, A.; Boguta, P.; Anoosha, M.; Owens, G. Optimal isotherm model and explanatory characteristics associated with metal ion adsorption on humic acids isolated from forest soils. J. Soils Sediments 2022, 22, 2392–2405. [Google Scholar]
- Tsai, W.-T.; Hsien, K.-J.; Lai, C.-W. Chemical activation of spent diatomaceous earth by alkaline etching in the preparation of mesoporous adsorbents. Ind. Eng. Chem. Res. 2004, 43, 7513–7520. [Google Scholar]
- Guo, Z.; Ren, Z.; Gao, H.; Guan, J.; Li, P.; He, Y.; Chen, Z. Hydrothermal modification of calcined diatomite with CaO: Effect of NaOH pretreatment. Mater. Chem. Phys. 2024, 314, 28791. [Google Scholar]
- Samani, M.; Ahlawat, Y.K.; Golchin, A.; Alikhani, H.A.; Baybordi, A.; Mishra, S. Modified diatomite for soil remediation and its implications for heavy metal absorption in Calendula officinalis. BMC Plant Biol. 2024, 24, 357. [Google Scholar] [CrossRef]
- Zhuravlev, L.T. The surface chemistry of amorphous silica. Colloids Surf. 2000, 173, 1–39. [Google Scholar]
- Krawczyńska, M.; Kołwzan, B.; Gediga, K.; Dziubek, A.; Grabas, K.; Karpenko, E. Evaluation of the possibility of phytostabilization of post-flotation tailing ponds. Environ. Prot. Eng. 2015, 41, 157–167. [Google Scholar] [CrossRef]
- Mierzwa-Hersztek, M.; Gondek, K.; Bajda, T.; Kopeć, M. The use of biochar and zeolite as adsorbents of mineral. Przemysł Chem. 2019, 98, 1969–1972. [Google Scholar]
- Baran, A.; Zaleski, T.; Kulikowski, E.; Wieczorek, J. Hydrophysical and biological properties of sandy substrata enriched with hydrogel. Pol. J. Environ. Stud. 2015, 24, 2355–2362. [Google Scholar] [CrossRef]
- Baran, A.; Antonkiewicz, J. Phytotoxicity and extractability of heavy metals from industrial wastes. Environ. Prot. Eng. 2017, 43, 143–155. [Google Scholar]
- Kordas, L.; Kuc, P.; Lejcuś, K. Biological stabilisation of tailing pond coasts with use of mineral and organic substances and water-absorbing geocomposites. Pol. J. Environ. Stud. 2018, 27, 2089–2095. [Google Scholar] [CrossRef]
- Ruiz, F.; Abad, M.; Bodergat, A.M.; Carbonel, P.; Rodríguez-Lázaro, J.; González-Regalado, M.L.; Toscano, A.; García, E.X.; Prenda, J. Freshwater ostracods as environmental tracers. Int. J. Environ. Sci. Technol. 2013, 10, 1115–1128. [Google Scholar] [CrossRef]
