Electronic Properties of Group-III Nitride Semiconductors and Device Structures Probed by THz Optical Hall Effect
Abstract
1. Introduction
2. Materials and Methods
3. Results
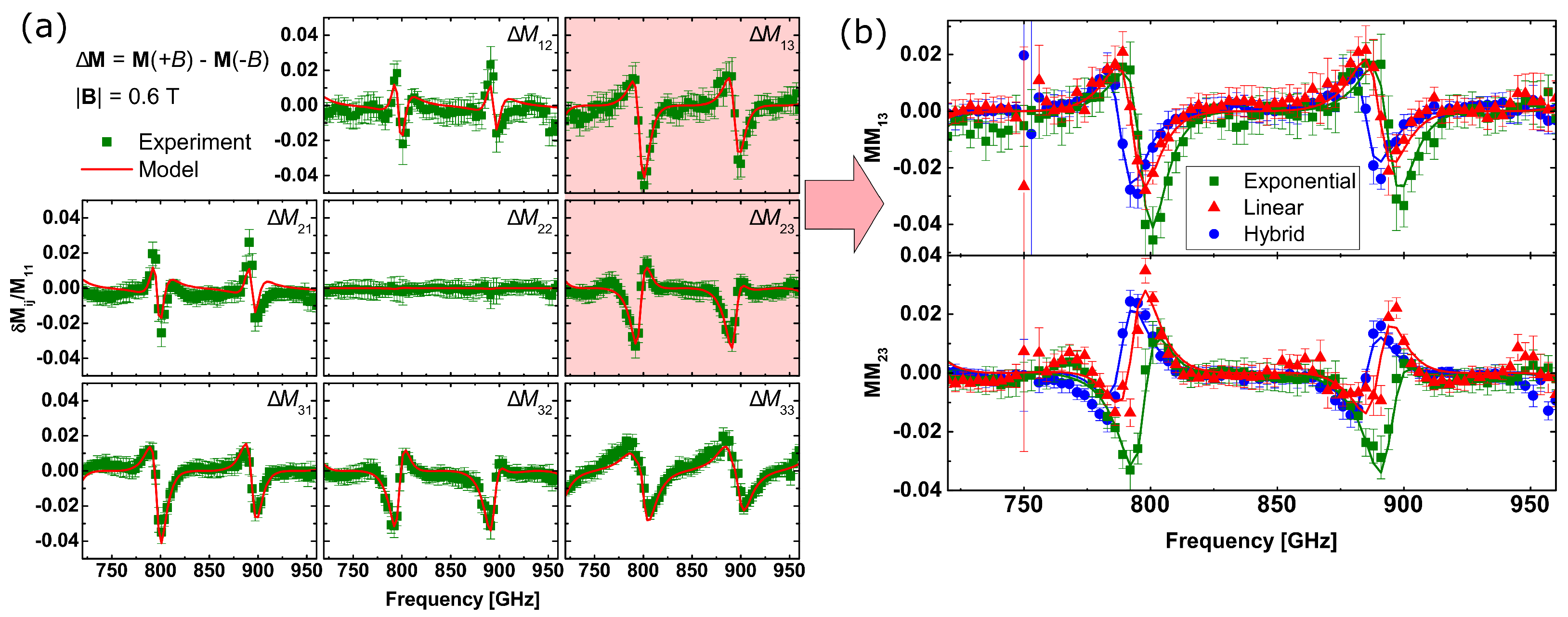
3.1. Graded AlGaN Channel HEMTs
3.2. Anisotropic Mobility in N-Polar GaN/AlGaN HEMT
3.3. Temperature Dependence of Electronic Properties
3.4. Conclusions
Author Contributions
Funding
Institutional Review Board Statement
Informed Consent Statement
Data Availability Statement
Acknowledgments
Conflicts of Interest
Abbreviations
| THz | Terahertz |
| GHz | Gigahertz |
| OHE | Optical Hall Effect |
| HEMT | High-electron-mobility transistor |
| 2D | Two-dimensional |
| 3D | Three-dimensional |
| 2DEG | Two-dimensional electron gas |
| 3DEG | Three-dimensional electron gas |
| RT | Room temperature |
| GaN | Gallium nitride |
| AlN | Aluminum nitride |
| AlGaN | Aluminum gallium nitride |
| AlINN | Aluminum indium nitride |
| SiC | Silicon carbide |
| Vis | Visible |
| UV | Ultraviolet |
| MOCVD | Metal-organic chemical vapor deposition |
| XRD | X-ray diffraction |
References
- Pimputkar, S.; Speck, J.; DenBaars, S.; Nakamura, S. Prospects for LED lighting. Nat. Photon. 2009, 3, 180. [Google Scholar] [CrossRef]
- DenBaars, S.P.; Feezell, D.; Kelchner, K.; Pimputkar, S.; Pan, C.C.; Yen, C.C.; Tanaka, S.; Zhao, Y.; Pfaff, N.; Farrell, R.; et al. Development of gallium-nitride-based light-emitting diodes (LEDs) and laser diodes for energy-efficient lighting and displays. Acta Mater. 2013, 61, 945–951. [Google Scholar] [CrossRef]
- Mishra, U.K.; Shen, L.; Kazior, T.E.; Wu, Y.F. GaN-Based RF Power Devices and Amplifiers. Proc. IEEE 2008, 96, 287–305. [Google Scholar] [CrossRef]
- Lu, H.; Zhang, M.; Yang, L.; Hou, B.; Martinez, R.P.; Mi, M.; Du, J.; Deng, L.; Wu, M.; Chowdhury, S.; et al. A review of GaN RF devices and power amplifiers for 5G communication applications. Fundam. Res. 2023. [Google Scholar] [CrossRef]
- Amano, H.; Baines, Y.; Beam, E.; Borga, M.; Bouchet, T.; Chalker, P.R.; Charles, M.; Chen, K.J.; Chowdhury, N.; Chu, R.; et al. The 2018 GaN power electronics roadmap. J. Phys. D Appl. Phys. 2018, 51, 163001. [Google Scholar] [CrossRef]
- Tsao, J.Y.; Chowdhury, S.; Hollis, M.A.; Jena, D.; Johnson, N.M.; Jones, K.A.; Kaplar, R.J.; Rajan, S.; Van de Walle, C.G.; Bellotti, E.; et al. Ultrawide-bandgap semiconductors: Research opportunities and challenges. Adv. Electron. Mater. 2018, 4, 1600501. [Google Scholar] [CrossRef]
- Amano, H.; Collazo, R.; Santi, C.D.; Einfeldt, S.; Funato, M.; Glaab, J.; Hagedorn, S.; Hirano, A.; Hirayama, H.; Ishii, R.; et al. The 2020 UV emitter roadmap. J. Phys. D Appl. Phys. 2020, 53, 503001. [Google Scholar] [CrossRef]
- Mishra, U.; Parikh, P.; Wu, Y.F. AlGaN/GaN HEMTs-an overview of device operation and applications. Proc. IEEE 2002, 90, 1022–1031. [Google Scholar] [CrossRef]
