The Distributions and Dependences of 3D Particle Morphology Characteristics for Crushed and Natural Sands by X-Ray uCT Investigations
Abstract
1. Introduction
2. Particle Morphology
2.1. Definition of Ellipsoidal Degree
2.2. Advantage of Ellipsoidal Degree
3. Distributions of Shape Indexes
3.1. Distributions of Aspect Ratios
3.2. Distributions of Sphericities
3.3. Distributions of Ellipsoidal Degrees
4. Distributions of Micro-Size Indexes
4.1. Specific Surfaces
4.1.1. Distributions of Specific Surfaces
4.1.2. Shape Variance with Specific Surface in a Mono-Gradation
4.1.3. Difference in the Specific Surfaces for a Mono-Gradation of Difference Materials
4.2. Equivalent Diameters
4.2.1. Distributions of Equivalent Diameters
4.2.2. Shape Variance with Equivalent Diameter in a Mono-Gradation
4.2.3. Variance in Equivalent Diameters of Mono-Gradation of Difference Materials
5. Dependence of Particle Shape on Size
5.1. Variance in the Mean Values of Shape and Micro-Size Indexes
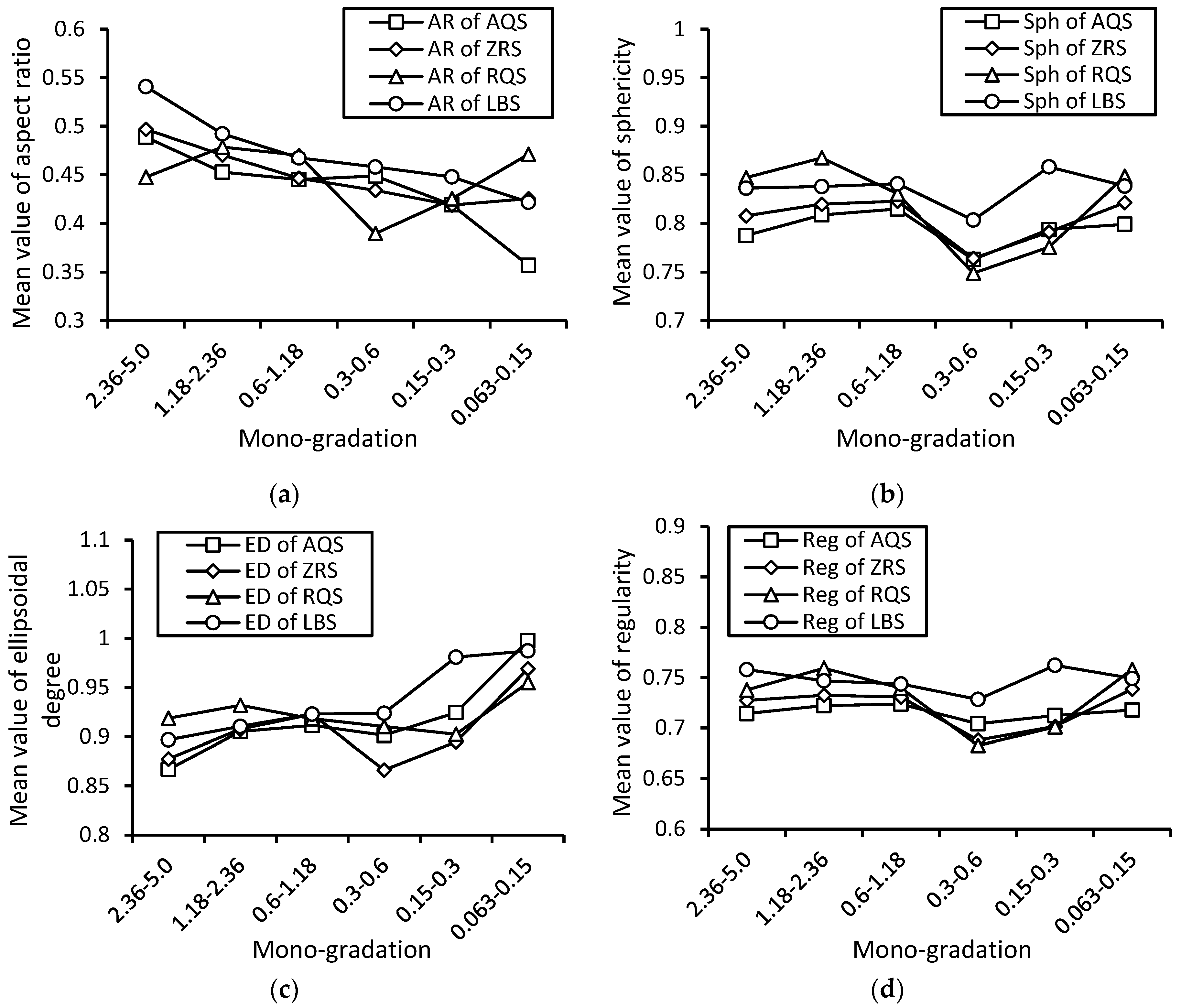
5.1.1. Mean Value of Shape Indexes
- (a)
- Most of the coarse grains are always in the “armoured” layer due to segregation, and they suffer much greater scouring force or weathering; this stronger natural environment will lead to the sphericity and ellipsoidal degree (local angularity and roundness of the compactness of particulates) of coarse grains becoming larger.
