Sign in to use this feature.

Years

Between: -

Subjects

remove_circle_outline
remove_circle_outline
remove_circle_outline
remove_circle_outline
remove_circle_outline
remove_circle_outline
remove_circle_outline
remove_circle_outline
remove_circle_outline

Journals

remove_circle_outline
remove_circle_outline
remove_circle_outline
remove_circle_outline
remove_circle_outline
remove_circle_outline
remove_circle_outline
remove_circle_outline
remove_circle_outline
remove_circle_outline
remove_circle_outline

Article Types

Countries / Regions

remove_circle_outline
remove_circle_outline
remove_circle_outline
remove_circle_outline

Search Results (2,151)

Search Parameters:
Keywords = terahertz

Order results
Result details
Results per page
Select all
Export citation of selected articles as:
19 pages, 5516 KB  
Article
Toward Robust Sampling Frequency Offset Recovery for Single-Carrier Signals in Photon-Assisted THz Transmission System
by Hua Yan, Yi Yang and Liyuan Song
Photonics 2026, 13(4), 397; https://doi.org/10.3390/photonics13040397 (registering DOI) - 21 Apr 2026
Abstract
The rapid development of 6G wireless networks requires ultra-high data rates that traditional microwave frequencies cannot support. Photonics-assisted terahertz (THz) technologies offer a promising solution by combining high-capacity optical fibers with wideband wireless transmission. However, as bandwidth expands, sampling frequency offset (SFO) becomes [...] Read more.
The rapid development of 6G wireless networks requires ultra-high data rates that traditional microwave frequencies cannot support. Photonics-assisted terahertz (THz) technologies offer a promising solution by combining high-capacity optical fibers with wideband wireless transmission. However, as bandwidth expands, sampling frequency offset (SFO) becomes a critical issue that degrades signal quality in single-carrier systems. This paper evaluates the performance of two main compensation methods within a photonics-assisted THz system operating at 320 GHz. We compare the Gardner clock recovery algorithm and the Digital Interpolation Compensation Algorithm (DICA) across various modulation formats and offset levels. Our findings indicate that the Gardner algorithm is effective for low-order modulation when the SFO is below 100 ppm, but its performance fails outside this range. Conversely, the DICA provides robust compensation up to 1000 ppm regardless of the modulation format, provided that the exact offset value is known. Without proper compensation, the system BER increases significantly as the SFO grows. These results demonstrate the complementary nature of these two algorithms and provide a practical guide for selecting compensation strategies in future high-speed THz communication links. Full article
(This article belongs to the Special Issue Terahertz Communications in Photonics)
Show Figures

Figure 1

15 pages, 1992 KB  
Article
Tunable Triple-Band Terahertz Perfect Absorber and Four-Input AND Gate Based on a Graphene Metamaterial
by Shuxin Xu, Lili Zeng, Zhengzheng Shao, Boxun Li, Wenjie Hu, Yiyu Tu and Xingyi Zhu
Nanomaterials 2026, 16(8), 494; https://doi.org/10.3390/nano16080494 (registering DOI) - 21 Apr 2026
Abstract
This study introduces a switchable and tunable multimodal, multi-peak, perfect terahertz absorber, utilizing a composite structure of graphene and double concentric metal rings. From bottom to top, the absorber consists of a gold substrate, a SiO2 dielectric layer, a patterned graphene layer, [...] Read more.
This study introduces a switchable and tunable multimodal, multi-peak, perfect terahertz absorber, utilizing a composite structure of graphene and double concentric metal rings. From bottom to top, the absorber consists of a gold substrate, a SiO2 dielectric layer, a patterned graphene layer, another SiO2 dielectric layer, and double concentric metal rings on the top. The structure achieves three high-absorption resonance peaks in the far-infrared band: a relatively broad peak with 99.05% absorptance at 38.128 THz, and two extremely narrow peaks with 99.56% and 97.23% absorptance at 47.909 THz and 49.873 THz, respectively. Analysis of the absorption spectra and electric field distributions reveals that the generation mechanism of Peak I is Fabry–Pérot cavity resonance, while Peaks II and III result from the coupling between the high-order localized surface plasmons in the outer ring and the graphene surface plasmon polaritons. Benefiting from graphene’s excellent electrical tunability, the absorption peaks’ positions and intensities can be dynamically tuned by varying the Fermi level. The core innovation of this work lies in the high-level integration of multiple functionalities. By leveraging the sensitive response of Peak III to variations in the Fermi level, a four-input AND logic gate is embedded within the metamaterial absorber in this frequency band. The Fermi levels of four independent graphene regions serve as the binary inputs, while the absorption state of Peak III is defined as the logical output. Additionally, the two narrow peaks display high sensitivity to the surrounding refractive index, with sensitivities of 30.1 THz/RIU and 62.5 THz/RIU, demonstrating significant potential for sensing. This multifunctional integrated device combines tunable absorption, a logic gate, and sensing capabilities, making it promising for terahertz communication systems, intelligent sensing networks, and reconfigurable platforms. Full article
(This article belongs to the Special Issue Ultrafast Terahertz Photonics in Nanoscale and Applications)
Show Figures

