Experimental Study on Toughness of Engineered Cementitious Composites with Desert Sand
Abstract
1. Introduction
2. Materials and Methods
2.1. Materials and Preparation of ECCs
2.2. Test-Scheme Design
2.2.1. Uniaxial Tensile Test
2.2.2. Three-Point Bending Test
2.2.3. Single-Seam Tensile Test
2.3. Evaluation Method of ECC Toughness
3. Results and Discussion
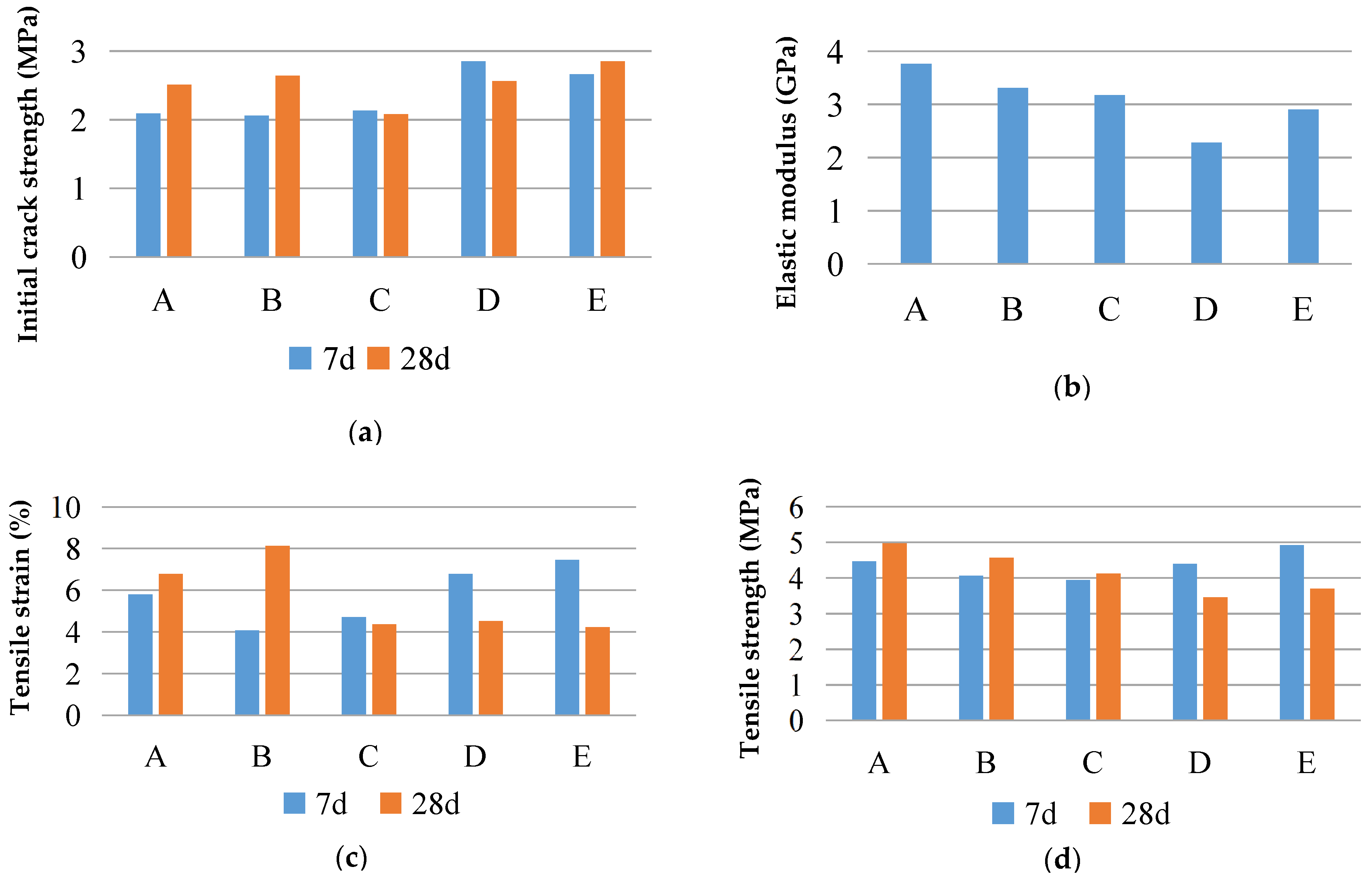
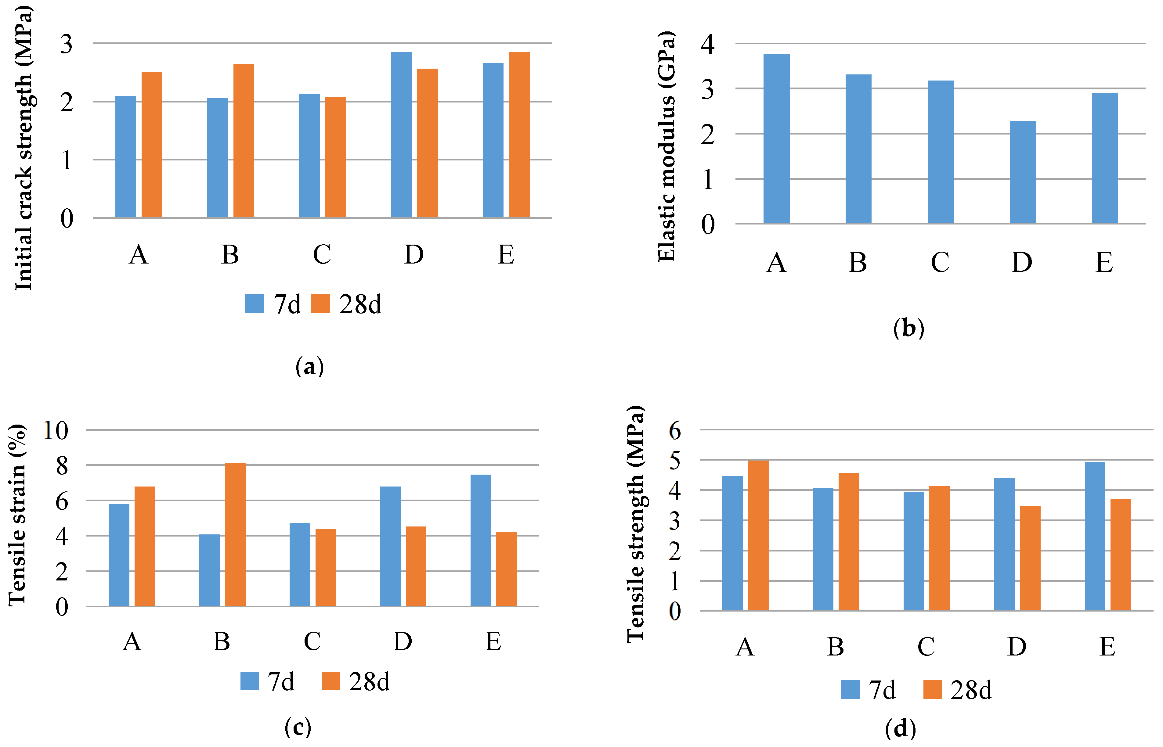
3.1. Uniaxial Tensile Results and Stress–Strain Analysis
3.2. Three-Point Bending Test Results and Fracture Energy of the Cement Matrix
3.3. Single-Seam Tensile Test Results and Complementary Energy
3.4. Analysis and Discussion of Fracture Toughness
4. Conclusions
- (1)
- The results show that the uniaxial tensile strength of the ECCs with desert sand is 4.97 MPa, whereas the maximum tensile strain is 6.17%. The high toughness of the ECCs with desert sand is shown to be outstanding according to the results of the stress–strain curves, the strength criteria and the energy criteria. It is verified that desert sand is feasible to be used as a substitute to ordinary sand for the ECC preparation.
- (2)
- The performance of the ECCs with ordinary sand is closely related to the particle size of sand. The tensile strength, tensile deformation and toughness of the ECC materials are decreased when the particle size is increased. The maximum tensile strength and tensile deformation were obtained for the particle size from 0.075 to 0.3 mm, which are 4.57 MPa and 8.13%, respectively. In engineering projects, the ECCs should be prepared with a particle size below 0.3 mm, and the maximum particle size should not exceed 0.6 mm.
- (3)
- The compression and bending properties of the ECCs with desert sand, as well as the interfacial connection between the fiber and matrix at the microscale, should be further studied.
