Nonlinear Thermomechanical Low-Velocity Impact Behaviors of Geometrically Imperfect GRC Beams
Abstract
1. Introduction
2. Theoretical Models
3. Dynamic Equations
4. Solution Procedure
- (1)
- Initially calculate: At the first time step, with an initial impact force FC0 and the predefined initial conditions , , , , and , solve for the geometrically imperfect GRC beam and the displacements of the impactor using Equations (21) and (30).
- (2)
- Update the impact force: Using the displacements obtained in step 1, apply Equation (10) to calculate a new impact force FC1 and local contact indentation. If the indentation reaches the maximum value, recalculate FC1 using Equation (12). If FC1 is sufficiently close to FC0, proceed to step 3. Otherwise, take FC1 as the new initial impact force and repeat the displacement calculations.
- (3)
- Iterate: Use the impact force and displacement obtained from the previous step as the initial conditions for the next time step. Continue iterating until the thermomechanical central displacement of the GRC beam converges and no longer changes significantly.
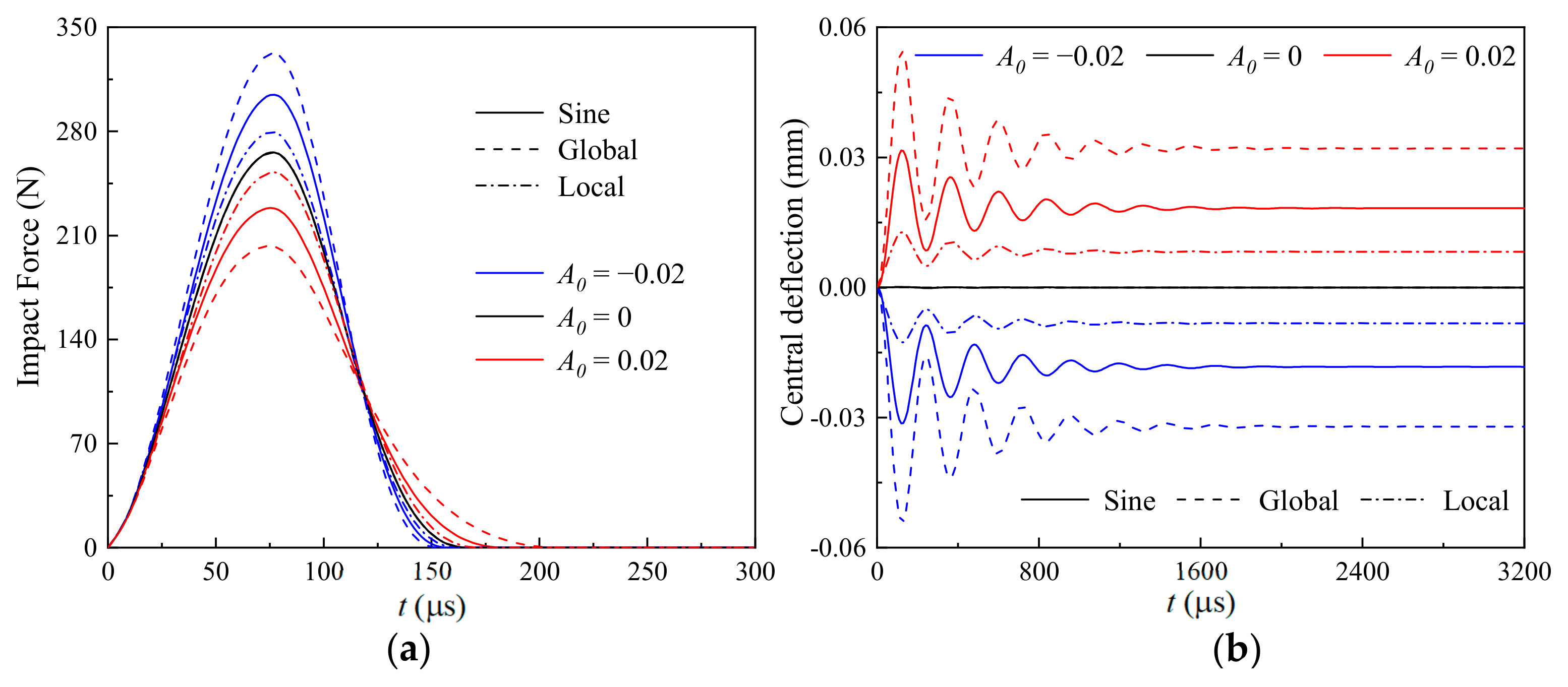
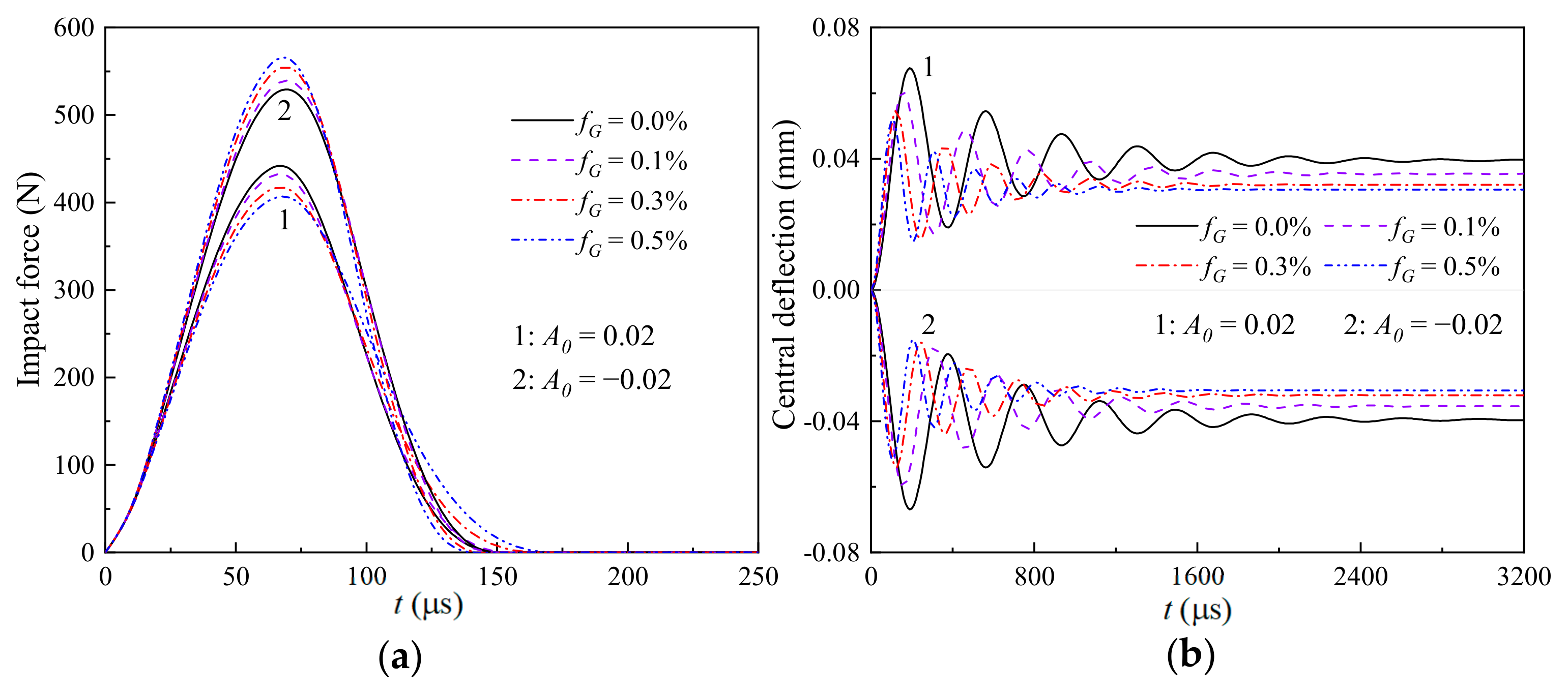
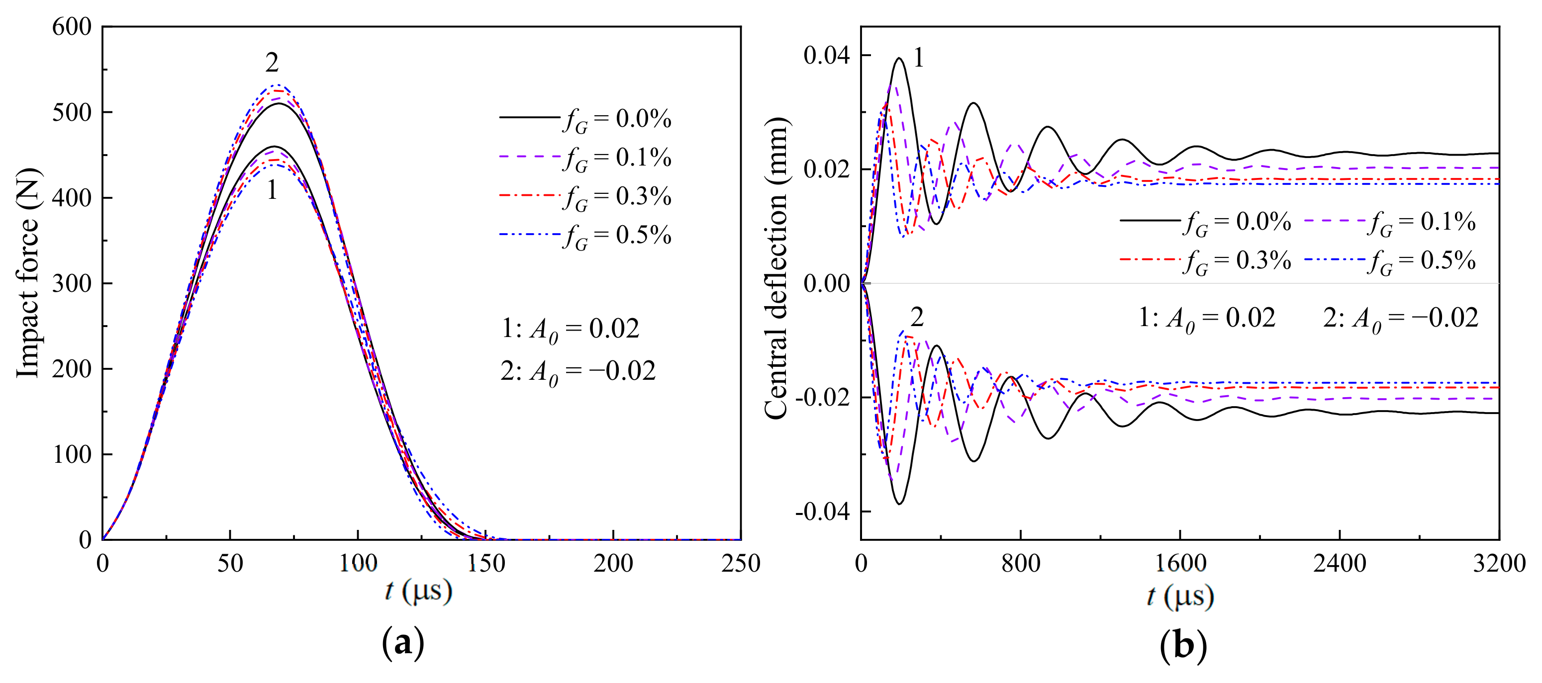
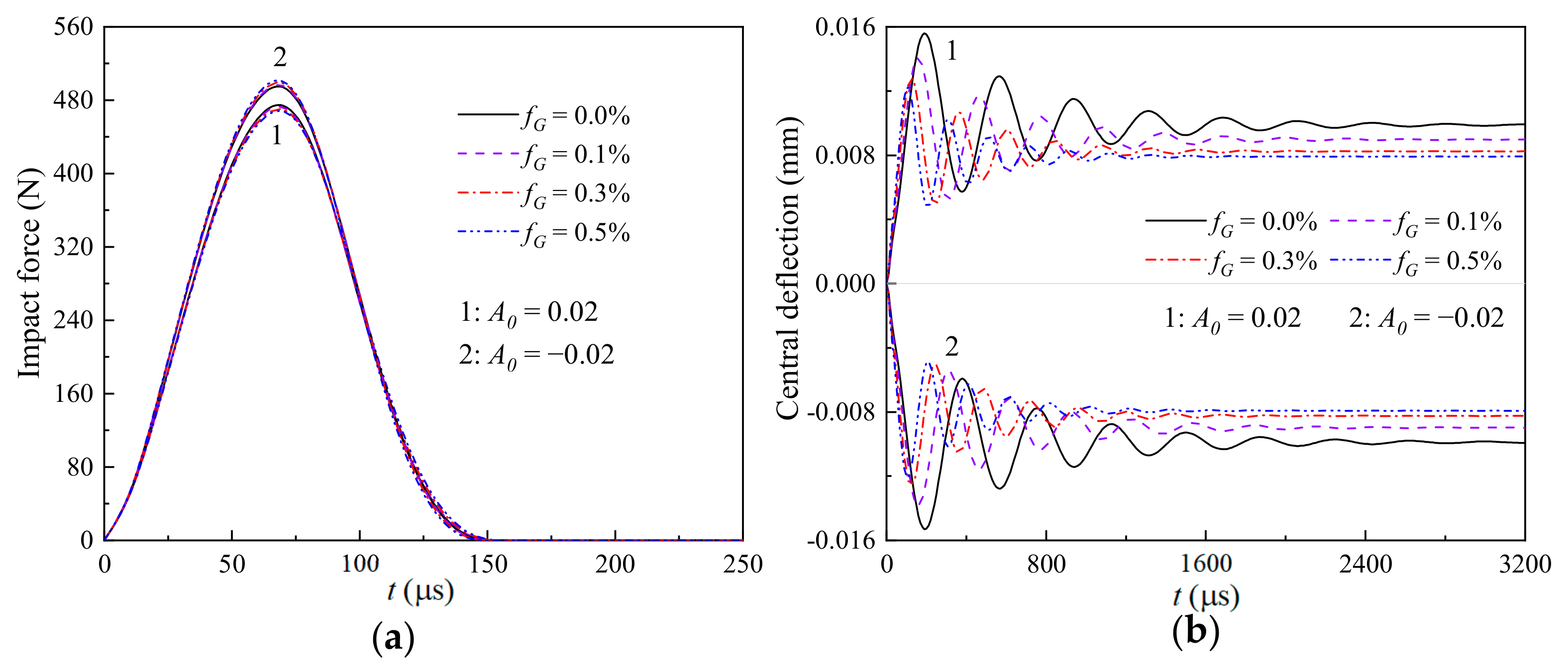
5. Results and Discussion
6. Conclusions
- (1)
- The GRC beams with sine and global imperfections have a higher convergence rate on the node number than a beam with a local imperfection. The global case is the most sensitive to the varying weight fraction of the GPLs, and the local case has the least sensitivity.
- (2)
- Among these three different imperfections, the global imperfection always has the highest thermomechanical central deflection, which is independent from the sign of the imperfect amplitude, while their impact forces are closely dependent on the sign of the imperfect amplitude.
- (3)
- The increasing weight fraction of the GPLs can increase the impact force of the GRC beam with convex characteristics but decrease the impact force of the GRC beam with concave characteristics.