- Huang, Y.S.; Pollak, F.H. Non-destructive, room temperature characterization of wafer-sized III–V semiconductor device structures using contactless electromodulation and wavelength-modulated surface photovoltage spectroscopy. Phys. Status Solidi A 2005, 202, 1193. [Google Scholar] [CrossRef]
- Kudrawiec, R.; Syperek, M.; Motyka, M.; Misiewicz, J.; Paszkiewicz, R.; Paszkiewicz, B.; Tlaczala, M. Contactless electromodulation spectroscopy of AlGaN/GaN heterostructures with a two-dimensional electron gas: A comparison of photoreflectance and contactless electroreflectance. J. Appl. Phys. 2006, 100, 013501. [Google Scholar] [CrossRef]
- Schubert, M.; Kühne, P.; Darakchieva, V.; Hofmann, T. Optical Hall effect—Model description: Tutorial. J. Opt. Soc. Am. A 2016, 33, 1553. [Google Scholar] [CrossRef]
- Turkulets, Y.; Shalish, I. Contactless Method to Measure 2DEG Charge Density and Band Structure in HEMT Structures. IEEE J. Electron Devices Soc. 2018, 6, 703. [Google Scholar] [CrossRef]
- Knight, S.; Schöche, S.; Kühne, P.; Hofmann, T.; Darakchieva, V.; Schubert, M. Tunable cavity-enhanced terahertz frequency-domain optical Hall effect. Rev. Sci. Instruments 2020, 91, 083903. [Google Scholar] [CrossRef] [PubMed]
- Hofmann, T.; Herzinger, C.; Tedesco, J.; Gaskill, D.; Woollam, J.; Schubert, M. Terahertz ellipsometry and terahertz optical-Hall effect. Thin Solid Film. 2011, 519, 2593–2600. [Google Scholar] [CrossRef]
- Kühne, P.; Hofmann, T.; Herzinger, C.; Schubert, M. Terahertz optical-Hall effect for multiple valley band materials: N-type silicon. Thin Solid Film. 2011, 519, 2613–2616. [Google Scholar] [CrossRef]
- Armakavicius, N.; Bouhafs, C.; Stanishev, V.; Kühne, P.; Yakimova, R.; Knight, S.; Hofmann, T.; Schubert, M.; Darakchieva, V. Cavity-enhanced optical Hall effect in epitaxial graphene detected at terahertz frequencies. Appl. Surf. Sci. 2017, 421, 357–360. [Google Scholar] [CrossRef]
- Armakavicius, N.; Kühne, P.; Eriksson, J.; Bouhafs, C.; Stanishev, V.; Ivanov, I.G.; Yakimova, R.; Zakharov, A.A.; Al-Temimy, A.; Coletti, C.; et al. Resolving mobility anisotropy in quasi-free-standing epitaxial graphene by terahertz optical Hall effect. Carbon 2021, 172, 248–259. [Google Scholar] [CrossRef]
- Armakavicius, N.; Chen, J.T.; Hofmann, T.; Knight, S.; Kühne, P.; Nilsson, D.; Forsberg, U.; Janzén, E.; Darakchieva, V. Properties of two-dimensional electron gas in AlGaN/GaN HEMT structures determined by cavity-enhanced THz optical Hall effect. Phys. Status Solidi C 2016, 13, 369–373. [Google Scholar] [CrossRef]
- Mazaheri, Z.; Koral, C.; Andreone, A. Accurate THz ellipsometry using calibration in time domain. Sci. Rep. 2022, 12, 7342. [Google Scholar] [CrossRef] [PubMed]
- Mazaheri, Z.; Koral, C.; Andreone, A.; Marino, A. Terahertz time-domain ellipsometry: Tutorial. J. Opt. Soc. Am. A 2022, 39, 1420–1433. [Google Scholar] [CrossRef]
