Exploring Exact Effects of Various Factors on Chloride Diffusion in Cracked Concrete: ABAQUS-Based Mesoscale Simulations
Abstract
1. Introduction
2. Models and Numerical Simulations
2.1. Models and Simulations
2.1.1. Construction of Models and Simulations
2.1.2. Detailed Information of Key Constituent Elements
- (a)
- ACs
- (b)
- Water–cement ratio
- (c)
- AGG shape
2.2. Diffusion Coefficients of Chloride Ions in Different Phases
2.3. Determination of DZ
3. Results and Discussion
3.1. Reliability of Numerical Models
- (a)
- (b)
- There is a difference between the simulation results and the experimental data at the initial simulation time, which is more pronounced in the case with a smaller AC (see Figure 4a). This difference becomes weak with increased soaking time. The reason for this difference will be discussed further in the section below.


3.2. The Effect of ACs
3.2.1. Effect of ACs with Different Widths and Depths
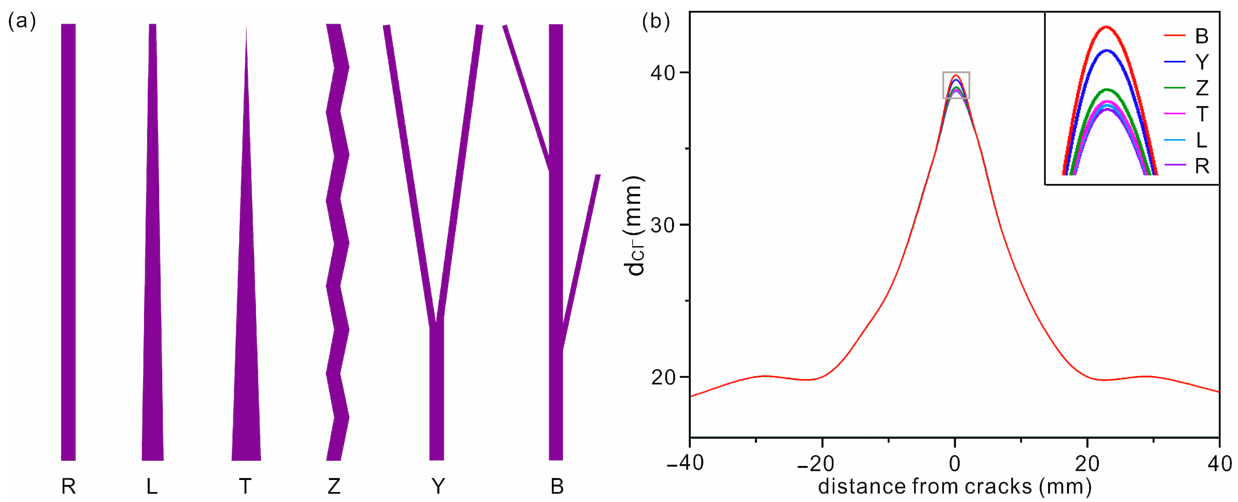
3.2.2. Effect of the Shape of ACs
3.3. Influence of Water–Cement Ratio and Degree of Hydration
3.4. Influence of Aggregate Shapes
4. Further Discussion
5. Conclusions
- (1)
- The damage zone around the crack is negligible when the crack width is less than 50 μm, but is not negligible when the crack width is greater than 50 μm. The propagation of the damage zone is about 15 times and 15% of the crack width and depth, respectively;
- (2)
- The chloride diffusion in concrete is greatly affected by the depth and width of cracks, and is hardly affected by the shape of cracks. Both the diffusion depth and concentration of chlorides increase with crack width;
- (3)
- The water–cement ratio also has a significant effect on the chloride diffusion in concrete. As the ratio increases, the diffusion depth increases almost linearly. For cement with the same water–cement ratio, the degree of hydration has little effect on the chloride diffusion depth, but can affect the diffusion width. The higher the degree of hydration, the narrower the diffusion width;
- (4)
- The AGG shape has a small effect on chloride diffusion. The diffusion in concrete with irregular aggregate is a little more serious than that in concrete with regular aggregate. The difference becomes smaller as the soaking time increases.
