Soft Matter Electrolytes: Mechanism of Ionic Conduction Compared to Liquid or Solid Electrolytes
Abstract
1. Introduction
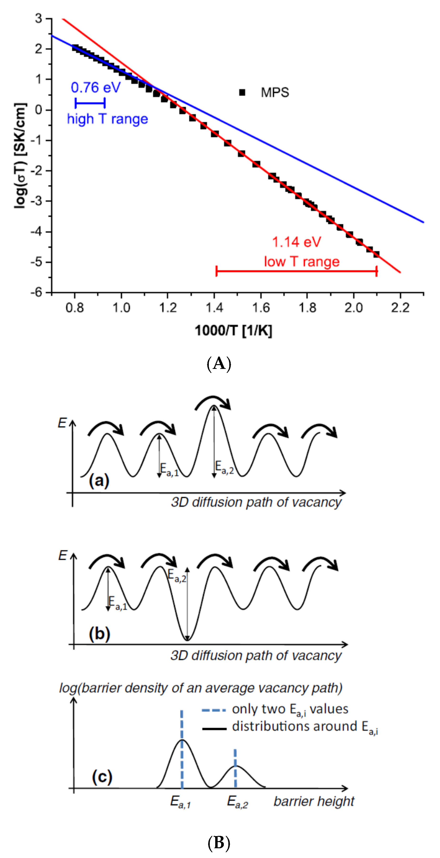
2. Temperature Dependence of Ionic Conductivity
3. Mechanism for Ionic Conduction (Theory)
3.1. Free Volume Model
3.2. Configurational Entropy Model
3.3. Jump-Diffusion Model
4. Crystal vs. Amorphous
5. Methods to Increase Ionic Conductivity
5.1. Cavitation in Polymer Electrolytes (Experiments)
5.2. Microporous (or Macroporous) Composite Polymer Electrolytes (Experiments)
5.3. All-Dislocation-Ceramics in Solid Electrolytes (Theory)
6. Merits and Demerits of Soft Matter Electrolytes
7. Conclusions
Funding
Institutional Review Board Statement
Informed Consent Statement
Data Availability Statement
Conflicts of Interest
References
- Zhou, P.; Zhang, X.; Xiang, Y.; Liu, K. Strategies to enhance Li+ transference number in liquid electrolytes for better lithium batteries. Nano Res. 2023, 16, 8055–8071. [Google Scholar] [CrossRef]
- Julien, C.; Mauger, A.; Vijh, A.; Zaghib, K. Lithium Batteries; Springer: Cham, Switzerland, 2016. [Google Scholar]
- Aurbach, D.; Schechter, A. Advanced liquid electrolyte solutions. In Lithium Batteries: Science and Technology; Nazri, G.-A., Pistoia, G., Eds.; Kluwer Academic: Boston, MA, USA, 2004; pp. 530–573. [Google Scholar]
- Manthiram, A.; Yu, X.; Wang, S. Lithium battery chemistries enabled by solid-state electrolytes. Nat. Rev. Mater. 2017, 2, 16103. [Google Scholar] [CrossRef]
- Takada, K. Solid-state batteries with oxide-based electrolytes. In Next Generation Batteries; Kanamura, K., Ed.; Springer: Singapore, 2021; pp. 181–186. [Google Scholar]
- Fan, L.-Z.; He, H.; Nan, C.-W. Tailoring inorganic-polymer composites for the mass production of solid-state batteries. Nat. Rev. Mater. 2021, 6, 1003–1019. [Google Scholar] [CrossRef]
- Tang, S.; Mei, Q.; Zhai, Y.; Liu, Y. Cation-polymerized artificial SEI layer modified Li metal applied in soft-matter polymer electrolyte. Nanotechnology 2024, 35, 335401. [Google Scholar] [CrossRef]
- Prakash, P.; Fall, B.; Aguirre, J.; Sonnenberg, L.A.; Chinnam, P.R.; Chereddy, S.; Dikin, D.A.; Venkatnathan, A.; Wunder, S.L.; Zdilla, M.J. A soft co-crystalline solid electrolyte for lithium-ion batteries. Nat. Mater. 2023, 22, 627–635. [Google Scholar] [CrossRef]
- Long, L.; Wang, S.; Xiao, M.; Meng, Y. Polymer electrolytes for lithium polymer batteries. J. Mater. Chem. A 2016, 4, 10038–10069. [Google Scholar] [CrossRef]
- Gray, F.M. Solid Polymer Electrolytes; VCH: New York, NY, USA, 1991. [Google Scholar]
- Gray, F.M. Polymer Electrolytes; Royal Society of Chemistry: Cambridge, UK, 1997. [Google Scholar]
- MacCallum, J.R.; Vincent, C.A. (Eds.) Polymer Electrolyte Reviews-1; Elsevier Applied Science: London, UK, 1987. [Google Scholar]
- MacCallum, J.R.; Vincent, C.A. (Eds.) Polymer Electrolyte Reviews-2; Elsevier Applied Science: London, UK, 1989. [Google Scholar]
- Gray, F.; Armand, M. Polymer electrolytes. In Handbook of Battery Materials, 2nd ed.; Daniel, C., Besenhard, J.O., Eds.; Wiley: Weinheim, Germany, 2011; Volume 2, pp. 627–656. [Google Scholar]
- Eftekhari, A. (Ed.) Polymerized Ionic Liquids; Royal Society of Chemistry: London, UK, 2018. [Google Scholar]
- Yuan, J.; Mecerreyes, D.; Antonietti, M. Poly(ionic liquid)s: An update. Prog. Polym. Sci. 2013, 38, 1009–1036. [Google Scholar] [CrossRef]
- Fan, F.; Wang, W.; Holt, A.P.; Feng, H.; Uhrig, D.; Lu, X.; Hong, T.; Wang, Y.; Kang, N.-G.; Mays, J.; et al. Effect of molecular weight on the ion transport mechanism in polymerized ionic liquids. Macromolecules 2016, 49, 4557–4570. [Google Scholar] [CrossRef]
- Gainaru, C.; Stacy, E.W.; Bocharova, V.; Gobet, M.; Holt, A.P.; Saito, T.; Greenbaum, S.; Sokolov, A.P. Mechanism of conductivity relaxation in liquid and polymeric electrolytes: Direct link between conductivity and diffusivity. J. Phys. Chem. B 2016, 120, 11074–11083. [Google Scholar] [CrossRef]
- Choi, U.H.; Mittal, A.; Price, T.L., Jr.; Lee, M.; Gibson, H.W.; Runt, J.; Colby, R.H. Molecular volume effects on the dynamics of polymerized ionic liquids and their monomers. Electrochim. Acta 2015, 175, 55–61. [Google Scholar] [CrossRef]
- Wojnarowska, Z.; Feng, H.; Fu, Y.; Cheng, S.; Carroll, B.; Kumar, R.; Novikov, V.N.; Kisliuk, A.M.; Saito, T.; Kang, N.-G.; et al. Effect of chain rigidity on the decoupling of ion motion from segmental relaxation in polymerized ionic liquids: Ambient and elevated pressure studies. Macromolecules 2017, 50, 6710–6721. [Google Scholar] [CrossRef]
- Obadia, M.M.; Jourdain, A.; Serghei, A.; Ikeda, T.; Drockenmuller, E. Cationic and dicationic 1,2,3-triazolium-based poly(ethylene glycol ionic liquid)s. Polym. Chem. 2017, 8, 910–917. [Google Scholar] [CrossRef]