- (b)
- However, the specific surface of the coarse grains is much smaller than that of fine grains, which means that the extent of the effects of scouring force or weathering for coarse grains is much smaller than that of fine grains if they are in the same layer and under the similar environment. Thus, for the sphericity and ellipsoidal degree (local angularity and roundness of the compactness of particulates), the fine particulates suffered greater scouring force or weathering due to their bigger specific surface than the coarse grains in the same layer and a similar environment.
5.1.2. Mean Value of Micro-Size Indexes
5.2. Variance in the Standard Deviations of Shape and Micro-Size Indexes
5.2.1. Standard Deviations of Shape Indexes
5.2.2. Standard Deviation of Micro-Size Indexes
6. Conclusions
- The distribution pattern of shape and micro-size characteristics of particles of the mechanical crushing sands is similar to that of particles of the natural sands, which both have a skewed normal distribution, which can be expressed by the Weibull distribution function. The trends of the dependences of particle shapes on sizes for natural and crushed sands are similar, which may reveal that the formation mechanism of natural sands is the same as crushed sands. However, the variances in shape for crushed sands are bigger than the variances in natural sands, which may be because the natural sand has been scoured and weathered more uniformly.
- The size and shape characteristics of soil particles reflect their formation history. The dependence of 3D particle shape characteristics on the particle size is evident, especially regarding the specific surface area of microscopic features. The aspect ratio, representing the overall particle anisotropy, decreases with particle size for both natural and crushed sands. The reasons may be due to the combined effects of the following factors:
- (1)
- Most of the coarse grains are always in the “armoured” layer due to segregation, and they suffer stronger scouring force or weathering; this stronger natural environment will lead to the sphericity and ellipsoidal degree (local angularity and roundness of the compactness of particulates) of coarse grains becoming larger.
- (2)
- However, the specific surface of the coarse grains is much smaller than that of fine grains, which means the extent of the effects of scouring force or weathering for coarse grains is much smaller than that of fine grains if they are in the same layer and under the similar environment. Thus, for the sphericity and ellipsoidal degree (local angularity and roundness of the compactness of particulates), the fine particulates suffered greater scouring force or weathering due to their bigger specific surface than the coarse grains in the same layer and a similar environment.
- The particle shape characteristics vary with the particle size and the geological conditions of the material source. For particles with the same mono-gradation, the particle shape index is not obvious or has no definite relation with the particle’s equivalent diameter. However, the particle shape index changes with the particle’s specific surface. The larger the specific surface is, the smaller the particle shape index is. The potential energy of a natural object is related to its own weight, while the contact of an object with its surroundings is related to its specific surface. Therefore, the specific surface is the main index to measure the morphological properties, physicochemical properties, and mechanical properties of particles.
- The morphology of natural particles exhibits high variability and a wide range of changes. Therefore, studying particle morphology alone is insufficient; the number of particles must also be considered. In particular, the shape characteristics of crushed sand are more dispersed.
