Sign in to use this feature.

Years

Between: -

Subjects

remove_circle_outline
remove_circle_outline
remove_circle_outline
remove_circle_outline

Journals

Article Types

Countries / Regions

Search Results (8)

Search Parameters:
Keywords = polymeric or inorganic gel electrolytes

Order results
Result details
Results per page
Select all
Export citation of selected articles as:
27 pages, 4882 KB  
Review
Enhancing Solid-State Li-Ion Batteries with MOF–Polymer Composite Electrolytes—Effect Mechanisms and Interface Engineering
by Tao Chen, Nandarapu Purushotham Reddy and Man Li
Gels 2025, 11(12), 946; https://doi.org/10.3390/gels11120946 - 25 Nov 2025
Viewed by 1965
Abstract
Solid-state batteries (SSBs) are regarded as one of the most promising next-generation energy storage technologies due to their high energy density and improved safety. To achieve this goal, the development of solid-state electrolytes with high ionic conductivity and low interfacial resistance is essential. [...] Read more.
Solid-state batteries (SSBs) are regarded as one of the most promising next-generation energy storage technologies due to their high energy density and improved safety. To achieve this goal, the development of solid-state electrolytes with high ionic conductivity and low interfacial resistance is essential. In recent years, composite polymer electrolytes (CPEs) have garnered extensive attention due to their ability to combine the intrinsic flexibility of polymers with the enhanced ionic conductivity and mechanical robustness provided by inorganic fillers. Metal–organic frameworks (MOFs), characterized by tunable pore structures, high surface areas, and excellent thermal and mechanical stability, are considered ideal fillers for constructing MOF–polymer composite electrolytes (MPCEs). This review summarizes the performance enhancement mechanisms of MPCEs and strategies for electrode–electrolyte interface stability. First, the primary preparation methods of MPCEs are introduced. Subsequently, the roles of MOFs in regulating ionic transport, suppressing dendrite growth, improving electrochemical stability, and optimizing the solid electrolyte interphase (SEI) layer are discussed. In addition, various interface engineering strategies are highlighted, including in situ polymerization of the polymer matrix, in situ growth of MOF fillers, integration of liquid plasticizers forming gel-like ionic conductor, and design of composite electrode to enhance interfacial compatibility and stability. Finally, the significant challenges and future research directions of MPCEs are outlined. This review provides valuable insights into the rational design of MPCEs and offers guidance for the development and practical application of high-performance SSBs. Full article
(This article belongs to the Special Issue Recent Advances in Gel Polymer Electrolytes)
Show Figures

Graphical abstract

33 pages, 4731 KB  
Review
Soft Matter Electrolytes: Mechanism of Ionic Conduction Compared to Liquid or Solid Electrolytes
by Kyuichi Yasui and Koichi Hamamoto
Materials 2024, 17(20), 5134; https://doi.org/10.3390/ma17205134 - 21 Oct 2024
Cited by 6 | Viewed by 2442
Abstract
Soft matter electrolytes could solve the safety problem of widely used liquid electrolytes in Li-ion batteries which are burnable upon heating. Simultaneously, they could solve the problem of poor contact between electrodes and solid electrolytes. However, the ionic conductivity of soft matter electrolytes [...] Read more.
Soft matter electrolytes could solve the safety problem of widely used liquid electrolytes in Li-ion batteries which are burnable upon heating. Simultaneously, they could solve the problem of poor contact between electrodes and solid electrolytes. However, the ionic conductivity of soft matter electrolytes is relatively low when mechanical properties are relatively good. In the present review, mechanisms of ionic conduction in soft matter electrolytes are discussed in order to achieve higher ionic conductivity with sufficient mechanical properties where soft matter electrolytes are defined as polymer electrolytes and polymeric or inorganic gel electrolytes. They could also be defined by Young’s modulus from about 105 Pa to 109 Pa. Many soft matter electrolytes exhibit VFT (Vogel–Fulcher–Tammann) type temperature dependence of ionic conductivity. VFT behavior is explained by the free volume model or the configurational entropy model, which is discussed in detail. Mostly, the amorphous phase of polymer is a better ionic conductor compared to the crystalline phase. There are, however, some experimental and theoretical reports that the crystalline phase is a better ionic conductor. Some methods to increase the ionic conductivity of polymer electrolytes are discussed, such as cavitation under tensile deformation and the microporous structure of polymer electrolytes, which could be explained by the conduction mechanism of soft matter electrolytes. Full article
(This article belongs to the Special Issue Advances in Functional Soft Materials—2nd Volume)
Show Figures