- Bocharova, V.; Wojnarowska, Z.; Cao, P.-F.; Fu, Y.; Kumar, R.; Li, B.; Novikov, V.N.; Zhao, S.; Kisliuk, A.; Saito, T.; et al. Influence of chain rigidity and dielectric constant on the glass transition temperature in polymerized ionic liquids. J. Phys. Chem. B 2017, 121, 11511–11519. [Google Scholar] [CrossRef]
- Stephan, A.M. Review on gel polymer electrolytes for lithium batteries. Eur. Polym. J. 2006, 42, 21–42. [Google Scholar] [CrossRef]
- Murata, K.; Izuchi, S.; Yoshihisa, Y. An overview of the research and development of solid polymer electrolyte batteries. Electrochim. Acta 2000, 45, 1501–1508. [Google Scholar] [CrossRef]
- Yang, C.; Suo, Z. Hydrogel ionotronics. Nat. Rev. Mater. 2018, 3, 125–142. [Google Scholar] [CrossRef]
- Zhou, J.; Ji, H.; Liu, J.; Qian, T.; Yan, C. A new high ionic conductive gel polymer electrolyte enables highly stable quasi-solid-state lithium sulfur battery. Energy Storage Mater. 2019, 22, 256–264. [Google Scholar] [CrossRef]
- Shen, X.; Hua, H.; Li, H.; Li, R.; Hu, T.; Wu, D.; Zhnag, P.; Zhao, J. Synthesis and molecular dynamics simulation of a novel single ion conducting gel polymer electrolyte for lithium-ion batteries. Polymer 2020, 201, 122568. [Google Scholar] [CrossRef]
- Hanabusa, K. Ionic liquid gels. In Electrochemical Aspects of Ionic Liquids, 2nd ed.; Ohno, H., Ed.; John Wiley & Sons: Hoboken, NJ, USA, 2011; pp. 395–401. [Google Scholar]
- Noda, A.; Watanabe, M. Highly conductive polymer electrolytes prepared by in situ polymerization of vinyl monomers in room temperature molten salts. Electrochim. Acta 2000, 45, 1265–1270. [Google Scholar] [CrossRef]
- Yoshizawa, M.; Hirao, M.; Ito-Akita, K.; Ohno, H. Ion conduction in zwitterionic-type molten salts and their polymers. J. Mater. Chem. 2001, 11, 1057–1062. [Google Scholar] [CrossRef]
- Bhattacharyya, A.J.; Patel, M.; Das, S.K. Soft matter lithium salt electrolytes: Ion conduction and application to rechargeable batteries. Monatsh. Chem. 2009, 140, 1001–1010. [Google Scholar] [CrossRef]
- Wu, P.-W.; Holm, S.R.; Duong, A.T.; Dunn, B.; Kaner, R.B. A sol-gel electrolyte with high lithium ion conductivity. Chem. Mater. 1997, 9, 1004–1011. [Google Scholar] [CrossRef]
- Ogasawara, T.; Klein, L.C. Sol-gel electrolytes in lithium batteries. J. Sol-Gel Sci. Technol. 1994, 2, 611–613. [Google Scholar] [CrossRef]
- Akamatsu, T.; Kasuga, T.; Nogami, M. Formation of metaphosphate hydrogels and their proton conductivities. J. Non-Cryst. Solids 2005, 351, 691–696. [Google Scholar] [CrossRef]
- Yamanaka, M. Random matrix theory of rigidity in soft matter. J. Phys. Soc. Jpn. 2015, 84, 063801. [Google Scholar] [CrossRef]
- Doi, M. Soft Matter Physics; Oxford University Press: Oxford, UK, 2013. [Google Scholar]
- Landau, L.D.; Lifshitz, E.M. Theory of Elasticity, 3rd ed.; Elsevier: Amsterdam, The Netherlands, 1986; pp. 1–37. [Google Scholar]
- Hu, X.; Li, Z.; Chen, J. Flexible Li-CO2 batteries with liquid-free electrolyte. Angew. Chem. Int. Ed. 2017, 56, 5785–5789. [Google Scholar] [CrossRef]
- Shirshova, N.; Bismarck, A.; Greenhalgh, E.S.; Johansson, P.; Kalinka, G.; Marczewski, M.J.; Shaffer, M.S.P.; Wienrich, M. Composition as a means to control morphology and properties of epoxy based dual-phase structural electrolytes. J. Phys. Chem. C 2014, 118, 28377–28387. [Google Scholar] [CrossRef]
- Zhang, X.; Wang, X.; Liu, S.; Tao, Z.; Chen, J. A novel PMA/PEG-based composite polymer electrolyte for all-solid-state sodium ion batteries. Nano Res. 2018, 11, 6244–6251. [Google Scholar] [CrossRef]
- Jacob, M.M.E.; Arof, A.K. Mechanical studies on poly(vinylidene fluoride) based polymer electrolytes. Polym. Eng. Sci. 2000, 40, 872–978. [Google Scholar] [CrossRef]
- Ke, X.; Wang, Y.; Ren, G.; Yuan, C. Towards rational mechanical design of inorganic solid electrolytes for all-solid-state lithium ion batteries. Energy Storage Mater. 2020, 26, 313–324. [Google Scholar] [CrossRef]
- Zafarani-Moattar, M.T.; Shekaari, H. Density and speed of sound of lithium bromide with organic solvents: Measurement and correlation. J. Chem. Thermodyn. 2007, 39, 1649–1660. [Google Scholar] [CrossRef]
- Kinsler, L.E.; Frey, A.R.; Coppens, A.B.; Sanders, J.V. Fundamentals of Acoustics, 3rd ed.; John Wiley & Sons: New York, NY, USA, 1982; pp. 57–77. [Google Scholar]
- Sperling, L.H. Introduction to Physical Polymer Science, 4th ed.; John Wiley & Sons: Hoboken, NJ, USA, 2006. [Google Scholar]
- Strobl, G. The Physics of Polymers, 3rd ed.; Springer: Berlin, Germany, 2007. [Google Scholar]
- Rubinstein, M.; Colby, R.H. Polymer Physics; Oxford University Press: Oxford, UK, 2003. [Google Scholar]
- Berthier, C.; Gorecki, W.; Minier, M.; Armand, M.B.; Chabagno, J.M.; Rigaud, P. Microscopic investigation of ionic conductivity in alkali metal salts-poly(ethylene oxide) adducts. Solid State Ion. 1983, 11, 91–95. [Google Scholar] [CrossRef]
