Liquid Structure of Magnesium Aluminates
Abstract
1. Introduction
2. Materials and Methods
2.1. Aerodynamic Levitation Technique and Laser Heating
2.2. Sample Preparation
2.3. Diffraction Experiments
2.3.1. Theoretical Background
2.3.2. X-Ray Diffraction (XRD)
2.3.3. Neutron Diffraction (ND)
3. Results
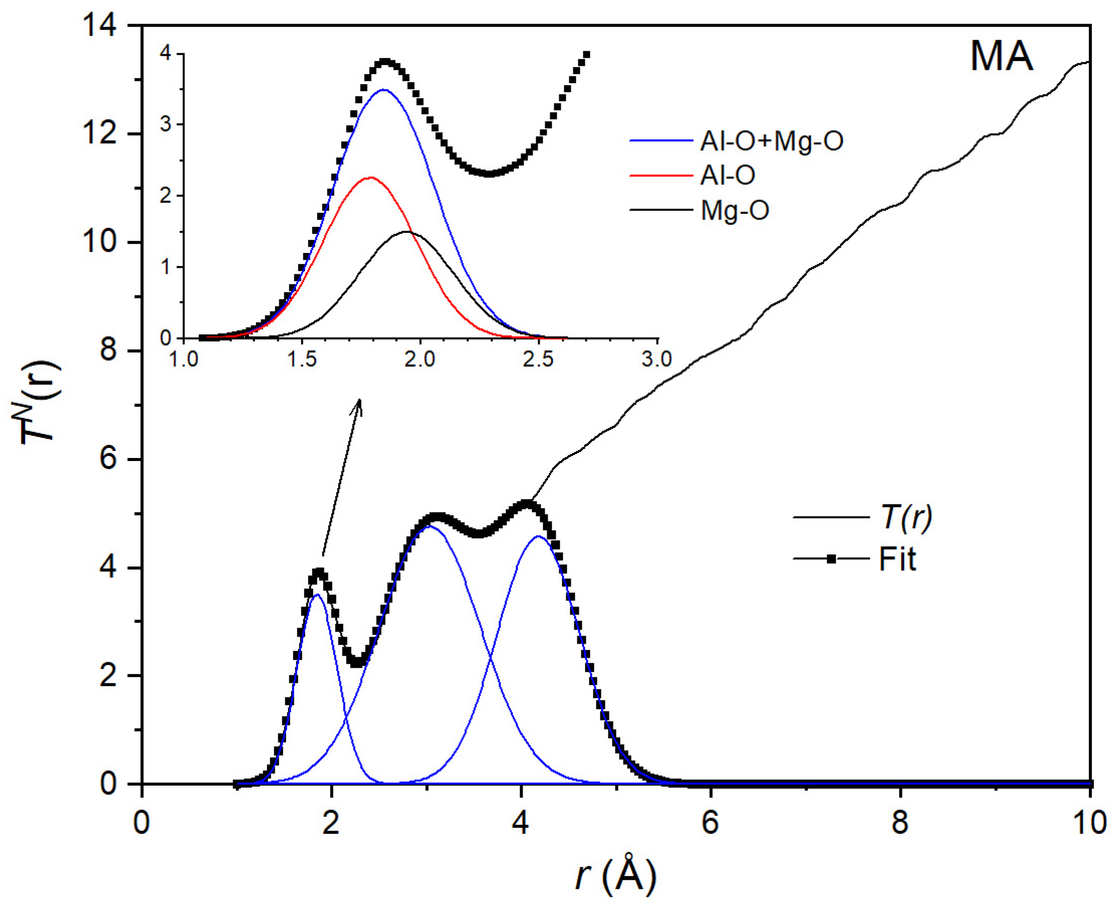
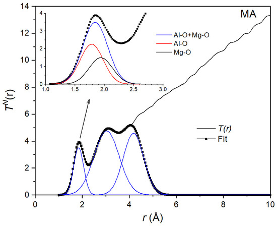
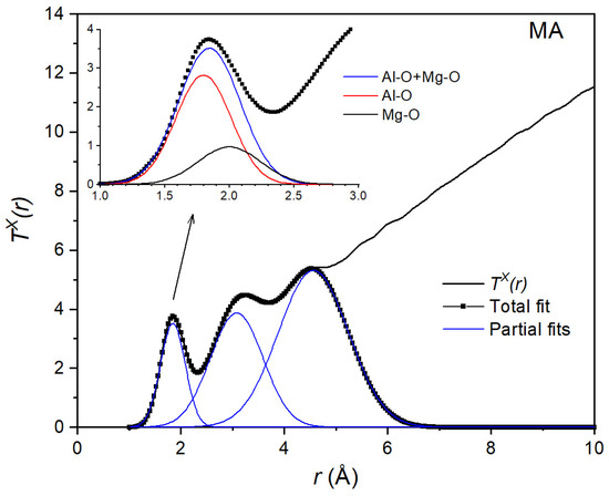
3.1. Structure Factors
3.2. Pair Distribution Functions
3.3. Evolution with Temperature
3.4. Molecular Dynamics Simulations
4. Discussion
5. Conclusions
Author Contributions
Funding
Institutional Review Board Statement
Informed Consent Statement
Data Availability Statement
Acknowledgments
Conflicts of Interest
References
- Stookey, S.D. Chemical Machining of Photosensitive Glass. Ind. Eng. Chem. 1953, 45, 115–118. [Google Scholar] [CrossRef]
- Nascimento, M.L.F.; Zanotto, E.D. On the First Patents, Key Inventions and Research Manuscripts about Glass Science & Technology. World Pat. Inf. 2016, 47, 54–66. [Google Scholar] [CrossRef]
- Clara Gonçalves, M.; Santos, L.F.; Almeida, R.M. Rare-Earth-Doped Transparent Glass Ceramics. Comptes Rendus Chim. 2002, 5, 845–854. [Google Scholar] [CrossRef]
- Höland, W.; Rheinberger, V.; Schweiger, M. Control of Nucleation in Glass Ceramics. Philos. Trans. R. Soc. Lond. Ser. A Math. Phys. Eng. Sci. 2003, 361, 575–589. [Google Scholar] [CrossRef]
- Venkateswaran, C.; Sreemoolanadhan, H.; Vaish, R. Lithium Aluminosilicate (LAS) Glass-Ceramics: A Review of Recent Progress. Int. Mater. Rev. 2022, 67, 620–657. [Google Scholar] [CrossRef]
- Orlova, L.A.; Chainikova, A.S.; Alekseeva, L.A.; Voropaeva, M.V. Recent Advances in Radio Transparent Glass-Ceramic Materials Based on High-Temperature Aluminosilicate Systems. Russ. J. Inorg. Chem. 2015, 60, 1692–1707. [Google Scholar] [CrossRef]
- Stookey, S.D. Catalyzed Crystallization of Glass in Theory and Practice. Ind. Eng. Chem. 1959, 51, 805–808. [Google Scholar] [CrossRef]
- Benitez, T.; Gómez, S.Y.; De Oliveira, A.P.N.; Travitzky, N.; Hotza, D. Transparent Ceramic and Glass-Ceramic Materials for Armor Applications. Ceram. Int. 2017, 43, 13031–13046. [Google Scholar] [CrossRef]
- Logvinkov, S.M.; Semchenko, G.D.; Kobyzeva, D.A. Rearrangement of Conodes of the Phase Diagram of the MgO-Al2O3-SiO2 System and Its Technological Prospects. Refractories 1996, 37, 378–381. [Google Scholar] [CrossRef]
- Tiegel, M.; Herrmann, A.; Rüssel, C.; Körner, J.; Klöpfel, D.; Hein, J.; Kaluza, M.C. Magnesium Aluminosilicate Glasses as Potential Laser Host Material for Ultrahigh Power Laser Systems. J. Mater. Chem. C 2013, 1, 5031. [Google Scholar] [CrossRef]