Figure 1

13 pages, 2830 KB  
Article
Modeling of Electrochemical Impedance of Fuel Cell Based on Novel Nanocomposite Membrane
by Mariia Zhyhailo, Iryna Yevchuk, Fedir Ivashchyshyn, Oksana Demchyna, Piotr Chabecki, Natalia Babkina and Tetiana Shantaliy
Energies 2024, 17(11), 2754; https://doi.org/10.3390/en17112754 - 4 Jun 2024
Viewed by 1677
Abstract
The new hybrid composite materials for PEM fuel cell were synthesized by the UV polymerization of acrylic monomers (acrylonitrile, acrylic acid, ethylene glycol dimethacrylate) and a sulfo aromatic monomer, i.e., sodium styrene sulfonate, and the tetraethoxysilane/3-methacryloxypropyltrimethoxysilane-based sol–gel system. By means of X-ray spectroscopy, [...] Read more.
The new hybrid composite materials for PEM fuel cell were synthesized by the UV polymerization of acrylic monomers (acrylonitrile, acrylic acid, ethylene glycol dimethacrylate) and a sulfo aromatic monomer, i.e., sodium styrene sulfonate, and the tetraethoxysilane/3-methacryloxypropyltrimethoxysilane-based sol–gel system. By means of X-ray spectroscopy, the fractal structure of the obtained materials was characterized. Proton conductivity and viscoelasticity of the obtained materials were determined depending on the content of the inorganic component in nanocomposites. Based on impedance studies, an equivalent scheme is proposed that successfully describes the proton conductivity in the synthesized composite’s electrolyte membranes. Full article
(This article belongs to the Section A5: Hydrogen Energy)
Show Figures

Figure 1

8 pages, 2644 KB  
Article
Polyzwitterion–SiO2 Double-Network Polymer Electrolyte with High Strength and High Ionic Conductivity
by Lei Zhang, Haiqi Gao, Lixiang Guan, Yuchao Li and Qian Wang
Polymers 2023, 15(2), 466; https://doi.org/10.3390/polym15020466 - 16 Jan 2023
Cited by 5 | Viewed by 2947
Abstract
The key to developing high-performance polymer electrolytes (PEs) is to achieve their high strength and high ionic conductivity, but this is still challenging. Herein, we designed a new double-network PE based on the nonhydrolytic sol–gel reaction of tetraethyl orthosilicate and in situ polymerization [...] Read more.
The key to developing high-performance polymer electrolytes (PEs) is to achieve their high strength and high ionic conductivity, but this is still challenging. Herein, we designed a new double-network PE based on the nonhydrolytic sol–gel reaction of tetraethyl orthosilicate and in situ polymerization of zwitterions. The as-prepared PE possesses high strength (0.75 Mpa) and high stretchability (560%) due to the efficient dissipation energy of the inorganic network and elastic characteristics of the polymer network. In addition, the highest ionic conductivity of the PE reaches 0.44 mS cm−1 at 30 °C owning to the construction of dynamic ion channels between the polyzwitterion segments and between the polyzwitterion segments and ionic liquids. Furthermore, the inorganic network can act as Lewis acid to adsorb trace impurities, resulting in a prepared electrolyte with a high electrochemical window over 5 V. The excellent interface compatibility of the as-prepared PE with a Li metal electrode is also confirmed. Our work provides new insights into the design and preparation of high-performance polymer-based electrolytes for solid-state energy storage devices. Full article
(This article belongs to the Special Issue Organic-Inorganic Hybrid Materials III)
Show Figures