- Casado-Martinez, M.C.; Burga-Perez, K.F.; Bebon, R.; F’erard, J.F.; Vermeirssen, E.L.M.; Werner, I. The sediment-contact test using the ostracod Heterocypris incongruens: Effect of fine sediments and determination of toxicity thresholds. Chemosphere 2016, 151, 220–224. [Google Scholar] [CrossRef]



| Material * | Dry Matter g/kg | Ash g/kg dm | pH H2O | EC ** µS/cm | BET Surface Area m2/g | Total Pore Volume cm/g |
|---|---|---|---|---|---|---|
| DT | 855 ± 3 | 808 ± 3 | 5.84 ± 0.05 | 392 ± 1 | 25.9 ± 0.9 | 0.064 ± 0.002 |
| BC | 952 ± 4 | 99 ± 0 | 7.74 ± 0.02 | 330 ± 2 | 185.6 ± 6.6 | 0.088 ± 0.003 |
| DL | 942 ± 4 | 915 ± 3 | 7.87 ± 0.04 | 107 ± 1 | 3.0 ± 0.1 | 0.009 ± 0.000 |
| BN | 949 ± 4 | 881 ± 3 | 9.31 ± 0.01 | 842 ± 8 | 36.2 ± 1.3 | 0.115 ± 0.004 |
| mg/kg dm | Cd | Cr | Cu | Ni | Pb | Zn |
| DT | 0.34 ± 0.06 | 29.68 ± 0.50 | 45.3 ± 0.8 | 21.67 ± 0.73 | 14.06 ± 0.08 | 40.7 ± 1.2 |
| BC | 4.95 ± 0.01 | 42.57 ± 1.33 | 14.4 ± 2.3 | 18.77 ± 3.02 | 2.26 ± 0.40 | 30.0 ± 1.3 |
| DL | 1.89 ± 0.19 | 2.21 ± 0.19 | 13.2 ± 0.7 | 1.61 ± 0.15 | 11.40 ± 0.07 | 38.8 ± 1.9 |
| BN | 1.06 ± 0.03 | 4.96 ± 0.41 | 21.6 ± 2.1 | 1.13 ± 0.03 | 14.56 ± 0.05 | 28.6 ± 2.3 |
| Granulometric Composition (%) | pH H2O | EC mS/cm | C g/kg dm | ||
|---|---|---|---|---|---|
| 1–0.1 mm | 0.1–0.02 mm | <0.02 mm | |||
| 70 | 21 | 9 | 7.37 ± 0.13 | 0.76 ± 0.02 | 2.61 ± 0.01 |
| Cd | Cr | Cu | Ni | Pb | Zn |
| mg/kg dm | |||||
| 69.6 ± 1.9 | 3.30 ± 0.70 | 15.81 ± 2.23 | 14.15 ± 1.14 | 7,500 ± 29 | 10,200 ± 48 |
| Material/Composite | DM * g/kg | pH | EC ** µS/cm |
|---|---|---|---|
| DT+BC | 952.4 ± 0.6 | 6.26 ± 2.83 | 380.6 ± 1.2 |
| (DT+BC)1 | 817.4 ± 0.1 | 0.80 ± 11.56 | 75.2 ± 4.4 |
| (DT+BC)2 | 995.1 ± 0.4 | 0.62 ± 8.05 | 90.2 ± 5.2 |
| (DT+BC)3 | 968.1 ± 0.6 | 0.58 ± 2.44 | 77.0 ± 4.2 |
| (DT+BC)4 | 954.2 ± 0.1 | 0.65 ± 1.10 | 62.8 ± 10.1 |
| DT+DL | 964.1 ± 0.1 | 6.93 ± 1.43 | 360.9 ± 3.6 |
| (DT+DL)1 | 805.4 ± 0.4 | 0.75 ± 3.77 | 65.6 ± 3.0 |
| (DT+DL)2 | 993.7 ± 0.3 | 0.57 ± 2.48 | 74.5 ± 4.1 |
| (DT+DL)3 | 981.8 ± 0.1 | 0.49 ± 7.29 | 88.0 ± 0.1 |
| (DT+DL)4 | 952.4 ± 0.0 | 0.59 ± 3.63 | 70.5 ± 4.1 |
| DT+BN | 938.0 ± 0.7 | 7.42 ± 1.62 | 358.4 ± 2.0 |
| (DT+BN)1 | 900.0 ± 0.8 | 0.75 ± 0.00 | 54.8 ± 3.6 |
| (DT+BN)2 | 992.0 ± 0.1 | 0.58 ± 12.19 | 61.5 ± 1.6 |
| (DT+BN)3 | 963.1 ± 0.2 | 0.55 ± 7.71 | 94.9 ± 4.8 |
| (DT+BN)4 | 962.2 ± 0.1 | 0.70 ± 5.09 | 60.5 ± 2.4 |