Author Contributions
Funding
Institutional Review Board Statement
Informed Consent Statement
Data Availability Statement
Conflicts of Interest
Abbreviations
| Terms | Abbreviations |
| reinforced concrete | RC |
| cement paste | CP |
| artificial cracks | AC |
| damage zone | DZ |
| aggregate | AGG |
| interface transition zone | ITZ |
| water–cement ratio | W/C |
| degree of hydration | α |
| diffusion coefficient | D |
| protective layer | PL |
| width of artificial cracks | wAC |
| depth | d |
References
- Wu, M.; Ma, H.F.; Shi, J.J. Enhanced corrosion resistance of reinforcing steels in simulated concrete pore solution with low molybdate to chloride ratios. Cem. Concr. Comp. 2020, 110, 103589. [Google Scholar] [CrossRef]
- Shafikhani, M.; Chidiac, S.E. A holistic model for cement paste and concrete chloride diffusion coefficient. Cem. Concr. Res. 2020, 133, 106049. [Google Scholar] [CrossRef]
- Wong, H.S.; Zhao, Y.X.; Karimi, A.R.; Buenfeld, N.R.; Jin, W.L. On the penetration of corrosion products from reinforcing steel into concrete due to chloride-induced corrosion. Corros. Sci. 2010, 52, 2469–2480. [Google Scholar] [CrossRef]
- Al-Sodani, K.A.A.; Al-Zahrani, M.M.; Maslehuddin, M.; Al-Amoudi, O.S.B.; Al-Dulaijin, S.U. Chloride diffusion models for Type I and fly ash cement concrete exposed to field and laboratory conditions. Mar. Struct. 2021, 76, 102900. [Google Scholar] [CrossRef]
- Al-Sodani, K.A.A.; Al-Zahrani, M.M.; Maslehuddin, M.; Al-Amoudi, O.S.B.; Al-Dulaijin, S.U. Chloride diffusion models for plain and blended cement concretes exposed to laboratory and atmospheric marine conditions. J. Mater. Res. Technol. 2022, 17, 125–138. [Google Scholar] [CrossRef]
- Tan, Y.; Zhu, Y.T.; Xiao, H.L. Evaluation of the hydraulic, physical, and mechanical properties of pervious concrete using iron tailings as coarse aggregates. Appl. Sci. 2020, 10, 2691. [Google Scholar] [CrossRef]
- Pivonka, P.; Hellmich, C.; Smith, D. Microscopic effects on chloride diffusivity of cement pastes—A scale-transition analysis. Cem. Concr. Res. 2004, 34, 2251–2260. [Google Scholar] [CrossRef]
- Jaffer, S.J.; Hansson, C.M. The influence of cracks on chloride-induced corrosion of steel in ordinary portland cement and high performance concretes subjected to different loading conditions. Corros. Sci. 2008, 50, 3343–3355. [Google Scholar] [CrossRef]
- Sun, G.W.; Zhang, Y.S.; Sun, W.; Liu, Z.Y.; Wang, C.H. Multi-scale prediction of the effective chloride diffusion coefficient of concrete. Constr. Build. Mater. 2011, 25, 3820–3831. [Google Scholar] [CrossRef]
- Wang, N.; Zhao, R.Q.; Zhang, L.; Guan, X.M. Molecular insight into the adsorption of chloride ions on calcium silicate hydrate gels: The effect of calcium to silicon ratio and sulfate ion. Microporous Mesoporous Mater. 2022, 345, 112248. [Google Scholar] [CrossRef]
- Zhang, W.L.; Francois, R.; Cai, Y.X.; Charron, J.P.; Yu, L.W. Influence of artificial cracks and interfacial defects on the corrosion behavior of steel in concrete during corrosion initiation under a chloride environment. Constr. Build. Mater. 2020, 253, 119165. [Google Scholar] [CrossRef]
- Berrocal, C.G.; Lofgren, L.; Lundgren, K.; Tang, L.P. Corrosion initiation in cracked fibre reinforced concrete: Influence of crack width, fibre type and loading conditions. Corros. Sci. 2015, 98, 128–139. [Google Scholar] [CrossRef]