Author Contributions
Funding
Data Availability Statement
Acknowledgments
Conflicts of Interest
Appendix A
Appendix B
References
- Farokhi, H.; Ghayesh, M.H. Thermo-mechanical dynamics of perfect and imperfect Timoshenko microbeams. Int. J. Eng. Sci. 2015, 91, 12–33. [Google Scholar] [CrossRef]
- Rafiee, M.; He, X.Q.; Liew, K.M. Non-linear dynamic stability of piezoelectric functionally graded carbon nanotube-reinforced composite plates with initial geometric imperfection. Int. J. Nonlinear Mech. 2014, 59, 37–51. [Google Scholar] [CrossRef]
- Jansen, E.L. The effect of geometric imperfections on the vibrations of anisotropic cylindrical shells. Thin Walled Struct. 2007, 45, 274–282. [Google Scholar] [CrossRef]
- Sheinman, I.; Adan, M. Imperfection sensitivity of a beam on a nonlinear elastic foundation. Int. J. Mech. Sci. 1991, 33, 753–760. [Google Scholar] [CrossRef]
- Matsushita, M.; Okuizumi, N.; Satou, Y.; Mori, O.; Iwasa, T.; Matunaga, S. Influence of thin-film device with curvature on natural frequency of rectangle membrane under uniaxial tension. Astrodynamics 2019, 3, 257–272. [Google Scholar] [CrossRef]
- Farokhi, H.; Ghayesh, M.H.; Kosasih, B.; Akaber, P. On the nonlinear resonant dynamics of Timoshenko microbeams: Effects of axial load and geometric imperfection. Meccanica 2015, 51, 155–169. [Google Scholar] [CrossRef]
- Wadee, M.A. Effects of periodic and localized imperfections on struts on nonlinear foundations and compression sandwich panels. Int. J. Solids Struct. 2000, 37, 1191–1209. [Google Scholar] [CrossRef]
- Liu, X.; Cai, G. Review of dynamics and active control of large-scale space membrane antenna. Astrodynamics 2024, 8, 1–26. [Google Scholar] [CrossRef]
- Shi, R.; Long, T.; Ye, N.; Wu, Y.; Wei, Z.; Liu, Z. Metamodel-based multidisciplinary design optimization methods for aerospace system. Astrodynamics 2021, 5, 185–215. [Google Scholar] [CrossRef]
- Naebe, M.; Shirvanimoghaddam, K. Functionally graded materials: A review of fabrication and properties. Appl. Mater. Today 2016, 5, 223–245. [Google Scholar] [CrossRef]
- Zhang, L.W.; Selim, B.A. Vibration analysis of CNT-reinforced thick laminated composite plates based on Reddy’s higher-order shear deformation theory. Compos. Struct. 2017, 160, 689–705. [Google Scholar] [CrossRef]
- Boussoula, A.; Boucham, B.; Bourada, M.; Bourada, F.; Tounsi, A.; Bousahla, A.A.; Tounsi, A. A simple nth-order shear deformation theory for thermomechanical bending analysis of different configurations of FG sandwich plates. Smart. Struct. Syst. 2020, 25, 197–218. [Google Scholar]
- Jafari, P.; Kiani, Y. Free vibration of functionally graded graphene platelet reinforced plates: A quasi 3D shear and normal deformable plate model. Compos. Struct. 2021, 275, 114409. [Google Scholar] [CrossRef]
- Li, C.; Zhu, C.X.; Lim, C.W.; Li, S. Nonlinear in-plane thermal buckling of rotationally restrained functionally graded carbon nanotube reinforced composite shallow arches under uniform radial loading. Appl. Math. Mech. Engl. Ed. 2022, 43, 1821–1840. [Google Scholar] [CrossRef]
- Li, H.N.; Wang, W.; Lai, S.K.; Yao, L.Q.; Li, C. Nonlinear Vibration and Stability Analysis of Rotating Functionally Graded Piezoelectric Nanobeams. Int. J. Struct. Stab. Dyn. 2023, 13, 2150122. [Google Scholar] [CrossRef]
