Reinforcement Effects on Tensile Behavior of Ultra-High-Performance Concrete (UHPC) with Low Steel Fiber Volume Fractions
Abstract
1. Introduction
2. Materials and Methods
2.1. Material Property
2.2. Specimen Design
2.3. Test Setup
3. Local Fiber Distribution
4. Mechanical Properties
4.1. Failure Modes
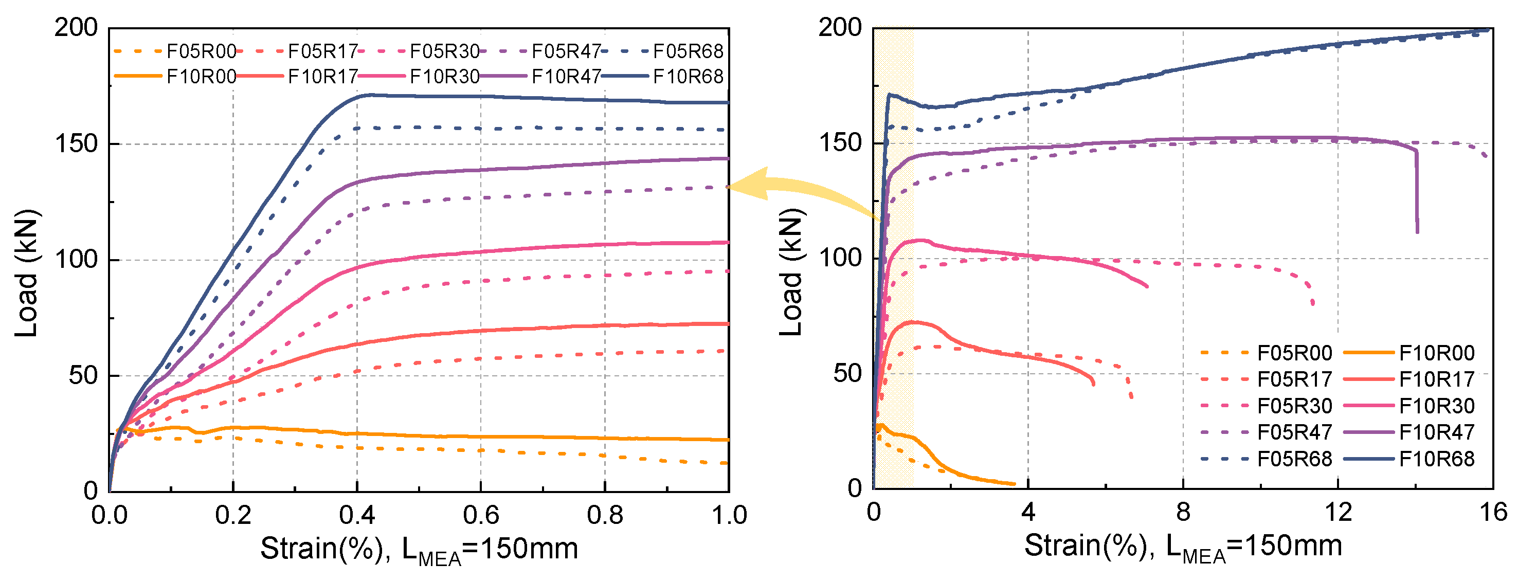
4.2. Load–Displacement Response
4.3. Load-Bearing Capacity
- The rebar component, due to excessive localized deformation, enters the yielding stage prior to the UHPC component reaching its load-bearing capacity.
- Upon the UHPC component reaching its load-bearing capacity, the rebar component enters the strength hardening stage, or just reaches ultimate strength, or enters the necking stage.
- Both the UHPC component and the rebar component concurrently reach their load-bearing capacities.
- When the load-bearing capacity of the UHPC component declines due to many fibers being pulled out, the rebar component continues in the strain-hardening stage.
5. Cracking Behavior
5.1. Cracking Process
5.2. Cracks Number and Spacing
5.3. Maximum Crack Width
5.4. Fiber Efficiency in Restricting Maximum Crack Propagation
6. Conclusions
- Adopting UHPC with a low fiber volume fraction can significantly mitigate the ductility deterioration of R-UHPC, and both increasing the reinforcement ratio and decreasing the fiber volume fraction contribute to the improvement of ductility.