Figure 1

15 pages, 4902 KB  
Article
VO2–Graphene Terahertz Multifunctional Metasurface with Switchable Broadband Waveplates and Absorber
by Hong Su, Tao Huang, Gaozhao Liu, Wentao Chen, Jiarong Zi, Chenglong Zhang, Shiping Feng, Min Zhang, Ling Li, Huawei Liang and Shixing Wang
Nanomaterials 2026, 16(8), 490; https://doi.org/10.3390/nano16080490 - 20 Apr 2026
Abstract
A terahertz multifunctional metasurface based on vanadium dioxide (VO2) and graphene that can switch between waveplate and absorber functionalities is proposed. As the temperature is below 300 K, by electrically controlling the Femi energy of the graphene it can realize half-wave [...] Read more.
A terahertz multifunctional metasurface based on vanadium dioxide (VO2) and graphene that can switch between waveplate and absorber functionalities is proposed. As the temperature is below 300 K, by electrically controlling the Femi energy of the graphene it can realize half-wave plate (HWP) and quarter-wave plate (QWP) functionalities in the operating bandwidths of both 1.39–2.34 THz and 0.92–2.68 THz, respectively. While the temperature is above 340 K, the dipole resonance between VO2 and a gold reflector induces absorption. Furthermore, by applying the voltage to graphene, dual-parameter modulation of the amplitude of the transverse electric (TE) waves and the resonance frequency of the transverse magnetic (TM) waves is achieved, the absorption bandwidths of which are 3.65–3.78 THz and 1.41–3.12 THz, respectively. The operating frequencies for HWP, QWP, TE and TM waves can be tuned by changing the electrical field and working temperature. In addition, the incident angles are not sensitive to the performance of the metasurface, confirming its effectiveness even under large-angle incidence. The metasurface with simplicity in design, mature fabrication processes, and comprehensive functionality, has certain promising applications in terahertz optical switches, terahertz spectroscopy systems, modulators, and communication systems. Full article
(This article belongs to the Section 2D and Carbon Nanomaterials)
15 pages, 2774 KB  
Article
High-Sensitivity Terahertz Time-Domain Spectroscopic Characterization of the Thermal Evolution of Hydrated Copper Sulfate
by Yuqiu Jiao, Xinyu Li, Yuqi Zhang, Qingying Xie and Yuhong Xia
Molecules 2026, 31(8), 1342; https://doi.org/10.3390/molecules31081342 - 19 Apr 2026
Viewed by 66
Abstract
To elucidate the influence of water on terahertz (THz) spectral responses, terahertz time-domain spectroscopy (THz-TDS) was employed to monitor the thermal decomposition of copper(II) sulfate pentahydrate in this study. Continuous dehydration of the hydrate induces pronounced variations in the THz signal. At the [...] Read more.
To elucidate the influence of water on terahertz (THz) spectral responses, terahertz time-domain spectroscopy (THz-TDS) was employed to monitor the thermal decomposition of copper(II) sulfate pentahydrate in this study. Continuous dehydration of the hydrate induces pronounced variations in the THz signal. At the initial stage of thermal decomposition, these changes primarily originate from the evolving state and amount of water confined within the CuSO4·5H2O lattice. After detaching from the crystalline framework, the released water molecules do not evaporate immediately; instead, they transiently reside near the copper sulfate as free water. When the temperature reaches approximately 60 °C, a dynamic equilibrium is established between crystalline water and free water. The THz spectral data reveal that the sample exhibits its strongest THz absorption at this temperature. Consequently, the THz signal during decomposition displays a characteristic trend: an initial decrease followed by an enhancement. These findings demonstrate that THz-TDS represents a promising approach for probing the state and content of water, thereby contributing to the development of a powerful analytical tool for fundamental studies in mineralogy. Full article
(This article belongs to the Special Issue 30th Anniversary of Molecules—Recent Advances in Physical Chemistry)
Show Figures

