Laser-Assisted Robotic Roller Forming of Ultrahigh-Strength Steel QP1180 with High Precision
Abstract
:1. Introduction
2. Materials and Methods
2.1. Laser-Assisted Robotic Roller Forming Experiments
2.2. Thermo-Mechanical Finite Element Model
3. Results
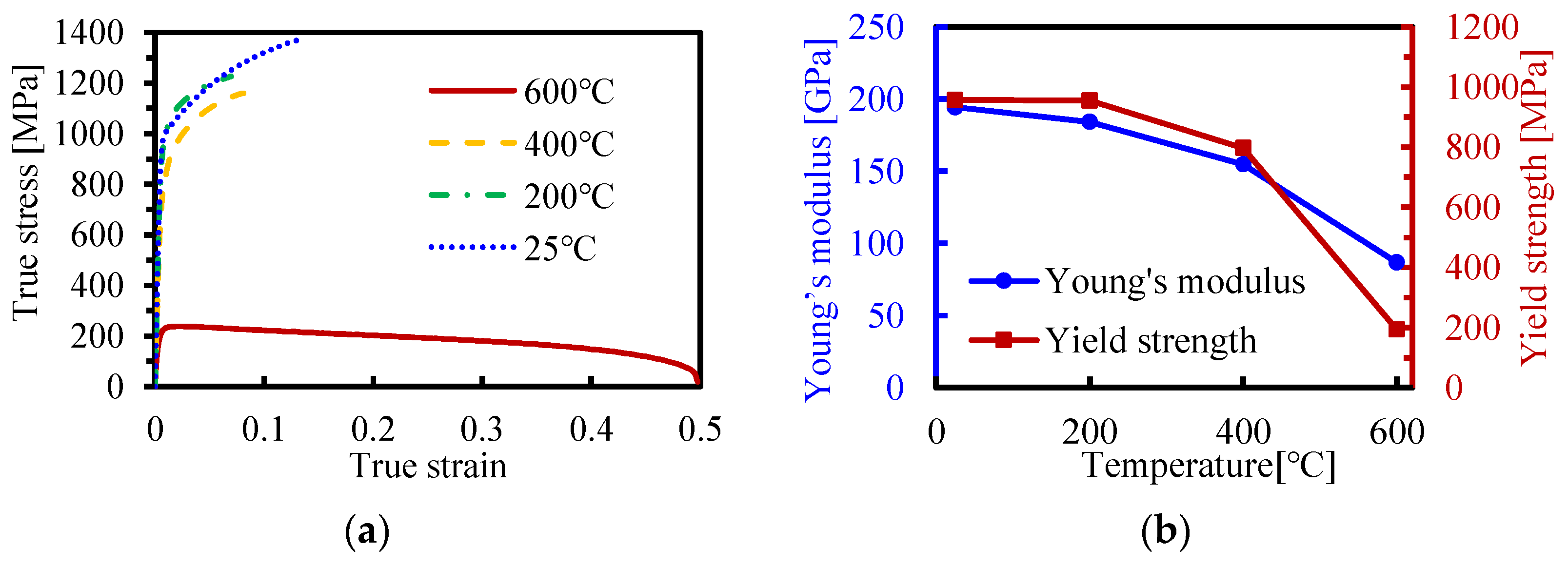
3.1. Experimental Results
3.2. Finite Element Simulation Results
4. Discussion
4.1. Decrease of Bending Forces
4.2. Reduction in Springback
4.3. Formation Mechanism of Sharp Bending Radius
5. Conclusions
- (1)
- Bending forces, springback angle, and bending radius in LRRF can be reduced simultaneously with higher laser power density, whereas an optimized parameter of forming at a laser power density of 10 J/mm2 is recommended since the improvement is limited with the continuous increase of laser energy.
- (2)
- The decrease in bending force can be attributed to a lower yield strength. The occurrence of austenitization and subsequent deformation before martensitic transformation also play a significant part in reducing bending forces.
- (3)
- The mechanism of forming at higher temperatures and unloading at lower temperatures is beneficial for reducing springback.
- (4)
- Localized deformation is more likely to happen with partial laser heating thanks to the mechanical properties induced by temperature gradients, promoting the formation of small bending radius.
