Theoretical Prediction of Electrical Conductivity Percolation of Poly(lactic acid)—Carbon Nanotube Composites in DC and RF Regime
Abstract
1. Introduction
2. Materials and Methods
2.1. Materials and Compounds
2.2. Preparation of the Materials
2.3. Characterization Methods
3. Theoretical Models
4. Results and Discussion
4.1. Prediction of the Percolation Threshold in DC Regime
4.2. Prediction of the Percolation Threshold in RF Regime
4.3. Prediction of the Percolation Threshold through the Mamunya Model
4.4. Prediction of the Percolation Threshold through the McCullough Model
4.5. Prediction of the Percolation Threshold through the GEM McLachlan Model
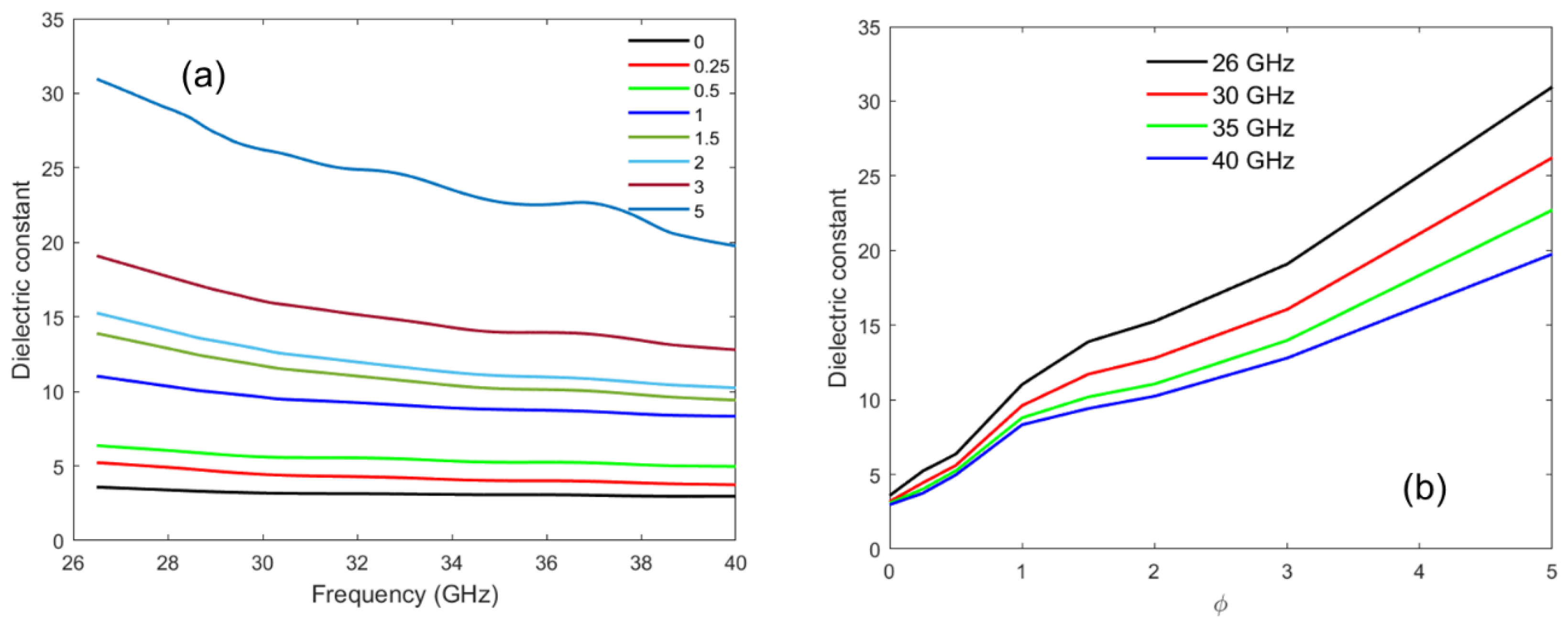
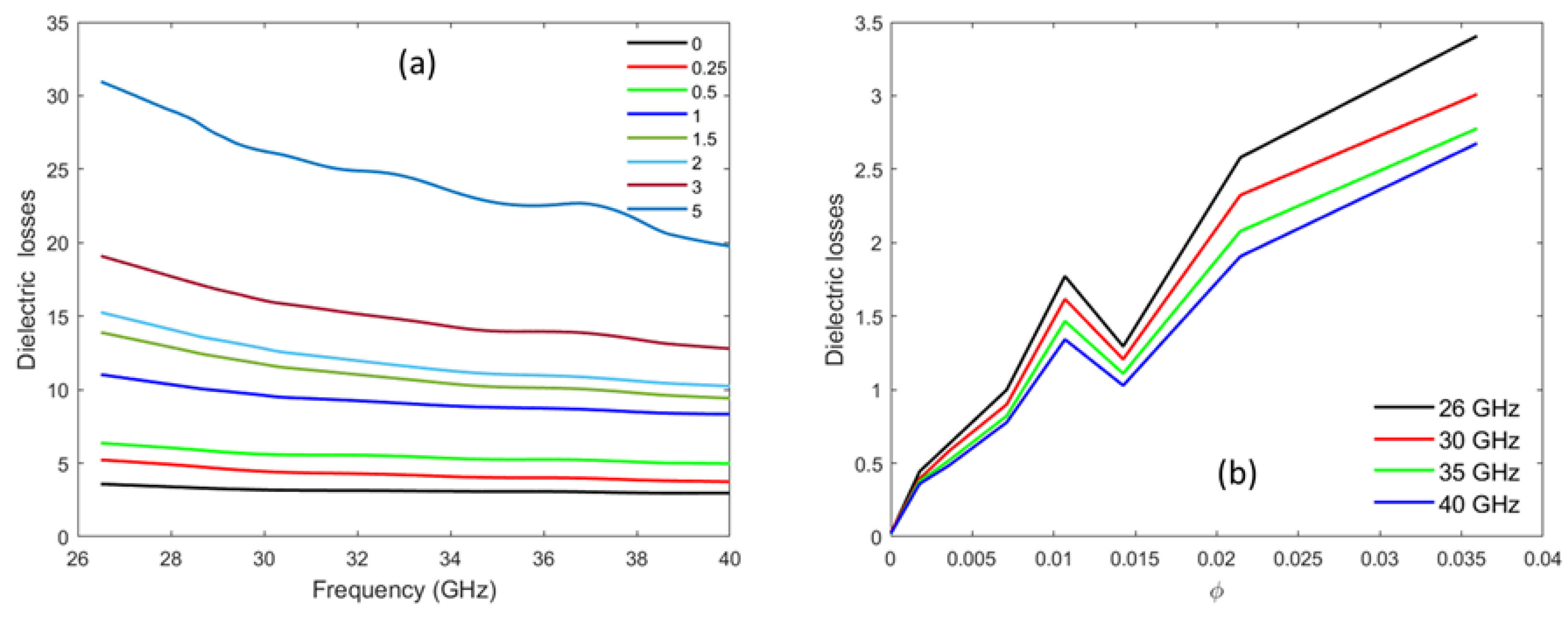
4.6. Dielectric Constant and Dielectric Loss
5. Conclusions
Author Contributions
Funding
Institutional Review Board Statement
Informed Consent Statement
Data Availability Statement
Acknowledgments
Conflicts of Interest
Abbreviations
| PLA | Poly(lactic acid) |
| CNT | Carbon nanotube |
| MWCNT | Multi-walled carbon nanotube |
| EMI | Electromagnetic interference |
| ESD | Electro-static discharge |
| CPC | Conductive polymer composite |
| RAM | Radar-absorbing material |
| DC | Direct current (i.e., static regime) |
| RF | Radio frequency (i.e., microwave regime) |
| GEM | Generalized effective medium |
| MWS | Maxwell–Wagner–Sillars effect |
| CCVD | Catalytic chemical vapor deposition |
| AR | Aspect ratio |
References
- Khare, R. Carbon nanotube based composites—A review. J. Miner. Mater. Charact. Eng. 2005, 4, 31. [Google Scholar] [CrossRef]
- Salah, L.S.; Ouslimani, N.; Bousba, D.; Huynen, I.; Danlée, Y.; Aksas, H. Carbon nanotubes (CNTs) from synthesis to functionalized (CNTs) using conventional and new chemical approaches. J. Nanomater. 2021, 2021, 4972770. [Google Scholar] [CrossRef]
- Lee, D.K.; Yoo, J.; Kim, H.; Kang, B.H.; Park, S.H. Electrical and thermal properties of carbon nanotube polymer composites with various aspect ratios. Materials 2022, 15, 1356. [Google Scholar] [CrossRef]
- Andrews, R.; Weisenberger, M. Carbon nanotube polymer composites. Curr. Opin. Solid State Mater. Sci. 2004, 8, 31–37. [Google Scholar] [CrossRef]
- Baughman, R.H.; Zakhidov, A.A.; De Heer, W.A. Carbon nanotubes—The route toward applications. Science 2002, 297, 787–792. [Google Scholar] [CrossRef]
- Danlée, Y.; Mederos-Henry, F.; Hermans, S.; Bailly, C.; Huynen, I. Ranking Broadband Microwave Absorption Performance of Multilayered Polymer Nanocomposites Containing Carbon and Metallic Nanofillers. Front. Mater. 2020, 7, 214. [Google Scholar] [CrossRef]