- Reducing the fiber volume fraction was particularly effective in improving the ductility of R-UHPC with low reinforcement ratios; for R-UHPC with reinforcement ratios of 1.7% and 3.0%, the reduction of the fiber volume fraction from 1.0% to 0.5% resulted in an increase in peak ductility of 55.4% and 287.7%, respectively. The ductility of R-UHPC with low fiber volume fraction increases approximately linearly with increasing reinforcement ratio.
- The failure modes of R-UHPC are determined by the ratio of reinforcement ratio and fiber volume fraction, rather than a single parameter, which also means that R-UHPC with different parameters may require different methods to predict tensile load-bearing capacity. For R-UHPC with significant ductility degradation, the load-bearing capacity can be calculated by superimposing the tensile load-bearing capacity of the UHPC component and the yielding load-bearing capacity of the rebar component. For R-UHPC with no substantial ductility degradation, the load-bearing capacity can be calculated by considering the contribution of rebars only.
- Incorporating steel rebars into UHPC with a low fiber volume fraction can significantly improve its capacity to restrict the maximum crack propagation. With maximum crack width up to 0.20 mm, the strains experienced by R-UHPC with fiber volume fractions of 0.5% and 1.0% increased by at least 145.5% and 43.5%, respectively, compared to unreinforced UHPC. Compared to whether rebars are incorporated, varying the reinforcement ratio does not remarkably affect the ability of R-UHPC to restrict the maximum crack propagation.
- Increasing the fiber volume fraction from 0.5% to 1.0% results in R-UHPC demonstrating better multi-cracking behavior, yet there is only a marginal enhancement in its ability to restrict maximum crack propagation. Enhancing the ability of R-UHPC to restrict the maximum crack propagation by augmenting the fiber volume fraction is inefficient.
- If excellent ductility is essential, R-UHPC with a reinforcement ratio greater than 4.7% combined with a 0.5% fiber volume fraction can be adopted. If the capacity to restrict maximum crack propagation is primarily required, R-UHPC with a reinforcement ratio of 1.7% combined with a 0.5% fiber volume fraction is more appropriate. Increasing the fiber volume fraction from 0.5% to 1.0% at the same reinforcement ratio will yield little benefit other than increased load-bearing capacity.
Author Contributions
Funding
Institutional Review Board Statement
Informed Consent Statement
Data Availability Statement
Conflicts of Interest
References
- Hung, C.; El-Tawil, S.; Chao, S. A Review of Developments and Challenges for UHPC in Structural Engineering: Behavior, Analysis, and Design. J. Struct. Eng. 2021, 147, 3121001. [Google Scholar] [CrossRef]
- Kravanja, G.; Mumtaz, A.R.; Kravanja, S. A Comprehensive Review of the Advances, Manufacturing, Properties, Innovations, Environmental Impact and Applications of Ultra-High-Performance Concrete (UHPC). Buildings 2024, 14, 382. [Google Scholar] [CrossRef]
- Gong, J.; Ma, Y.; Fu, J.; Hu, J.; Ouyang, X.; Zhang, Z.; Wang, H. Utilization of fibers in ultra-high performance concrete: A review. Compos. Part B 2022, 241, 109995. [Google Scholar] [CrossRef]
- Bahmani, H.; Mostofinejad, D. A review of engineering properties of ultra-high-performance geopolymer concrete. Dev. Built Environ. 2023, 14, 100126. [Google Scholar] [CrossRef]
- Zou, Y.; Zheng, K.; Zhou, Z.; Zhang, Z.; Guo, J.; Jiang, J. Experimental study on flexural behavior of hollow steel-UHPC composite bridge deck. Eng. Struct. 2023, 274, 115087. [Google Scholar] [CrossRef]
- Li, C.; Shi, Y.; Zhou, J.; Fang, C.; He, J.; He, L. Experimental investigation on UHPC shrinkage of full-scale steel-UHPC composite bridge deck. Dev. Built Environ. 2023, 16, 100281. [Google Scholar] [CrossRef]
