Effect of Digestate Modified with Amendments on Soil Health and Plant Biomass under Varying Experimental Durations
Abstract
1. Introduction
- i.
- The digestate enrichment with elemental sulphur or/and biochar enhances nutrient transformation (organic carbon and elemental sulphur oxidation) gradually. Therefore, joint significant pH changes, plant biomass increase, and higher indicators of microbial activity (enzymes) in the soil are comparable or more markable in themain cultivation (compared to the pre-cultivation).
- ii.
- The biochar enhances the effect of the sulphur amendment and, when applied exclusively, could reduce soil acidity or retard nitrification (and reduce urease activity) over the long term.
2. Materials and Methods
2.1. Procurement of Materials for Preparation of Experimental Digestate and Pot Experiment
2.2. Determination of Soil and Plant Properties
2.3. Statistical Analyses
3. Results
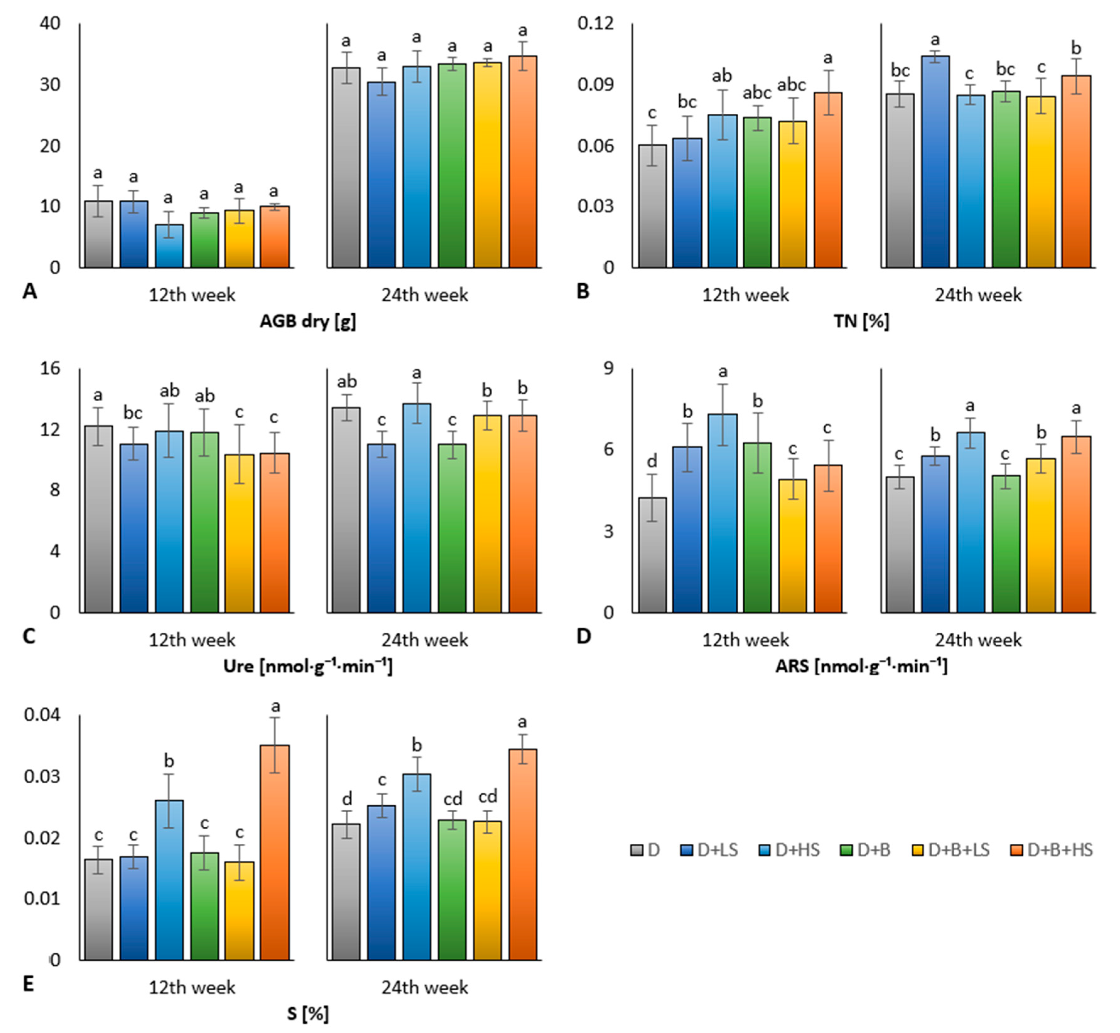
3.1. Aboveground Biomass Yield, Soil Nitrogen and Sulphur Content
3.2. Enzymes, Soil Carbon Content, and pH
4. Discussion
4.1. Aboveground Biomass Yield, Soil Nitrogen and Sulphur Content
4.2. Enzymes, Soil Carbon Content, and pH
5. Conclusions
Author Contributions
Funding
Institutional Review Board Statement
Informed Consent Statement
Data Availability Statement
Conflicts of Interest
Appendix A


References
- Karpenstein-Machan, M. Sustainable cultivation concepts for domestic energy production from biomass. Crit. Rev. Plant Sci. 2001, 20, 1–14. [Google Scholar] [CrossRef]
- Arthurson, V. Closing the Global Energy and Nutrient Cycles through Application of Biogas Residue to Agricultural Land–Potential Benefits and Drawback. Energies 2009, 2, 226–242. [Google Scholar] [CrossRef]
- Clemens, J.; Trimborn, M.; Weiland, P.; Amon, B. Mitigation of greenhouse gas emissions by anaerobic digestion of cattle slurry. Agric. Ecosyst. Environ. 2006, 112, 171–177. [Google Scholar] [CrossRef]
- Hjelmar, O. Disposal strategies for municipal solid waste incineration residues. J. Hazard. Mater. 1996, 47, 345–368. [Google Scholar] [CrossRef]
- Börjesson, G.; Samuelsson, J.; Chanton, J.; Adolfsson, R.; Galle, B.; Svensson, B.H. A national landfill methane budget for Sweden based on field measurements, and an evaluation of IPCC models. Tellus B Chem. Phys. Meteorol. 2009, 61, 424–435. [Google Scholar] [CrossRef]
- Båth, B.; Rämert, B. Organic Household Wastes as a Nitrogen Source in Leek Production. Acta Agric. Scand. Sect. B Soil Plant Sci. 1999, 49, 201–208. [Google Scholar] [CrossRef]
- Nyberg, K.; Sundh, I.; Johansson, M.; Schnürer, A. Presence of potential ammonia oxidation (PAO) inhibiting substances in anaerobic digestion residues. Appl. Soil Ecol. 2004, 26, 107–112. [Google Scholar] [CrossRef]
- Rivard, C.J.; Rodriguez, J.B.; Nagle, N.J.; Self, J.R.; Kay, B.D.; Soltanpour, P.N.; Nieves, R.A. Anaerobic digestion of municipal solid waste. Appl. Biochem. Biotechnol. 1995, 51–52, 125–135. [Google Scholar] [CrossRef]