- Xue, S.; Liu, Y.; Li, Y.; Teeters, D.; Crunkleton, D.W.; Wang, S. Diffusion of lithium ions in amorphous and crystalline poly(ethylene oxide)3:LiCF3SO3 polymer electrolytes. Electrochim. Acta 2017, 235, 122–128. [Google Scholar] [CrossRef]
- Gadjourova, Z.; Andreev, Y.G.; Tunstall, D.P.; Bruce, P.G. Ionic conductivity in crystalline polymer electrolytes. Nature 2001, 412, 520–523. [Google Scholar] [CrossRef]
- Stoeva, Z.; Martin-Litas, I.; Staunton, E.; Andreev, Y.G.; Bruce, P.G. Ionic conductivity in the crystalline polymer electrolytes PEO6:LiXF6, X=P, As, Sb. J. Am. Chem. Soc. 2003, 125, 4619–4626. [Google Scholar] [CrossRef]
- Xue, S.; Teeters, D.; Crunkleton, D.W.; Wang, S. Ab initio calculations for crystalline PEO6:LiPF6 polymer electrolytes. Comput. Mater. Sci. 2019, 160, 173–179. [Google Scholar] [CrossRef]
- Chatani, Y.; Okamura, S. Crystal structure of poly(ethylene oxide)-sodium iodide complex. Polymer 1987, 28, 1815–1820. [Google Scholar] [CrossRef]
- Nitzan, A.; Ratner, M.A. Conduction in polymers: Dynamic disorder transport. J. Phys. Chem. 1994, 98, 1765–1775. [Google Scholar] [CrossRef]
- Osada, I.; de Vries, H.; Scrosati, B.; Passerini, S. Ionic-liquid-based polymer electrolytes for battery applications. Angew. Chem. Int. Ed. 2016, 55, 500–513. [Google Scholar] [CrossRef]
- Gao, H.; Grundish, N.S.; Zhao, Y.; Zhou, A.; Goodenough, J.B. Formation of stable interphase of polymer-in-salt electrolyte in all-solid-state lithium batteries. Energy Mater. Adv. 2021, 2021, 1932952. [Google Scholar] [CrossRef]
- Mindemark, J.; Lacey, M.J.; Bowden, T.; Brandell, D. Beyond PEO-alternative host materials for Li+-conducting solid polymer electrolytes. Prog. Polym. Sci. 2018, 81, 114–143. [Google Scholar] [CrossRef]
- Armand, M.B. Current state of PEO-based electrolyte. In Polymer Electrolyte Reviews-1; MacCallum, J.R., Vincent, C.A., Eds.; Elsevier Applied Science: London, UK, 1987; pp. 1–22. [Google Scholar]
- Lopez, J.; Mackanic, D.G.; Cui, Y.; Bao, Z. Designing polymers for advanced battery chemistries. Nat. Rev. Mater. 2019, 4, 312–330. [Google Scholar] [CrossRef]
- Xue, Z.; He, D.; Xie, X. Poly(ethylene oxide)-based electrolytes for lithium-ion batteries. J. Mater. Chem. A 2015, 3, 19218–19253. [Google Scholar] [CrossRef]
- Jacoby, M. Batteries get flexible. Chem. Eng. News 2013, 91, 13–18. [Google Scholar] [CrossRef]
- Watanabe, M.; Ogata, N. Ionic conductivity of poly(propylene oxide) electrolytes. In Polymer Electrolyte Reviews-1; MacCallum, J.R., Vincent, C.A., Eds.; Elsevier Applied Science: London, UK, 1987; pp. 39–68. [Google Scholar]
- Robitaille, C.D.; Fauteux, D. Phase diagrams and conductivity characterization of some PEO-LiX electrolytes. J. Electrochem. Soc. 1986, 133, 315–325. [Google Scholar] [CrossRef]
- Wang, Y.; Fan, F.; Agapov, A.L.; Saito, T.; Yang, J.; Yu, X.; Hong, K.; Mays, J.; Sokolov, A.P. Examination of the fundamental relation between ionic transport and segmental relaxation in polymer electrolytes. Polymer 2014, 55, 4067–4076. [Google Scholar] [CrossRef]
- Petrowsky, M.; Frech, R. Temperature dependence of ion transport: The compensated Arrhenius equation. J. Phys. Chem. B 2009, 113, 5996–6000. [Google Scholar] [CrossRef]
- Watanabe, M.; Kanba, M.; Nagaoka, K.; Shinohara, I. Ionic conductivity of hybrid films composed of polyacrylonitrile, ethylene carbonate, and LiClO4. J. Polym. Sci. 1983, 21, 939–948. [Google Scholar] [CrossRef]
- Avellaneda, C.O.; Vieira, D.F.; Al-Kahlout, A.; Leite, E.R.; Pawlicka, A.; Aegerter, M.A. Solid-state electrochromic devices with Nb2O5: Mo thin film and gelatin-based electrolyte. Electrochim. Acta 2007, 53, 1648–1654. [Google Scholar] [CrossRef]
- Boisset, A.; Menne, S.; Jacquemin, J.; Balducci, A.; Anouti, M. Deep eutectic solvents based on N-methylacetamide and a lithium salt as suitable electrolytes for lithium-ion batteries. Phys. Chem. Chem. Phys. 2013, 15, 20054. [Google Scholar] [CrossRef]
- Miyamoto, T.; Shibayama, K. Free-volume model for ionic conductivity in polymers. J. Appl. Phys. 1973, 44, 5372–5376. [Google Scholar] [CrossRef]
- Minami, T.; Takuma, Y.; Tanaka, M. Superionic conducting glasses: Glass formation and conductivity in the AgI-Ag2O-P2O5 system. J. Electrochem. Soc. 1977, 124, 1659–1662. [Google Scholar] [CrossRef]
- Ahamer, C.; Opitz, A.K.; Rupp, G.M.; Fleig, J. Revisiting the temperature dependent ionic conductivity of yttria stabilized zirconia (YSZ). J. Electrochem. Soc. 2017, 164, F790–F803. [Google Scholar] [CrossRef]
- Nowak, S.; Berkemeier, F.; Schmitz, G. Ultra-thin LiPON films—Fundamental properties and application in solid state thin film model batteries. J. Power Sources 2015, 275, 144–150. [Google Scholar] [CrossRef]
- Berkemeier, F.; Abouzari, M.R.S.; Schmitz, G. Thickness-dependent dc conductivity of lithium borate glasses. Phys. Rev. B 2007, 76, 024205. [Google Scholar] [CrossRef]