- Huang, B.; Dai, J.; Weng, K.; Zhu, J.; Shah, S.P. Flexural performance of UHPC–concrete–ECC composite member reinforced with perforated steel plates. J. Struct. Eng. 2021, 147, 4021065. [Google Scholar] [CrossRef]
- Huang, B.; Zhu, J.; Weng, K.; Huang, J.; Dai, J. Prefabricated UHPC-concrete-ECC underground utility tunnel reinforced by perforated steel plate: Experimental and numerical investigations. Case Stud. Constr. Mater. 2022, 16, e856. [Google Scholar] [CrossRef]
- Liu, X.; Pan, M.; Li, W.; Jing, C.; Chang, W.; Zhang, H. Experimental Study and Bearing Capacity Calculation of Compression-Reinforced Concrete Columns Strengthened with Ultra-High-Performance Concrete. Appl. Sci. 2024, 14, 1911. [Google Scholar] [CrossRef]
- Zhou, C.; Wang, J.; Shao, X.; Li, L.; Sun, J.; Wang, X. The feasibility of using ultra-high performance concrete (UHPC) to strengthen RC beams in torsion. J. Mater. Res. Technol. 2023, 24, 9961–9983. [Google Scholar] [CrossRef]
- Shah, H.A.; Yuan, Q.; Photwichai, N. Use of materials to lower the cost of ultra-high-performance concrete—A review. Constr. Build. Mater. 2022, 327, 127045. [Google Scholar] [CrossRef]
- Wang, J.; Ji, W.; Li, W.; Zhao, T. Experimental Research on Fatigue Behavior of Reinforced UHPC-NC Composite Beams under Cyclic Loading. Materials 2024, 17, 747. [Google Scholar] [CrossRef]
- Wen, C.; Zhang, P.; Wang, J.; Hu, S. Influence of fibers on the mechanical properties and durability of ultra-high-performance concrete: A review. J. Build. Eng. 2022, 52, 104370. [Google Scholar] [CrossRef]
- Ravichandran, D.; Prem, P.R.; Kaliyavaradhan, S.K.; Ambily, P.S. Influence of fibers on fresh and hardened properties of Ultra High Performance Concrete (UHPC)—A review. J. Build. Eng. 2022, 57, 104922. [Google Scholar] [CrossRef]
- Liu, J.; Han, F.; Cui, G.; Zhang, Q.; Lv, J.; Zhang, L.; Yang, Z. Combined effect of coarse aggregate and fiber on tensile behavior of ultra-high performance concrete. Constr. Build. Mater. 2016, 121, 310–318. [Google Scholar] [CrossRef]
- Ren, G.M.; Wu, H.; Fang, Q.; Liu, J.Z. Effects of steel fiber content and type on static mechanical properties of UHPCC. Constr. Build. Mater. 2018, 163, 826–839. [Google Scholar] [CrossRef]
- Qiu, M.; Shao, X.; Zhu, Y.; Hussein, H.H.; Li, F.; Li, X. Effect of Aspect Ratios of Hooked End and Straight Steel Fibers on the Tensile Strength of UHPFRC. J. Mater. Civ. Eng. 2022, 34, 4022131. [Google Scholar] [CrossRef]
- Yang, J.; Chen, B.; Wu, X.; Xu, G. Quantitative analysis of steel fibers on UHPFRC uniaxial tensile behavior using X-CT and UTT. Constr. Build. Mater. 2023, 368, 130349. [Google Scholar] [CrossRef]
- Wille, K.; Kim, D.J.; Naaman, A.E. Strain-hardening UHP-FRC with low fiber contents. Mater. Struct. 2011, 44, 583–598. [Google Scholar] [CrossRef]
- Pyo, S.; Kim, H.; Lee, B.Y. Effects of coarser fine aggregate on tensile properties of ultra high performance concrete. Cem. Concr. Compos. 2017, 84, 28–35. [Google Scholar] [CrossRef]
- Jin, L.; Zhang, R.; Tian, Y.; Dou, G.; Du, X. Experimental investigation on static and dynamic mechanical properties of steel fiber reinforced ultra-high-strength concretes. Constr. Build. Mater. 2018, 178, 102–111. [Google Scholar] [CrossRef]
- Su, Y.; Wu, C.; Li, J.; Li, Z.; Li, W. Development of novel ultra-high performance concrete: From material to structure. Constr. Build. Mater. 2017, 135, 517–528. [Google Scholar] [CrossRef]
- Abbas, S.; Soliman, A.M.; Nehdi, M.L. Exploring mechanical and durability properties of ultra-high performance concrete incorporating various steel fiber lengths and dosages. Constr. Build. Mater. 2015, 75, 429–441. [Google Scholar] [CrossRef]
- Aghdasi, P.; Heid, A.E.; Chao, S. Developing Ultra-High-Performance Fiber-Reinforced Concrete for Large-Scale Structural Applications. ACI Mater. J. 2016, 113, 559–570. [Google Scholar] [CrossRef]