- Wang, Y.; Shen, F.; Liu, R.; Wu, L. Effects of anaerobic fermentation residue of biogas production on the yield and quality of Chinese cabbage and nutrient accumulations in soil. Int. J. Glob. Energy Issues 2008, 29, 284. [Google Scholar] [CrossRef]
- Adediran, J.A.; De Baets, N.; Mnkeni, P.N.S.; Kiekens, L.; Muyima, N.Y.O.; Thys, A. Organic Waste Materials for Soil Fertility Improvement in the Border Region of the Eastern Cape, South Africa. Biol. Agric. Hortic. 2003, 20, 283–300. [Google Scholar] [CrossRef]
- Gryń, G.; Paluszak, Z.; Olszewska, H.; Keutgen, A.J. Chemical and microbiological properties of luvisol after addition of post-fermentation residue. J. Elem. 2019, 25, 701–716. [Google Scholar] [CrossRef]
- Wang, L. Anaerobic Digestion of Organic Wastes; CRC Press: Boca Raton, FL, USA, 2014; pp. 415–430. [Google Scholar]
- Davis, J.; Haglund, C. Life Cycle Inventory (LCI) of Fertiliser Production: Fertiliser Products Used in Sweden and Western Europe; SIK Institutet för livsmedel och bioteknik: Göteborg, Sweden, 1999. [Google Scholar]
- Patyk, A. Balance of energy consumption and emissions of fertilizer production and supply. In Proceedings of the Reprints from the International Conference of Life Cycle Assessment in Agriculture, Food and Non-Food Agro-Industry and Forestry: Achievements and Prospects, Brussels, Belgium, 4–5 April 1996; pp. 4–5. [Google Scholar]
- Kongshaug, G. Energy Consumption and Greenhouse Gas Emissions in Fertilizer Production. In Proceedings of the Interna-tional Fertilizer Industry Association IFA Technical Conference, Marrakech, Morocco, 28 September–1 October 1998; p. 18. [Google Scholar]
- Pawlett, M.; Owen, A.; Tibbett, M. Amenity grassland quality following anaerobic digestate application. Grassl. Sci. 2018, 64, 185–189. [Google Scholar] [CrossRef]
- Makádi, M.; Tomócsik, A.; Orosz, V. Digestate: A new nutrient source–review. Biogas 2012, 14, 295–312. [Google Scholar]
- Johansen, A.; Carter, M.S.; Jensen, E.S.; Hauggard-Nielsen, H.; Ambus, P. Effects of digestate from anaerobically digested cattle slurry and plant materials on soil microbial community and emission of CO2 and N2O. Appl. Soil Ecol. 2013, 63, 36–44. [Google Scholar] [CrossRef]
- Barłóg, P.; Hlisnikovský, L.; Kunzová, E. Effect of Digestate on Soil Organic Carbon and Plant-Available Nutrient Content Compared to Cattle Slurry and Mineral Fertilization. Agronomy 2020, 10, 379. [Google Scholar] [CrossRef]
- Slepetiene, A.; Kochiieru, M.; Jurgutis, L.; Mankeviciene, A.; Skersiene, A.; Belova, O. The Effect of Anaerobic Digestate on the Soil Organic Carbon and Humified Carbon Fractions in Different Land-Use Systems in Lithuania. Land 2022, 11, 133. [Google Scholar] [CrossRef]