- Naotunna, C.N.; Samarakoon, S.S.M.; Fossa, K.T. Experimental investigation of crack width variation along the concrete cover depth in reinforced concrete specimens with ribbed bars and smooth bars. Case Stud. Constr. Mater. 2021, 15, e00593. [Google Scholar] [CrossRef]
- Li, Y.; Chen, X.H.; Jin, L.; Zhang, R.B. Experimental and numerical study on chloride transmission in cracked concrete. Constr. Build. Mater. 2016, 127, 425–435. [Google Scholar] [CrossRef]
- Peng, J.X.; Hu, S.W.; Zhang, J.R.; Cai, C.S.; Li, L.Y. Influence of cracks on chloride diffusivity in concrete: A five-phase mesoscale model approach. Constr. Build. Mater. 2019, 197, 587–596. [Google Scholar] [CrossRef]
- Wu, C.; Li, W.B.; Shen, X.J. Study of the anti-penetration performance of concrete with different coarse aggregate content. Lat. Am. J. Solids Struct. 2018, 15, e99. [Google Scholar] [CrossRef]
- Tracz, T. Open porosity of cement pastes and their gas permeability. Bull. Pol. Acad. Sci. Tech. Sci. 2016, 64, 775–783. [Google Scholar] [CrossRef]
- Wang, Y.Z.; Liu, C.X.; Wang, Y.C.; Li, Q.M.; Liu, H. Time-and-Depth-Dependent Model of Chloride Diffusion Coefficient for Concrete Members Considering the Effect of Coarse Aggregate. J. Mater. Civ. Eng. 2018, 30, 04017302. [Google Scholar] [CrossRef]
- Wang, Y.Z.; Wu, L.J.; Wang, Y.C.; Liu, C.X.; Li, Q.M. Effects of coarse aggregates on chloride diffusion coefficients of concrete and interfacial transition zone under experimental drying-wetting cycles. Constr. Build. Mater. 2018, 185, 230–245. [Google Scholar] [CrossRef]
- Jiang, Z.L.; Qian, Z.W.; Gu, X.L.; Zhu, J.H.; Long, W.J.; Xing, F. Statistical analysis of chloride concentration distribution in concrete by a meso-scale model considering irregular shape aggregates. Constr. Build. Mater. 2022, 319, 126143. [Google Scholar] [CrossRef]
- Almusallam, A.A.; Khan, F.M.; Dulaijan, S.U.; Al-Amoudi, O.S.B. Effectiveness of surface coatings in improving concrete durability. Cem. Concr. Compos. 2003, 25, 473–481. [Google Scholar] [CrossRef]
- Spiesz, P.; Brouwers, H.J.H. Influence of the applied voltage on the Rapid Chloride Migration (RCM) test. Cem. Concr. Res. 2012, 42, 1072–1082. [Google Scholar] [CrossRef]
- Garboczi, E.J.; Bentz, D.P. Multiscale analytical/numerical theory of the diffusivity of concrete. Adv. Cem. Based Mater. 1998, 8, 77–88. [Google Scholar] [CrossRef]
- Abdelrahman, M.; Xi, Y.P. The effect of w/c ratio and aggregate volume fraction on chloride penetration in non-saturated concrete. Constr. Build. Mater. 2018, 191, 260–269. [Google Scholar] [CrossRef]
- Caporale, A.; Feo, L.; Luciano, R. Damage mechanics of cement concrete modeled as a four-phase composite. Compos. Part B Eng. 2014, 65, 124–130. [Google Scholar] [CrossRef]
- Seliverstov, V.V. Kinetic Fick’s Law and the Integral-Differential Method of Solving the Neutron Transport Equation. Sov. At. Energy 2016, 120, 153–164. [Google Scholar] [CrossRef]
- Giner, E.; Sukumar, N.; Tarancón, J.E.; Fuenmayor, F.J. An Abaqus implementation of the extended finite element method. Eng. Fract. Mech. 2009, 76, 347–368. [Google Scholar] [CrossRef]
- Lipnikov, K.; Manzini, G.; Shashkov, M. Mimetic finite difference method. J. Comput. Phys. 2014, 257, 1163–1227. [Google Scholar] [CrossRef]