- Kunieda, M.; Hussein, M.; Ueda, N.; Nakamura, H. Enhancement of Crack Distribution of UHP-SHCC under Axial Tension Using Steel Reinforcement. J. Adv. Concr. Technol. 2010, 8, 49–57. [Google Scholar] [CrossRef]
- Bian, C.; Wang, J. Mechanical and damage mechanisms of reinforced ultra high performance concrete under tensile loading. Constr. Build. Mater. 2019, 226, 259–279. [Google Scholar] [CrossRef]
- Qiu, M.; Zhang, Y.; Qu, S.; Zhu, Y.; Shao, X. Effect of reinforcement ratio, fiber orientation, and fiber chemical treatment on the direct tension behavior of rebar-reinforced UHPC. Constr. Build. Mater. 2020, 256, 119311. [Google Scholar] [CrossRef]
- Guo, J.; Wang, J.; Bian, C. Synergistic tensile response of reinforced ultra high performance concrete with low fiber contents. Case Stud. Constr. Mater. 2022, 17, e1629. [Google Scholar] [CrossRef]
- Luo, X.; Zhang, S.; Li, A.; Zhang, D. Fiber content optimization of UHPC and R-UHPC oriented to tensile behavior and cost reduction. Constr. Build. Mater. 2023, 395, 132314. [Google Scholar] [CrossRef]
- Hung, C.; Lee, H.; Chan, S.N. Tension-stiffening effect in steel-reinforced UHPC composites: Constitutive model and effects of steel fibers, loading patterns, and rebar sizes. Compos. Part B 2019, 158, 269–278. [Google Scholar] [CrossRef]
- Kang, S.; Tan, K.H.; Zhou, X.; Yang, B. Influence of reinforcement ratio on tension stiffening of reinforced engineered cementitious composites. Eng. Struct. 2017, 141, 251–262. [Google Scholar] [CrossRef]
- Shao, Y.; Billington, S.L. Utilizing full UHPC compressive strength in steel reinforced UHPC beams. In International Interactive Symposium on Ultra-High Performance Concrete; Iowa State University Digital Press: Ames, IA, USA, 2019. [Google Scholar]
- Shao, Y.; Billington, S.L. Impact of UHPC Tensile Behavior on Steel Reinforced UHPC Flexural Behavior. J. Struct. Eng. 2022, 148, 4021244. [Google Scholar] [CrossRef]
- Yang, I.H.; Joh, C.; Kim, B. Structural behavior of ultra high performance concrete beams subjected to bending. Eng. Struct. 2010, 32, 3478–3487. [Google Scholar] [CrossRef]
- Hasgul, U.; Turker, K.; Birol, T.; Yavas, A. Flexural behavior of ultra-high-performance fiber reinforced concrete beams with low and high reinforcement ratios. Struct. Concr. 2018, 19, 1577–1590. [Google Scholar] [CrossRef]
- Turker, K.; Hasgul, U.; Birol, T.; Yavas, A.; Yazici, H. Hybrid fiber use on flexural behavior of ultra high performance fiber reinforced concrete beams. Compos. Struct. 2019, 229, 111400. [Google Scholar] [CrossRef]
- Yoo, D.; Yoon, Y. Structural performance of ultra-high-performance concrete beams with different steel fibers. Eng. Struct. 2015, 102, 409–423. [Google Scholar] [CrossRef]
- Yoo, D.Y.; Soleimani-Dashtaki, S.; Oh, T.; Chun, B.; Banthia, N.; Lee, S.J.; Yoon, Y.S. Strain-hardening effect on the flexural behavior of ultra-high-performance fiber-reinforced concrete beams with steel rebars. Dev. Built Environ. 2024, 17, 100343. [Google Scholar] [CrossRef]
- Dong, S.; Wang, D.; Wang, X.; D’Alessandro, A.; Ding, S.; Han, B.; Ou, J. Optimizing flexural cracking process of ultra-high performance concrete via incorporating microscale steel wires. Cem. Concr. Compos. 2022, 134, 104830. [Google Scholar] [CrossRef]
- Al-Osta, M.A.; Sharif, A.M.; Ahmad, S.; Adekunle, S.K.; Al-Huri, M.; Sharif, A.M. Effect of hybridization of straight and hooked steel fibers and curing methods on the key mechanical properties of UHPC. J. Mater. Res. Technol. 2021, 15, 3222–3239. [Google Scholar] [CrossRef]
- GB/T228.1; Metallic materials-Tensile Testing—Part 1: Method of Test at Room Temperature. Standardization Administration of the People’s Republic of China: Beijing, China, 2021.