Figure 1

18 pages, 1528 KB  
Article
Intrinsic Relations Between Transmission and Reflection in Metamaterials
by Boli Xu and Renbin Zhong
Micromachines 2026, 17(4), 493; https://doi.org/10.3390/mi17040493 - 17 Apr 2026
Viewed by 89
Abstract
Metamaterials possess high freedom on structural design, yet their ability to modulate electromagnetic waves is subject to intrinsic constraints that are independent of specific meta-atom geometries. The constraints are revealed by analyzing the statistical amplitudes and phases of transmission and reflection wave in [...] Read more.
Metamaterials possess high freedom on structural design, yet their ability to modulate electromagnetic waves is subject to intrinsic constraints that are independent of specific meta-atom geometries. The constraints are revealed by analyzing the statistical amplitudes and phases of transmission and reflection wave in some representative metamaterials. Based on scattering theory, a reconstructed and more general description of the electromagnetic modulation process in metamaterials is established. Two explicit and geometry-independent corollaries concerning the coupling between transmission and reflection waves are further obtained and verified. The results provide a new perspective on the fundamental modulation mechanism of metamaterials on electromagnetic waves. Full article
26 pages, 13111 KB  
Review
Advancing Terahertz Biochemical Sensing: From Spectral Fingerprinting to Intelligent Detection
by Haitao Zhang, Zijie Dai, Yunxia Ye and Xudong Ren
Photonics 2026, 13(4), 379; https://doi.org/10.3390/photonics13040379 - 16 Apr 2026
Viewed by 308
Abstract
Biochemical detection is fundamental to various scientific disciplines, yet conventional methods still face inherent bottlenecks in achieving rapid, ultrasensitive, and simultaneous multi-target analysis. Terahertz (THz) waves, characterized by their unique spectral fingerprinting capabilities and non-destructive properties, have emerged as a compelling platform for [...] Read more.
Biochemical detection is fundamental to various scientific disciplines, yet conventional methods still face inherent bottlenecks in achieving rapid, ultrasensitive, and simultaneous multi-target analysis. Terahertz (THz) waves, characterized by their unique spectral fingerprinting capabilities and non-destructive properties, have emerged as a compelling platform for advanced biochemical sensing. This review outlines the evolution of THz biochemical sensing over the past two decades, tracing its progression from passive identification toward intelligent perception. We structure this technological trajectory around four core themes: sensitivity enhancement, specific recognition, multi-target visualization, and system intelligence. We first evaluate the fundamental limitations of direct detection techniques, such as THz time-domain spectroscopy (THz-TDS). Building on this, we examine how metamaterial-assisted architectures utilize high-quality-factor resonances to achieve trace-level detection, pushing the limits of detection (LOD) down to the ng/mL or even pg/mL scale, and how surface chemical functionalization provides a molecular lock mechanism for selective targeting in complex samples. Furthermore, we highlight the paradigm shift from single-point spectral measurements to spatially resolved multi-target imaging using pixelated metasurfaces. Finally, the review addresses emerging directions, including dynamically tunable intelligent metasurfaces, multimodal on-chip integration platforms, and the growing integration of artificial intelligence (AI) in inverse design and data interpretation, which achieves classification accuracies exceeding 95% even in complex matrices. By synthesizing these developments, this review provides a comprehensive perspective on the future trajectory of THz sensing technologies. Full article
Show Figures