Author Contributions
Funding
Institutional Review Board Statement
Informed Consent Statement
Data Availability Statement
Conflicts of Interest
References
- Jaeger, H.M. Celebrating soft matter’s 10th anniversary: Toward jamming by design. Soft Matter 2015, 11, 12–27. [Google Scholar] [CrossRef] [PubMed]
- Wei, D.; Zhao, B.; Gan, Y. Surface reconstruction with spherical harmonics and its application for single particle crushing simulations. J. Rock Mech. Geotech. Eng. 2022, 14, 232–239. [Google Scholar] [CrossRef]
- Meng, L.; Li, S.; Yao, X. Maximally dense random packings of intersecting spherocylinders with central symmetry. Powder Technol. 2017, 314, 49–58. [Google Scholar] [CrossRef]
- Hu, Z.; Zhang, J.; Tan, X.; Yang, H. Modeling of the Particle Abrasion Process and a Discrete Element Method Study of Its Shape Effect. Materials 2024, 17, 3947. [Google Scholar] [CrossRef] [PubMed]
- Baur, M.; Huang, K. Dynamics of wet granular hexagons. Phys. Rev. E 2017, 95, 030901. [Google Scholar] [CrossRef]
- Golubeva, O.Y.; Alikina, Y.A.; Brazovskaya, E.Y. Particles Morphology Impact on Cytotoxicity, Hemolytic Activity and Sorption Properties of Porous Aluminosilicates of Kaolinite Group. Nanomaterials 2022, 12, 2559. [Google Scholar] [CrossRef]
- Avcıoğlu, S.; Buldu-Akturk, M.; Erdem, E.; Kaya, F.; Kaya, C. Boron carbide as an electrode material: Tailoring particle morphology to control capacitive behaviour. Materials 2023, 16, 861. [Google Scholar] [CrossRef]
- Santamarina, J.C.; Cho, G.C. Soil behaviour: The role of particle shape. In Advances in Geotechnical Engineering: The Skempton Conference: Proceedings of a Three Day Conference on Advances in Geotechnical Engineering, Organised by the Institution of Civil Engineers and Held at the Royal Geographical Society, London, UK, 29–31 March 2004; Thomas Telford Publishing: London, UK, 2004. [Google Scholar]
- Cho, G.C.; Dodds, J.; Santamarina, C.J. Particle shape effects on packing density, stiffness, and strength: Natural and crushed sands. J. Geotech. Geoenviron. 2006, 132, 591–602. [Google Scholar] [CrossRef]
- Wang, H.; Zhou, Y.; Zhou, B.; Zheng, W. An investigation of the pressure dip phenomenon within conical sandpiles using CFD-DEM. Powder Technol. 2022, 398, 117152. [Google Scholar] [CrossRef]
- Tsomokos, A.; Georgiannou, V.N. Effect of grain shape and angularity on the undrained response of fine sands. Can. Geotech. J. 2010, 47, 539–551. [Google Scholar] [CrossRef]
- Shin, H.; Santamarina, J.C. Role of particle angularity on the mechanical behavior of granular mixtures. J. Geotech. Geoenvironmental Eng. 2013, 139, 353–355. [Google Scholar] [CrossRef]
- Guo, Z.; Chen, X.; Xu, Y.; Liu, H. Effect of granular shape on angle of internal friction of binary granular system. Fuel 2015, 150, 298–304. [Google Scholar] [CrossRef]
- Yang, J.; Luo, X.D. Exploring the relationship between critical state and particle shape for granular materials. J. Mech. Phys. Solids 2015, 84, 196–213. [Google Scholar] [CrossRef]