- Heitjans, P.; Indris, S. Diffusion and ionic conduction in nanocrystalline ceramics. J. Phys. Condens. Matter 2003, 15, R1257–R1289. [Google Scholar] [CrossRef]
- Wang, W.; Yi, E.; Fici, A.J.; Laine, R.M.; Kieffer, J. Lithium ion conducting poly(ethylene oxide)-based solid electrolytes containing active or passive ceramic nanoparticles. J. Phys. Chem. C 2017, 121, 2563–2573. [Google Scholar] [CrossRef]
- Papke, B.L.; Ratner, M.A.; Shriver, D.F. Conformation and ion-transport models for the structure and ionic conductivity in complexes of polyethers with alkali metal salts. J. Electrochem. Soc. 1982, 129, 1694–1701. [Google Scholar] [CrossRef]
- Gu, G.Y.; Bouvier, S.; Wu, C.; Laura, R.; Rzeznik, M.; Abraham, K.M. 2-methoxyethyl (methyl) carbonate-based electrolytes for Li-ion batteries. Electrochim. Acta 2000, 45, 3127–3139. [Google Scholar] [CrossRef]
- Baril, D.; Michot, C.; Armand, M. Electrochemistry of liquids vs. solids: Polymer electrolytes. Solid State Ion. 1997, 94, 35–47. [Google Scholar] [CrossRef]
- Weston, J.E.; Steele, B.C.H. Effects of inert fillers on the mechanical and electrochemical properties of lithium salt-poly (ethylene oxide) polymer electrolytes. Solid State Ion. 1982, 7, 75–79. [Google Scholar] [CrossRef]
- Ratner, M.A. Aspects of the theoretical treatment of polymer solid electrolytes: Transport theory and models. In Polymer Electrolyte Reviews-1; MacCallum, J.R., Vincent, C.A., Eds.; Elsevier Applied Science: London, UK, 1987; pp. 173–236. [Google Scholar]
- Armand, M.B.; Chabagno, J.M.; Duclot, M.J. Poly-ethers as solid electrolytes. In Fast Ion Transport in Solids; Vashishta, P., Mundy, J.N., Shenoy, G.K., Eds.; Elsevier North Holland: New York, NY, USA, 1979; pp. 131–136. [Google Scholar]
- Yoshida, K.; Tsuchiya, M.; Tachikawa, N.; Dokko, K.; Watanabe, M. Change from glyme solutions to quasi-ionic liquids for binary mixtures consisting of lithium bis(trifluoromethanesulfonyl)amide. J. Phys. Chem. C 2011, 115, 18384–18394. [Google Scholar] [CrossRef]
- Susan, M.A.B.H.; Kaneko, T.; Noda, A.; Watanabe, M. Ion gels prepared by in situ radical polymerization of vinyl monomers in an ionic liquid and their characterization as polymer electrolytes. J. Am. Chem. Soc. 2005, 127, 4976–4983. [Google Scholar] [CrossRef] [PubMed]
- Marple, M.A.T.; Aitken, B.G.; Kim, S.; Sen, S. Fast Li-ion dynamics in stoichiometric Li2S-Ga2Se3-GeSe2 glasses. Chem. Mater. 2017, 29, 8704–8710. [Google Scholar] [CrossRef]
- Inaguma, Y. Fast percolative diffusion in lithium ion-conducting perovskite-type oxides. J. Ceram. Soc. Jpn. 2006, 114, 1103–1110. [Google Scholar] [CrossRef]
- Grady, Z.A.; Wilkinson, C.J.; Randall, C.A.; Mauro, J.C. Emerging role of non-crystalline electrolytes in solid-state battery research. Front. Energy Res. 2020, 8, 218. [Google Scholar] [CrossRef]
- Saruwatari, H.; Kuboki, T.; Kishi, T.; Mikoshiba, S.; Takami, N. Imidazolium ionic liquids containing LiBOB electrolyte for lithium battery. J. Power Sources 2010, 195, 1495–1499. [Google Scholar] [CrossRef]
- Hong, H.Y.-P. Crystal structure and ionic conductivity of Li14Zn(GeO4)4 and other new Li+ superionic conductors. Mater. Res. Bul. 1978, 13, 117–124. [Google Scholar] [CrossRef]
- Aono, H.; Sugimoto, E.; Sadaoka, Y.; Imanaka, N.; Adachi, G. Ionic conductivity of solid electrolytes based on lithium titanium phosphate. J. Electrochem. Soc. 1990, 137, 1023–1027. [Google Scholar] [CrossRef]
- Murugan, R.; Thangadurai, V.; Weppner, W. Fast lithium ion conduction in garnet-type Li7La3Zr2O12. Angew. Chem. Int. Ed. 2007, 46, 7778–7781. [Google Scholar] [CrossRef]
- Malugani, J.P.; Robert, G. Ion conductivity in LiPO3-LiX (X=I, Br, Cl). Mater. Res. Bull. 1979, 14, 1075–1081. [Google Scholar] [CrossRef]
- Mizuno, F.; Hayashi, A.; Tadanaga, K.; Tatsumisago, M. High lithium ion conducting glass-ceramics in the system Li2S-P2S5. Solid State Ion. 2006, 177, 2721–2725. [Google Scholar] [CrossRef]
- Chen, R.; Li, Q.; Yu, X.; Chen, L.; Li, H. Approaching practically accessible solid-state batteries: Stability issues related to solid electrolytes and interfaces. Chem. Rev. 2020, 120, 6820–6877. [Google Scholar] [CrossRef] [PubMed]
- Cramer, C.; Funke, K.; Buscher, M.; Happe, A.; Saatkamp, T.; Wilmer, D. Ion dynamics in glass-forming systems II. Conductivity spectra above the glass transformation temperature. Philos. Mag. B 1995, 71, 713–719. [Google Scholar] [CrossRef]
- Łasińska, A.K.; Marzantowicz, M.; Dygas, J.R.; Krok, F.; Florjańczyk, Z.; Tomaszewska, A.; Zygadło-Monikowska, E.; Żukowska, Z.; Lafont, U. Study of ageing effects in polymer-in-salt electrolytes based on poly (acrylonitrile-co-butyl acrylate) and lithium salts. Electrochim. Acta 2015, 169, 61–72. [Google Scholar] [CrossRef]