- Luo, X.; Zhang, S.; Li, A.; Yang, X.; Liang, Z. Steel rebar effect on tensile and cracking behavior of UHPFRC based on direct tensile tests and digital image correlation. Cem. Concr. Compos. 2023, 137, 104940. [Google Scholar] [CrossRef]
- Hafiz, M.A.; Denarié, E. Tensile response of UHPFRC under very low strain rates and low temperatures. Cem. Concr. Res. 2020, 133, 106067. [Google Scholar] [CrossRef]
- Yu, J.; Zhang, B.; Chen, W.; Liu, H. Multi-scale analysis on the tensile properties of UHPC considering fiber orientation. Compos. Struct. 2022, 280, 114835. [Google Scholar] [CrossRef]
- Song, Q.; Yu, R.; Shui, Z.; Wang, X.; Rao, S.; Lin, Z. Optimization of fibre orientation and distribution for a sustainable Ultra-High Performance Fibre Reinforced Concrete (UHPFRC): Experiments and mechanism analysis. Constr. Build. Mater. 2018, 169, 8–19. [Google Scholar] [CrossRef]
- Miletić, M.; Kumar, L.M.; Arns, J.Y.; Agarwal, A.; Foster, S.J.; Arns, C.; Perić, D. Gradient-based fibre detection method on 3D micro-CT tomographic image for defining fibre orientation bias in ultra-high-performance concrete. Cem. Concr. Res. 2020, 129, 105962. [Google Scholar] [CrossRef]
- Park, R. Evaluation of ductility of structures and structural assemblages from laboratory testing. Bull. N. Z. Soc. Earthq. Eng. 1989, 22, 155–166. [Google Scholar] [CrossRef]
- Khorami, M.; Navarro-Gregori, J.; Serna, P. Tensile behaviour of reinforced UHPFRC elements under serviceability conditions. Mater. Struct. 2021, 54, 43. [Google Scholar] [CrossRef]
- Teng, L.; Khayat, K.H. Effect of overlay thickness, fiber volume, and shrinkage mitigation on flexural behavior of thin bonded ultra-high-performance concrete overlay slab. Cem. Concr. Compos. 2022, 134, 104752. [Google Scholar] [CrossRef]
- Wu, Z.; Shi, C.; Khayat, K.H. Investigation of mechanical properties and shrinkage of ultra-high performance concrete: Influence of steel fiber content and shape. Compos. Part B 2019, 174, 107021. [Google Scholar] [CrossRef]

























| Fiber Volume Fraction (vol%) | Tensile Strength ft (MPa) | Compressive Strength fc (MPa) | Elastic Modulus E (GPa) |
|---|---|---|---|
| 0.5 | 5.7 ± 0.6 | 143.9 ± 5.8 | 41.6 ± 1.3 |
| 1.0 | 6.0 ± 0.9 | 145.7 ± 4.8 | 43.3 ± 0.9 |
| Diameter d (mm) | Elastic Modulus E (GPa) | Yield Strength fy (MPa) | Ultimate Strength fu (MPa) | Ultimate Strain εu (%) |
|---|---|---|---|---|
| 6 | 206 | 483 | 649 | 11.0 |
| 8 | 212 | 504 | 640 | 9.3 |
| 10 | 202 | 473 | 639 | 11.1 |
| 12 | 208 | 434 | 597 | 13.8 |
| Types | Specimen | Fiber Volume Fraction Vf (vol%) | Reinforcement Ratio ρ (%) |
|---|---|---|---|
| UHPC | F05R00 | 0.5 | 0 |
| F10R00 | 1.0 | 0 | |
| R-UHPC | F05R17 | 0.5 | 1.7 |
| F05R30 | 0.5 | 3.0 | |
| F05R47 | 0.5 | 4.7 | |
| F05R68 | 0.5 | 6.8 | |
| F10R17 | 1.0 | 1.7 | |
| F10R30 | 1.0 | 3.0 | |
| F10R47 | 1.0 | 4.7 | |
| F10R68 | 1.0 | 6.8 |