- Chen, R.; Blagodatskaya, E.; Senbayram, M.; Blagodatsky, S.; Myachina, O.; Dittert, K.; Kuzyakov, Y. Decomposition of biogas residues in soil and their effects on microbial growth kinetics and enzyme activities. Biomass Bioenergy 2012, 45, 221–229. [Google Scholar] [CrossRef]
- Stumpe, B.; Werner, S.; Jung, R.; Heinze, S.; Jüschke, E.; Strippel, C.; Marschner, B. Organic carbon dynamics and enzyme activities in agricultural soils amended with biogas slurry, liquid manure and sewage sludge. Agric. Sci. 2012, 03, 104–113. [Google Scholar] [CrossRef]
- Thomsen, I.K.; Olesen, J.E.; Møller, H.B.; Sørensen, P.; Christensen, B.T. Carbon dynamics and retention in soil after anaerobic digestion of dairy cattle feed and faeces. Soil Biol. Biochem. 2013, 58, 82–87. [Google Scholar] [CrossRef]
- Spagnolo, S.; Tinello, A.; Cavinato, C.; Zabeo, A.; Semenzin, E. Sustainability assessment of two digestate treatments: A comparative life cycle assessment. Environ. Eng. Manag. J. 2019, 18, 2193–2202. [Google Scholar]
- Möller, K.; Stinner, W. Effects of different manuring systems with and without biogas digestion on soil mineral nitrogen content and on gaseous nitrogen losses (ammonia, nitrous oxides). Eur. J. Agron. 2009, 30, 1–16. [Google Scholar] [CrossRef]
- Yaseen, M.; Ahmad, A.; Naveed, M.; Ali, M.A.; Shah, S.S.H.; Hasnain, M.; Ali, H.M.; Siddiqui, M.H.; Salem, M.Z.M.; Mustafa, A. Subsurface-Applied Coated Nitrogen Fertilizer Enhanced Wheat Production by Improving Nutrient-Use Efficiency with Less Ammonia Volatilization. Agronomy 2021, 11, 2396. [Google Scholar] [CrossRef]
- Martin, S.L.; Clarke, M.L.; Othman, M.; Ramsden, S.J.; West, H.M. Biochar-mediated reductions in greenhouse gas emissions from soil amended with anaerobic digestates. Biomass Bioenergy 2015, 79, 39–49. [Google Scholar] [CrossRef]
- Dicke, C.; Andert, J.; Ammon, C.; Kern, J.; Meyer-Aurich, A.; Kaupenjohann, M. Effects of different biochars and digestate on N2O fluxes under field conditions. Sci. Total. Environ. 2015, 524, 310–318. [Google Scholar] [CrossRef] [PubMed]
- Zhang, B.; Yin, R.; Wei, Q.; Qin, S.; Peng, Y.; Zhang, B. Effects of Combined Applications of Biogas Slurry and Biochar on Phosphorus Leaching and Fractionations in Lateritic Soil. Sustainability 2022, 14, 7924. [Google Scholar] [CrossRef]
- Elbashier, M.M.A.; Xiaohou, S.; Ali, A.A.S.; Mohmmed, A. Effect of Digestate and Biochar Amendments on Photosynthesis Rate, Growth Parameters, Water Use Efficiency and Yield of Chinese Melon (Cucumis melo L.) under Saline Irrigation. Agronomy 2018, 8, 22. [Google Scholar] [CrossRef]
- Atkinson, C.J.; Fitzgerald, J.D.; Hipps, N.A. Potential mechanisms for achieving agricultural benefits from biochar application to temperate soils: A review. Plant Soil 2010, 337, 1–18. [Google Scholar] [CrossRef]
- Mousavi, S.M.; Srivastava, A.K.; Cheraghi, M. Soil health and crop response of biochar: An updated analysis. Arch. Agron. Soil Sci. 2022, 1–26. [Google Scholar] [CrossRef]