- Miyagawa, K.; Nagai, M.; Ashida, M.; Kim, C.; Akiyama, H. Enhanced magneto-optical Kerr effect of GaAs-based pn junctions in the terahertz range. J. Infrared Millimeter Terahertz Waves 2021, 42, 325–337. [Google Scholar] [CrossRef]
- Hu, J.; Liu, J.; Wang, K. Cross-polarization coupling terahertz time-domain spectroscopy in a semiconductor based on the Hall effect. Sci. Rep. 2017, 7, 11464. [Google Scholar] [CrossRef]
- Ino, Y.; Shimano, R.; Svirko, Y.; Kuwata-Gonokami, M. Terahertz time domain magneto-optical ellipsometry in reflection geometry. Phys. Rev. B 2004, 70, 155101. [Google Scholar] [CrossRef]
- Hofmann, T.; Darakchieva, V.; Monemar, B.; Lu, H.; Schaff, W.J.; Schubert, M. Optical Hall Effect in Hexagonal InN. J. Electron. Mater. 2008, 37, 611–615. [Google Scholar] [CrossRef][Green Version]
- Schöche, S.; Hofmann, T.; Nilsson, D.; Kakanakova-Georgieva, A.; Janzén, E.; Kühne, P.; Lorenz, K.; Schubert, M.; Darakchieva, V. Infrared dielectric functions, phonon modes, and free-charge carrier properties of high-Al-content AlxGa1-xN alloys determined by mid infrared spectroscopic ellipsometry and optical Hall effect. J. Appl. Phys. 2017, 121, 205701. [Google Scholar] [CrossRef]
- Armakavicius, N.; Stanishev, V.; Knight, S.; Kühne, P.; Schubert, M.; Darakchieva, V. Electron effective mass in In0.33Ga0.67N determined by mid-infrared optical Hall effect. Appl. Phys. Lett. 2018, 112, 082103. [Google Scholar] [CrossRef]
- Knight, S.; Mock, A.; Korlacki, R.; Darakchieva, V.; Monemar, B.; Kumagai, Y.; Goto, K.; Higashiwaki, M.; Schubert, M. Electron effective mass in Sn-doped monoclinic single crystal /beta-gallium oxide determined by mid-infrared optical Hall effect. Appl. Phys. Lett. 2018, 112, 012103. [Google Scholar] [CrossRef]
- Hofmann, T.; Kühne, P.; Schöche, S.; Chen, J.T.; Forsberg, U.; Janzén, E.; Ben Sedrine, N.; Herzinger, C.M.; Woollam, J.A.; Schubert, M.; et al. Temperature dependent effective mass in AlGaN/GaN high electron mobility transistor structures. Appl. Phys. Lett. 2012, 101, 192102. [Google Scholar] [CrossRef]
- Knight, S.; Hofmann, T.; Bouhafs, C.; Armakavicius, N.; Kühne, P.; Stanishev, V.; Ivanov, I.G.; Yakimova, R.; Wimer, S.; Schubert, M.; et al. In-situ terahertz optical Hall effect measurements of ambient effects on free charge carrier properties of epitaxial graphene. Sci. Rep 2017, 7, 5151. [Google Scholar] [CrossRef] [PubMed]
- Kühne, P.; Armakavicius, N.; Papamichail, A.; Tran, D.Q.; Stanishev, V.; Schubert, M.; Paskov, P.P.; Darakchieva, V. Enhancement of 2DEG effective mass in AlN/Al0.78Ga0.22N high electron mobility transistor structure determined by THz optical Hall effect. Appl. Phys. Lett. 2022, 120, 253102. [Google Scholar] [CrossRef]