- Keramatikerman, M.; Chegenizadeh, A. Effect of particle shape on monotonic liquefaction: Natural and crushed sand. Exp. Mech. 2017, 57, 1341–1348. [Google Scholar] [CrossRef]
- Deng, Z.; Chen, X.; Jin, W.; Wang, G. Effect of gradation characteristics and particle morphology on internal erosion of sandy gravels: A large-scale experimental study. Water 2023, 15, 2660. [Google Scholar] [CrossRef]
- Wang, L.; Jing, H.; Yu, J.; Liu, X. Impact of particle shape, size, and size distribution on Gravity Flow Behaviour of Broken Ore in Sublevel Caving. Minerals 2022, 12, 1183. [Google Scholar] [CrossRef]
- Altuhafi, F.N.; Coop, M.R. Changes to particle characteristics associated with the compression of sands. Géotechnique 2011, 61, 459–471. [Google Scholar] [CrossRef]
- Cheng, Z.; Wang, J.; Xiong, W. A machine learning-based strategy for experimentally estimating force chains of granular materials using X-ray micro-tomography. Géotechnique 2023, 74, 1291–1303. [Google Scholar] [CrossRef]
- Zhao, B.; Wang, J. 3D quantitative shape analysis on form, roundness, and compactness with μCT. Powder Technol. 2016, 291, 262–275. [Google Scholar] [CrossRef]
- Clayton, C.R.I.; Abbireddy, C.O.R.; Schiebel, R. A method of estimating the form of coarse particulates. Géotechnique 2009, 59, 493–501. [Google Scholar] [CrossRef]
- Le Pen, L.M.; Powrie, W.; Zervos, A.; Ahmed, S.; Aingaran, S. Dependence of shape on particle size for a crushed rock railway ballast. Granul. Matter 2013, 15, 849–861. [Google Scholar] [CrossRef]
- Wadell, H. Volume, shape, and roundness of rock particles. J. Geol. 1932, 40, 443–451. [Google Scholar] [CrossRef]
- Rosin, P.; Rammler, E. The Laws Governing the Fineness of Powdered Coal. J. Inst. Fuel 1933, 7, 29–36. [Google Scholar]
- Smith, R.L.; Naylor, J.C. A comparison of maximum likelihood and Bayesian estimators for the three-parameter Weibull distribution. J. R. Stat. Soc. Ser. C Appl. Stat. 1987, 36, 358–369. [Google Scholar] [CrossRef]
- Zhou, B.; Wang, J. Generation of a realistic 3D sand assembly using X-ray micro-computed tomography and spherical harmonic-based principal component analysis. Int. J. Numer. Anal. Methods Geomech. 2017, 41, 93–109. [Google Scholar] [CrossRef]
- Zhao, B.; Wang, J.; Coop, M.R.; Viggiani, G.; Jiang, M. An investigation of single sand particle fracture using X-ray micro-tomography. Géotechnique 2015, 65, 625–641. [Google Scholar] [CrossRef]


















| Types of Geometry | Descriptions | Proposed Ellipsoidal Degree | Roundness by Wadell |
|---|---|---|---|
| Sphere | All types | 1 | 1 |
| Ellipsoid | All types | 1 | <1 |
| Triangular pyramid | Equilateral types | Specific | Uncertain |
| Cube | All types | Specific | Uncertain |
| Materials | Mono-Gradations (mm) | k | λ | θ | Mean | Standard Deviation |
|---|---|---|---|---|---|---|
| AQS | 2.36–5.0 | 0.534 | 4.563 | 0.000 | 0.489 | 0.116 |