- Wang, J.; Xiong, Z.; Kuzyakov, Y. Biochar stability in soil: Meta-analysis of decomposition and priming effects. GCB Bioenergy 2015, 8, 512–523. [Google Scholar] [CrossRef]
- Liao, N.; Li, Q.; Zhang, W.; Zhou, G.; Ma, L.; Min, W.; Ye, J.; Hou, Z. Effects of biochar on soil microbial community composition and activity in drip-irrigated desert soil. Eur. J. Soil Biol. 2016, 72, 27–34. [Google Scholar] [CrossRef]
- Brtnicky, M.; Hammerschmiedt, T.; Elbl, J.; Kintl, A.; Skulcova, L.; Radziemska, M.; Latal, O.; Baltazar, T.; Kobzova, E.; Holatko, J. The Potential of Biochar Made from Agricultural Residues to Increase Soil Fertility and Microbial Activity: Impacts on Soils with Varying Sand Content. Agronomy 2021, 11, 1174. [Google Scholar] [CrossRef]
- Peng, Y.; Sun, Y.; Fan, B.; Zhang, S.; Bolan, N.S.; Chen, Q.; Tsang, D.C. Fe/Al (hydr)oxides engineered biochar for reducing phosphorus leaching from a fertile calcareous soil. J. Clean. Prod. 2021, 279, 123877. [Google Scholar] [CrossRef]
- Peng, Y.; Zhang, B.; Guan, C.-Y.; Jiang, X.; Tan, J.; Li, X. Identifying biotic and abiotic processes of reversing biochar-induced soil phosphorus leaching through biochar modification with MgAl layered (hydr)oxides. Sci. Total. Environ. 2022, 843, 157037. [Google Scholar] [CrossRef] [PubMed]
- Scherer, H.W. Sulfur in soils. J. Plant Nutr. Soil Sci. 2009, 172, 326–335. [Google Scholar] [CrossRef]
- Yang, Z.; Haneklaus, S.; Singh, B.R.; Schnug, E. Effect of Repeated Applications of Elemental Sulfur on Microbial Population, Sulfate Concentration, and pH in Soils. Commun. Soil Sci. Plant Anal. 2007, 39, 124–140. [Google Scholar] [CrossRef]
- Malik, K.M.; Khan, K.S.; Billah, M.; Akhtar, M.S.; Rukh, S.; Alam, S.; Munir, A.; Aulakh, A.M.; Rahim, M.; Qaisrani, M.M.; et al. Organic Amendments and Elemental Sulfur Stimulate Microbial Biomass and Sulfur Oxidation in Alkaline Subtropical Soils. Agronomy 2021, 11, 2514. [Google Scholar] [CrossRef]
- Bouranis, D.L.; Venieraki, A.; Chorianopoulou, S.N.; Katinakis, P. Impact of Elemental Sulfur on the Rhizospheric Bacteria of Durum Wheat Crop Cultivated on a Calcareous Soil. Plants 2019, 8, 379. [Google Scholar] [CrossRef]
- Hu, Z.Y.; Zhao, F.-J.; McGrath, S.P. Sulphur fractionation in calcareous soils and bioavailability to plants. Plant Soil 2005, 268, 103–109. [Google Scholar] [CrossRef]
- Wainwright, M.; Nevell, W.; Grayston, S.J. Effects of organic matter on sulphur oxidation in soil and influence of sulphur oxidation on soil nitrification. Plant Soil 1986, 96, 369–376. [Google Scholar] [CrossRef]
- Morales-Polo, C.; del Mar Cledera-Castro, M.; Soria, B.Y.M. Reviewing the Anaerobic Digestion of Food Waste: From Waste Generation and Anaerobic Process to Its Perspectives. Appl. Sci. 2018, 8, 1804–1838. [Google Scholar] [CrossRef]
- ISO 15476:2009; Fertilizers-Determination of Nitric and Ammoniacal Nitrogen according to Devarda. International Organization for Standardization: Geneva, Switzerland, 2009.