- Armakavicius, N.; Knight, S.; Kühne, P.; Stanishev, V.; Tran, D.Q.; Richter, S.; Papamichail, A.; Stokey, M.; Sorensen, P.; Kilic, U.; et al. Electron effective mass in GaN revisited: New insights from terahertz and mid-infrared optical Hall effect. APL Mater. 2024, 12, 021114. [Google Scholar] [CrossRef]
- Fujiwara, H. Principles of Spectroscopic Ellipsometry. In Spectroscopic Ellipsometry; John Wiley & Sons, Ltd.: Hoboken, NJ, USA, 2015; pp. 81–146. [Google Scholar] [CrossRef]
- Hilfiker, J.N.; Hong, N.; Schoeche, S. Mueller matrix spectroscopic ellipsometry. Adv. Opt. Technol. 2022, 11, 59–91. [Google Scholar] [CrossRef]
- Schubert, M. Polarization-dependent optical parameters of arbitrarily anisotropic homogeneous layered systems. Phys. Rev. B 1996, 53, 4265–4274. [Google Scholar] [CrossRef]
- Schubert, M. Infrared Ellipsometry on Semiconductor Layer Structures: Phonons, Plasmons, and Polaritons; Springer Science & Business Media: Berlin/Heidelberg, Germany, 2004; Volume 209. [Google Scholar]
- Kühne, P.; Armakavicius, N.; Stanishev, V.; Herzinger, C.M.; Schubert, M.; Darakchieva, V. Advanced Terahertz Frequency-Domain Ellipsometry Instrumentation for In Situ and Ex Situ Applications. IEEE Trans. Terahertz Sci. Technol. 2018, 8, 257–270. [Google Scholar] [CrossRef]
- Knight, S.; Schöche, S.; Darakchieva, V.; Kühne, P.; Carlin, J.F.; Grandjean, N.; Herzinger, C.M.; Schubert, M.; Hofmann, T. Cavity-enhanced optical Hall effect in two-dimensional free charge carrier gases detected at terahertz frequencies. Opt. Lett. 2015, 40, 2688–2691. [Google Scholar] [CrossRef] [PubMed]
- Chen, J.T.; Forsberg, U.; Janzén, E. Impact of residual carbon on two-dimensional electron gas properties in AlxGa1-xN/GaN heterostructure. Appl. Phys. Lett. 2013, 102, 193506. [Google Scholar] [CrossRef]
- Papamichail, A.; Kakanakova-Georgieva, A.; Sveinbjörnsson, E.O.; Persson, A.R.; Hult, B.; Rorsman, N.; Stanishev, V.; Le, S.P.; Persson, P.O.Å.; Nawaz, M.; et al. Mg-doping and free-hole properties of hot-wall MOCVD GaN. J. Appl. Phys. 2022, 131, 185704. [Google Scholar] [CrossRef]
- Papamichail, A.; Persson, A.; Richter, S.; Kühne, P.; Stanishev, V.; Persson, P.Å.; Ferrand-Drake Del Castillo, R.; Thorsell, M.; Hjelmgren, H.; Paskov, P.; et al. Tuning composition in graded AlGaN channel HEMTs toward improved linearity for low-noise radio-frequency amplifiers. Appl. Phys. Lett. 2023, 122, 153501. [Google Scholar] [CrossRef]
- Persson, A.R.; Papamichail, A.; Darakchieva, V.; Persson, P.O.Å. Mg segregation at inclined facets of pyramidal inversion domains in GaN:Mg. Sci. Rep. 2022, 12, 17987. [Google Scholar] [CrossRef] [PubMed]
- Jena, D.; Heikman, S.; Green, D.; Buttari, D.; Coffie, R.; Xing, H.; Keller, S.; DenBaars, S.; Speck, J.S.; Mishra, U.K.; et al. Realization of wide electron slabs by polarization bulk doping in graded III–V nitride semiconductor alloys. Appl. Phys. Lett. 2002, 81, 4395–4397. [Google Scholar] [CrossRef]