| Specimens | F05R17 | F05R30 | F05R47 | F05R68 |
|---|---|---|---|---|
| Cracking load Fcr (kN) | 19.4 ± 0.07 | 17.9 ± 3.0 | 14.3 ± 0.9 | 13.5 ± 2.1 |
| Cracking strain εcr (%) | 0.007 ± 0.001 | 0.007 ± 0.000 | 0.005 ± 0.000 | 0.005 ± 0.001 |
| Yield load Fy (kN) | 53.0 ± 1.3 | 87.7 ± 1.2 | 125.0 ± 5.3 | 157.8 ± 1.8 |
| Yield strain εy (%) | 0.418 ± 0.001 | 0.476 ± 0.019 | 0.482 ± 0.008 | 0.477 ± 0.020 |
| Peak load Fp (kN) | 62.4 ± 1.2 | 100.0 ± 3.0 | 152.0 ± 0.0 | 201.1 ± 0.4 |
| Peak strain εp (%) | 1.804 ± 0.385 | 4.436 ± 0.084 | 12.845 ± 1.027 | 25.941 ± 0.395 |
| Ultimate load Fu (kN) | 53.0 ± 1.0 | 85.0 ± 2.5 | 129.2 ± 0.0 | 171.0 ± 0.4 |
| Specimens | F10R17 | F10R30 | F10R47 | F10R68 |
|---|---|---|---|---|
| Cracking load Fcr (kN) | 20.1 ± 3.6 | 21.0 ± 2.1 | 16.6 ± 1.8 | 17.1 ± 1.0 |
| Cracking strain εcr (%) | 0.006 ± 0.002 | 0.006 ± 0.001 | 0.005 ± 0.000 | 0.005 ± 0.000 |
| Yield load Fy (kN) | 61.8 ± 1.8 | 96.5 ± 0.7 | 134.2 ± 0.7 | 170.1 ± 1.0 |
| Yield strain εy (%) | 0.366 ± 0.013 | 0.397 ± 0.010 | 0.412 ± 0.016 | 0.427 ± 0.022 |
| Peak load Fp (kN) | 72.9 ± 2.2 | 108.4 ± 1.3 | 152.5 ± 1.0 | 201.2 ± 0.3 |
| Peak strain εp (%) | 1.091 ± 0.150 | 1.144 ± 0.215 | 10.700 ± 1.192 | 24.232 ± 0.353 |
| Ultimate load Fu (kN) | 62.0 ± 1.9 | 92.2 ± 1.1 | 129.6 ± 0.8 | 171.0 ± 0.3 |
Disclaimer/Publisher’s Note: The statements, opinions and data contained in all publications are solely those of the individual author(s) and contributor(s) and not of MDPI and/or the editor(s). MDPI and/or the editor(s) disclaim responsibility for any injury to people or property resulting from any ideas, methods, instructions or products referred to in the content. |
© 2024 by the authors. Licensee MDPI, Basel, Switzerland. This article is an open access article distributed under the terms and conditions of the Creative Commons Attribution (CC BY) license (https://creativecommons.org/licenses/by/4.0/).
Share and Cite
Luo, X.; Zhang, S.; Li, A.; Zhang, C.; Zhang, Y. Reinforcement Effects on Tensile Behavior of Ultra-High-Performance Concrete (UHPC) with Low Steel Fiber Volume Fractions. Materials 2024, 17, 2418. https://doi.org/10.3390/ma17102418
Luo X, Zhang S, Li A, Zhang C, Zhang Y. Reinforcement Effects on Tensile Behavior of Ultra-High-Performance Concrete (UHPC) with Low Steel Fiber Volume Fractions. Materials. 2024; 17(10):2418. https://doi.org/10.3390/ma17102418
Chicago/Turabian StyleLuo, Xianzhi, Sumei Zhang, Aidong Li, Chenming Zhang, and Yuchen Zhang. 2024. "Reinforcement Effects on Tensile Behavior of Ultra-High-Performance Concrete (UHPC) with Low Steel Fiber Volume Fractions" Materials 17, no. 10: 2418. https://doi.org/10.3390/ma17102418
APA StyleLuo, X., Zhang, S., Li, A., Zhang, C., & Zhang, Y. (2024). Reinforcement Effects on Tensile Behavior of Ultra-High-Performance Concrete (UHPC) with Low Steel Fiber Volume Fractions. Materials, 17(10), 2418. https://doi.org/10.3390/ma17102418