| 1.18–2.36 | 0.498 | 4.157 | 0.000 | 0.453 | 0.117 | |
| 0.6–1.18 | 0.491 | 3.979 | 0.000 | 0.445 | 0.121 | |
| 0.3–0.6 | 0.493 | 4.162 | 0.000 | 0.449 | 0.115 | |
| 0.15–0.3 | 0.465 | 3.571 | 0.000 | 0.419 | 0.128 | |
| 0.063–0.15 | 0.400 | 2.963 | 0.000 | 0.357 | 0.127 | |
| ZRS | 2.36–5.0 | 0.542 | 4.743 | 0.000 | 0.497 | 0.113 |
| 1.18–2.36 | 0.515 | 4.454 | 0.000 | 0.470 | 0.114 | |
| 0.6–1.18 | 0.492 | 4.058 | 0.000 | 0.447 | 0.119 | |
| 0.3–0.6 | 0.480 | 3.740 | 0.000 | 0.434 | 0.126 | |
| 0.15–0.3 | 0.466 | 3.533 | 0.000 | 0.419 | 0.130 | |
| 0.063–0.15 | 0.473 | 3.490 | 0.000 | 0.425 | 0.132 | |
| RQS | 2.36–5.0 | 0.486 | 5.049 | 0.000 | 0.448 | 0.095 |
| 1.18–2.36 | 0.521 | 4.820 | 0.000 | 0.479 | 0.105 | |
| 0.6–1.18 | 0.516 | 4.315 | 0.000 | 0.470 | 0.117 | |
| 0.3–0.6 | 0.432 | 3.561 | 0.000 | 0.390 | 0.116 | |
| 0.15–0.3 | 0.471 | 3.739 | 0.000 | 0.425 | 0.123 | |
| 0.063–0.15 | 0.518 | 4.183 | 0.000 | 0.471 | 0.122 | |
| LBS | 2.36–5.0 | 0.587 | 5.218 | 0.000 | 0.541 | 0.115 |
| 1.18–2.36 | 0.537 | 4.684 | 0.000 | 0.492 | 0.114 | |
| 0.6–1.18 | 0.512 | 4.443 | 0.000 | 0.467 | 0.113 | |
| 0.3–0.6 | 0.504 | 4.132 | 0.000 | 0.458 | 0.120 | |
| 0.15–0.3 | 0.495 | 3.819 | 0.000 | 0.448 | 0.128 | |
| 0.063–0.15 | 0.468 | 3.533 | 0.000 | 0.422 | 0.128 |
| Materials | Mono-Gradations (mm) | k | λ | θ | Mean | Standard Deviation |
|---|---|---|---|---|---|---|
| AQS | 2.36–5.0 | 0.924 | 21.025 | −0.113 | 0.787 | 0.053 |
| 1.18–2.36 | 0.831 | 19.484 | 0.000 | 0.809 | 0.051 | |
| 0.6–1.18 | 0.838 | 19.205 | 0.000 | 0.815 | 0.052 | |
| 0.3–0.6 | 0.800 | 10.501 | 0.000 | 0.763 | 0.084 | |
| 0.15–0.3 | 0.824 | 14.075 | 0.000 | 0.794 | 0.068 | |
| 0.063–0.15 | 0.842 | 9.547 | 0.000 | 0.799 | 0.097 | |
| ZRS | 2.36–5.0 | 1.403 | 32.238 | −0.571 | 0.808 | 0.058 |
| 1.18–2.36 | 0.840 | 21.492 | 0.000 | 0.820 | 0.047 | |
| 0.6–1.18 | 0.846 | 19.107 | 0.000 | 0.823 | 0.053 | |
| 0.3–0.6 | 1.377 | 22.055 | −0.579 | 0.764 | 0.076 | |
| 0.15–0.3 | 0.829 | 14.610 | −0.009 | 0.791 | 0.067 | |
| 0.063–0.15 | 0.855 | 13.047 | 0.000 | 0.821 | 0.076 | |
| RQS | 2.36–5.0 | 0.867 | 23.307 | 0.000 | 0.847 | 0.044 |
| 1.18–2.36 | 0.885 | 26.425 | 0.000 | 0.867 | 0.040 | |
| 0.6–1.18 | 0.852 | 20.617 | 0.000 | 0.830 | 0.050 | |
| 0.3–0.6 | 0.787 | 9.610 | 0.000 | 0.749 | 0.086 | |
| 0.15–0.3 | 0.809 | 12.042 | 0.000 | 0.776 | 0.078 | |
| 0.063–0.15 | 1.336 | 28.663 | −0.462 | 0.848 | 0.058 | |
| LBS | 2.36–5.0 | 1.502 | 35.202 | −0.641 | 0.836 | 0.061 |
| 1.18–2.36 | 0.857 | 23.779 | 0.000 | 0.838 | 0.043 | |
| 0.6–1.18 | 0.862 | 21.003 | 0.000 | 0.841 | 0.048 | |
| 0.3–0.6 | 1.123 | 18.054 | −0.286 | 0.803 | 0.074 | |
| 0.15–0.3 | 1.314 | 24.681 | −0.427 | 0.858 | 0.066 | |
| 0.063–0.15 | 0.873 | 13.067 | 0.000 | 0.838 | 0.078 |
| Materials | Mono-Gradations (mm) | k | λ | θ | Mean | Standard Deviation |
|---|---|---|---|---|---|---|
| AQS | 2.36–5.0 | 1.418 | 42.892 | −0.534 | 0.867 | 0.042 |