- Pourhakkak, P.; Taghizadeh, A.; Taghizadeh, M.; Ghaedi, M.; Haghdoust, S. Fundamentals of adsorption technology. In Interface Science and Technology; Elsevier: Amsterdam, The Netherlands, 2021; Volume 33, pp. 1–70. [Google Scholar]
- Duong, H.M.; Tran, T.Q.; Kopp, R.; Myint, S.M.; Peng, L. Direct spinning of horizontally aligned carbon nanotube fibers and films from the floating catalyst method. In Nanotube Superfiber Materials; Elsevier: Amsterdam, The Netherlands, 2019; pp. 3–29. [Google Scholar]
- Munir, A. Microwave radar absorbing properties of multiwalled carbon nanotubes polymer composites: A review. Adv. Polym. Technol. 2017, 36, 362–370. [Google Scholar] [CrossRef]
- Savi, P.; Giorcelli, M.; Quaranta, S. Multi-walled carbon nanotubes composites for microwave absorbing applications. Appl. Sci. 2019, 9, 851. [Google Scholar] [CrossRef]
- Jaiswar, R.; Danlée, Y.; Mesfin, H.; Delcorte, A.; Hermans, S.; Bailly, C.; Raskin, J.P.; Huynen, I. Absorption modulation of FSS-polymer nanocomposites through incorporation of conductive nanofillers. Appl. Phys. A 2017, 123, 164. [Google Scholar] [CrossRef]
- Danlée, Y.; Bailly, C.; Huynen, I. Thin and flexible multilayer polymer composite structures for effective control of microwave electromagnetic absorption. Compos. Sci. Technol. 2014, 100, 182–188. [Google Scholar] [CrossRef]
- Zare, Y.; Rhee, K.Y. A simple model for electrical conductivity of polymer carbon nanotubes nanocomposites assuming the filler properties, interphase dimension, network level, interfacial tension and tunneling distance. Compos. Sci. Technol. 2018, 155, 252–260. [Google Scholar] [CrossRef]
- Last, B.; Thouless, D. Percolation theory and electrical conductivity. Phys. Rev. Lett. 1971, 27, 1719. [Google Scholar] [CrossRef]
- Liu, Z.; Peng, W.; Zare, Y.; Hui, D.; Rhee, K.Y. Predicting the electrical conductivity in polymer carbon nanotube nanocomposites based on the volume fractions and resistances of the nanoparticle, interphase, and tunneling regions in conductive networks. RSC Adv. 2018, 8, 19001–19010. [Google Scholar] [CrossRef]
- Ram, R.; Khastgir, D.; Rahaman, M. Electromagnetic interference shielding effectiveness and skin depth of poly (vinylidene fluoride)/particulate nano-carbon filler composites: Prediction of electrical conductivity and percolation threshold. Polym. Int. 2019, 68, 1194–1203. [Google Scholar]
- Sidi Salah, L.; Chouai, M.; Danlée, Y.; Huynen, I.; Ouslimani, N. Simulation and optimization of electromagnetic absorption of polycarbonate/CNT composites using machine learning. Micromachines 2020, 11, 778. [Google Scholar] [CrossRef]