- Sui, S.H.; Zhu, C.X.; Li, C.; Lei, Z.X. Free Vibration of Axially Traveling Moderately Thick FG Plates Resting on Elastic Foundations. J. Vib. Eng. Technol. 2023, 11, 329–341. [Google Scholar] [CrossRef]
- Jäntschi, L. Nanoporous carbon, its pharmaceutical applications and metal organic frameworks. J. Incl. Phenom. Macrocycl. Chem. 2023, 103, 245–261. [Google Scholar] [CrossRef]
- Novoselov, K.S.; Geim, A.K.; Morozov, S.V.; Jiang, D.; Zhang, Y.; Dubonos, S.V.; Grigorieva, I.V.; Firsov, A.A. Electric field effect in atomically thin carbon films. Science 2004, 22, 666–669. [Google Scholar] [CrossRef]
- Rafiee, M.A.; Rafiee, J.; Wang, Z.; Song, H.; Yu, Z.Z.; Koratkar, N. Enhanced mechanical properties of nanocomposites at low graphene content. ACS Nano 2009, 3, 3884–3890. [Google Scholar] [CrossRef]
- Zhao, S.; Zhao, Z.; Yang, Z.; Ke, L.; Kitipornchai, S.; Yang, J. Functionally graded graphene reinforced composite structures: A review. Eng. Struct. 2020, 210, 110339. [Google Scholar] [CrossRef]
- Feng, C.; Kitipornchai, S.; Yang, J. Nonlinear free vibration of functionally graded polymer composite beams reinforced with graphene nanoplatelets (GPLs). Eng. Struct. 2017, 140, 110–119. [Google Scholar] [CrossRef]
- Wang, Y.; Zhou, Y.; Feng, C.; Yang, J.; Zhou, D.; Wang, S. Numerical analysis on stability of functionally graded graphene platelets (GPLs) reinforced dielectric composite plate. Appl. Math. Model. 2022, 101, 239–258. [Google Scholar] [CrossRef]
- Wang, Y.; Feng, C.; Yang, J.; Zhou, D.; Wang, S. Nonlinear vibration of FG-GPLRC dielectric plate with active tuning using differential quadrature method. Comput. Method. Appl. M. 2021, 379, 113761. [Google Scholar] [CrossRef]
- Safarpour, M.; Rahimi, A.R.; Alibeigloo, A. Static and free vibration analysis of graphene platelets reinforced composite truncated conical shell, cylindrical shell, and annular plate using theory of elasticity and DQM. Mech. Based Des. Struct. Mach. 2019, 48, 496–524. [Google Scholar] [CrossRef]
- Rahimi; Alibeigloo, A.; Safarpour, M. Three-dimensional static and free vibration analysis of graphene platelet–reinforced porous composite cylindrical shell. J. Vibrat. Control 2020, 26, 1627–1645. [Google Scholar] [CrossRef]
- Mao, J.J.; Zhang, W.; Lu, H.M. Static and dynamic analyses of graphene-reinforced aluminium-based composite plate in thermal environment. Aerosp. Sci. Technol. 2020, 107, 106354. [Google Scholar] [CrossRef]
- Mao, J.J.; Lai, S.K.; Zhang, W.; Liu, Y.Z. Comparisons of nonlinear vibrations among pure polymer plate and graphene platelet reinforced composite plates under combined transverse and parametric excitations. Compos. Struct. 2021, 265, 113767. [Google Scholar] [CrossRef]
- Mao, J.J.; Lu, H.M.; Zhang, W.; Lai, S.K. Vibrations of graphene nanoplatelet reinforced functionally gradient piezoelectric composite microplate based on nonlocal theory. Compos. Struct. 2020, 236, 111813. [Google Scholar] [CrossRef]
- Mao, J.J.; Guo, L.J.; Zhang, W. Vibration and frequency analysis of edge-cracked functionally graded graphene reinforced composite beam with piezoelectric actuators. Eng. Comput. 2023, 39, 1563–1582. [Google Scholar] [CrossRef]
- Wang, Y.W.; Xie, K.; Fu, T.R.; Shi, C.L. Vibration response of a functionally graded graphene nanoplatelet reinforced composite beam under two successive moving masses. Compos. Struct. 2019, 209, 928–939. [Google Scholar] [CrossRef]