| Treatment | Cd | Cr | Cu | Ni | Pb | Zn |
|---|---|---|---|---|---|---|
| RAC (% in Total Metals Bound to F1) 1 | ||||||
| PFS (Control) | 38 cd 4 | 85 c | 21 cd | 26 cd | 69 d | 21 ab |
| PFS + DT | 28 a | 13 a | 7 a | 17 bc | 61 bcd | 16 a |
| PFS + DT+BC | 30 abc | 14 a | 9 a | 16 ab | 60 bcd | 17 a |
| PFS + (DT+BC)1 | 32 bc | 16 a | 7 a | 11 a | 52 ab | 16 a |
| PFS + (DT+BC)2 | 39 cd | 36 ab | 13 abc | 22 bcd | 53 ab | 22 b |
| PFS + (DT+BC)3 | 38 cd | 71 cd | 15 bcd | 28 e | 60 bcd | 22 b |
| PFS + (DT+BC)4 | 40 d | 50 abc | 16 bcd | 21 bcd | 55 abc | 22 b |
| PFS + DT+DL | 32 bc | 10 a | 9 a | 15 ab | 62 bcd | 17 a |
| PFS + (DT+DL)1 | 35 bc | 25 ab | 13 abc | 17 bc | 60 bcd | 20 ab |
| PFS + (DT+DL)2 | 35 bc | 43 abc | 25 d | 20 bcd | 49 a | 20 ab |
| PFS + (DT+DL)3 | 37 bcd | 58 abc | 22 cd | 27 e | 57 abc | 21 ab |
| PFS + (DT+DL)4 | 38 cd | 70 cd | 23 cd | 26 cd | 54 abc | 20 ab |
| PFS + DT+BN | 32 bc | 12 a | 11 ab | 15 ab | 64 cd | 18 ab |
| PFS + (DT+BN)1 | 36 bc | 51 abc | 16 bcd | 19 bcd | 59 bc | 21 ab |
| PFS + (DT+BN)2 | 37 bcd | 47 abc | 25 d | 25 cd | 56 abc | 20 ab |
| PFS + (DT+BN)3 | 39 cd | 49 abc | 23 cd | 26 cd | 54 abc | 21 ab |
| PFS + (DT+BN)4 | 37 bcd | 72 cd | 19 bcd | 25 cd | 58 bc | 21 ab |
| ICF (∑F1−-F3)/F4 2 | ||||||
| PFS (Control) | 1.00 ab | 0.00 a | 0.90 cde | 1.43 abc | 4.49 b | 0.63 a |
| PFS + DT | 1.00 ab | 1.73 a | 0.39 ab | 1.24 abc | 3.68 ab | 0.81 ab |
| PFS + DT+BC | 1.17 ab | 2.68 ab | 0.33 a | 1.28 abc | 2.98 ab | 0.98 ab |
| PFS + (DT+BC)1 | 0.79 a | 0.53 a | 0.32 a | 0.60 a | 2.82 a | 0.72 ab |
| PFS + (DT+BC)2 | 1.26 ab | 1.60 a | 0.56 abc | 1.49 abc | 3.14 ab | 1.00 b |
| PFS + (DT+BC)3 | 1.08 ab | 1.70 a | 0.74 bcd | 1.91 bc | 3.85 ab | 0.78 ab |
| PFS + (DT+BC)4 | 1.28 b | 3.26 ab | 0.77 bcd | 2.00 bc | 4.19 ab | 0.93 ab |
| PFS + DT+DL | 1.07 ab | 0.95 a | 0.48 abc | 1.08 ab | 3.37 ab | 0.81 ab |
| PFS + (DT+DL)1 | 1.15 ab | 2.12 a | 0.50 abc | 1.36 abc | 3.76 ab | 1.00 b |
| PFS + (DT+DL)2 | 1.02 ab | 6.78 b | 1.16 e | 1.87 bc | 3.97 ab | 0.87 ab |
| PFS + (DT+DL)3 | 0.99 ab | 3.93 ab | 0.83 cde | 1.70 bc | 4.20 ab | 0.69 ab |
| PFS + (DT+DL)4 | 1.10 ab | 0.94 a | 0.95 cde | 2.24 b | 4.36 ab | 0.79 ab |
| PFS + DT+BN | 1.15 ab | 0.97 a | 0.45 abc | 1.03 ab | 3.27 ab | 0.96 ab |
| PFS + (DT+BN)1 | 1.03 ab | 1.73 a | 0.40 ab | 1.27 abc | 3.63 ab | 0.80 ab |