- Doolittle, A.K. Studies in Newtonian flow. II. The dependence of the viscosity of liquids on free-space. J. Appl. Phys. 1951, 22, 1471–1475. [Google Scholar] [CrossRef]
- Cohen, M.H.; Turnbull, D. Molecular transport in liquids and glasses. J. Chem. Phys. 1959, 31, 1164–1169. [Google Scholar] [CrossRef]
- Atkins, P.W. Physical Chemistry, 6th ed.; Oxford University Press: Oxford, UK, 1998. [Google Scholar]
- Adam, G.; Gibbs, J.H. On the temperature dependence of cooperative relaxation properties in glass-forming liquids. J. Chem. Phys. 1965, 43, 139–146. [Google Scholar] [CrossRef]
- Angell, C.A.; Sichina, W. Thermodynamics of glass-transition—Empirical aspects. Ann. N. Y. Acad. Sci. 1976, 279, 53–67. [Google Scholar] [CrossRef]
- Henderson, W.A.; Passerini, S. Ionic conductivity in crystalline-amorphous polymer electrolytes—P(EO)6:LiX phases. Electrochem. Commun. 2003, 5, 575–578. [Google Scholar] [CrossRef]
- Spěváćek, H.; Brus, J.; Dybal, J. Solid state NMR and DFT study of polymer electrolyte poly(ethylene oxide)/LiCF3SO3. Solid State Ion. 2005, 176, 163–167. [Google Scholar] [CrossRef]
- Spěváćek, H.; Brus, J.; Dybal, J. Solid polymer electrolytes studied by NMR spectroscopy and DFT calculations. Macromol. Symp. 2006, 235, 57–63. [Google Scholar] [CrossRef]
- Lei, X.; Jee, Y.; Huang, K. Amorphous Na2Si2O5 as a fast Na+ conductor: An ab initio molecular dynamics simulation. J. Mater. Chem. A 2015, 3, 19920–19927. [Google Scholar] [CrossRef]
- Singh, P.; Goodenough, J.B. Monoclinic Sr1−xNax SiO3−0.5x: New superior oxide ion electrolytes. J. Am. Chem. Soc. 2013, 135, 10149–10154. [Google Scholar] [CrossRef]
- Evans, I.R.; Evans, J.S.O.; Davies, H.G.; Haworth, A.R.; Tate, M.L. On Sr1−xNax SiO3−0.5x new superior fast ion conductors. Chem. Mater. 2014, 26, 5187–5189. [Google Scholar] [CrossRef]
- Li, H.; Erbaş, A.; Zwanikken, J.; de la Cruz, M.O. Ionic conductivity in polyelectrolyte hydrogel. Macromolecules 2016, 49, 9239–9246. [Google Scholar] [CrossRef]
- Stacy, E.W.; Gainaru, C.P.; Gobet, M.; Wojnarowska, Z.; Bocharova, V.; Greenbaum, S.G.; Sokolov, A.P. Fundamental limitations of ionic conductivity in polymerized ionic liquids. Macromolecules 2018, 51, 8637–8645. [Google Scholar] [CrossRef]
- Kisliuk, A.; Bocharova, V.; Popov, I.; Gainaru, C.; Sokolov, A.P. Fundamental parameters governing ion conductivity in polymer electrolytes. Electrochim. Acta 2019, 299, 191–196. [Google Scholar] [CrossRef]
- Zhang, C.; Staunton, E.; Andreev, Y.G.; Bruce, P.G. Raising the conductivity of crystalline polymer electrolytes by aliovalent doping. J. Am. Chem. Soc. 2005, 127, 18305–18308. [Google Scholar] [CrossRef]
- Murakami, S.; Ueda, K.; Kitada, T.; Ikeda, Y.; Kohjiya, S. Control on the structure of poly(oxyethylene) with tri(oxyethylene) side chains for a polymer solid electrolyte. Solid State Ion. 2002, 154–155, 399–406. [Google Scholar] [CrossRef]
- Chung, J.-S.; Sohn, H.-J. Electrochemical properties of amorphous comb-shaped composite PEO polymer electrolyte. J. Power Sources 2002, 112, 671–675. [Google Scholar] [CrossRef]
- Kelly, T.; Ghadi, B.M.; Berg, S.; Ardebili, H. In situ study of strain-dependent ion conductivity of stretchable polyethylene oxide electrolyte. Sci. Rep. 2016, 6, 20128. [Google Scholar] [CrossRef] [PubMed]
- Jiang, Y.-X.; Chen, Z.-F.; Zhuang, Q.-C.; Xu, J.-M.; Dong, Q.-F.; Huang, L.; Sun, S.-G. A novel composite microporous polymer electrolyte prepared with molecule sieves for Li-ion batteries. J. Power Sources 2006, 160, 1320–1328. [Google Scholar] [CrossRef]
- Yasui, K.; Hamamoto, K. Influence of dislocations on ionic conductivity and dendrite formation in solid electrolytes. Phys. Scr. 2023, 98, 045811. [Google Scholar] [CrossRef]
- Yasui, K.; Hamamoto, K. Possibility of high ionic conductivity and high fracture toughness in all-dislocation-ceramics. Materials 2024, 17, 428. [Google Scholar] [CrossRef]
- Pawlak, A.; Galeski, A.; Rozanski, A. Cavitation during deformation of semicrystalline polymers. Prog. Polym. Sci. 2014, 39, 921–958. [Google Scholar] [CrossRef]
- Thomas, C.; Ferreiro, V.; Coulon, G.; Seguela, R. In situ AFM investigation of crazing in polybutene spherulites under tensile drawing. Polymer 2007, 48, 6041–6048. [Google Scholar] [CrossRef]
- Morozinis, A.K.; Tzoumanekas, C.; Anogiannakis, S.D.; Theodorou, D.N. Atomistic simulations of cavitation in a model polyethylene network. Polym. Sci. C 2013, 55, 212–218. [Google Scholar] [CrossRef]
- Neogi, A.; Mitra, N.; Talreja, R. Cavitation in epoxies under composite-like stress states. Compos. Part A 2018, 106, 52–58. [Google Scholar] [CrossRef]
- Rozanski, A.; Galeski, A.; Debowska, M. Initiation of cavitation of polypropylene during tensile drawing. Macromolecules 2011, 44, 20–28. [Google Scholar] [CrossRef]