- Li, Y.; Zhang, J.H.; Guan, Z.G.; Chen, Y.L. Experimental Study on the Correlation between Crack Width and Crack Depth of RC Beams. Materials 2021, 14, 5950. [Google Scholar] [CrossRef]
- Dai, J.P.; Wang, Q.C.; Lou, X.Y.; Bao, X.Y.; Zhang, B.; Wang, J.Q.; Zhang, X. Solution calorimetry to assess effects of water-cement ratio and low temperature on hydration heat of cement. Constr. Build. Mater. 2021, 269, 121222. [Google Scholar] [CrossRef]
- Wang, J.H.; Zhang, J.; Zhang, J.J. Cement Hydration Rate of Ordinarily and Internally Cured Concretes. J. Adv. Concr. Technol. 2018, 16, 306–316. [Google Scholar] [CrossRef]
- Zheng, J.J.; Zhou, X.Z. Analytical Solution for the Chloride Diffusivity of Hardened Cement Paste. J. Mater. Civ. Eng. 2008, 20, 384–391. [Google Scholar] [CrossRef]
- Oh, B.H.; Jang, S.Y. Prediction of diffusivity of concrete based on simple analytic equations. Cem. Concr. Res. 2004, 34, 463–480. [Google Scholar] [CrossRef]
- Yoon, I.S.; Schlangen, E. Experimental examination on chloride penetration through micro-crack in concrete. KSCE J. Civ. Eng. 2013, 18, 188–198. [Google Scholar] [CrossRef]
- Kato, Y.; Uomoto, T. Modeling of Effective Diffusion Coefficient of Substances in Concrete Considering Spatial Properties of Composite Materials. J. Adv. Concr. Technol. 2005, 3, 241–251. [Google Scholar] [CrossRef]
- Audenaert, K.; De Schutter, G.; Marsavina, L. Influence of cracks and crack width on penetration depth of chlorides in concrete. Eur. J. Environ. Civ. Eng. 2009, 13, 561–572. [Google Scholar] [CrossRef]
- Şahmaran, M. Effect of flexure induced transverse crack and self-healing on chloride diffusivity of reinforced mortar. J. Mater. Sci. 2007, 42, 9131–9136. [Google Scholar] [CrossRef]
- Jang, S.Y.; Kim, B.S.; Oh, B.H. Effect of crack width on chloride diffusion coefficients of concrete by steady-state migration tests. Cem. Concr. Res. 2011, 41, 9–19. [Google Scholar] [CrossRef]
- Yao, L.; Ren, L.X.; Gong, G.L.; Zhang, J.Q. Simulation of Chloride Diffusion in Concrete Based on a New Mesoscopic Numerical Method. Adv. Civ. Eng. 2020, 2020, 5318106. [Google Scholar] [CrossRef]
- Bourdette, B.; Ringot, E.; Ollivier, J.P. Modelling of the transition zone porosity. Cem. Concr. Res. 1995, 25, 741–751. [Google Scholar] [CrossRef]
- Ping, X.; Beaudoin, J.J.; Brousseau, R. Flat aggregate-portland cement paste interfaces, I. Electrical conductivity models. Cem. Concr. Res. 1991, 21, 515–522. [Google Scholar] [CrossRef]
- Wang, K.J.; Jansen, D.C.; Shah, S.P. Permeability study of cracked concrete. Cem. Concr. Res. 1997, 27, 381–393. [Google Scholar] [CrossRef]
- Aldea, C.M.; Shah, S.P.; ASCE, M.; Karr, A. Effect of Cracking on Water and Chloride Permeability of Concrete. J. Mater. Civ. Eng. 1999, 11, 181–187. [Google Scholar] [CrossRef]
- Kim, Y.Y.; Lee, K.-M.; Bang, J.-W.; Kwon, S.-J. Effect of W/C Ratio on Durability and Porosity in Cement Mortar with Constant Cement Amount. Adv. Mater. Sci. Eng. 2014, 2014, 273460. [Google Scholar] [CrossRef]
- Lian, S.S.; Ruan, S.Q.; Zhan, S.L.; Unluer, C.; Meng, T.; Qian, K.L. Unlocking the role of pores in chloride permeability of recycled concrete: A multiscale and a statistical investigation. Cem. Concr. Compos. 2021, 125, 104320. [Google Scholar] [CrossRef]