- Bajaj, S.; Yang, Z.; Akyol, F.; Park, P.S.; Zhang, Y.; Price, A.L.; Krishnamoorthy, S.; Meyer, D.J.; Rajan, S. Graded AlGaN Channel Transistors for Improved Current and Power Gain Linearity. IEEE Trans. Electron Devices 2017, 64, 3114–3119. [Google Scholar] [CrossRef]
- Ancona, M.G.; Calame, J.P.; Meyer, D.J.; Rajan, S.; Downey, B.P. Compositionally Graded III-N HEMTs for Improved Linearity: A Simulation Study. IEEE Trans. Electron Devices 2019, 66, 2151–2157. [Google Scholar] [CrossRef]
- Sohel, S.H.; Xie, A.; Beam, E.; Xue, H.; Razzak, T.; Bajaj, S.; Campbell, S.; White, D.; Wills, K.; Cao, Y.; et al. Improved DC-RF dispersion with epitaxial passivation for high linearity graded AlGaN channel field effect transistors. Appl. Phys. Express 2020, 13, 036502. [Google Scholar] [CrossRef]
- Knight, S.; Richter, S.; Papamichail, A.; Kühne, P.; Armakavicius, N.; Guo, S.; Persson, A.R.; Stanishev, V.; Rindert, V.; Persson, P.O.Å.; et al. Room temperature two-dimensional electron gas scattering time, effective mass, and mobility parameters in AlxGa1-xN/GaN heterostructures (0.07 < x < 0.42). J. Appl. Phys. 2023, 134, 185701. [Google Scholar] [CrossRef]
- Wong, M.H.; Keller, S.; Nidhi, S.D.; Denninghoff, D.J.; Kolluri, S.; Brown, D.F.; Lu, J.; Fichtenbaum, N.A.; Ahmadi, E.; Singisetti, U.; et al. N-polar GaN epitaxy and high electron mobility transistors. Semicond. Sci. Technol. 2013, 28, 074009. [Google Scholar] [CrossRef]
- Zhang, H.; Chen, T.; Papamichail, A.; Persson, I.; Paskov, P.P.; Darakchieva, V. High-quality N-polar GaN optimization by multi-step temperature growth process. J. Cryst. Growth 2023, 603, 127002. [Google Scholar] [CrossRef]
- Zhang, H.; Persson, I.; Chen, J.T.; Papamichail, A.; Tran, D.Q.; Persson, P.O.A.; Paskov, P.P.; Darakchieva, V. Polarity Control by Inversion Domain Suppression in N-Polar III-Nitride Heterostructures. Cryst. Growth Des. 2023, 23, 1049. [Google Scholar] [CrossRef]
- Schöche, S.; Kühne, P.; Hofmann, T.; Schubert, M.; Nilsson, D.; Kakanakova-Georgieva, A.; Janzén, E.; Darakchieva, V. Electron effective mass in Al0.72Ga0.28N alloys determined by mid-infrared optical Hall effect. Appl. Phys. Lett. 2013, 103, 212107. [Google Scholar] [CrossRef]
- Ambacher, O.; Smart, J.; Shealy, J.R.; Weimann, N.G.; Chu, K.; Murphy, M.; Schaff, W.J.; Eastman, L.F.; Dimitrov, R.; Wittmer, L.; et al. Two-dimensional electron gases induced by spontaneous and piezoelectric polarization charges in N- and Ga-face AlGaN/GaN heterostructures. J. Appl. Phys. 1999, 85, 3222. [Google Scholar] [CrossRef]
- Yoo, S.H.; Todorova, M.; Neugebauer, J.; Van de Walle, C.G. Microscopic Origin of Polarization Charges at GaN/(Al, Ga)N Interfaces. Phys. Rev. Appl. 2023, 19, 064037. [Google Scholar] [CrossRef]
- Arakawa, Y.; Ueno, K.; Imabeppu, H.; Kobayashi, A.; Ohta, J.; Fujioka, H. Electrical properties of Si-doped GaN prepared using pulsed sputtering. Appl. Phys. Lett. 2017, 110, 042103. [Google Scholar] [CrossRef]