- Makarewicz, C.; Safandowska, M.; Idczak, R.; Kolodziej, S.; Rozanski, A. Strain rate and temperature influence on micromechanisms of plastic deformation of polyethylenes investigated by positron annihilation lifetime spectroscopy. Polymers 2024, 16, 420. [Google Scholar] [CrossRef] [PubMed]
- Yasui, K. Acoustic Cavitation and Bubble Dynamics; Springer: Cham, Switzerland, 2018. [Google Scholar]
- Young, F.R. Cavitation; Imperial College Press: London, UK, 1999. [Google Scholar]
- Leighton, T.G. The Acoustic Bubble; Academic Press: London, UK, 1994. [Google Scholar]
- Grieser, F.; Choi, P.-K.; Enomoto, N.; Harada, H.; Okitsu, K.; Yasui, K. (Eds.) Sonochemistry and the Acoustic Bubble; Elsevier: Amsterdam, The Netherlands, 2015. [Google Scholar]
- Manickam, S.; Ashokkumar, M. (Eds.) Cavitation, a Novel Energy-Efficiency Technique for the Generation of Nanomaterials; Pan Stanford: Singapore, 2014. [Google Scholar]
- Young, F.R. Sonoluminescence; CRC Press: Boca Raton, FL, USA, 2005. [Google Scholar]
- Yasui, K. Production of O radicals from cavitation bubbles under ultrasound. Molecules 2022, 27, 4788. [Google Scholar] [CrossRef] [PubMed]
- Yasui, K. The reducing agents in sonochemical reactions without any additives. Molecules 2023, 28, 4198. [Google Scholar] [CrossRef] [PubMed]
- Yasui, K. Multibubble sonoluminescence from a theoretical perspective. Molecules 2021, 26, 4624. [Google Scholar] [CrossRef]
- Yasui, K. Numerical simulations for sonochemistry. Ultrason. Sonochem. 2021, 78, 105728. [Google Scholar] [CrossRef]
- Yasui, K. Origin of broad-band noise in acoustic cavitation. Ultrason. Sonochem. 2023, 93, 106276. [Google Scholar] [CrossRef]
- Jeanne-Brou, R.; Charvin, N.; de Moor, G.; Flandin, L.; Issa, S.; Phan, T.N.T.; Bouchet, R.; Devaux, D. Ionic conductivity of solid polymer electrolytes depending on elongation. Electrochim. Acta 2023, 469, 143253. [Google Scholar] [CrossRef]
- Zhao, D.; Feng, J.; Huo, Q.; Melosh, N.; Fredrickson, G.H.; Chmelka, B.F.; Stucky, G.D. Triblock copolymer syntheses of mesoporous silica with periodic 50 to 300 angstrom pores. Science 1998, 279, 548–552. [Google Scholar] [CrossRef]
- Strathmann, H.; Kock, K. The formation mechanism of phase inversion membranes. Desalination 1977, 21, 241–255. [Google Scholar] [CrossRef]
- Kresge, C.T.; Leonowicz, M.E.; Roth, W.J.; Vartuli, J.C.; Beck, J.S. Ordered mesoporous molecular sieves synthesized by a liquid-crystal template mechanism. Nature 1992, 359, 710–712. [Google Scholar] [CrossRef]
- Li, X.; Zhao, Y.; Cheng, L.; Yan, M.; Zheng, X.; Gao, Z.; Jiang, Z. Enhanced ionic conductivity of poly(ethylene oxide) (PEO) electrolyte by adding mesoporous molecular sieve LiAlSBA. J. Solid State Electrochem. 2005, 9, 609–615. [Google Scholar] [CrossRef]
- Chu, P.P.; Reddy, M.J.; Kao, H.M. Novel composite polymer comprising mesoporous structured SiO2 and PEO/Li. Solid State Ion. 2003, 156, 141–153. [Google Scholar] [CrossRef]
- Reddy, M.J.; Chu, P.P. 7Li NMR spectroscopy and ion conduction mechanism in mesoporous silica (SBA-15) composite poly(ethylene oxide) electrolyte. J. Power Sources 2004, 135, 1–8. [Google Scholar] [CrossRef]
- Tang, X.; Lagerlöf, K.P.D.; Heuer, A.H. Determination of pipe diffusion coefficients in undoped and magnesia-doped sapphire (α−Al2O3): A study based on annihilation of dislocation dipoles. J. Am. Ceram. Soc. 2003, 86, 560–565. [Google Scholar] [CrossRef]
- Sakaguchi, I.; Yurimoto, H.; Sueno, S. Impurities dislocation diffusion in single-crystal MgO. Mater. Sci. Eng. 1992, B13, L1–L4. [Google Scholar] [CrossRef]
- Pun, G.P.P.; Mishin, Y. A molecular dynamics study of self-diffusion in the cores of screw and edge dislocations in aluminum. Acta Mater. 2009, 57, 5531–5542. [Google Scholar] [CrossRef]
- Börgers, J.M.; Kler, J.; Ran, K.; Larenz, E.; Weirich, T.E.; Dittmann, R.; De Souza, R.A. Faster diffusion of oxygen along dislocations in (La,Sr)MnO3+δ is a space-charge phenomenon. Adv. Funct. Mater. 2021, 31, 2105647. [Google Scholar] [CrossRef]
- Garbrecht, M.; Saha, B.; Schroeder, J.L.; Hultman, L.; Sands, T.D. Dislocation-pipe diffusion in nitride superlattices observed in direct atomic resolution. Sci. Rep. 2017, 7, 46092. [Google Scholar] [CrossRef]
- Hirel, P.; Carrez, P.; Clouet, E.; Cordier, P. The electric charge and climb of edge dislocations in perovskite oxides: The case of high-pressure MgSiO3 bridgmanite. Acta Mater. 2016, 106, 313–321. [Google Scholar] [CrossRef]
- Tuller, H.L. Ionic conduction in nanocrystalline materials. Solid State Ion. 2000, 131, 143–157. [Google Scholar] [CrossRef]
- Yasui, K.; Hamamoto, K. Toward all-dislocation-ceramics for high ionic conductivity produced by dry pressing at relatively low temperatures with and without ultrasound. J. Appl. Phys. 2024, 135, 085107. [Google Scholar] [CrossRef]