Figure 1

12 pages, 1509 KB  
Article
Ultrafast Nonequilibrium Carrier Dynamics in Topological Insulator Bi2Se3 Probed by Terahertz Spectroscopy at Room Temperature
by Nuoxi Yu, Zhiqiang Lan, Tianhui Wang, Yuanyuan Guo, Changwei Li, Kaijie Chen, Yinwei Li, Yinghao Yuan and Zuanming Jin
Photonics 2026, 13(4), 377; https://doi.org/10.3390/photonics13040377 - 15 Apr 2026
Viewed by 275
Abstract
Topological insulators (TIs) feature unique Dirac fermion-hosting surface states with exceptional electronic properties, rendering them promising candidates for optoelectronic and spintronic applications. Herein, we investigate the relaxation dynamics of photoexcited carriers in Bi2Se3 films via optical pump–terahertz (THz) probe spectroscopy [...] Read more.
Topological insulators (TIs) feature unique Dirac fermion-hosting surface states with exceptional electronic properties, rendering them promising candidates for optoelectronic and spintronic applications. Herein, we investigate the relaxation dynamics of photoexcited carriers in Bi2Se3 films via optical pump–terahertz (THz) probe spectroscopy (OPTP) at room temperature. Under 800 nm pump pulse excitation, the time-dependent real part of the pump excitation conductivity Δσ exhibits a positive-to-negative sign reversal as carriers relax toward equilibrium, which is further validated by frequency-dependent conductivity spectra at varied pump-probe delays. The initial positive Δσ originates dominantly from bulk carrier contributions, while the negative component at prolonged delays is ascribed to Dirac surface states, driven by enhanced scattering of photoexcited carriers. Using the Drude–Smith model to fit the differential conductivity spectra, we quantitatively extracted time-dependent transport parameters of bulk and surface states. These results unravel the comprehensive carrier relaxation mechanism in Bi2Se3, clarify the distinct roles of surface and bulk contributions, and lay the groundwork for designing TI-based THz devices. Full article
Show Figures