- ISO 15178:2000; Soil Quality—Determination of Total Sulfur by Dry Combustion. International Organization for Standardi-zation: Geneva, Switzerland, 2000.
- Rotthauwe, J.H.; Witzel, K.P.; Liesack, W. The ammonia monooxygenase structural gene amoA as a functional marker: Molecular fine-scale analysis of natural ammonia-oxidizing populations. Appl. Environ. Microbiol. 1997, 63, 4704–4712. [Google Scholar] [CrossRef]
- Ben-Dov, E.; Brenner, A.; Kushmaro, A. Quantification of Sulfate-reducing Bacteria in Industrial Wastewater, by Real-time Polymerase Chain Reaction (PCR) Using dsrA and apsA Genes. Microb. Ecol. 2007, 54, 439–451. [Google Scholar] [CrossRef] [PubMed]
- Kandeler, E.; Deiglmayr, K.; Tscherko, D.; Bru, D.; Philippot, L. Abundance of narG, nirS, nirK, and nosZ Genes of Denitrifying Bacteria during Primary Successions of a Glacier Foreland. Appl. Environ. Microbiol. 2006, 72, 5957–5962. [Google Scholar] [CrossRef] [PubMed]
- Amann, R.I.; Ludwig, W.; Schleifer, K.H. Phylogenetic identification and in situ detection of individual microbial cells without cultivation. Microbiol. Rev. 1995, 59, 143–169. [Google Scholar] [CrossRef] [PubMed]
- Hammerschmiedt, T.; Holatko, J.; Sudoma, M.; Kintl, A.; Vopravil, J.; Ryant, P.; Skarpa, P.; Radziemska, M.; Latal, O.; Brtnicky, M. Biochar and Sulphur Enriched Digestate: Utilization of Agriculture Associated Waste Products for Improved Soil Carbon and Nitrogen Content, Microbial Activity, and Plant Growth. Agronomy 2021, 11, 2041. [Google Scholar] [CrossRef]
- ISO 10390: 2005; Soil Quality-Determination of pH. International Organization for Standardization: Geneva, Switzerland, 2005.
- ISO 20130:2018; Soil Quality—Measurement of Enzyme Activity Patterns in Soil Samples Using Colorimetric Substrates in Micro-Well Plates. International Organization for Standardization: Geneva, Switzerland, 2018.