- Niu, Y.; Yao, M.; Wu, Q. Nonlinear vibrations of functionally graded graphene reinforced composite cylindrical panels. Appl. Math. Model. 2022, 101, 1–18. [Google Scholar] [CrossRef]
- Song, M.; Li, X.; Kitipornchai, S.; Bi, Q.; Yang, J. Low-velocity impact response of geometrically nonlinear functionally graded graphene platelet-reinforced nanocomposite plates. Nonlinear Dyn. 2018, 95, 2333–2352. [Google Scholar] [CrossRef]
- Song, M.T.; Yang, J.; Kitipornchai, S.; Zhu, W.D. Buckling and postbuckling of biaxially compressed functionally graded multilayer graphene nanoplatelet-reinforced polymer composite plates. Int. J. Mech. Sci. 2017, 131–132, 345–355. [Google Scholar] [CrossRef]
- Liu, H.; Wu, H.; Lyu, Z. Nonlinear resonance of FG multilayer beam-type nanocomposites: Effects of graphene nanoplatelet-reinforcement and geometric imperfection. Aerosp. Sci. Technol. 2020, 98, 105702. [Google Scholar] [CrossRef]
- Fan, Y.; Xiang, Y.; Shen, H.-S.; Wang, H. Low-velocity impact response of FG-GRC laminated beams resting on visco-elastic foundations. Int. J. Mech. Sci. 2018, 141, 117–126. [Google Scholar] [CrossRef]
- Fan, Y.; Xiang, Y.; Shen, H.-S.; Hui, D. Nonlinear low-velocity impact response of FG-GRC laminated plates resting on visco-elastic foundations. Compos. Part. B Eng. 2018, 144, 184–194. [Google Scholar] [CrossRef]
- Dong, Y.H.; Zhu, B.; Wang, Y.; He, L.W.; Li, Y.H.; Yang, J. Analytical prediction of the impact response of graphene reinforced spinning cylindrical shells under axial and thermal loads. Appl. Math. Model. 2019, 71, 331–348. [Google Scholar] [CrossRef]
- Selim, B.A.; Liu, Z. Impact analysis of functionally-graded graphene nanoplatelets-reinforced composite plates laying on Winkler-Pasternak elastic foundations applying a meshless approach. Eng. Struct. 2021, 241, 112453. [Google Scholar] [CrossRef]
- Zhang, W.; Guo, L.-J.; Wang, Y.; Mao, J.-J.; Yan, J. Nonlinear low-velocity impact response of GRC beam with geometric imperfection under thermo-electro-mechanical loads. Nonlinear Dyn. 2022, 110, 3255–3272. [Google Scholar] [CrossRef]
- Wu, H.L.; Kitipornchai, S.; Yang, J. Thermal buckling and postbuckling of functionally graded graphene nanocomposite plates. Mater. Des. 2017, 132, 430–441. [Google Scholar] [CrossRef]
- Wu, H.L.; Yang, J.; Kitipornchai, S. Nonlinear vibration of functionally graded carbon nanotube-reinforced composite beams with geometric imperfections. Compos. Part B Eng. 2016, 90, 86–96. [Google Scholar] [CrossRef]
- Abrate, S. Impact Engineering of Composite Structures; Springer Science & Business Media: Berlin/Heidelberg, Germany, 2011; Volume 526. [Google Scholar]
- Zhang, L.; Chen, Z.; Habibi, M.; Ghabussi, A.; Alyousef, R. Low-velocity impact, resonance, and frequency responses of FG-GPLRC viscoelastic doubly curved panel. Compos. Struct. 2021, 269, 114000. [Google Scholar] [CrossRef]
- Yang, S.H.; Sun, C.T. Indentation Law for Composite Laminates; NASA CR-165460; Purdue University, School of Aeronautics and Astronautics: West Lafayette, IN, USA, 1981. [Google Scholar]
- Timoshenko, S. Theory of Plates and Shells; McGraw-Hill: New York, NY, USA, 1959. [Google Scholar]
- Shu, C. Differential Quadrature and Its Application in Engineering; Springer: London, UK, 2000. [Google Scholar]