Figure 1

13 pages, 950 KB  
Communication
All-LCP Terahertz Metasensor with Dual Quasi-BIC Resonances for Dual-Range Refractive Index Sensing
by Yan Zhang, Mengya Pan, Qiankai Hong, Shengyuan Shen, Conghui Guo, Yaping Li, Yanpeng Shi and Yifei Zhang
Biosensors 2026, 16(4), 221; https://doi.org/10.3390/bios16040221 - 15 Apr 2026
Viewed by 143
Abstract
Terahertz (THz) metasurface biosensors still encounter difficulties in simultaneously achieving high spectral resolution and stable readout across different refractive-index regimes. In this work, an all-liquid-crystal-polymer (LCP) THz metasensor supporting dual quasi-bound states in the continuum (quasi-BIC) resonances is proposed for regime-dependent refractive-index sensing. [...] Read more.
Terahertz (THz) metasurface biosensors still encounter difficulties in simultaneously achieving high spectral resolution and stable readout across different refractive-index regimes. In this work, an all-liquid-crystal-polymer (LCP) THz metasensor supporting dual quasi-bound states in the continuum (quasi-BIC) resonances is proposed for regime-dependent refractive-index sensing. By introducing structural asymmetry into a periodic LCP cubic-cluster metasurface, two pronounced resonances are generated with quality factors (Q factors) of 6811 and 2526, respectively. Near-field distributions and multipole decomposition analysis indicate that the two resonances possess distinct electromagnetic features, which result in different responses to surrounding dielectric perturbations. In the low-refractive-index range of 1.0–1.5, the two resonance frequencies exhibit a linear variation with refractive index, yielding sensitivities of 122 GHz/RIU and 179 GHz/RIU, respectively. These dual-mode linear responses further offer a foundation for concentration- and temperature-related evaluation through analyte refractive-index mapping. In the higher-refractive-index range of 1.5–1.8, the intermodal frequency difference shows improved linearity with refractive index compared with the individual resonance frequencies, enabling a differential readout scheme with enhanced robustness against common perturbations. The results demonstrate that the proposed all-LCP dual-quasi-BIC metasensor not only enables high-resolution THz refractive-index sensing, but also establishes a regime-dependent spectral readout approach for different dielectric-response intervals. Full article
(This article belongs to the Section Optical and Photonic Biosensors)
41 pages, 23435 KB  
Article
A Three-Branch Time-Frequency Feature Fusion Method Based on Terahertz Signals for Identifying Delamination Defects in Composite Materials
by Shengkai Yan, Jianguo Gao, Qiang Wang, Qiuhan Liu, Jiayang Yu, Jiajin Li and Gaocheng Chen
Sensors 2026, 26(8), 2429; https://doi.org/10.3390/s26082429 - 15 Apr 2026
Viewed by 292
Abstract
Composite materials are critical components in advanced equipment such as aerospace, however, delamination defects that readily arise during manufacturing and in service present serious risks to equipment safety. Terahertz non-destructive testing is highly effective for analyzing the internal structure of composite materials, making [...] Read more.
Composite materials are critical components in advanced equipment such as aerospace, however, delamination defects that readily arise during manufacturing and in service present serious risks to equipment safety. Terahertz non-destructive testing is highly effective for analyzing the internal structure of composite materials, making it an effective approach for precise identification of delamination defects. Current terahertz detection approaches mainly depend on single domain features, making it difficult to capture complementary information from both the time and frequency domains. To address this, a Time-Frequency Feature-fusion Network (TFFN) is proposed. In this network, a three-branch architecture is employed: local transient patterns and pulse-related structural features are extracted by the local time-frequency branch; damage-sensitive frequency bands are focused on by the frequency-domain branch through a channel-space-frequency band attention mechanism; and deep integration of time-frequency features is achieved by the time-frequency fusion branch using Manifold Mixup. Finally, the features extracted from the three branches are adaptively fused via a cross-branch attention mechanism, and defect identification is accomplished by the classifier. Experimental results show that this method achieves accuracies of 98.40% on the glass fiber reinforced polymer (GFRP) dataset and 98.63% on the quartz fiber reinforced polymer (QFRP) dataset, surpassing the best existing method by 2% and 1.25%, respectively. A substantial improvement in both defect identification accuracy and the model’s generalization ability for layered structures is thereby achieved. Full article
(This article belongs to the Section Fault Diagnosis & Sensors)
Show Figures