- R Core Team. R: A Language and Environment for Statistical Computing; R Foundation for Statistical Computing: Vienna, Austria, 2020. [Google Scholar]
- Hinkle, D.E.; Wiersma, W.; Jurs, S.G. Applied Statistics for the Behavioral Sciences, 5th ed.; Houghton Mifflin College Division: Boston, MA, USA, 2003. [Google Scholar]
- Karimi, M.; Aminuddin; Yusop, M.; Radziah, M. Effect of Elemental Sulphur Timing and Application Rates on Soil P Release and Concentration in Maize. J. Trop. Agric. Sci. 2016, 39, 235–248. [Google Scholar]
- Kulczycki, G. The effect of elemental sulfur fertilization on plant yields and soil properties. Adv. Agron. 2021, 167, 105–181. [Google Scholar] [CrossRef]
- Rezaee, M.; Gitipour, S.; Sarrafzadeh, M.H. Evaluation of phosphate and ammonium adsorption-desorption of slow pyrolyzed wood biochar. Environ. Eng. Manag. J. 2021, 20, 217–227. [Google Scholar] [CrossRef]
- Wang, B.; Lehmann, J.; Hanley, K.; Hestrin, R.; Enders, A. Adsorption and desorption of ammonium by maple wood biochar as a function of oxidation and pH. Chemosphere 2015, 138, 120–126. [Google Scholar] [CrossRef]
- Soaud, A.A.; Saleh, M.E.; El-Tarabily, K.A.; Sofian-Azirun, M.; Rahman, M.M. Effect of elemental sulfur application on am-monia volatilization from surface applied urea fertilizer to calcareous sandy soils. Aust. J. Crop. Sci. 2011, 5, 611–619. [Google Scholar]
- Gupta, V.V.S.R.; Lawrence, J.R.; Germida, J.J. Impact of elemental sulfur fertilization on agricultural soils. I. Effects on microbial biomass and enzyme activities. Can. J. Soil Sci. 1988, 68, 463–473. [Google Scholar] [CrossRef]
- McCarty, G.W.; Bremner, J.M.; Krogmeier, M.J. Evaluation of ammonium thiosulfate as a soil urease inhibitor. Fertil. Res. 1990, 24, 135–139. [Google Scholar] [CrossRef]
- Suzuki, I.; Lee, D.; Mackay, B.; Harahuc, L.; Oh, J.K. Effect of Various Ions, pH, and Osmotic Pressure on Oxidation of Elemental Sulfur by Thiobacillus thiooxidans. Appl. Environ. Microbiol. 1999, 65, 5163–5168. [Google Scholar] [CrossRef] [PubMed]
- Akhtar, M.S.; Babel, S.; Yadav, B.K.; Yadav, R.S.; Panwar, J. Potentiality of Thiobacillus in Agricultural System. Adv. Sci. Eng. Med. 2012, 4, 77–80. [Google Scholar] [CrossRef]
- Xu, X.; Cao, X.; Zhao, L.; Sun, T. Comparison of sewage sludge- and pig manure-derived biochars for hydrogen sulfide removal. Chemosphere 2014, 111, 296–303. [Google Scholar] [CrossRef]
- Kang, X.H.; Zhong, J.K.; Zhao, B.W.; Chang, G.H.; Wang, L.G.; Zhang, J.Y. Effect of swine manure biochar on the adsorption of sulfur in light sierozem. Fresen. Environ. Bull. 2016, 25, 4478–4486. [Google Scholar]
- Allison, S.D.; LeBauer, D.S.; Ofrecio, M.R.; Reyes, R.; Ta, A.-M.; Tran, T.M. Low levels of nitrogen addition stimulate decomposition by boreal forest fungi. Soil Biol. Biochem. 2009, 41, 293–302. [Google Scholar] [CrossRef]
- Veresoglou, S.D.; Chen, B.; Rillig, M.C. Arbuscular mycorrhiza and soil nitrogen cycling. Soil Biol. Biochem. 2012, 46, 53–62. [Google Scholar] [CrossRef]
- Duffková, R.; Fučík, P.; Jurkovská, L.; Janoušková, M. Experimental evaluation of the potential of arbuscular mycorrhiza to modify nutrient leaching in three arable soils located on one slope. Appl. Soil Ecol. 2019, 143, 116–125. [Google Scholar] [CrossRef]