- Yasui, K. Merits and demerits of machine learning of ferroelectric, flexoelectric, and electrolytic properties of ceramic materials. Materials 2024, 17, 2512. [Google Scholar] [CrossRef] [PubMed]
- Yasui, K.; Hamamoto, K. Theoretical upper limit of dislocation density in slightly-ductile single-crystal ceramics. J. Phys. Condens. Matter 2023, 35, 455701. [Google Scholar] [CrossRef] [PubMed]
- Anderson, T.L. Fracture Mechanics, 4th ed.; CRC Press: Boca Raton, FL, USA, 2017. [Google Scholar]
- Cai, W.; Nix, W.D. Imperfections in Crystalline Solids; Cambridge University Press: Cambridge, UK, 2016. [Google Scholar]
- Fang, X. Mechanical tailoring of dislocations in ceramics at room temperature: A perspective. J. Am. Ceram. Soc. 2024, 107, 1425–1447. [Google Scholar] [CrossRef]
- Armstrong, M.D.; Lan, K.-W.; Guo, Y.; Perry, N.H. Dislocation-mediated conductivity in oxides: Progress, challenges, and opportunities. ACS Nano 2021, 15, 9211–9221. [Google Scholar] [CrossRef]
- Muhammad, Q.K.; Porz, L.; Nakamura, A.; Matsunaga, K.; Rohnke, M.; Janek, J.; Rödel, J.; Frömling, T. Donor and acceptor-like self-doping by mechanically induced dislocations in bulk TiO2. Nano Energy 2021, 85, 105944. [Google Scholar] [CrossRef]
- Bouville, F.; Studart, A.R. Geologically-inspired strong bulk ceramics made with water at room temperature. Nat. Commun. 2017, 8, 14655. [Google Scholar] [CrossRef]
- Galotta, A.; Sglavo, V.M. The cold sintering process: A review on processing features, densification mechanisms and perspectives. J. Eur. Ceram. Soc. 2021, 41, 1–17. [Google Scholar] [CrossRef]
- Guo, J.; Floyd, R.; Lowum, S.; Maria, J.-P.; de Beauvoir, T.H.; Seo, J.-H.; Randall, C.A. Cold sintering progress, challenges, and future opportunities. Ann. Rev. Mater. Res. 2019, 49, 275–295. [Google Scholar] [CrossRef]
- Yasui, K.; Hamamoto, K. Numerical simulations of reactive cold sintering of BaTiO3. J. Eur. Ceram. Soc. 2024, 44, 2777–2786. [Google Scholar] [CrossRef]
- Nakagawa, K.; Iwasaki, M.; Fan, Z.; Roscow, J.I.; Randall, C.A. The unusual case of plastic deformation and high dislocation densities with the cold sintering of the piezoelectric ceramic K0.5Na0.5NbO3. J. Eur. Cream. Soc. 2023, 43, 4015–4020. [Google Scholar] [CrossRef]
- Tsuji, K.; Fan, Z.; Bang, S.H.; Dursun, S.; Trolier-McKinstry, S.; Randall, C.A. Cold sintering of the ceramic potassium sodium niobate, (K0.5Na0.5)NbO3, and influences on piezoelectric properties. J. Eur. Ceram. Soc. 2022, 42, 105–111. [Google Scholar] [CrossRef]
- Nur, K.; Zubair, M.; Gibson, J.S.K.-L.; Sandlöbes-Haut, S.; Mayer, J.; Bram, M.; Guillon, O. Mechanical properties of cold sintered ZnO investigated by nanoindentation and micro-pillar testing. J. Eur. Ceram. Soc. 2022, 42, 512–524. [Google Scholar] [CrossRef]
- Porz, L.; Klomp, A.J.; Fang, X.; Li, N.; Yildrim, C.; Detlefs, C.; Bruder, E.; Höfling, M.; Rheinheimer, W.; Patterson, E.A.; et al. Dislocation-toughened ceramics. Mater. Horiz. 2021, 8, 1528–1537. [Google Scholar] [CrossRef]
- Preuß, O.; Bruder, E.; Lu, W.; Zhuo, F.; Minnert, C.; Zhang, J.; Rödel, J.; Fang, X. Dislocation toughening in single-crystal KNbO3. J. Am. Ceram. Soc. 2023, 106, 4371–4381. [Google Scholar] [CrossRef]
- Salem, M.N.; Ding, K.; Rödel, J.; Fang, X. Thermally enhanced dislocation density improves both hardness and fracture toughness in single-crystal SrTiO3. J. Am. Ceram. Soc. 2023, 106, 1344–1355. [Google Scholar] [CrossRef]
- Huang, J.; Hill, A.; Forsyth, M.; MacFarlane, D.; Hollenkamp, A. Conduction in ionic organic crystals: The role of defects. Solid State Ion. 2006, 177, 2569–2573. [Google Scholar] [CrossRef]
- Keith, H.D.; Passaglia, E. Dislocation in polymer crystals. J. Res. Natl. Bur. Stand. A Phys. Chem. 1964, 68, 513–518. [Google Scholar] [CrossRef]
- Predecki, P.; Statton, W.O. A dislocation mechanism for deformation in polyethylene. J. Appl. Phys. 1967, 38, 4140–4144. [Google Scholar] [CrossRef]
- Séguéla, R. Dislocation approach to the plastic deformation of semicrystalline polymers: Kinetic aspects for polyethylene and polypropylene. J. Polym. Sci. B 2002, 40, 593–601. [Google Scholar] [CrossRef]
- Karothu, D.P.; Halabi, J.M.; Ahmed, E.; Ferreira, R.; Spackman, P.R.; Spackman, M.A.; Naumov, P. Global analysis of the mechanical properties of organic crystals. Angew. Chem. Int. Ed. 2022, 61, e202113988. [Google Scholar] [CrossRef] [PubMed]
- Kato, Y.; Hori, S.; Saito, T.; Suzuki, K.; Hirayama, M.; Mitsui, A.; Yonemura, M.; Iba, H.; Kanno, R. High-power all-solid-state batteries using sulfide superionic conductors. Nat. Energy 2016, 1, 16030. [Google Scholar] [CrossRef]
- Kerr, J.B. Polymeric electrolytes: An overview. In Lithium Batteries: Science and Technology; Nazri, G.-A., Pistoia, G., Eds.; Kluwer Academic: Boston, MA, USA, 2004; pp. 574–622. [Google Scholar]