- Benitez, T.; Veber, A.; Pagnan Furlan, K.; Barros Rebouças, L.; De Ligny, D.; Hotza, D.; Novaes De Oliveira, A.P.; Travitzky, N. Development of Magnesium-aluminum-silicate Glass-ceramics Nucleated with Nb2O5. Int. J. Appl. Glass. Sci. 2020, 11, 155–169. [Google Scholar] [CrossRef]
- Guignard, M.; Cormier, L. Environments of Mg and Al in MgO–Al2O3–SiO2 Glasses: A Study Coupling Neutron and X-Ray Diffraction and Reverse Monte Carlo Modeling. Chem. Geol. 2008, 256, 111–118. [Google Scholar] [CrossRef]
- Toplis, M.J.; Dingwell, D.B. Shear Viscosities of CaO-Al2O3-SiO2 and MgO-Al2O3-SiO2 Liquids: Implications for the Structural Role of Aluminium and the Degree of Polymerisation of Synthetic and Natural Aluminosilicate Melts. Geochim. Cosmochim. Acta 2004, 68, 5169–5188. [Google Scholar] [CrossRef]
- Ganesh, I. A Review on Magnesium Aluminate (MgAl2O4) Spinel: Synthesis, Processing and Applications. Int. Mater. Rev. 2013, 58, 63–112. [Google Scholar] [CrossRef]
- Braulio, M.A.L.; Rigaud, M.; Buhr, A.; Parr, C.; Pandolfelli, V.C. Spinel-Containing Alumina-Based Refractory Castables. Ceram. Int. 2011, 37, 1705–1724. [Google Scholar] [CrossRef]
- Lavina, B.; Salviulo, G.; Giusta, A.D. Cation Distribution and Structure Modelling of Spinel Solid Solutions. Phys. Chem. Miner. 2002, 29, 10–18. [Google Scholar] [CrossRef]
- Andreozzi, G.B.; Princivalle, F.; Skogby, H.; Della Giusta, A. Cation Ordering and Structural Variations with Temperature in MgAl2O4 Spinel: An X-Ray Single-Crystal Study. Am. Mineral. 2000, 85, 1164–1171. [Google Scholar] [CrossRef]
- Redfern, S.A.T.; Harrison, R.J.; O’Neill, H.S.C.; Wood, D.R.R. Thermodynamics and Kinetics of Cation Ordering in MgAl2O4 Spinel up to 1600 Degrees C from in Situ Neutron Diffraction. Am. Mineral. 1999, 84, 299–310. [Google Scholar] [CrossRef]
- Poe, B.T.; McMillan, P.F.; Coté, B.; Massiot, D.; Coutures, J.P. Magnesium and Calcium Aluminate Liquids: In Situ High-Temperature 27 Al NMR Spectroscopy. Science 1993, 259, 786–788. [Google Scholar] [CrossRef]
- Neuville, D.R.; Ligny, D.D.; Cormier, L.; Henderson, G.S.; Roux, J.; Flank, A.-M.; Lagarde, P. The Crystal and Melt Structure of Spinel and Alumina at High Temperature: An in-Situ XANES Study at the Al and Mg K-Edge. Geochim. Cosmochim. Acta 2009, 73, 3410–3422. [Google Scholar] [CrossRef]
- Hennet, L.; Pozdnyakova, I.; Cristiglio, V.; Cuello, G.J.; Jahn, S.; Krishnan, S.; Saboungi, M.-L.; Price, D.L. Short- and Intermediate-Range Order in Levitated Liquid Aluminates. J. Phys. Condens. Matter 2007, 19, 455210. [Google Scholar] [CrossRef]