Figure 1

15 pages, 3778 KB  
Article
High Performance and Self-Humidifying of Novel Cross-Linked and Nanocomposite Proton Exchange Membranes Based on Sulfonated Polysulfone
by Xinyu Li, Zhongxin Zhang, Zheng Xie, Xinrui Guo, Tianjian Yang, Zhongli Li, Mei Tu and Huaxin Rao
Nanomaterials 2022, 12(5), 841; https://doi.org/10.3390/nano12050841 - 2 Mar 2022
Cited by 11 | Viewed by 3436
Abstract
The introduction of inorganic additive or nanoparticles into fluorine-free proton exchange membranes (PEMs) can improve proton conductivity and have considerable effects on the performance of polymer electrolyte membrane fuel cells. Based on the sol–gel method and in situ polycondensation, novel cross-linked PEM and [...] Read more.
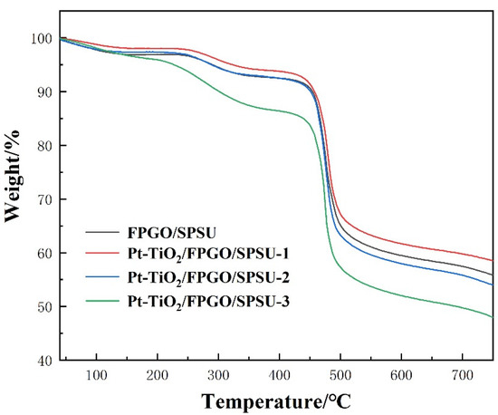
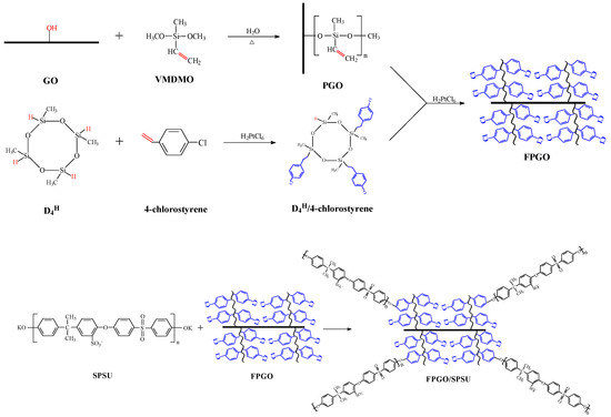
The introduction of inorganic additive or nanoparticles into fluorine-free proton exchange membranes (PEMs) can improve proton conductivity and have considerable effects on the performance of polymer electrolyte membrane fuel cells. Based on the sol–gel method and in situ polycondensation, novel cross-linked PEM and nanocomposite PEMs based on a sulfonated polysulfone (SPSU) matrix were prepared by introducing graphene oxide (GO) polymeric brushes and incorporating Pt-TiO2 nanoparticles into an SPSU matrix, respectively. The results showed that the incorporation of Pt-TiO2 nanoparticles could obviously enhance self-humidifying and thermal stability. In addition, GO polymer brushes fixed on polymeric PEM by forming a cross-linked network structure could not only solve the leakage of inorganic additives during use and compatibility problem with organic polymers, but also significantly improve proton conductivity and reduce methanol permeability of the nanocomposite PEM. Proton conductivity, water uptake and methanol permeability of the nanocomposite PEM can be up to 6.93 mS cm−1, 46.58% and be as low as 1.4157 × 10−6 cm2 s−1, respectively, which represent increases of about 70%, about 22% and a decrease of about 40%, respectively, compared with that of primary SPSU. Therefore, the synergic action of the covalent cross-linking, GO polymer brush and nanoparticles can significantly and simultaneously improve the overall performance of the composite PEM. Full article
Show Figures

Figure 1

52 pages, 9018 KB  
Review
Challenges for Safe Electrolytes Applied in Lithium-Ion Cells—A Review
by Marita Pigłowska, Beata Kurc, Maciej Galiński, Paweł Fuć, Michalina Kamińska, Natalia Szymlet and Paweł Daszkiewicz
Materials 2021, 14(22), 6783; https://doi.org/10.3390/ma14226783 - 10 Nov 2021
Cited by 61 | Viewed by 7434
Abstract
The aspect of safety in electronic devices has turned out to be a huge challenge for the world of science. Thus far, satisfactory power and energy densities, efficiency, and cell capacities have been achieved. Unfortunately, the explosiveness and thermal runaway of the cells [...] Read more.
The aspect of safety in electronic devices has turned out to be a huge challenge for the world of science. Thus far, satisfactory power and energy densities, efficiency, and cell capacities have been achieved. Unfortunately, the explosiveness and thermal runaway of the cells prevents them from being used in demanding applications such as electric cars at higher temperatures. The main aim of this review is to highlight different electrolytes used in lithium-ion cells as well as the flammability aspect. In the paper, the authors present liquid inorganic electrolytes, composite polymer–ceramic electrolytes, ionic liquids (IL), polymeric ionic liquids, polymer electrolytes (solvent-free polymer electrolytes (SPEs), gel polymer electrolytes (GPEs), and composite polymer electrolytes (CPEs)), and different flame retardants used to prevent the thermal runaway and combustion of lithium-ion batteries (LIBs). Additionally, various flame tests used for electrolytes in LIBs have been adopted. Aside from a detailed description of the electrolytes consumed in LIBs. Last section in this work discusses hydrogen as a source of fuel cell operation and its practical application as a global trend that supports green chemistry. Full article
(This article belongs to the Special Issue Advanced Solid Electrolytes for Solid-State Batteries)
Show Figures