| 1.18–2.36 | 0.921 | 29.784 | 0.000 | 0.905 | 0.035 | |
| 0.6–1.18 | 0.927 | 29.772 | 0.000 | 0.911 | 0.035 | |
| 0.3–0.6 | 0.926 | 18.609 | 0.000 | 0.901 | 0.054 | |
| 0.15–0.3 | 0.945 | 21.663 | 0.000 | 0.924 | 0.045 | |
| 0.063–0.15 | 1.025 | 15.486 | 0.000 | 0.997 | 0.060 | |
| ZRS | 2.36–5.0 | 1.346 | 39.553 | −0.450 | 0.877 | 0.048 |
| 1.18–2.36 | 0.922 | 33.523 | 0.000 | 0.907 | 0.031 | |
| 0.6–1.18 | 0.938 | 29.601 | 0.000 | 0.923 | 0.035 | |
| 0.3–0.6 | 1.450 | 37.948 | −0.562 | 0.866 | 0.053 | |
| 0.15–0.3 | 1.074 | 33.969 | −0.162 | 0.895 | 0.040 | |
| 0.063–0.15 | 0.992 | 17.142 | 0.000 | 0.969 | 0.050 | |
| RQS | 2.36–5.0 | 0.934 | 31.333 | 0.000 | 0.919 | 0.033 |
| 1.18–2.36 | 0.945 | 35.520 | 0.000 | 0.932 | 0.029 | |
| 0.6–1.18 | 0.933 | 32.254 | 0.000 | 0.918 | 0.033 | |
| 0.3–0.6 | 0.937 | 17.505 | 0.000 | 0.910 | 0.059 | |
| 0.15–0.3 | 0.927 | 19.537 | 0.000 | 0.902 | 0.056 | |
| 0.063–0.15 | 0.973 | 25.955 | 0.000 | 0.955 | 0.040 | |
| LBS | 2.36–5.0 | 1.452 | 44.989 | −0.536 | 0.897 | 0.050 |
| 1.18–2.36 | 0.924 | 35.787 | 0.000 | 0.910 | 0.030 | |
| 0.6–1.18 | 0.938 | 32.996 | 0.000 | 0.923 | 0.034 | |
| 0.3–0.6 | 0.945 | 21.800 | 0.000 | 0.924 | 0.048 | |
| 0.15–0.3 | 1.000 | 24.521 | 0.000 | 0.981 | 0.040 | |
| 0.063–0.15 | 1.008 | 21.539 | 0.000 | 0.987 | 0.045 |
| Materials | Mono-Gradations (mm) | k | λ | θ | Mean | Standard Deviation |
|---|---|---|---|---|---|---|
| AQS | 2.36–5.0 | 1.908 | 3.892 | 1.119 | 2.884 | 0.363 |
| 1.18–2.36 | 4.005 | 3.859 | 1.956 | 5.593 | 0.988 | |
| 0.6–1.18 | 4.872 | 2.871 | 5.308 | 9.668 | 1.537 | |
| 0.3–0.6 | 8.626 | 3.087 | 11.036 | 18.754 | 2.652 | |
| 0.15–0.3 | 17.403 | 2.311 | 22.893 | 38.284 | 7.040 | |
| 0.063–0.15 | 45.739 | 2.583 | 46.356 | 86.937 | 16.673 | |
| ZRS | 2.36–5.0 | 2.140 | 4.398 | 0.691 | 2.666 | 0.406 |
| 1.18–2.36 | 3.727 | 4.387 | 1.860 | 5.288 | 0.759 | |
| 0.6–1.18 | 5.609 | 3.148 | 5.227 | 10.253 | 1.691 | |
| 0.3–0.6 | 17.729 | 2.594 | 11.131 | 26.880 | 6.417 | |
| 0.15–0.3 | 17.733 | 2.442 | 20.775 | 36.486 | 6.777 | |
| 0.063–0.15 | 32.399 | 1.889 | 43.853 | 72.458 | 16.210 | |
| RQS | 2.36–5.0 | 1.875 | 4.801 | 1.509 | 3.246 | 0.331 |
| 1.18–2.36 | 2.787 | 3.994 | 1.746 | 4.306 | 0.585 | |
| 0.6–1.18 | 5.411 | 3.046 | 5.136 | 9.979 | 1.670 | |
| 0.3–0.6 | 10.747 | 3.213 | 16.056 | 25.704 | 3.105 | |
| 0.15–0.3 | 24.111 | 2.567 | 23.501 | 44.904 | 8.823 | |
| 0.063–0.15 | 21.630 | 2.179 | 42.482 | 61.599 | 9.213 | |
| LBS | 2.36–5.0 | 1.729 | 3.588 | 1.007 | 2.596 | 0.363 |
| 1.18–2.36 | 2.965 | 3.469 | 1.765 | 4.458 | 0.729 | |
| 0.6–1.18 | 4.401 | 2.834 | 4.930 | 8.858 | 1.419 | |
| 0.3–0.6 | 12.826 | 2.596 | 10.438 | 21.824 | 4.616 | |
| 0.15–0.3 | 15.431 | 2.231 | 21.406 | 35.037 | 6.497 | |
| 0.063–0.15 | 28.589 | 2.559 | 43.745 | 69.122 | 10.358 |
| Materials | Mono-Gradations (mm) | k | λ | θ | Mean | Standard Deviation |
|---|---|---|---|---|---|---|
| AQS | 2.36–5.0 | 1.796 | 8.724 | 0.973 | 2.675 | 0.212 |