- Millot, F.; Rifflet, J.C.; Wille, G.; Sarou-Kanian, V.; Glorieux, B. Analysis of Surface Tension from Aerodynamic Levitation of Liquids. J. Am. Ceram. Soc. 2002, 85, 187–192. [Google Scholar] [CrossRef]
- Hennet, L.; Holland Moritz, D.; Weber, R.; Meyer, A. High-Temperature Levitated Materials. In Experimental Methods in the Physical Sciences; Elsevier: Amsterdam, The Netherlands, 2017; Volume 49, pp. 583–636. ISBN 978-0-12-805324-9. [Google Scholar] [CrossRef]
- Douy, A.; Odier, P. The Polyacrylamide Gel: A Novel Route to Ceramic and Glassy Oxide Powders. Mater. Res. Bull. 1989, 24, 1119–1126. [Google Scholar] [CrossRef]
- Montouillout, V.; Massiot, D.; Douy, A.; Coutures, J.P. Characterization of MgAl2O4 Precursor Powders Prepared by Aqueous Route. J. Am. Ceram. Soc. 1999, 82, 3299–3304. [Google Scholar] [CrossRef]
- Fischer, H.E.; Barnes, A.C.; Salmon, P.S. Neutron and X-Ray Diffraction Studies of Liquids and Glasses. Rep. Prog. Phys. 2006, 69, 233–299. [Google Scholar] [CrossRef]
- Faber, T.E.; Ziman, J.M. A Theory of the Electrical Properties of Liquid Metals: III. the Resistivity of Binary Alloys. Philos. Mag. 1965, 11, 153–173. [Google Scholar] [CrossRef]
- Waasmaier, D.; Kirfel, A. New Analytical Scattering-Factor Functions for Free Atoms and Ions. Acta Crystallogr. A Found. Crystallogr. 1995, 51, 416–431. [Google Scholar] [CrossRef]
- Cromer, D.T.; Liberman, D. Relativistic Calculation of Anomalous Scattering Factors for X Rays. J. Chem. Phys. 1970, 53, 1891–1898. [Google Scholar] [CrossRef]
- Sears, V.F. Neutron Scattering Lengths and Cross Sections. Neutron. News 1992, 3, 26–37. [Google Scholar] [CrossRef]
- Labiche, J.-C.; Mathon, O.; Pascarelli, S.; Newton, M.A.; Ferre, G.G.; Curfs, C.; Vaughan, G.; Homs, A.; Carreiras, D.F. Invited Article: The Fast Readout Low Noise Camera as a Versatile X-Ray Detector for Time Resolved Dispersive Extended X-Ray Absorption Fine Structure and Diffraction Studies of Dynamic Problems in Materials Science, Chemistry, and Catalysis. Rev. Sci. Instrum. 2007, 78, 091301. [Google Scholar] [CrossRef]
- Hammersley, A.P.; Svensson, S.O.; Hanfland, M.; Fitch, A.N.; Hausermann, D. Two-Dimensional Detector Software: From Real Detector to Idealised Image or Two-Theta Scan. Int. J. High Press. Res. 1996, 14, 235–248. [Google Scholar] [CrossRef]
- Balyuzi, H.H.M. Analytic Approximation to Incoherently Scattered X-Ray Intensities. Acta Crystallogr. A Cryst. Phys. Diffr. Theor. Gen. Crystallogr. 1975, 31, 600–602. [Google Scholar] [CrossRef]
- Warren, B.E.; Mozzi, R.L. Multiple Scattering of X-Rays by Amorphous Samples. Acta Cryst. 1966, 21, 459–461. [Google Scholar] [CrossRef]