- Zare, Y.; Rhee, K.Y. The effective conductivity of polymer carbon nanotubes (CNT) nanocomposites. J. Phys. Chem. Solids 2019, 131, 15–21. [Google Scholar] [CrossRef]
- Danlée, Y.; Bailly, C.; Huynen, I. Flexible polarization-dependent absorbers based on patterned carbon nanotubes films. Microw. Opt. Technol. Lett. 2017, 59, 1164–1167. [Google Scholar] [CrossRef]
- Danlée, Y.; Huynen, I.; Bailly, C. Flexible twist polarizer based on ultrathin multi-layered polymer-carbon nanotubes composite films. Microw. Opt. Technol. Lett. 2017, 59, 2844–2848. [Google Scholar] [CrossRef]
- Hu, D. Development of the Epoxy Composite Complex Permittivity and its Application in Wind Turbine Blades. Ph.D. Thesis, Queen Mary University, London, UK, 2010. [Google Scholar]
- Barrau, S.; Demont, P.; Peigney, A.; Laurent, C.; Lacabanne, C. DC and AC conductivity of carbon nanotubes- polyepoxy composites. Macromolecules 2003, 36, 5187–5194. [Google Scholar] [CrossRef]
- Paleo, A.J.; Aribou, N.; Nioua, Y.; Samir, Z.; Fernandes, L.; Moreira, J.A.; Achour, M.E. Electrical properties of melt-mixed polypropylene and as-grown carbon nanofiber composites: Analysis of their interphase via the AC conductivity modeling. J. Compos. Mater. 2022, 56, 1879–1889. [Google Scholar]
- Youngs, I.J. Exploring the universal nature of electrical percolation exponents by genetic algorithm fitting with general effective medium theory. J. Phys. D Appl. Phys. 2002, 35, 3127. [Google Scholar] [CrossRef]
- Sidi Salah, L.; Ouslimani, N.; Chouai, M.; Danlée, Y.; Huynen, I.; Aksas, H. Predictive optimization of electrical conductivity of polycarbonate composites at different concentrations of carbon nanotubes: A valorization of conductive nanocomposite theoretical models. Materials 2021, 14, 1687. [Google Scholar] [PubMed]
- Radzuan, N.A.M.; Sulong, A.B.; Sahari, J. A review of electrical conductivity models for conductive polymer composite. Int. J. Hydrogen Energy 2017, 42, 9262–9273. [Google Scholar] [CrossRef]
- Coelho, P.H.d.S.L.; Marchesin, M.S.; Morales, A.R.; Bartoli, J.R. Electrical percolation, morphological and dispersion properties of MWCNT/PMMA nanocomposites. Mater. Res. 2014, 17, 127–132. [Google Scholar] [CrossRef]
- Bouknaitir, I.; Aribou, N.; Elhad Kassim, S.; El Hasnaoui, M.; Melo, B.; Achour, M.; Costa, L. Electrical properties of conducting polymer composites: Experimental and modeling approaches. Spectrosc. Lett. 2017, 50, 196–199. [Google Scholar] [CrossRef]