Author Contributions
Funding
Institutional Review Board Statement
Informed Consent Statement
Data Availability Statement
Conflicts of Interest
References
- Kulkarni, S.B.; Clinton, P. Durability of concrete materials for components of high rise structures. J. Res. Eng. Appl. Sci. 2019, 4, 145–149. [Google Scholar]
- Guo, J.; Wang, K.; Qi, C. Determining the mineral admixture and fiber on mechanics and fracture properties of concrete under sulfate attack. J. Mar. Sci. Eng. 2021, 9, 251. [Google Scholar] [CrossRef]
- Li, V.C.; Leung, C.K. Steady-state and multiple cracking of short randon fiber composites. J. Eng. Mech. 1992, 118, 2246–2264. [Google Scholar]
- Li, V.C. From micromechanics to structural engineering—The design of cementitous composites for civil engineering applications. JSCE J. Struct. Mech. Earthq. Eng. 1993, 10, 37–48. [Google Scholar]
- Zhong, L.; Li, V.C. Crank bridging in fiber reinforced cementitious composites with slip-hardening interfaces. J. Mech. Phys. Solids 1997, 45, 763–787. [Google Scholar]
- Li, V.C. Tailoring ECC for special attributes: A review. Int. J. Concr. Struct. Mater. 2012, 6, 135–144. [Google Scholar] [CrossRef]
- Hung, C.C.; Chen, Y.S. Innovative ECC jacketing for retrofitting shear-deficient RC members. Constr. Build. Mater. 2016, 111, 408–418. [Google Scholar] [CrossRef]
- Zhou, Y.; Xi, B.; Sui, L.; Zheng, S.; Xing, F.; Li, L. Development of high strain-hardening light weight engineered cementitious composites: Design and performance. Cem. Concr. Compos. 2019, 104, 103370. [Google Scholar] [CrossRef]
- Zhang, J.; Li, V.C. Monotonic and fatigue performance in bending of fiber-reinforced engineered cementitious composites in overlay system. Cem. Concr. Res. 2002, 32, 415–423. [Google Scholar] [CrossRef]
- Li, V.C. On Engineered Cementitious Composites (ECC). J. Adv. Concr. Technol. 2003, 1, 215–230. [Google Scholar] [CrossRef]
- Mechtcherine, V.; Millon, O.; Butler, M.; Thoma, K. Mechanical behaviour of strain hardening cement-based composites under impact loading. Cem. Concr. Compos. 2011, 33, 2930–2937. [Google Scholar] [CrossRef]
- Li, V.C.; Wang, S.; Wu, S. Tensile strain-hardening behavior of polyvinyl alcohol engineered cementitious composite (PVA-ECC). ACI Mater. J. 2001, 98, 483–492. [Google Scholar]
- Wang, Q.; Zhang, G.; Tong, Y.; Gu, C. Prediction on permeability of engineered cementitious composites. Crystals 2021, 11, 526. [Google Scholar] [CrossRef]
- Djerbi, A.; Bonnet, S.; Khelidj, A.; Baroghel-bouny, V. Influence of traversing crack on chloride diffusion into concrete. Cem. Concr. Res. 2008, 38, 877–883. [Google Scholar] [CrossRef]
- Sahmaran, M.; Li, M.; Li, V.C. Transport properties of engineered cementitious composites under chloride exposure. ACI Mater. J. 2007, 104, 604–611. [Google Scholar]
- Chen, G.; Tang, W.; Chen, S.; Wang, S.; Cui, H. Prediction of self-healing of engineered cementitious composite using machine learning approaches. Appl. Sci. 2022, 12, 3605. [Google Scholar] [CrossRef]
- Ahn, T.-H.; Kishi, T. Crack self-healing behavior of cementitious composites incorporating various mineral admixtures. J. Adv. Concr. Technol. 2010, 8, 171–186. [Google Scholar] [CrossRef]
- Liu, H.; Zhang, Q.; Gu, C.; Su, H.; Li, V.C. Self-healing of microcracks in engineered cementitious composites under sulfate and chloride environment. Constr. Build. Mater. 2017, 153, 948–956. [Google Scholar] [CrossRef]
- Yu, J.; Lin, J.; Zhang, Z.; Li, V.C. Mechanical performance of ECC with high-volume fly ash after sub-elevated temperatures. Constr. Build. Mater. 2015, 99, 82–89. [Google Scholar] [CrossRef]
- Turk, K.; Kina, C.; Nehdi, M.L. Durability of engineered cementitious composites incorporating high-volume fly ash and limestone powder. Sustainability 2022, 14, 10388. [Google Scholar] [CrossRef]