- Zhang, Y.; Zhang, M.Z.; Ye, G. Influence of moisture condition on chloride diffusion in partially saturated ordinary Portland cement mortar. Mater. Struct. 2018, 51, 36. [Google Scholar] [CrossRef]
- Li, L.Y.; Xia, J.; Lin, S.-S. A multi-phase model for predicting the effective diffusion coefficient of chlorides in concrete. Constr. Build. Mater. 2012, 26, 295–301. [Google Scholar] [CrossRef]
- Kamaitis, Z. Modelling of corrosion protection for reinforced concrete structures with surface coatings. J. Civ. Eng. Manag. 2008, 14, 241–249. [Google Scholar] [CrossRef]
- Schueremans, L.; Van Gemert, D.; Giessler, S. Chloride penetration in RC-structures in marine environment—Long term assessment of a preventive hydrophobic treatment. Constr. Build. Mater. 2006, 21, 1238–1249. [Google Scholar] [CrossRef]
- Wang, T.; Zheng, J.J.; Dai, J.G. Analysis of time-dependent chloride diffusion in surface-treated concrete based on a rapid numerical approach. Struct. Infrastruct. Eng. 2021, 19, 332–344. [Google Scholar] [CrossRef]








| * ACs | wAC (µm) | dAC (mm) | wDZ (mm) | dDZ (mm) | DAC (×10−10, m2/s) |
|---|---|---|---|---|---|
| a | 49.0 | 28.1 | 0 | 0 | 6.38 |
| b | 102.9 | 36.6 | 1.54 | 42.1 | 12.5 |
| c | 210.7 | 47.3 | 3.16 | 54.4 | 22.2 |
| d | 392 | 75.4 | 5.88 | 86.7 | 22.2 |
| W/C | 0.3 | 0.4 | 0.5 | 0.6 | ||||||||
| α | 0.8 | 0.85 | 0.9 | 0.8 | 0.85 | 0.9 | 0.8 | 0.85 | 0.9 | 0.8 | 0.85 | 0.9 |
| Parameters | ||||||||||||
| DCP | 0.86 | 0.71 | 0.58 | 2.98 | 2.61 | 2.28 | 6.59 | 5.95 | 5.37 | 11.46 | 10.57 | 9.73 |
| * dCl− | 38.5 | 38.5 | 38.5 | 40 | 40 | 40 | 42.6 | 42.3 | 42 | 44.5 | 44.1 | 43.7 |
| ** dCl− | 7 | 6.3 | 5.7 | 12.7 | 12 | 11.4 | 18.2 | 17.3 | 16.2 | 23.1 | 22 | 21.3 |
Disclaimer/Publisher’s Note: The statements, opinions and data contained in all publications are solely those of the individual author(s) and contributor(s) and not of MDPI and/or the editor(s). MDPI and/or the editor(s) disclaim responsibility for any injury to people or property resulting from any ideas, methods, instructions or products referred to in the content. |
© 2023 by the authors. Licensee MDPI, Basel, Switzerland. This article is an open access article distributed under the terms and conditions of the Creative Commons Attribution (CC BY) license (https://creativecommons.org/licenses/by/4.0/).
Share and Cite
Zhao, R.; Wang, M.; Guan, X. Exploring Exact Effects of Various Factors on Chloride Diffusion in Cracked Concrete: ABAQUS-Based Mesoscale Simulations. Materials 2023, 16, 2830. https://doi.org/10.3390/ma16072830
Zhao R, Wang M, Guan X. Exploring Exact Effects of Various Factors on Chloride Diffusion in Cracked Concrete: ABAQUS-Based Mesoscale Simulations. Materials. 2023; 16(7):2830. https://doi.org/10.3390/ma16072830
Chicago/Turabian StyleZhao, Ruiqi, Mengli Wang, and Xuemao Guan. 2023. "Exploring Exact Effects of Various Factors on Chloride Diffusion in Cracked Concrete: ABAQUS-Based Mesoscale Simulations" Materials 16, no. 7: 2830. https://doi.org/10.3390/ma16072830
APA StyleZhao, R., Wang, M., & Guan, X. (2023). Exploring Exact Effects of Various Factors on Chloride Diffusion in Cracked Concrete: ABAQUS-Based Mesoscale Simulations. Materials, 16(7), 2830. https://doi.org/10.3390/ma16072830