- Keyes, S.; Veelen, A.; Fletcher, D.M.; Scotson, C.; Koebernick, N.; Petroselli, C.; Williams, K.; Ruiz, S.; Cooper, L.; Mayon, R.; et al. Multimodal correlative imaging and modelling of phosphorus uptake from soil by hyphae of mycorrhizal fungi. N. Phytol. 2022, 234, 688–703. [Google Scholar] [CrossRef]
- Lošák, T.; Hlušek, J.; Válka, T.; Elbl, J.; Vítěz, T.; Bělíková, H.; Von Bennewitz, E. The effect of fertilisation with digestate on kohlrabi yields and quality. Plant Soil Environ. 2016, 62, 274–278. [Google Scholar] [CrossRef]
- Gomez-Saez, G.V.; Dittmar, T.; Holtappels, M.; Pohlabeln, A.M.; Lichtschlag, A.; Schnetger, B.; Boetius, A.; Niggemann, J. Sulfurization of dissolved organic matter in the anoxic water column of the Black Sea. Sci. Adv. 2021, 7, eabf6199. [Google Scholar] [CrossRef] [PubMed]
- Chen, Q.; Tang, K.; Chen, X.; Jiao, N. Microbial sulfurization stimulates carbon sequestration in marine oxygen minimum zones. Sci. Bull. 2022, 67, 895–898. [Google Scholar] [CrossRef]
- Ma, Q.; Luo, Y.; Wen, Y.; Hill, P.W.; Chadwick, D.R.; Wu, L.; Jones, D.L. Carbon and sulphur tracing from soil organic sulphur in plants and soil microorganisms. Soil Biol. Biochem. 2020, 150, 107971. [Google Scholar] [CrossRef]
- Ye, R.; McCray, J.M.; Wright, A.L. Microbial Response of a Calcareous Histosol to Sulfur Amendment. Soil Sci. 2011, 176, 479–486. [Google Scholar] [CrossRef]
- Chapman, S.J. Carbon substrate mineralization and sulphur limitation. Soil Biol. Biochem. 1997, 29, 115–122. [Google Scholar] [CrossRef]
- Giweta, M.; Dyck, M.F.; Malhi, S.S.; Puurveen, D.; Robertson, J.A. Long-term S-fertilization increases carbon sequestration in a sulfur-deficient soil. Can. J. Soil Sci. 2014, 94, 295–301. [Google Scholar] [CrossRef]
- Turan, M.A.; Taban, S.; Katkat, A.V.; Kucukyumuk, Z. The evaluation of the elemental sulfur and gypsum effect on soil pH, EC, SO4-S and available Mn content. J. Food Agric. Environ. 2013, 11, 572–575. [Google Scholar]
- Yuan, J.-H.; Xu, R.-K. The amelioration effects of low temperature biochar generated from nine crop residues on an acidic Ultisol. Soil Use Manag. 2011, 27, 110–115. [Google Scholar] [CrossRef]
- Shah, T.; Khan, S.; Shah, Z. Soil respiration, pH and EC as influenced by biochar. Soil Environ. 2017, 36, 77–83. [Google Scholar] [CrossRef]


| Property [Unit] | Digestate (1) | Biochar (2) |
|---|---|---|
| DM [%] | 6.0 ± 0.1 | 65–75 |
| BET [m2·g−1] | - | 289 |
| Ash550°C [%] | not measured | 11.7 |
| Ctot [g·kg−1] | not measured | 866 |
| Corg [g·kg−1] | not measured | 74 |
| Ntot [g·kg−1] | 43.8 ± 3.39 | 13.2 |
| P [g·kg−1] | 0.8 ± 0.05 | 6.2 |
| S [g·kg−1] | 0.8 ± 0.06 | not measured |
| Ca [g·kg−1] | 1.2 ± 0.1 | 8.1 |
| Mg [g·kg−1] | 0.1 ± 0.01 | 6.7 |
| K [g·kg−1] | 1.4 ± 0.13 | 24.4 |
| Variant | Abbrev. | Digestate per Barrel [L] | Biochar per Barrel [g] | Sulphur per Barrel [g] |
|---|---|---|---|---|
| Digestate | D | 10 | - | - |
| Digestate + low dose of sulphur | D + LS | 10 | - | 14 |
| Digestate + high dose of sulphur | D + HS | 10 | - | 140 |
| Digestate + biochar | D + B | 10 | 400 | - |
| Digestate + biochar + low dose of sulphur | D + B + LS | 10 | 400 | 14 |
| Digestate + biochar + high dose of sulphur | D + B + HS | 10 | 400 | 140 |
| variant | DM | Nmin | N-NO3 | N-NH4 | S |