- Zhang, H.; Shao, Y.; Zhang, N. Carbonation behavior of engineered cementitious composites under coupled sustained flexural load and accelerated carbonation. Materials 2022, 15, 6192. [Google Scholar] [CrossRef]
- Bu, L.; Qiao, L.; Sun, R.; Lu, W. Time and crack width dependent model of chloride transportation in engineered cementitious composites (ECC). Materials 2022, 15, 5611. [Google Scholar] [CrossRef]
- Chung, K.L.; Luo, J.; Yuan, L.; Zhang, C.; Qu, C. Strength correlation and prediction of engineered cementitious composites with microwave properties. Appl. Sci. 2017, 7, 35. [Google Scholar] [CrossRef]
- Atmajayanti, A.T.; Hung, C.-C.; Yuen, T.Y.P.; Shih, R.-C. Influences of sodium lignosulfonate and high-volume fly ash on setting time and hardened state properties of engineered cementitious composites. Materials 2021, 14, 4779. [Google Scholar] [CrossRef]
- Huang, X.; Ranade, R.; Wen, N.; Li, V.C. On the use of recycled tire rubber to develop low modulus ECC for durable concrete repairs. Constr. Build. Mater. 2013, 46, 134–141. [Google Scholar] [CrossRef]
- Pachideh, G.; Toufigh, V. Strength of SCLC recycled springs and fibers concrete subject to high temperatures. Struct. Concr. 2022, 23, 285–299. [Google Scholar] [CrossRef]
- Gong, G.; Guo, M.; Zhou, Y.; Zheng, S.; Hu, B. Multiscale investigation on the performance of engineered cementitious composites incorporating PE fiber and limstone calcined clay cement (LC3). Polymers 2022, 14, 1291. [Google Scholar] [CrossRef] [PubMed]
- Amin, M.N.; Ashraf, M.; Kumar, R.; Khan, K.; Saqib, D.; Ali, S.S.; Khan, S. Role of sugarcane bagasse ash in developing sustainable engineered cementitious composites. Front. Mater. 2020, 7, 65. [Google Scholar] [CrossRef]
- Xu, L.; Huang, B.; Lao, J.; Dai, J. Tailoring strain-hardening behavior of high-strength engineered cementitious composites (ECC) using hybrid silica sand and artificial geopolymer aggregates. Mater. Des. 2022, 220, 110876. [Google Scholar] [CrossRef]
- Toufigh, V.; Pachideh, G. Cementitious mortars containing pozzolana under elevated temperatures. Struct. Concr. 2022, 23, 3294–3312. [Google Scholar] [CrossRef]
- Pachideh, G.; Gholhaki, M. Assessment of post-heat behavior of cement mortar incorporating silica fume and granulated blast-furnace slag. J. Struct. Fire Eng. 2020, 11, 221–246. [Google Scholar] [CrossRef]
- Andrew, R.M. Global CO2 emissions from cement production. Earth Syst. Sci. Data 2018, 10, 195–217. [Google Scholar] [CrossRef]
- Şahmaran, M.; Lachemi, M.; Hossain, K.M.A.; Ranade, R.; Li, V.C. Influence of aggregate type and size on ductility and mechanical properties of engineered cementitious composites. ACI Mater. J. 2009, 106, 308–316. [Google Scholar]
- Yuan, X.; Ren, Y.; Xi, L. Analysis on the difference of sea sand, river sand, desert sand and machine-made sand. Technol. Wind. 2020, 11, 110–111. [Google Scholar]
- Ji, Y.; Liu, C.; Ding, Z. Research and analysis on present situation of desert sand concrete; E3S Web of Conferences. In Proceedings of the 2021 2nd International Academic Conference on Energy Conservation, Environmental Protection and Energy Science (ICEPE 2021), Dali, China, 21–23 May 2021. [Google Scholar]
- Shi, F.; Li, T.; Wang, W.; Liu, R. Research on the effect of desert sand on pore structure of fiber reinforced mortar based on X-CT technology. Materials 2021, 14, 5572. [Google Scholar] [CrossRef] [PubMed]
- Liu, Y.; Yang, W.; Chen, X.; Liu, H.; Yan, N. Effect of desert sand on the mechanical properties of desert sand concrete (DSC) after elevated temperature. Adv. Civ. Eng. 2021, 2021, 3617552. [Google Scholar] [CrossRef]
- Chen, Q.; Liu, H.; Han, L.; Wang, Y. Comparative studies of dynamic mechanical properties of desert sand concrete and ordinary concrete. Shock Vib. 2022, 2022, 8680750. [Google Scholar] [CrossRef]