Figure 1

8 pages, 2773 KB  
Proceeding Paper
The Influence of Adding a Functionalized Fluoroalkyl Silanes (PFDTES) into a Novel Silica-Based Hybrid Coating on Corrosion Protection Performance on an Aluminium 2024-t3 Alloy
by Magdi H. Mussa, Yaqub Rahaq, Sarra Takita, Farah D. Zahoor, Nicholas Farmilo and Oliver Lewis
Mater. Proc. 2021, 7(1), 6; https://doi.org/10.3390/IOCPS2021-11240 - 30 Oct 2021
Cited by 3 | Viewed by 2532
Abstract
Silica-based coatings prepared using sol-gel polymerizing technology have been shown to exhibit excellent chemical stability combined with reducing the corrosion of metal substrates, showing promising use in aerospace and marine applications to protect light alloys. Moreover, this technology is an eco-friendly technique route [...] Read more.
Silica-based coatings prepared using sol-gel polymerizing technology have been shown to exhibit excellent chemical stability combined with reducing the corrosion of metal substrates, showing promising use in aerospace and marine applications to protect light alloys. Moreover, this technology is an eco-friendly technique route for producing surface coatings, showing high potential for replacing toxic pre-treatment coatings of traditional conversation chromate coatings. This study aims to investigate the enhancement in corrosion protection of a hybrid-organic-inorganic silica-based coating cured at 80 °C by increasing the hydrophobicity to work on the aluminium 2024-T3 alloy. This approach involving a novel silica-based hybrid coating was prepared by introducing 1H,1H,2H,2H-perfluorodecyltriethoxysilane (PFDTES) into the base hybrid formula created from tetraethylorthosilicatesilane (TEOS) and triethoxymethylsilane (MTMS) precursors; this formula was enhanced by introducing a Polydimethylsiloxane polymer (PDMS). The corrosion protection properties of these coatings were examined by being immersed in 3.5% NaCl with electrochemical impedance testing (EIS) and Potentiodynamic polarization scanning (PDPS). The chemical elements confirmation was performed using infrared spectroscopy (ATR-FTIR); all this was supported by analysing the surface morphology before and after the immersion by using scanning electron microscopy (SEM). The results of the electrochemical impedance testing analyses reveal the new open finite-length diffusion circuit element due to electrolyte media diffusion prevented by fluorinated groups. Additionally, it shows increases in corrosion protection arising from the increasing hydrophobicity of the fluorinated coating compared to other formulas cured under similar conditions and bare substrate. Additionally, the modified sol-gel exhibited improved resistance to cracking, while the increased hydrophobicity may also promote self-cleaning. Full article
Show Figures

Figure 1

15 pages, 2251 KB  
Article
Blend Hybrid Solid Electrolytes Based on LiTFSI Doped Silica-Polyethylene Oxide for Lithium-Ion Batteries
by Jadra Mosa, Jonh Fredy Vélez and Mario Aparicio
Membranes 2019, 9(9), 109; https://doi.org/10.3390/membranes9090109 - 27 Aug 2019
Cited by 16 | Viewed by 5263
Abstract
Organic/inorganic hybrid membranes that are based on GTT (GPTMS-TMES-TPTE) system while using 3-Glycidoxypropyl-trimethoxysilane (GPTMS), Trimethyletoxisilane (TMES), and Trimethylolpropane triglycidyl ether (TPTE) as precursors have been obtained while using a combination of organic polymerization and sol-gel synthesis to be used as electrolytes in Li-ion [...] Read more.
Organic/inorganic hybrid membranes that are based on GTT (GPTMS-TMES-TPTE) system while using 3-Glycidoxypropyl-trimethoxysilane (GPTMS), Trimethyletoxisilane (TMES), and Trimethylolpropane triglycidyl ether (TPTE) as precursors have been obtained while using a combination of organic polymerization and sol-gel synthesis to be used as electrolytes in Li-ion batteries. Self-supported materials and thin-films solid hybrid electrolytes that were doped with Lithium bis(trifluoromethanesulfonyl)imide (LiTFSI) were prepared. The hybrid network is based on highly cross-linked structures with high ionic conductivity. The dependency of the crosslinked hybrid structure and polymerization grade on ionic conductivity is studied. Ionic conductivity depends on triepoxy precursor (TPTE) and the accessibility of Li ions in the organic network, reaching a maximum ionic conductivity of 1.3 × 10−4 and 1.4 × 10−3 S cm−1 at room temperature and 60 °C, respectively. A wide electrochemical stability window in the range of 1.5–5 V facilitates its use as solid electrolytes in next-generation of Li-ion batteries. Full article
(This article belongs to the Special Issue Membranes for Electrolysis, Fuel Cells and Batteries)
Show Figures

Graphical abstract

Back to TopTop