- Fischer, H.E.; Cuello, G.J.; Palleau, P.; Feltin, D.; Barnes, A.C.; Badyal, Y.S.; Simonson, J.M. D4c: A Very High Precision Diffractometer for Disordered Materials. Appl. Phys. A Mater. Sci. Process. 2002, 74, s160–s162. [Google Scholar] [CrossRef]
- Paalman, H.H.; Pings, C.J. Numerical Evaluation of X-Ray Absorption Factors for Cylindrical Samples and Annular Sample Cells. J. Appl. Phys. 1962, 33, 2635–2639. [Google Scholar] [CrossRef]
- Blech, I.A.; Averbach, B.L. Multiple Scattering of Neutrons in Vanadium and Copper. Phys. Rev. 1965, 137, A1113–A1116. [Google Scholar] [CrossRef]
- Placzek, G. The Scattering of Neutrons by Systems of Heavy Nuclei. Phys. Rev. 1954, 94, 1801. [Google Scholar] [CrossRef]
- Howe, M.A.; McGreevy, R.L.; Zetterström, P. CORRECT: A Correction Programme for Neutron Diffraction Data. NFL Studsvik Internal Report; Uppsala University: Uppsala, Sweden, 1996. [Google Scholar]
- Wannberg, A.; Mellergård, A.; Zetterström, P.; Delaplane, R.; Grönros, M.; Karlsson, L.-E.; McGreevy, R.L. SLAD: A Neutron Diffractometer for the Study of Disordered Materials. J. Neutron. Res. 1999, 8, 133–154. [Google Scholar] [CrossRef]
- Ansell, S.; Krishnan, S.; Weber, J.K.R.; Felten, J.J.; Nordine, P.C.; Beno, M.A.; Price, D.L.; Saboungi, M.-L. Structure of Liquid Aluminum Oxide. Phys. Rev. Lett. 1997, 78, 464–466. [Google Scholar] [CrossRef]
- Shi, C.; Alderman, O.L.G.; Berman, D.; Du, J.; Neuefeind, J.; Tamalonis, A.; Weber, J.K.R.; You, J.; Benmore, C.J. The Structure of Amorphous and Deeply Supercooled Liquid Alumina. Front. Mater. 2019, 6, 38. [Google Scholar] [CrossRef]
- Jahn, S. Amorphous Materials: Properties, Structure, and Durability: Atomic Structure and Transport Properties of MgO-Al2O3 Melts: A Molecular Dynamics Simulation Study. Am. Mineral. 2008, 93, 1486–1492. [Google Scholar] [CrossRef]
- Drewitt, J.W.E.; Hennet, L.; Zeidler, A.; Jahn, S.; Salmon, P.S.; Neuville, D.R.; Fischer, H.E. Structural Transformations on Vitrification in the Fragile Glass-Forming System CaAl2O4. Phys. Rev. Lett. 2012, 109, 235501. [Google Scholar] [CrossRef] [PubMed]
- Drewitt, J.W.E.; Barnes, A.C.; Jahn, S.; Brooker, R.A.; Hennet, L.; Neuville, D.R.; Fischer, H.E. Iron Coordination in Liquid FeAl2O4. Phil. Trans. R. Soc. A 2023, 381, 20220351. [Google Scholar] [CrossRef] [PubMed]
- Welch, R.S.; Salrin, T.C.; Greiner, T.; Bragatto, C.B.; Mauro, J.C. Molecular Dynamics Simulations of Magnesium Aluminosilicate Glass Structure: High-coordinated Alumina and Oxygen Tricluster Formation. J. Am. Ceram. Soc. 2024, 107, 2155–2171. [Google Scholar] [CrossRef]
- Deng, B.; Shi, Y.; Zhou, Q.; Bauchy, M. Revealing the Structural Role of MgO in Aluminosilicate Glasses. Acta Mater. 2022, 222, 117417. [Google Scholar] [CrossRef]