- Wang, A.Z.; Feng, H.; Zhan, R.; Xie, H.; Chen, G.; Wu, Q.; Guan, X.; Wang, Z.; Zhang, C. A review on RF ESD protection design. IEEE Trans. Electron Devices 2005, 52, 1304–1311. [Google Scholar] [CrossRef]
- Geetha, S.; Satheesh Kumar, K.; Rao, C.R.; Vijayan, M.; Trivedi, D. EMI shielding: Methods and materials—A review. J. Appl. Polym. Sci. 2009, 112, 2073–2086. [Google Scholar] [CrossRef]
- Quievy, N.; Bollen, P.; Thomassin, J.M.; Detrembleur, C.; Pardoen, T.; Bailly, C.; Huynen, I. Electromagnetic absorption properties of carbon nanotube nanocomposite foam filling honeycomb waveguide structures. IEEE Trans. Electromagn. Compat. 2012, 54, 43–51. [Google Scholar] [CrossRef]
- Danlée, Y.; Bailly, C.; Huynen, I.; Piraux, L. Flexible multilayer combining nickel nanowires and polymer films for broadband microwave absorption. IEEE Trans. Electromagn. Compat. 2019, 62, 1661–1668. [Google Scholar] [CrossRef]
- Emplit, A.; Huynen, I. Study of absorption in carbon nanotube composites from 1HZ to 40GHZ. Int. J. Microw. Eng. 2017, 2. [Google Scholar] [CrossRef]
- Bunde, A.; Dieterich, W. Percolation in composites. J. Electroceramics 2000, 5, 81–92. [Google Scholar] [CrossRef]
- McCullough, R.L. Generalized combining rules for predicting transport properties of composite materials. Compos. Sci. Technol. 1985, 22, 3–21. [Google Scholar] [CrossRef]
- Mamunya, Y.P.; Davydenko, V.; Pissis, P.; Lebedev, E. Electrical and thermal conductivity of polymers filled with metal powders. Eur. Polym. J. 2002, 38, 1887–1897. [Google Scholar] [CrossRef]
- Bueche, F. Electrical resistivity of conducting particles in an insulating matrix. J. Appl. Phys. 1972, 43, 4837–4838. [Google Scholar] [CrossRef]
- Sohi, N.; Bhadra, S.; Khastgir, D. The effect of different carbon fillers on the electrical conductivity of ethylene vinyl acetate copolymer-based composites and the applicability of different conductivity models. Carbon 2011, 49, 1349–1361. [Google Scholar] [CrossRef]
- McLachlan, D.S.; Chiteme, C.; Park, C.; Wise, K.E.; Lowther, S.E.; Lillehei, P.T.; Siochi, E.J.; Harrison, J.S. AC and DC percolative conductivity of single wall carbon nanotube polymer composites. J. Polym. Sci. Part B Polym. Phys. 2005, 43, 3273–3287. [Google Scholar] [CrossRef]
- McLachlan, D. Measurement and analysis of a model dual-conductivity medium using a generalised effective-medium theory. J. Phys. C Solid State Phys. 1988, 21, 1521. [Google Scholar] [CrossRef]