Figure 1

18 pages, 19639 KB  
Article
Metalized Stereolithography 3D-Printed Rectangular Waveguide Components for Terahertz Radiation
by Liying Lang, Yiyang Chen, Qihang Qin, Mengqi Gao, Xing Li, Shuai Li, Dinghong Jia and Yang Cao
Electronics 2026, 15(8), 1651; https://doi.org/10.3390/electronics15081651 - 15 Apr 2026
Viewed by 230
Abstract
Rectangular waveguides, serving as a standardized versatile platform for manipulating terahertz radiation within controlled environments, have been extensively employed across a broad range of terahertz systems. However, conventional fabrication methods encounter significant challenges in realizing such submillimeter-scale structures within a monolithic integration, particularly [...] Read more.
Rectangular waveguides, serving as a standardized versatile platform for manipulating terahertz radiation within controlled environments, have been extensively employed across a broad range of terahertz systems. However, conventional fabrication methods encounter significant challenges in realizing such submillimeter-scale structures within a monolithic integration, particularly when subwavelength features or intricate geometries are incorporated for advanced functionalities. In this work, we propose a fabrication route integrating stereolithography 3D printing and electroless plating, and demonstrate its broad applicability, intrinsic benefits and limitations through the realization of various high-performance D-band terahertz rectangular waveguides and antennas. The resulting rectangular waveguides achieve an insertion loss below 0.3 dB and a return loss above 15 dB across the D-band, while remaining stable across extreme temperatures (−50 °C to 150 °C) and offering a weight reduction of over 60%. A monolithically fabricated smooth-walled conical horn antenna exhibits beam-shaping characteristics that closely align with theoretical expectations. Attempts on corrugated horn antennas in conventional design reveal degraded performance, primarily arising from the inherent staircase effect associated with 3D printing. A novel design featuring obliquely oriented corrugations is developed, effectively mitigating uncontrolled deformation in periodic subwavelength features. Compared with the classical corrugated design (θ = 90°), the proposed obliquely oriented corrugations (θ = 30°) improve the agreement between experimental and theoretical radiation patterns, reducing the gain deviation from 1.45 dB to less than 0.5 Db—a quantitative improvement of over 60% in pattern fidelity. We believe that this fabrication route together with the process-adaptive design paradigm establishes a robust technical foundation for realizing high-performance, lightweight, and design-flexible terahertz waveguide components and holds significant promise for advancing the development of next-generation integrated terahertz systems. Full article
(This article belongs to the Special Issue THz Sensing Systems and Components for Industrial Applications)
Show Figures