| PFS + (DT+BN)2 | 1.04 ab | 1.92 a | 1.07 de | 1.82 bc | 4.12 ab | 0.76 ab |
| PFS + (DT+BN)3 | 1.13 ab | 0.92 a | 0.85 cde | 2.04 bc | 4.14 ab | 0.83 ab |
| PFS + (DT+BN)4 | 1.00 ab | 4.24 ab | 0.84 cde | 2.03 bc | 4.33 ab | 0.73 ab |
| ERF (F1 + F2)/(F3 + F4) 3 | ||||||
| PFS (Control) | 0.73 bc | 0.40 ab | 0.31 abcd | 0.51 f | 3.32 d | 0.32 ab |
| PFS + DT | 0.49 a | 0.19 a | 0.13 ab | 0.25 ab | 2.31 abc | 0.23 a |
| PFS + DT+BC | 0.52 ab | 0.21 a | 0.13 ab | 0.23 ab | 2.18 ab | 0.23 a |
| PFS + (DT+BC)1 | 0.48 a | 0.15 a | 0.11 a | 0.14 a | 2.01 a | 0.24 ab |
| PFS + (DT+BC)2 | 0.78 bc | 0.64 a | 0.22 abc | 0.32 bcde | 2.39 abcd | 0.33 ab |
| PFS + (DT+BC)3 | 0.74 bc | 6.27 c | 0.21 abc | 0.47 f | 2.72 abcd | 0.33 ab |
| PFS + (DT+BC)4 | 0.81 c | 1.30 a | 0.22 abc | 0.33 bcde | 2.83 abcd | 0.34 b |
| PFS + DT+DL | 0.56 abc | 0.14 a | 0.14 abc | 0.22 ab | 2.31 abc | 0.24 ab |
| PFS + (DT+DL)1 | 0.64 abc | 0.43 ab | 0.20 abc | 0.25 ab | 2.63 abcd | 0.29 ab |
| PFS + (DT+DL)2 | 0.64 abc | 1.41 a | 0.47 d | 0.30 bcd | 2.58 abcd | 0.29 ab |
| PFS + (DT+DL)3 | 0.71 bc | 3.60 bc | 0.31 abcd | 0.46 f | 3.07 cd | 0.30 ab |
| PFS + (DT+DL)4 | 0.74 bc | 2.65 bc | 0.35 bcd | 0.41 def | 2.98 bcd | 0.30 ab |
| PFS + DT+BN | 0.56 bc | 0.14 a | 0.25 abcd | 0.22 ab | 2.52 abcd | 0.25 ab |
| PFS + (DT+BN)1 | 0.67 bc | 0.79 ab | 0.18 abc | 0.29 bc | 2.71 abcd | 0.31 ab |
| PFS + (DT+BN)2 | 0.71 bc | 1.39 ab | 0.37 cd | 0.40 cdef | 2.82 abcd | 0.30 ab |
| PFS + (DT+BN)3 | 0.75 bc | 2.50 b | 0.34 bcd | 0.42 ef | 2.90 bcd | 0.32 ab |
| PFS + (DT+BN)4 | 0.69 bc | 4.08 bc | 0.26 abcd | 0.40 cdef | 3.09 cd | 0.31 ab |
| Treatment | pH | EC | A. fischeri | H. Incongruens Pb | Toxicity Class 4 | |
|---|---|---|---|---|---|---|
| mS2cm−1 | IL% 3 | M % 1 | GI % 2 | |||
| PFS control | 7.24 a 5 | 1.07 a | 42 c | 100 d | 100 b | IV |
| PFS + DT | 7.49 ab | 0.97 a | 2 ab | 67 bcd | 50 a | III |
| PFS + DT+BC | 7.63 ab | 0.86 a | 8 ab | 60 bcd | 67 ab | III |
| PFS + (DT+BC)1 | 7.59 ab | 1.94 b | −18 a | 70 cd | 59 ab | III |
| PFS + (DT+BC)2 | 7.74 b | 2.52 ef | −15 a | 0 a | 26 a | II |
| PFS + (DT+BC)3 | 7.80 b | 2.01 bc | 5 ab | 10 ab | 35 a | II |
| PFS + (DT+BC)4 | 7.82 b | 2.48 ef | 5 ab | 30 abc | 40 a | II |
| PFS + DT+DL | 7.60 ab | 0.97 a | −1 ab | 83 cd | 72 ab | III |