- Yu, B.; Zhao, Z.; Fu, S.; Meng, L.; Liu, Y.; Chen, F.; Wang, K.; Fu, Q. Fabrication of PLA/CNC/CNT conductive composites for high electromagnetic interference shielding based on Pickering emulsions method. Compos. Part A Appl. Sci. Manuf. 2019, 125, 105558. [Google Scholar] [CrossRef]
- Sancaktar, E.; Bai, L. Electrically conductive epoxy adhesives. Polymers 2011, 3, 427–466. [Google Scholar] [CrossRef]
- Shrivastava, N.K.; Suin, S.; Maiti, S.; Khatua, B. An approach to reduce the percolation threshold of MWCNT in ABS/MWCNT nanocomposites through selective distribution of CNT in ABS matrix. RSC Adv. 2014, 4, 24584–24593. [Google Scholar] [CrossRef]
- Fal, J.; Wanic, M.; Budzik, G.; Oleksy, M.; Żyła, G. Electrical conductivity and dielectric properties of ethylene glycol-based nanofluids containing silicon oxide–lignin hybrid particles. Nanomaterials 2019, 9, 1008. [Google Scholar] [CrossRef] [PubMed]
- Bauhofer, W.; Kovacs, J.Z. A review and analysis of electrical percolation in carbon nanotube polymer composites. Compos. Sci. Technol. 2009, 69, 1486–1498. [Google Scholar] [CrossRef]
- Nuzhnyy, D.; Savinov, M.; Bovtun, V.; Kempa, M.; Petzelt, J.; Mayoral, B.; McNally, T. Broad-band conductivity and dielectric spectroscopy of composites of multiwalled carbon nanotubes and poly (ethylene terephthalate) around their low percolation threshold. Nanotechnology 2013, 24, 055707. [Google Scholar] [CrossRef] [PubMed]
- Zhi, X.; Liu, J.; Zhang, H.B.; Hong, S.; Yu, Z.Z. Simultaneous enhancements in electrical conductivity and toughness of selectively foamed polycarbonate/polystyrene/carbon nanotube microcellular foams. Compos. Part B Eng. 2018, 143, 161–167. [Google Scholar] [CrossRef]
- Li, J.; Ma, P.C.; Chow, W.S.; To, C.K.; Tang, B.Z.; Kim, J.K. Correlations between percolation threshold, dispersion state, and aspect ratio of carbon nanotubes. Adv. Funct. Mater. 2007, 17, 3207–3215. [Google Scholar] [CrossRef]
- Mamunya, Y.P.; Lebovka, N.; Lisunova, M.; Lebedev, E.; Boiteux, G. Conductive polymer composites with ultralow percolation threshold containing carbon nanotubes. J. Nanostruct. Polym. Nanocompos. 2008, 4, 21–27. [Google Scholar]
- Ram, R.; Soni, V.; Khastgir, D. Electrical and thermal conductivity of polyvinylidene fluoride (PVDF)–Conducting Carbon Black (CCB) composites: Validation of various theoretical models. Compos. Part B Eng. 2020, 185, 107748. [Google Scholar]
- Koledintseva, M.; Drewniak, J.; DuBroff, R.; Rozanov, K.; Archambeault, B. Modeling of shielding composite materials and structures for microwave frequencies. Prog. Electromagn. Res. B 2009, 15, 197–215. [Google Scholar] [CrossRef]