Figure 1

15 pages, 2526 KB  
Article
A Refined Methodological Approach for Terahertz Spectroscopy of Liquid Biosamples
by Deborah Amos Adigun, Mikhail Gorbun, Aadya Menon, Janna Pennanen, Polina Kuzhir and Georgy Fedorov
Photonics 2026, 13(4), 373; https://doi.org/10.3390/photonics13040373 - 14 Apr 2026
Viewed by 219
Abstract
Terahertz time-domain spectroscopy (THz-TDS) has emerged as a powerful tool for probing hydrated materials and biological tissues, where water dynamics dominate the dielectric response. This study focuses on improving the methodology of THz-TDS by replacing conventional cuvettes, which introduce unwanted absorption, reflections, and [...] Read more.
Terahertz time-domain spectroscopy (THz-TDS) has emerged as a powerful tool for probing hydrated materials and biological tissues, where water dynamics dominate the dielectric response. This study focuses on improving the methodology of THz-TDS by replacing conventional cuvettes, which introduce unwanted absorption, reflections, and liquid bubbles that must be accounted for during measurement interpretation, with nitrocellulose membranes of various pore sizes. The membranes were hydrated with deionized water and sealed with food-grade cling film, and their transmission properties were measured using THz-TDS. To interpret the measurements, transfer matrix method simulations were performed using the optical constants of water reported by some experimentalists, allowing verification of our data. The findings for deionized water highlight the reliability of the methodology. Our results demonstrate that nitrocellulose membranes provide stable and reproducible transmission measurements in good agreement with theoretical reference models, supported by weight retention studies and reproducibility tests conducted in spatial, temporal, and random measurement conditions. These improvements contribute to the development of more robust THz-TDS approaches for hydrated biological materials and suggest future applications in non-invasive tissue hydration monitoring and biomedical diagnostics. Full article
(This article belongs to the Section Biophotonics and Biomedical Optics)
16 pages, 6941 KB  
Article
Terahertz ISAC with Simultaneous Fast-Swept FMCW Radar and High-Speed Wireless Link Using a Single UTC-PD
by Ryota Kaide, Yoshiki Kamiura, Shenghong Ye, Yiqing Wang, Yuya Mikami, Yuta Ueda and Kazutoshi Kato
Electronics 2026, 15(8), 1608; https://doi.org/10.3390/electronics15081608 - 13 Apr 2026
Viewed by 292
Abstract
With ongoing advancements toward 6G networks, the terahertz (THz) band is expected to serve as an essential platform for realizing integrated sensing and communication (ISAC). In particular, maintaining high-data-rate communication while ensuring highly responsive, real-time radar operation in dynamic environments is a critical [...] Read more.
With ongoing advancements toward 6G networks, the terahertz (THz) band is expected to serve as an essential platform for realizing integrated sensing and communication (ISAC). In particular, maintaining high-data-rate communication while ensuring highly responsive, real-time radar operation in dynamic environments is a critical requirement. This study presents a THz-band ISAC architecture that utilizes a high-speed wavelength-tunable laser for photomixing, enabling simultaneous generation of a fast frequency-swept frequency-modulated continuous-wave (FMCW) radar signal and amplitude-shift keying (ASK) communication. The wavelength-tunable laser enables sub-microsecond frequency sweeps and supports high repetition rates suitable for real-time operation. To address the limitations in waveform design efficiency in conventional time-division ISAC, we experimentally investigate two transmission strategies for simultaneous operation. The first is a frequency-division scheme that reduces mutual interference between radar and communication signals, and the second is a joint-waveform scheme in which both functions share the same THz carrier. Using a single THz transmitter, the proposed system achieves sub-centimeter ranging accuracy together with 15-Gbit/s data transmission. These findings demonstrate that the presented ISAC approach enables efficient integration of radar and communication functions while lowering overall system complexity and implementation cost, offering substantial potential for deployment in future 6G infrastructures. Full article
(This article belongs to the Section Optoelectronics)
Show Figures

Figure 1

48 pages, 5585 KB  
Review
Sensors in Self-Driving Vehicles: A Detailed Literature Review and New Trends
by Patrik Viktor and Gabor Kiss
Sensors 2026, 26(7), 2153; https://doi.org/10.3390/s26072153 - 31 Mar 2026
Viewed by 844
Abstract
Autonomous vehicles rely on complex sensing systems to perceive their environment and ensure safe operation. This review analyses the main sensor technologies used in self-driving vehicles, including cameras, LiDAR, radar, ultrasonic sensors and GNSS/IMU-based localisation systems. A core set of 40 primary research [...] Read more.
Autonomous vehicles rely on complex sensing systems to perceive their environment and ensure safe operation. This review analyses the main sensor technologies used in self-driving vehicles, including cameras, LiDAR, radar, ultrasonic sensors and GNSS/IMU-based localisation systems. A core set of 40 primary research articles was systematically analysed to compare the capabilities, limitations and integration challenges of sensing technologies used in autonomous vehicles. In addition to these primary studies, further references were included to provide background information and describe emerging developments in autonomous sensing systems. The review shows that no single sensor technology can provide reliable perception under all environmental conditions. Camera systems offer rich visual information but are sensitive to lighting and weather conditions, while LiDAR provides highly accurate three-dimensional geometry but suffers from signal attenuation in rain and fog. Radar sensors demonstrate superior robustness in adverse weather and enable direct velocity measurement, although their spatial resolution remains limited compared to optical sensors. As a result, modern autonomous vehicles rely on multi-sensor fusion architectures that combine complementary sensing modalities to improve reliability and safety. The analysis also identifies several key research gaps in the current literature. In particular, there is a lack of systematic evaluation of trade-offs between sensor performance, computational requirements and vehicle energy consumption. Furthermore, the safety certification of artificial intelligence-based perception systems and the integration of emerging technologies such as FMCW LiDAR and terahertz radar remain open research challenges. Overall, the results suggest that the future of autonomous vehicle perception will depend not only on improvements in individual sensors but also on robust sensor fusion architectures, safety-certified AI models and energy-efficient sensor processing platforms. These findings provide guidance for researchers and engineers developing next-generation sensing systems for autonomous driving. Full article
Show Figures