- Ueno, K.; Fudetani, T.; Arakawa, Y.; Kobayashi, A.; Ohta, J.; Fujioka, H. Electron transport properties of degenerate n-type GaN prepared by pulsed sputtering. APL Mater. 2017, 5, 126102. [Google Scholar] [CrossRef]
- Lisesivdin, S.B.; Yildiz, A.; Balkan, N.; Kasap, M.; Ozcelik, S.; Ozbay, E. Scattering analysis of two-dimensional electrons in AlGaN/GaN with bulk related parameters extracted by simple parallel conduction extraction method. J. Appl. Phys. 2010, 108, 013712. [Google Scholar] [CrossRef]
- Teke, A.; Gokden, S.; Tulek, R.; Leach, J.H.; Fan, Q.; Xie, J.; Ozgur, U.; Morkoc, H.; Lisesivdin, S.B.; Ozbay, E. The effect of AlN interlayer thicknesses on scattering processes in lattice-matched AlInN/GaN two-dimensional electron gas heterostructures. New J. Phys. 2009, 11, 063031. [Google Scholar] [CrossRef]
- Perlin, P.; Litwin-Staszewska, E.; Suchanek, B.; Knap, W.; Camassel, J.; Suski, T.; Piotrzkowski, R.; Grzegory, I.; Porowski, S.; Kaminska, E.; et al. Determination of the effective mass of GaN from infrared reflectivity and Hall effect. Appl. Phys. Lett. 1996, 68, 1114. [Google Scholar] [CrossRef]
- Kasic, A.; Schubert, M.; Einfeldt, S.; Hommel, D.; Tiwald, T.E. Free-carrier and phonon properties of n- and p-type hexagonal GaN films measured by infrared ellipsometry. Phys. Rev. B 2000, 62, 7365–7377. [Google Scholar] [CrossRef]
- Hofmann, T.; Chavdarov, T.; Darakchieva, V.; Lu, H.; Schaff, W.J.; Schubert, M. Anisotropy of the Gamma-point effective mass and mobility in hexagonal InN. Phys. Status Solidi C 2006, 3, 1854–1857. [Google Scholar] [CrossRef]
- Schubert, M.; Woollam, J.; Kasic, A.; Rheinländer, B.; Off, J.; Kuhn, B.; Scholz, F. Free-Carrier Response and Lattice Modes of Group III-Nitride Heterostructures Measured by Infrared Ellipsometry. Phys. Status Solidi (b) 1999, 216, 655–658. [Google Scholar] [CrossRef]
- Kasic, A.; Schubert, M.; Rheinländer, B.; Riede, V.; Einfeldt, S.; Hommel, D.; Kuhn, B.; Off, J.; Scholz, F. Effective carrier mass and mobility versus carrier concentration in p-and n-type α-GaN determined by infrared ellipsometry and Hall resistivity measurements. Mater. Sci. Eng. B 2001, 82, 74–76. [Google Scholar] [CrossRef]
- Kasic, A.; Schubert, M.; Saito, Y.; Nanishi, Y.; Wagner, G. Effective electron mass and phonon modes in n-type hexagonal InN. Phys. Rev. B 2002, 65, 115206. [Google Scholar] [CrossRef]
- Schubert, M.; Kasic, A.; Tiwald, T.; Off, J.; Kuhn, B.; Scholz, F. Optical phonons and free-carrier effects in MOVPE grown AlxGa1- xN measured by Infrared Ellipsometry. Mater. Res. Soc. Internet J. Nitride Semicond. Res. 1999, 4, e11. [Google Scholar] [CrossRef][Green Version]
- Kasic, A.; Schubert, M.; Off, J.; Kuhn, B.; Scholz, F.; Einfeldt, S.; Böttcher, T.; Hommel, D.; As, D.J.; Köhler, U.; et al. Phonons and free-carrier properties of binary, ternary, and quaternary group-III nitride layers measured by Infrared Spectroscopic Ellipsometry. Phys. Status Solidi (c) 2003, 6, 1750–1769. [Google Scholar] [CrossRef]