Author Contributions
Funding
Institutional Review Board Statement
Informed Consent Statement
Data Availability Statement
Acknowledgments
Conflicts of Interest
References
- Zhang, X.; Zhang, H.; Ren, W. Bending collapse of folded tubes. Int. J. Mech. Sci. 2016, 117, 67–78. [Google Scholar] [CrossRef]
- Mäntyjärvi, K.; Keskitalo, M.; Karjalainen, J.A.; Leiviskä, A.; Heikkala, J.; Mäkikangas, J. Laser-assisted bending. Key Eng. Mater. 2007, 344, 235–241. [Google Scholar] [CrossRef]
- Liu, Z.; Hou, Y.; He, R.; Ye, Y.; Niu, C.; Min, J. Machine learning for extending capability of mechanical characterization to improve springback prediction of a quenching and partitioning steel. J. Mater. Process. Technol. 2022, 308, 117737. [Google Scholar] [CrossRef]
- Liu, Y.; Min, J.; Zhang, J.; Cai, W.; Carlson, B.E.; Bobel, A.C.; Hector, L.G.; Sachdev, A.K. Laser-assisted robotic roller forming of an ultrahigh strength martensitic steel. J. Manuf. Process. 2022, 82, 192–202. [Google Scholar] [CrossRef]
- Troive, L.; Ingvarsson, L. Roll forming and the benefits of ultrahigh strength steel. Ironmak. Steelmak. 2008, 35, 251–253. [Google Scholar] [CrossRef]
- Han, F.; Wang, Y.; Wang, Z.L. Mechanical bending property of ultra-high strength steel sheets in roll forming process. Int. J. Precis. Eng. Manuf. 2018, 19, 1885–1893. [Google Scholar] [CrossRef]
- Liu, Z. Heat-assisted incremental sheet forming: A state-of-the-art review. Int. J. Adv. Manuf. Technol. 2018, 98, 2987–3003. [Google Scholar] [CrossRef]
- Trzepieciński, T.; Oleksik, V.; Pepelnjak, T.; Najm, S.M.; Paniti, I.; Maji, K. Emerging trends in single point incremental sheet forming of lightweight metals. Metals 2021, 11, 1188. [Google Scholar] [CrossRef]
- Li, W.; Attallah, M.M.; Essa, K. Experimental and numerical investigations on the process quality and microstructure during induction heating assisted incremental forming of Ti-6Al-4V sheet. J. Mater. Process. Technol. 2022, 299, 117323. [Google Scholar] [CrossRef]
- Xiao, A.; Huang, C.; Yan, Z.; Cui, X.; Wang, S. Improved forming capability of 7075 aluminum alloy using electrically assisted electromagnetic forming. Mater. Charact. 2022, 183, 111615. [Google Scholar] [CrossRef]
- Safari, M.; Alves de Sousa, R.; Joudaki, J. Recent advances in the laser forming process: A review. Metals 2020, 10, 1472. [Google Scholar] [CrossRef]
- Mohammadi, A.; Qin, L.; Vanhove, H.; Seefeldt, M.; Van Bael, A.; Duflou, J.R. Single point incremental forming of an aged AL-Cu-Mg alloy: Influence of pre-heat treatment and warm forming. J. Mater. Eng. Perform. 2016, 25, 2478–2488. [Google Scholar] [CrossRef]
- Liverani, E.; Ascari, A.; Fortunato, A.; Lutey, A. Laser assisted cold bending of high strength steels. In Proceedings of the ASME 2014 International Manufacturing Science and Engineering Conference, Detroit, MI, USA, 9–13 June 2014. [Google Scholar]
- Gisario, A.; Barletta, M.; Venettacci, S. Improvements in springback control by external force laser-assisted sheet bending of titanium and aluminum alloys. Opt. Laser Technol. 2016, 86, 46–53. [Google Scholar] [CrossRef]
- Kant, R.; Gurung, H.; Sarma, U.; Joshi, S.H. Development and analysis of laser-assisted bending with moving pre-displacement load. Lasers Eng. 2021, 49, 21–47. [Google Scholar]
- Guo, Y.; Shi, Y.; Wang, X.; Li, X.; Chen, T. Angle analysis model of pressure-assisted laser forming and high-precision method. Opt. Laser Technol. 2021, 142, 107216. [Google Scholar] [CrossRef]