- Felício, J.M.; Fernandes, C.A.; Costa, J.R. Complex permittivity and anisotropy measurement of 3D-printed PLA at microwaves and millimeter-waves. In Proceedings of the 2016 22nd International Conference on Applied Electromagnetics and Communications (ICECOM), Dubrovnik, Croatia, 19–21 September 2016; IEEE: New York, NY, USA, 2016; pp. 1–6. [Google Scholar]
- Park, S.H.; Thielemann, P.; Asbeck, P.; Bandaru, P.R. Enhanced dielectric constants and shielding effectiveness of, uniformly dispersed, functionalized carbon nanotube composites. Appl. Phys. Lett. 2009, 94, 243111. [Google Scholar] [CrossRef]
- Clingerman, M.L.; King, J.A.; Schulz, K.H.; Meyers, J.D. Evaluation of electrical conductivity models for conductive polymer composites. J. Appl. Polym. Sci. 2002, 83, 1341–1356. [Google Scholar] [CrossRef]
- Santos, E.J.; Kaxiras, E. Electric-field dependence of the effective dielectric constant in graphene. Nano Lett. 2013, 13, 898–902. [Google Scholar] [CrossRef] [PubMed]
- Psarras, G. Fundamentals of dielectric theories. In Dielectric Polymer Materials for High-Density Energy Storage; Elsevier: Amsterdam, The Netherlands, 2018; pp. 11–57. [Google Scholar]
- Wu, J.; Kong, L. High microwave permittivity of multiwalled carbon nanotube composites. Appl. Phys. Lett. 2004, 84, 4956–4958. [Google Scholar] [CrossRef]
- Peng, H.; Ren, H.; Dang, M.; Zhang, Y.; Yao, X.; Lin, H. Novel high dielectric constant and low loss PTFE/CNT composites. Ceram. Int. 2018, 44, 16556–16560. [Google Scholar] [CrossRef]
- Sharma, B.K.; Khare, N.; Sharma, R.; Dhawan, S.; Vankar, V.; Gupta, H. Dielectric behavior of polyaniline–CNTs composite in microwave region. Compos. Sci. Technol. 2009, 69, 1932–1935. [Google Scholar] [CrossRef]
- Park, J.G.; Louis, J.; Cheng, Q.; Bao, J.; Smithyman, J.; Liang, R.; Wang, B.; Zhang, C.; Brooks, J.S.; Kramer, L.; et al. Electromagnetic interference shielding properties of carbon nanotube buckypaper composites. Nanotechnology 2009, 20, 415702. [Google Scholar] [CrossRef]
- Hu, Y.; Li, D.; Wu, L.; Yang, J.; Jian, X.; Bin, Y. Carbon nanotube buckypaper and buckypaper/polypropylene composites for high shielding effectiveness and absorption-dominated shielding material. Compos. Sci. Technol. 2019, 181, 107699. [Google Scholar] [CrossRef]
- Yang, R.; Gui, X.; Yao, L.; Hu, Q.; Yang, L.; Zhang, H.; Yao, Y.; Mei, H.; Tang, Z. Ultrathin, lightweight, and flexible CNT buckypaper enhanced using MXenes for electromagnetic interference shielding. Nano-Micro Lett. 2021, 13, 66. [Google Scholar] [CrossRef]