Figure 1

13 pages, 7762 KB  
Article
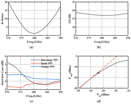
Dual-Side Hybrid Embedding Network for Gain Enhancement of Terahertz Amplifiers at Frequencies Near fmax
by Xiaorui Liu, Jianguo Yu, Yun Wang, Yibo Huang, Feixiang Zhang, Zhanjiang Wang and Yaqi Cheng
Micromachines 2026, 17(4), 432; https://doi.org/10.3390/mi17040432 - 31 Mar 2026
Viewed by 327
Abstract
This paper proposes a dual-side hybrid embedding network (DHEN) to mitigate gain degradation in terahertz amplifiers at frequencies near fmax. The proposed approach employs a pre-embedding network for parasitic absorption, followed by Y-embedding for gain enhancement. A theoretical analysis is conducted [...] Read more.
This paper proposes a dual-side hybrid embedding network (DHEN) to mitigate gain degradation in terahertz amplifiers at frequencies near fmax. The proposed approach employs a pre-embedding network for parasitic absorption, followed by Y-embedding for gain enhancement. A theoretical analysis is conducted to derive the embedding conditions for process-constrained circuit synthesis. In this architecture, a capacitive base-side pre-embedding provides intrinsic DC isolation, while a defected-ground-structure (DGS) inductor realizes the Y-embedding inductive element with reduced layout area. Based on the DHEN, a four-stage amplifier is designed in a 130 nm SiGe BiCMOS process. Electromagnetic co-simulation results demonstrate a power gain of 19.3 dB at 280 GHz, corresponding to an 11.5 dB improvement over a conventional unboosted amplifier. The proposed approach provides a unified synthesis methodology that simultaneously addresses parasitic absorption, DC isolation, and gain enhancement for near-fmax THz amplifier design. Full article
Show Figures

Figure 1

17 pages, 4357 KB  
Article
Fast Analysis of Multilayer Micro-Machined Coupler Based on Mode-Matching Method
by Sheng Li, Yun Zhao, Hao Gu, Shisheng Yang, Zhongbo Zhu, Chongdi Duan, Tingting Wang, Shengxiao Jin, Caixia Wang, Wei Shao and Jiangqiao Ding
Micromachines 2026, 17(4), 412; https://doi.org/10.3390/mi17040412 - 27 Mar 2026
Viewed by 347
Abstract
The development of next-generation terahertz (THz) transmitters and receivers based on 3D stacked packaging technology relies heavily on the integration of high-performance waveguide directional couplers. This paper presents an accurate and efficient method based on the mode-matching method (MMM) for the rapid analysis [...] Read more.
The development of next-generation terahertz (THz) transmitters and receivers based on 3D stacked packaging technology relies heavily on the integration of high-performance waveguide directional couplers. This paper presents an accurate and efficient method based on the mode-matching method (MMM) for the rapid analysis of a branch waveguide coupler fabricated through a silicon-based 3D stacking process. In contrast to the traditional method using the finite-element method (FEM) in HFSS, which is cumbersome and time-consuming, the proposed method offers orders-of-magnitude speed improvement. It is especially well-suited for large-scale uncertainty error analysis and statistical evaluation of THz waveguide couplers and related components. This theoretical MMM is validated through an experiment by characterizing a deep reactive ion etching (DRIE) fabricated and 3D stacked 220 GHz waveguide coupler. Full article
(This article belongs to the Special Issue Novel RF Nano- and Microsystems)
Show Figures

Figure 1

Back to TopTop