| Channel Grading | Sheet Density, | Mobility, | Effective Mass, |
|---|---|---|---|
| Exponential | |||
| Hybrid | |||
| Linear |
| Structure | Substrate | Temp., K | Mag. Field, T | Exp. Eff. Mass, | Ref. |
|---|---|---|---|---|---|
| 1) N/AlN/GaN | RT | 0.55 | 0.27(±0.01) | [13] | |
| 2) N/GaN | 4H-SiC | RT | 0.55 | 0.32(±0.01) | [36] |
| 3) N/GaN | 4H-SiC | RT | 0.55 | 0.30(±0.01)–0.32(±0.01) | [18] |
| 4) N/AlN/GaN | RT | 0.55 | 0.24(±0.02) | [37] | |
| 5) N/GaN | 4H-SiC | 1.5–300 | 3 | 0.22(±0.01)–0.36(±0.03) | [28] |
| 6) * AlN/N | 4H-SiC | 5 | 8 | 0.63(±0.04) | [30] |
| 7) N/GaN | 4H-SiC | 7–400 | 8 | 0.25(±0.01)–0.58(±0.01) | This work |
| 8) AlN/GaN | 4H-SiC | 7–370 | 8 | 0.27(±0.01)–0.51(±0.03) | This work |
Disclaimer/Publisher’s Note: The statements, opinions and data contained in all publications are solely those of the individual author(s) and contributor(s) and not of MDPI and/or the editor(s). MDPI and/or the editor(s) disclaim responsibility for any injury to people or property resulting from any ideas, methods, instructions or products referred to in the content. |
© 2024 by the authors. Licensee MDPI, Basel, Switzerland. This article is an open access article distributed under the terms and conditions of the Creative Commons Attribution (CC BY) license (https://creativecommons.org/licenses/by/4.0/).
Share and Cite
Armakavicius, N.; Kühne, P.; Papamichail, A.; Zhang, H.; Knight, S.; Persson, A.; Stanishev, V.; Chen, J.-T.; Paskov, P.; Schubert, M.; et al. Electronic Properties of Group-III Nitride Semiconductors and Device Structures Probed by THz Optical Hall Effect. Materials 2024, 17, 3343. https://doi.org/10.3390/ma17133343
Armakavicius N, Kühne P, Papamichail A, Zhang H, Knight S, Persson A, Stanishev V, Chen J-T, Paskov P, Schubert M, et al. Electronic Properties of Group-III Nitride Semiconductors and Device Structures Probed by THz Optical Hall Effect. Materials. 2024; 17(13):3343. https://doi.org/10.3390/ma17133343
Chicago/Turabian StyleArmakavicius, Nerijus, Philipp Kühne, Alexis Papamichail, Hengfang Zhang, Sean Knight, Axel Persson, Vallery Stanishev, Jr-Tai Chen, Plamen Paskov, Mathias Schubert, and et al. 2024. "Electronic Properties of Group-III Nitride Semiconductors and Device Structures Probed by THz Optical Hall Effect" Materials 17, no. 13: 3343. https://doi.org/10.3390/ma17133343
APA StyleArmakavicius, N., Kühne, P., Papamichail, A., Zhang, H., Knight, S., Persson, A., Stanishev, V., Chen, J.-T., Paskov, P., Schubert, M., & Darakchieva, V. (2024). Electronic Properties of Group-III Nitride Semiconductors and Device Structures Probed by THz Optical Hall Effect. Materials, 17(13), 3343. https://doi.org/10.3390/ma17133343