- Fang, X.; He, Y.; Fan, X.; Zhang, D.; Hu, H. Modeling and simulation in capacity degradation and control of all-solid-state lithium battery based on time-aging polymer electrolyte. Polymers 2021, 13, 1206. [Google Scholar] [CrossRef] [PubMed]
- Mench, M.M.; Kumbur, E.C.; Veziroglu, T.N. Polymer Electrolyte Fuel Cell Degradation; Elsevier: Amsterdam, The Netherlands, 2012. [Google Scholar]
- Göpferich, A. Mechanisms of polymer degradation and erosion. Biomaterials 1996, 17, 103–114. [Google Scholar] [CrossRef]
- Heinrich, G.; Kipscholl, R.; Stoček, R. (Eds.) Degradation of Elastomers in Practice, Experiments and Modeling; Springer: Cham, Switzerland, 2023. [Google Scholar]
- Keil, P.; Schuster, S.F.; Wilhelm, J.; Travi, J.; Hauser, A.; Karl, R.C.; Josen, A. Calendar aging of lithium-ion batteries. J. Electrochem. Soc. 2016, 163, A1872–A1880. [Google Scholar] [CrossRef]
- Kim, W.; Noh, J.; Lee, S.; Yoon, K.; Han, S.; Yu, S.; Ko, K.-H.; Kang, K. Aging property of halide solid electrolyte at the cathode interface. Adv. Mater. 2023, 35, 2301631. [Google Scholar] [CrossRef]
- Xiang, F.; Cheng, F.; Sun, Y.; Yang, X.; Lu, W.; Amal, R.; Dai, L. Recent advances in flexible batteries: From materials to applications. Nano Res. 2023, 16, 4821–4854. [Google Scholar] [CrossRef]
- Tominaga, Y.; Yamazaki, K.; Nanthana, V. Effect of anions on lithium ion conduction in poly(ethylene carbonate)-based polymer electrolytes. J. Electrochem. Soc. 2015, 162, A3133–A3136. [Google Scholar] [CrossRef]
- Wang, X.-L.; Fan, L.-Z.; Xu, Z.-H.; Lin, Y.-H.; Nan, C.-W. Temperature dependent ionic transport properties in composite solid polymer electrolytes. Solid State Ion. 2008, 179, 1310–1313. [Google Scholar] [CrossRef]
- Zhao, J.; Wang, L.; He, X.; Wan, C.; Jiang, C. Determination of lithium-ion transference numbers in LiPF6-PC solutions based on electrochemical polarization and NMR measurements. J. Electrochem. Soc. 2008, 155, A292–A296. [Google Scholar] [CrossRef]
- Heo, Y.; Kang, Y.; Han, K.; Lee, C. Ionic conductivity and lithium ion transport characteristics of gel-type polymer electrolytes using lithium p-[methoxy oligo(ethyleneoxy)] benzenesulfonates. Electrochim. Acta 2004, 50, 345–349. [Google Scholar] [CrossRef]
- Borodin, O.; Suo, L.; Gobet, M.; Ren, X.; Wang, F.; Faraone, A.; Peng, J.; Olguin, M.; Schroeder, M.; Ding, M.S.; et al. Liquid structure with nano-heterogeneity promotes cationic transport in concentrated electrolytes. ACS Nano 2017, 11, 10462–10471. [Google Scholar] [CrossRef] [PubMed]
- Mizuhata, M.; Ito, F.; Deki, S. Transport properties of non-aqueous lithium electrolyte coexisting with porous solid materials montmorillonite-based electrolyte composite system. J. Power Sources 2005, 146, 365–370. [Google Scholar] [CrossRef]

























| Soft Matter Electrolytes | Liquid Electrolytes | Solid Electrolytes | |
|---|---|---|---|
| Materials | Li Salt in Polymer/Gel | Li Salt in Organic Solvent | Ceramics |
| Young’s modulus (Pa) (Softness) | (Bulk modulus) | ||
| Ionic Conductivity | Low~Medium | High | Medium |
| Li+ Transference Num. | Low~Medium | Low~Medium | High |
| Mechanical Flexibility | High | Low | Medium |
| Contact at Electrodes | Good | Excellent | Poor |
| Degradation (Aging) | Highly Possible | Possible (Interfaces) | Possible (Interfaces) |
| Leakage | Less Possible | Highly Possible | None |
| Burnability | Low~Medium | High | None |
Disclaimer/Publisher’s Note: The statements, opinions and data contained in all publications are solely those of the individual author(s) and contributor(s) and not of MDPI and/or the editor(s). MDPI and/or the editor(s) disclaim responsibility for any injury to people or property resulting from any ideas, methods, instructions or products referred to in the content. |
© 2024 by the authors. Licensee MDPI, Basel, Switzerland. This article is an open access article distributed under the terms and conditions of the Creative Commons Attribution (CC BY) license (https://creativecommons.org/licenses/by/4.0/).
Share and Cite
Yasui, K.; Hamamoto, K. Soft Matter Electrolytes: Mechanism of Ionic Conduction Compared to Liquid or Solid Electrolytes. Materials 2024, 17, 5134. https://doi.org/10.3390/ma17205134
Yasui K, Hamamoto K. Soft Matter Electrolytes: Mechanism of Ionic Conduction Compared to Liquid or Solid Electrolytes. Materials. 2024; 17(20):5134. https://doi.org/10.3390/ma17205134
Chicago/Turabian StyleYasui, Kyuichi, and Koichi Hamamoto. 2024. "Soft Matter Electrolytes: Mechanism of Ionic Conduction Compared to Liquid or Solid Electrolytes" Materials 17, no. 20: 5134. https://doi.org/10.3390/ma17205134
APA StyleYasui, K., & Hamamoto, K. (2024). Soft Matter Electrolytes: Mechanism of Ionic Conduction Compared to Liquid or Solid Electrolytes. Materials, 17(20), 5134. https://doi.org/10.3390/ma17205134