- Poh, C.; Mariatti, M.; Noor, A.F.M.; Sidek, O.; Chuah, T.; Chow, S. Dielectric properties of surface treated multi-walled carbon nanotube/epoxy thin film composites. Compos. Part B Eng. 2016, 85, 50–58. [Google Scholar] [CrossRef]
- McKenzie, R.; Zurawsky, W.; Mijovic, J. A molecular interpretation of Maxwell–Wagner–Sillars processes. J. Non-Cryst. Solids 2014, 406, 11–21. [Google Scholar] [CrossRef]
- Dalmas, F.; Dendievel, R.; Chazeau, L.; Cavaillé, J.Y.; Gauthier, C. Carbon nanotube-filled polymer composites. Numerical simulation of electrical conductivity in three-dimensional entangled fibrous networks. Acta Mater. 2006, 54, 2923–2931. [Google Scholar] [CrossRef]








| PLA–0.25%CNT | PLA–0.5%CNT | PLA–1%CNT | PLA–1.5%CNT | PLA–2%CNT | PLA–3%CNT | PLA–5%CNT | |
|---|---|---|---|---|---|---|---|
| wt.% | 0.25 | 0.5 | 1 | 1.5 | 2 | 3 | 5 |
| vol.% | 0.18 | 0.36 | 0.71 | 1.07 | 1.42 | 2.14 | 3.59 |
Disclaimer/Publisher’s Note: The statements, opinions and data contained in all publications are solely those of the individual author(s) and contributor(s) and not of MDPI and/or the editor(s). MDPI and/or the editor(s) disclaim responsibility for any injury to people or property resulting from any ideas, methods, instructions or products referred to in the content. |
© 2023 by the authors. Licensee MDPI, Basel, Switzerland. This article is an open access article distributed under the terms and conditions of the Creative Commons Attribution (CC BY) license (https://creativecommons.org/licenses/by/4.0/).
Share and Cite
Beltrán, F.R.; Aksas, H.; Sidi Salah, L.; Danlée, Y.; Huynen, I. Theoretical Prediction of Electrical Conductivity Percolation of Poly(lactic acid)—Carbon Nanotube Composites in DC and RF Regime. Materials 2023, 16, 5356. https://doi.org/10.3390/ma16155356
Beltrán FR, Aksas H, Sidi Salah L, Danlée Y, Huynen I. Theoretical Prediction of Electrical Conductivity Percolation of Poly(lactic acid)—Carbon Nanotube Composites in DC and RF Regime. Materials. 2023; 16(15):5356. https://doi.org/10.3390/ma16155356
Chicago/Turabian StyleBeltrán, Freddys R., Hammouche Aksas, Lakhdar Sidi Salah, Yann Danlée, and Isabelle Huynen. 2023. "Theoretical Prediction of Electrical Conductivity Percolation of Poly(lactic acid)—Carbon Nanotube Composites in DC and RF Regime" Materials 16, no. 15: 5356. https://doi.org/10.3390/ma16155356
APA StyleBeltrán, F. R., Aksas, H., Sidi Salah, L., Danlée, Y., & Huynen, I. (2023). Theoretical Prediction of Electrical Conductivity Percolation of Poly(lactic acid)—Carbon Nanotube Composites in DC and RF Regime. Materials, 16(15), 5356. https://doi.org/10.3390/ma16155356