- Kazemi, M.; Rad, M.H.G.; Hosseini, S.M. Nonlinear dynamic analysis of FG carbon nanotube/epoxy nanocomposite cylinder with large strains assuming particle/matrix interphase using MLPG method. Eng. Anal. Bound. Elem. 2021, 132, 126–145. [Google Scholar] [CrossRef]
- Nguyen, T.N.; Ngo, T.D.; Nguyen-Xuan, H. A novel three-variable shear deformation plate formulation: Theory and Isogeometric implementation. Comput. Methods Appl. Mech. Eng. 2017, 326, 376–401. [Google Scholar] [CrossRef]
- Wang, Y.; Feng, C.; Wang, X.W.; Zhao, Z.; Romero, C.S.; Dong, Y.H.; Yang, J. Nonlinear static and dynamic responses of graphene platelets reinforced composite beam with dielectric permittivity. Appl. Math. Model. 2019, 71, 298–315. [Google Scholar] [CrossRef]
- Ibrahim, S.M.; Patel, B.P.; Nath, Y. Nonlinear Periodic Response of Composite Curved Beam Subjected to Symmetric and Antisymmetric Mode Excitation. J. Comput. Nonlinear Dyn. 2010, 5, 021009. [Google Scholar] [CrossRef]
- Safri, S.; Sultan, M.; Yidris, N.; Mustapha, F. Low velocity and high velocity impact test on composite materials–a review. Int. J. Eng. Sci. 2014, 3, 50–60. [Google Scholar]
- Jam, J.E.; Kiani, Y. Low velocity impact response of functionally graded carbon nanotube reinforced composite beams in thermal environment. Compos. Struct. 2015, 132, 35–43. [Google Scholar] [CrossRef]









| n | Fc,max | wmid,max | ||||
|---|---|---|---|---|---|---|
| Sine | Global | Local | Sine | Global | Local | |
| 13 | 443.27 | 415.29 | 333.52 | 0.0318 | 0.0546 | 0.1267 |
| 19 | 443.38 | 415.4 | 443.63 | 0.0317 | 0.0545 | 0.0336 |
| 25 | 443.44 | 415.46 | 464.91 | 0.0316 | 0.0544 | 0.0166 |
| 31 | 443.48 | 415.46 | 468.94 | 0.0316 | 0.0544 | 0.0134 |
| 37 | 443.5 | 415.5 | 469.48 | 0.0316 | 0.0544 | 0.0129 |
| 43 | 443.52 | 415.53 | 469.61 | 0.0316 | 0.0544 | 0.0128 |
| 49 | 443.53 | 415.54 | 469.64 | 0.0316 | 0.0544 | 0.0128 |
Disclaimer/Publisher’s Note: The statements, opinions and data contained in all publications are solely those of the individual author(s) and contributor(s) and not of MDPI and/or the editor(s). MDPI and/or the editor(s) disclaim responsibility for any injury to people or property resulting from any ideas, methods, instructions or products referred to in the content. |
© 2024 by the authors. Licensee MDPI, Basel, Switzerland. This article is an open access article distributed under the terms and conditions of the Creative Commons Attribution (CC BY) license (https://creativecommons.org/licenses/by/4.0/).
Share and Cite
Zhang, T.; Li, Q.; Mao, J.-J.; Zha, C. Nonlinear Thermomechanical Low-Velocity Impact Behaviors of Geometrically Imperfect GRC Beams. Materials 2024, 17, 6062. https://doi.org/10.3390/ma17246062
Zhang T, Li Q, Mao J-J, Zha C. Nonlinear Thermomechanical Low-Velocity Impact Behaviors of Geometrically Imperfect GRC Beams. Materials. 2024; 17(24):6062. https://doi.org/10.3390/ma17246062
Chicago/Turabian StyleZhang, Tao, Qiang Li, Jia-Jia Mao, and Chunqing Zha. 2024. "Nonlinear Thermomechanical Low-Velocity Impact Behaviors of Geometrically Imperfect GRC Beams" Materials 17, no. 24: 6062. https://doi.org/10.3390/ma17246062
APA StyleZhang, T., Li, Q., Mao, J.-J., & Zha, C. (2024). Nonlinear Thermomechanical Low-Velocity Impact Behaviors of Geometrically Imperfect GRC Beams. Materials, 17(24), 6062. https://doi.org/10.3390/ma17246062