| PFS + (DT+DL)1 | 7.72 b | 2.04 bc | 0 ab | 50 bcd | 53 ab | III |
| PFS + (DT+DL)2 | 7.47 ab | 2.69 f | −10 a | 70 cd | 34 a | III |
| PFS + (DT+DL)3 | 7.61 ab | 2.20 cd | 0 ab | 47 bcd | 39 a | II |
| PFS + (DT+DL)4 | 7.75 b | 2.51 ef | 2 ab | 67 bcd | 50 a | III |
| PFS + DT+BN | 7.54 ab | 1.06 a | 28 b | 73 cd | 72 ab | III |
| PFS + (DT+BN)1 | 7.65 ab | 1.92 b | 26 b | 50 bcd | 38 a | II |
| PFS + (DT+BN)2 | 7.76 b | 2.68 f | −5 ab | 63 bcd | 37 a | III |
| PFS + (DT+BN)3 | 7.63 ab | 2.09 bc | 0 ab | 47 bcd | 41 a | II |
| PFS + (DT+BN)4 | 7.83 b | 2.33 de | 13 ab | 67 bcd | 44 a | III |
Disclaimer/Publisher’s Note: The statements, opinions and data contained in all publications are solely those of the individual author(s) and contributor(s) and not of MDPI and/or the editor(s). MDPI and/or the editor(s) disclaim responsibility for any injury to people or property resulting from any ideas, methods, instructions or products referred to in the content. |
© 2024 by the authors. Licensee MDPI, Basel, Switzerland. This article is an open access article distributed under the terms and conditions of the Creative Commons Attribution (CC BY) license (https://creativecommons.org/licenses/by/4.0/).
Share and Cite
Gondek, K.; Baran, A.; Boguta, P.; Bołdak, M. The Use of Diatomite-Based Composites for the Immobilization of Toxic Heavy Metals in Industrial Wastes Using Post-Flotation Sediment as an Example. Materials 2024, 17, 6174. https://doi.org/10.3390/ma17246174
Gondek K, Baran A, Boguta P, Bołdak M. The Use of Diatomite-Based Composites for the Immobilization of Toxic Heavy Metals in Industrial Wastes Using Post-Flotation Sediment as an Example. Materials. 2024; 17(24):6174. https://doi.org/10.3390/ma17246174
Chicago/Turabian StyleGondek, Krzysztof, Agnieszka Baran, Patrycja Boguta, and Małgorzata Bołdak. 2024. "The Use of Diatomite-Based Composites for the Immobilization of Toxic Heavy Metals in Industrial Wastes Using Post-Flotation Sediment as an Example" Materials 17, no. 24: 6174. https://doi.org/10.3390/ma17246174
APA StyleGondek, K., Baran, A., Boguta, P., & Bołdak, M. (2024). The Use of Diatomite-Based Composites for the Immobilization of Toxic Heavy Metals in Industrial Wastes Using Post-Flotation Sediment as an Example. Materials, 17(24), 6174. https://doi.org/10.3390/ma17246174