| 1.18–2.36 | 1.476 | 5.489 | 0.000 | 1.371 | 0.246 | |
| 0.6–1.18 | 0.825 | 7.899 | 0.000 | 0.779 | 0.103 | |
| 0.3–0.6 | 0.444 | 11.367 | 0.000 | 0.427 | 0.033 | |
| 0.15–0.3 | 0.216 | 7.671 | 0.000 | 0.204 | 0.030 | |
| 0.063–0.15 | 0.098 | 5.506 | 0.000 | 0.091 | 0.019 | |
| ZRS | 2.36–5.0 | 2.003 | 5.909 | 0.976 | 2.841 | 0.322 |
| 1.18–2.36 | 1.499 | 6.773 | 0.000 | 1.413 | 0.192 | |
| 0.6–1.18 | 0.781 | 6.584 | 0.000 | 0.731 | 0.114 | |
| 0.3–0.6 | 0.336 | 4.553 | 0.000 | 0.309 | 0.067 | |
| 0.15–0.3 | 0.228 | 7.374 | 0.000 | 0.214 | 0.031 | |
| 0.063–0.15 | 0.173 | 10.453 | −0.059 | 0.106 | 0.019 | |
| RQS | 2.36–5.0 | 1.627 | 10.247 | 0.648 | 2.202 | 0.161 |
| 1.18–2.36 | 1.722 | 7.756 | 0.000 | 1.633 | 0.195 | |
| 0.6–1.18 | 0.795 | 6.675 | 0.000 | 0.744 | 0.115 | |
| 0.3–0.6 | 0.339 | 7.633 | 0.000 | 0.319 | 0.045 | |
| 0.15–0.3 | 0.192 | 5.976 | 0.000 | 0.179 | 0.031 | |
| 0.063–0.15 | 0.123 | 10.345 | 0.000 | 0.117 | 0.013 | |
| LBS | 2.36–5.0 | 1.906 | 9.699 | 0.987 | 2.803 | 0.204 |
| 1.18–2.36 | 1.734 | 8.454 | 0.000 | 1.642 | 0.212 | |
| 0.6–1.18 | 0.868 | 8.833 | 0.000 | 0.823 | 0.103 | |
| 0.3–0.6 | 0.385 | 5.807 | 0.000 | 0.357 | 0.066 | |
| 0.15–0.3 | 0.221 | 6.735 | 0.000 | 0.207 | 0.035 | |
| 0.063–0.15 | 0.113 | 7.691 | 0.000 | 0.106 | 0.016 |
Disclaimer/Publisher’s Note: The statements, opinions and data contained in all publications are solely those of the individual author(s) and contributor(s) and not of MDPI and/or the editor(s). MDPI and/or the editor(s) disclaim responsibility for any injury to people or property resulting from any ideas, methods, instructions or products referred to in the content. |
© 2024 by the authors. Licensee MDPI, Basel, Switzerland. This article is an open access article distributed under the terms and conditions of the Creative Commons Attribution (CC BY) license (https://creativecommons.org/licenses/by/4.0/).
Share and Cite
Yang, H.; Li, X.; Zhang, J.; Hu, Z.; Li, S. The Distributions and Dependences of 3D Particle Morphology Characteristics for Crushed and Natural Sands by X-Ray uCT Investigations. Materials 2024, 17, 5805. https://doi.org/10.3390/ma17235805
Yang H, Li X, Zhang J, Hu Z, Li S. The Distributions and Dependences of 3D Particle Morphology Characteristics for Crushed and Natural Sands by X-Ray uCT Investigations. Materials. 2024; 17(23):5805. https://doi.org/10.3390/ma17235805
Chicago/Turabian StyleYang, Hao, Xu Li, Junhui Zhang, Zhengbo Hu, and Shengnan Li. 2024. "The Distributions and Dependences of 3D Particle Morphology Characteristics for Crushed and Natural Sands by X-Ray uCT Investigations" Materials 17, no. 23: 5805. https://doi.org/10.3390/ma17235805
APA StyleYang, H., Li, X., Zhang, J., Hu, Z., & Li, S. (2024). The Distributions and Dependences of 3D Particle Morphology Characteristics for Crushed and Natural Sands by X-Ray uCT Investigations. Materials, 17(23), 5805. https://doi.org/10.3390/ma17235805