|---|---|---|---|---|---|
| [%] | [g∙kg−1] | ||||
| D | 5.96 ± 0.39 c | 7.37 ± 0.45 c | 2.20 ± 0.13 c | 5.17 ± 0.32 b | 0.85 ± 0.04 d |
| D + LS | 6.86 ± 0.51 b | 8.96 ± 0.51 a | 4.38 ± 0.31 a | 4.58 ± 0.28 c | 0.64 ± 0.05 e |
| D + HS | 5.78 ± 0.32 c | 7.09 ± 0.40 c | 1.64 ± 0.11 d | 5.45 ± 0.28 b | 0.60 ± 0.03 e |
| D + B | 6.75 ± 0.40 b | 8.26 ± 0.504 b | 2.16 ± 0.16 c | 6.10 ± 0.38 a | 1.94 ± 0.11 b |
| D + B + LS | 6.67 ± 0.41 b | 5.32 ± 0.31 d | 1.76 ± 0.12 d | 3.56 ± 0.26 d | 1.52 ± 0.10 c |
| D + B + HS | 8.06 ± 0.57 a | 9.14 ± 0.48 a | 3.07 ± 0.16 b | 6.07 ± 0.43 a | 2.39 ± 0.13 a |
| variant | amoA | dsr | nirS | 16S rDNA | |
| [cps∙g−1] | |||||
| D | 3.81∙105 ± 2.45∙104 c | 0.89∙107 ± 0.41∙106 e | 3.15∙106 ± 1.73∙105 b | 0.57∙1011 ± 0.42∙1010 d | |
| D + LS | 1.16∙105 ± 0.57∙104 e | 2.56∙107 ± 1.61∙106 c | 0.59∙106 ± 0.36∙105 e | 0.22∙1011 ± 0.14∙1010 e | |
| D + HS | 5.67∙105 ± 4.02∙104 a | 5.88∙107 ± 4.48∙106 a | 3.01∙106 ± 2.18∙105 b | 1.73∙1011 ± 0.86∙1010 a | |
| D + B | 4.89∙105 ± 3.65∙104 b | 2.97∙107 ± 1.64∙106 b | 3.72∙106 ± 1.95∙105 a | 1.42∙1011 ± 1.00∙1010 b | |
| D + B + LS | 4.46∙105 ± 2.55∙104 b | 1.64∙107 ± 1.24∙106 d | 2.40∙106 ± 1.49∙105 c | 1.13∙1011 ± 0.52∙1010 c | |
| D + B + HS | 3.12∙105 ± 1.98∙104 d | 1.66∙107 ± 1.00∙106 d | 1.82∙106 ± 0.93∙105 d | 0.61∙1011 ± 0.45∙1010 d | |
Disclaimer/Publisher’s Note: The statements, opinions and data contained in all publications are solely those of the individual author(s) and contributor(s) and not of MDPI and/or the editor(s). MDPI and/or the editor(s) disclaim responsibility for any injury to people or property resulting from any ideas, methods, instructions or products referred to in the content. |
© 2023 by the authors. Licensee MDPI, Basel, Switzerland. This article is an open access article distributed under the terms and conditions of the Creative Commons Attribution (CC BY) license (https://creativecommons.org/licenses/by/4.0/).
Share and Cite
Holatko, J.; Brtnicky, M.; Mustafa, A.; Kintl, A.; Skarpa, P.; Ryant, P.; Baltazar, T.; Malicek, O.; Latal, O.; Hammerschmiedt, T. Effect of Digestate Modified with Amendments on Soil Health and Plant Biomass under Varying Experimental Durations. Materials 2023, 16, 1027. https://doi.org/10.3390/ma16031027
Holatko J, Brtnicky M, Mustafa A, Kintl A, Skarpa P, Ryant P, Baltazar T, Malicek O, Latal O, Hammerschmiedt T. Effect of Digestate Modified with Amendments on Soil Health and Plant Biomass under Varying Experimental Durations. Materials. 2023; 16(3):1027. https://doi.org/10.3390/ma16031027
Chicago/Turabian StyleHolatko, Jiri, Martin Brtnicky, Adnan Mustafa, Antonin Kintl, Petr Skarpa, Pavel Ryant, Tivadar Baltazar, Ondrej Malicek, Oldrich Latal, and Tereza Hammerschmiedt. 2023. "Effect of Digestate Modified with Amendments on Soil Health and Plant Biomass under Varying Experimental Durations" Materials 16, no. 3: 1027. https://doi.org/10.3390/ma16031027
APA StyleHolatko, J., Brtnicky, M., Mustafa, A., Kintl, A., Skarpa, P., Ryant, P., Baltazar, T., Malicek, O., Latal, O., & Hammerschmiedt, T. (2023). Effect of Digestate Modified with Amendments on Soil Health and Plant Biomass under Varying Experimental Durations. Materials, 16(3), 1027. https://doi.org/10.3390/ma16031027