- Zhou, J.; Qian, S.; Ye, G.; Copuroglu, O.; van Breugel, K.; Li, V.C. Improved fiber distribution and mechanical properties of engineered cementitious composites by adjusting mixing sequence. Cem. Concr. Compos. 2012, 34, 342–348. [Google Scholar] [CrossRef]
- Li, M.; Li, V.C. Rheology, fiber dispersion, and robust properties of engineered cementitious composites. Mater. Struct. 2013, 46, 405–420. [Google Scholar] [CrossRef]
- Li, V.C. Engineered Cementitious Composites (ECC): Bendable Concrete for Sustainable and Resilient Infrastructure, 1st ed.; Springer: Berlin/Heidelberg, Germany, 2018; pp. 73–99. [Google Scholar]
- Tada, H.; Paris, P.C.; Irwin, G.R. The Stress Analysis of Cracks Handbook, 3rd ed.; ASME: New York, NY, USA, 2000; p. 58. [Google Scholar]
- Kanda, T.; Li, V.C. Practical design criteria for saturated pseudo strain hardening behavior in ECC. J. Adv. Concr. Technol. 2006, 4, 59–72. [Google Scholar] [CrossRef]

















| Component | SiO2 | Al2O3 | Fe2O3 | CaO | MgO | TiO2 | MnO | SO3 |
|---|---|---|---|---|---|---|---|---|
| Proportion (%) | 74.48 | 9.53 | 2.78 | 4.34 | 1.76 | 0.34 | 0.001 | 0.08 |
| Component | Cl | MnO | P2O5 | Cl−1 | Na+1 | K+1 | Alkali content | Loss on ignition |
| Proportion (%) | 0.013 | 0.001 | 0.09 | 0.005 | 0.007 | 0.003 | 2.67 | 3.34 |
| Diameter (μm) | Length (mm) | Tensile Strength (MPa) | Elastic Modulus (GPa) | Elongation (%) | Density (g/cm3) |
|---|---|---|---|---|---|
| 24 | 12 | 3000 | 120 | 5 | 0.97 |
| Cement | Slag | Sand | Water | Fiber | Water Reducer | Thickener |
|---|---|---|---|---|---|---|
| 617.2 | 411.4 | 308.6 | 250 | 12 | 6 | 0.5 |
| Group | Peak Load F (kN) | Fracture Toughness Km (MPa·m1/2) | Fracture Energy Jtip (J/m2) |
|---|---|---|---|
| A | 0.71 | 0.522 | 72.5 |
| B | 0.64 | 0.471 | 67.0 |
| C | 0.73 | 0.536 | 90.6 |
| D | 0.68 | 0.500 | 109.6 |
| E | 0.72 | 0.529 | 96.5 |
| Group | Peak Stress σ0 (MPa) | Opening Width Corresponding to Peak Stress δ0 (mm) | Complementary Energy J′b (J/m2) |
|---|---|---|---|
| A | 7.24 | 0.40 | 635 |
| B | 6.14 | 0.48 | 547.5 |
| C | 5.07 | 0.45 | 397.7 |
| D | 6.27 | 0.63 | 553.9 |
| E | 6.83 | 0.52 | 578.0 |
| Group | MCP | PSH |
|---|---|---|
| A | 2.88 | 8.76 |
| B | 2.33 | 8.17 |
| C | 2.44 | 5.39 |
| D | 2.45 | 5.05 |
| E | 2.40 | 6.00 |
Disclaimer/Publisher’s Note: The statements, opinions and data contained in all publications are solely those of the individual author(s) and contributor(s) and not of MDPI and/or the editor(s). MDPI and/or the editor(s) disclaim responsibility for any injury to people or property resulting from any ideas, methods, instructions or products referred to in the content. |
© 2023 by the authors. Licensee MDPI, Basel, Switzerland. This article is an open access article distributed under the terms and conditions of the Creative Commons Attribution (CC BY) license (https://creativecommons.org/licenses/by/4.0/).
Share and Cite
Lv, Z.; Han, Y.; Han, G.; Ge, X.; Wang, H. Experimental Study on Toughness of Engineered Cementitious Composites with Desert Sand. Materials 2023, 16, 697. https://doi.org/10.3390/ma16020697
Lv Z, Han Y, Han G, Ge X, Wang H. Experimental Study on Toughness of Engineered Cementitious Composites with Desert Sand. Materials. 2023; 16(2):697. https://doi.org/10.3390/ma16020697
Chicago/Turabian StyleLv, Zhishuan, Yang Han, Guoqi Han, Xueyu Ge, and Hao Wang. 2023. "Experimental Study on Toughness of Engineered Cementitious Composites with Desert Sand" Materials 16, no. 2: 697. https://doi.org/10.3390/ma16020697
APA StyleLv, Z., Han, Y., Han, G., Ge, X., & Wang, H. (2023). Experimental Study on Toughness of Engineered Cementitious Composites with Desert Sand. Materials, 16(2), 697. https://doi.org/10.3390/ma16020697