| x | Method | Al-O | Mg-O | O-O | Al-Al | Mg-Mg | Mg-Al |
|---|---|---|---|---|---|---|---|
| 0.33 | XRD | 0.4046(59) | 0.093(1) | 0.218(4) | 0.188(4) | 0.010(2) | 0.087(13) |
| ND | 0.3136(73) | 0.122(2) | 0.4616(94) | 0.0533(24) | 0.0081(17) | 0.04144(96) | |
| 0.50 | XRD | 0.3396(48) | 0.1567(22) | 0.2090(39) | 0.1380(26) | 0.0294(5) | 0.1274(18) |
| ND | 0.2543(55) | 0.1982(32) | 0.4278(79) | 0.0378(17) | 0.0229(4) | 0.0589(13) | |
| 0.75 | XRD | 0.2063(28) | 0.2856(39) | 0.1904(35) | 0.056(1) | 0.1071(20) | 0.1547(21) |
| ND | 0.1436(27) | 0.3356(43) | 0.3624(56) | 0.0142(6) | 0.0777(12) | 0.0665(13) |
| X | Method | T (K) ±20 K | rAlO (Å) ±0.02 Å | ±0.4 | rMgO ±0.02 Å | ±0.4 | rOO ±0.05 Å | |
|---|---|---|---|---|---|---|---|---|
| 0.33 | XRD | 2470 | 0.08433 | 1.77 | 4.5 | 1.94 | 5.1 | / |
| ND | 1.77 | 1.93 | 2.90 | |||||
| 0.50 | XRD | 2570 | 0.08356 | 1.78 | 4.5 | 1.95 | 5.1 | / |
| ND | 1.76 | 1.94 | 2.93 | |||||
| 0.75 | XRD | 2520 | 0.08262 | 1.78 | 4.5 | 1.94 | 5.0 | / |
| ND | 1.76 | 1.94 | 2.96 |
Disclaimer/Publisher’s Note: The statements, opinions and data contained in all publications are solely those of the individual author(s) and contributor(s) and not of MDPI and/or the editor(s). MDPI and/or the editor(s) disclaim responsibility for any injury to people or property resulting from any ideas, methods, instructions or products referred to in the content. |
© 2024 by the authors. Licensee MDPI, Basel, Switzerland. This article is an open access article distributed under the terms and conditions of the Creative Commons Attribution (CC BY) license (https://creativecommons.org/licenses/by/4.0/).
Share and Cite
Cristiglio, V.; Pozdnyakova, I.; Bytchkov, A.; Cuello, G.J.; Jahn, S.; Zanghi, D.; Brassamin, S.; Drewitt, J.W.E.; Hennet, L. Liquid Structure of Magnesium Aluminates. Materials 2024, 17, 6173. https://doi.org/10.3390/ma17246173
Cristiglio V, Pozdnyakova I, Bytchkov A, Cuello GJ, Jahn S, Zanghi D, Brassamin S, Drewitt JWE, Hennet L. Liquid Structure of Magnesium Aluminates. Materials. 2024; 17(24):6173. https://doi.org/10.3390/ma17246173
Chicago/Turabian StyleCristiglio, Viviana, Irina Pozdnyakova, Aleksei Bytchkov, Gabriel J. Cuello, Sandro Jahn, Didier Zanghi, Séverine Brassamin, James W. E. Drewitt, and Louis Hennet. 2024. "Liquid Structure of Magnesium Aluminates" Materials 17, no. 24: 6173. https://doi.org/10.3390/ma17246173
APA StyleCristiglio, V., Pozdnyakova, I., Bytchkov, A., Cuello, G. J., Jahn, S., Zanghi, D., Brassamin, S., Drewitt, J. W. E., & Hennet, L. (2024). Liquid Structure of Magnesium Aluminates. Materials, 17(24), 6173. https://doi.org/10.3390/ma17246173