- Guo, J.; Li, W.; Wan, M.; Zhao, Y.; Li, C. Design of an innovative laser-assisted four-point bending forming process for high-stiffened structure of aluminum alloy. Opt. Laser Technol. 2021, 143, 107313. [Google Scholar] [CrossRef]
- Ponticelli, G.S.; Guarino, S.; Giannini, O. A fuzzy logic-based model in laser-assisted bending springback control. Int. J. Adv. Manuf. Technol. 2018, 95, 3887–3898. [Google Scholar] [CrossRef]
- Hou, Y.; Min, J.; Guo, N.; Shen, Y.; Lin, J. Evolving asymmetric yield surfaces of quenching and partitioning steels: Characterization and modeling. J. Mater. Process. Technol. 2021, 290, 116979. [Google Scholar] [CrossRef]
- Liu, Y.; Min, J.; Lin, J. Robotic roller forming process and strategies to eliminate geometrical defect of edge waves. In Forming the Future: Proceedings of the 13th International Conference on the Technology of Plasticity; Springer: Cham, Switzerland, 2021; pp. 479–491. [Google Scholar]
- Wang, X.; Wu, Y.; Pan, H.; Yao, C.; Huang, J. Microstructure and softening of advanced high-strength steel QP1180 lap joints welded with CMT. Mater. Lett. 2021, 287, 129282. [Google Scholar] [CrossRef]
- Min, J.; Hector, L.G.; Zhang, L.; Sun, L.; Carsley, J.E.; Lin, J. Plastic instability at elevated temperatures in a TRIP-assisted steel. Mater. Des. 2016, 95, 370–386. [Google Scholar] [CrossRef]
- Coryell, J.; Savic, V.; Hector, L.; Mishra, S. Temperature effects on the deformation and fracture of a quenched-and-partitioned steel. Soc. Automot. Eng. 2013, 2013-01-0610. [Google Scholar]
- Liu, Y.; Wang, J.; Cai, W.; Carlson, B.E.; Lian, J.; Min, J. A thermo-metallurgical-mechanical model for microstructure evolution in laser-assisted robotic roller forming of ultrahigh strength martensitic steel. J. Mater. Res. Technol. 2023. submitted. [Google Scholar]













| Laser Power Density | Laser Power | Laser Scanning Speed | Laser Spot Size | Forming Angle |
|---|---|---|---|---|
| 0 J/mm2 | N/A | 30 mm/s | 4 mm × 2 mm | 15° × 6 passes |
| 5 J/mm2 | 600 W | |||
| 7.5 J/mm2 | 900 W | |||
| 10 J/mm2 | 1200 W | |||
| 12.5 J/mm2 | 1500 W |
Disclaimer/Publisher’s Note: The statements, opinions and data contained in all publications are solely those of the individual author(s) and contributor(s) and not of MDPI and/or the editor(s). MDPI and/or the editor(s) disclaim responsibility for any injury to people or property resulting from any ideas, methods, instructions or products referred to in the content. |
© 2023 by the authors. Licensee MDPI, Basel, Switzerland. This article is an open access article distributed under the terms and conditions of the Creative Commons Attribution (CC BY) license (https://creativecommons.org/licenses/by/4.0/).
Share and Cite
Min, J.; Wang, J.; Lian, J.; Liu, Y.; Hou, Z. Laser-Assisted Robotic Roller Forming of Ultrahigh-Strength Steel QP1180 with High Precision. Materials 2023, 16, 1026. https://doi.org/10.3390/ma16031026
Min J, Wang J, Lian J, Liu Y, Hou Z. Laser-Assisted Robotic Roller Forming of Ultrahigh-Strength Steel QP1180 with High Precision. Materials. 2023; 16(3):1026. https://doi.org/10.3390/ma16031026
Chicago/Turabian StyleMin, Junying, Jincheng Wang, Junhe Lian, Yi Liu, and Zeran Hou. 2023. "Laser-Assisted Robotic Roller Forming of Ultrahigh-Strength Steel QP1180 with High Precision" Materials 16, no. 3: 1026. https://doi.org/10.3390/ma16031026
APA StyleMin, J., Wang, J., Lian, J., Liu, Y., & Hou, Z. (2023). Laser-Assisted Robotic Roller Forming of Ultrahigh-Strength Steel QP1180 with High Precision. Materials, 16(3), 1026. https://doi.org/10.3390/ma16031026

