Sign in to use this feature.

Years

Between: -

Subjects

remove_circle_outline
remove_circle_outline
remove_circle_outline
remove_circle_outline
remove_circle_outline
remove_circle_outline
remove_circle_outline
remove_circle_outline
remove_circle_outline

Journals

remove_circle_outline
remove_circle_outline
remove_circle_outline
remove_circle_outline
remove_circle_outline
remove_circle_outline
remove_circle_outline
remove_circle_outline
remove_circle_outline
remove_circle_outline
remove_circle_outline
remove_circle_outline
remove_circle_outline
remove_circle_outline
remove_circle_outline
remove_circle_outline
remove_circle_outline
remove_circle_outline
remove_circle_outline

Article Types

Countries / Regions

remove_circle_outline
remove_circle_outline
remove_circle_outline
remove_circle_outline
remove_circle_outline
remove_circle_outline

Search Results (3,078)

Search Parameters:
Keywords = polylactic acid

Order results
Result details
Results per page
Select all
Export citation of selected articles as:
15 pages, 5247 KB  
Article
Differentiated Stem Cell-Seeded Gelatin/PLA/P(3HB-co-4HB) Meniscal Scaffold with Biocompatibility and Mechanical Strength
by Peng Li, Xiaoxin Cheng, Wuwei Li, Haiqing Yang and Yubi Jiang
Polymers 2026, 18(6), 774; https://doi.org/10.3390/polym18060774 - 23 Mar 2026
Abstract
Laceration is one of the most common meniscus injuries, which can cause knee joint dysfunction. The treatment of meniscus injuries remains one of the greatest challenges in orthopedics. In this study, a three-dimensional sponge-like Poly(lactic acid)/Poly(3-hydroxybutyrate-co-4-hydroxybutyrate) (PLA/P(3HB-co-4HB)) scaffold with oriented microtubules was fabricated [...] Read more.
Laceration is one of the most common meniscus injuries, which can cause knee joint dysfunction. The treatment of meniscus injuries remains one of the greatest challenges in orthopedics. In this study, a three-dimensional sponge-like Poly(lactic acid)/Poly(3-hydroxybutyrate-co-4-hydroxybutyrate) (PLA/P(3HB-co-4HB)) scaffold with oriented microtubules was fabricated using an improved gradient thermal phase separation technique. The scaffold surface was modified by adsorbing gelatin. The surface-modified scaffolds and the unmodified scaffolds were divided into two groups. All preparation parameters were adjusted to meet tissue engineering requirements. The prepared scaffolds were tested for porosity, compression modulus, hydrophilicity, and degradability. Following scaffold preparation, induced differentiated rabbit bone marrow mesenchymal stem cells (BMSCs) were seeded to evaluate scaffold cytocompatibility. Cell proliferation was observed in the two scaffold groups, and cell viability was analyzed using CCK-8 assay, scanning electron microscopy (SEM), and confocal microscopy. Histological staining was performed to comparatively study cell synthetic function. Subsequently, tissue reconstruction and regeneration were evaluated following subcutaneous implantation of gelatin/PLA/P(3HB-co-4HB) scaffolds loaded with induced differentiated BMSCs in the dorsal regions of athymic nude mice. Results demonstrated that the gelatin/PLA/P(3HB-co-4HB) scaffold exhibited good cell compatibility, providing a suitable microenvironment for cell proliferation and differentiation. Furthermore, the scaffold supported the growth of seeded induced differentiated rabbit MSCs in vivo, maintaining meniscus cell phenotyping and function. The cell-laden scaffold has the potential to generate meniscus fibrocartilage. Full article
(This article belongs to the Special Issue Smart and Bio-Medical Polymers: 3rd Edition)
Show Figures

Figure 1

22 pages, 3812 KB  
Article
Upcycling 3D Printing PLA Waste into Functional Electrospun Membranes: Effect of Polymer Concentration on Morphology, Surface Properties and Particle Filtration Efficiency
by Manuel J. Torres-Calla, Geraldine Denise Bazan-Panana, Fatimah N. Jacinto, Diego E. Velásquez, J. I. Gonzáles-Coronel, Manuel Chávez-Ruiz, María Verónica Carranza-Oropeza, J. Quispe-Marcatoma and C. V. Landauro
Polymers 2026, 18(6), 769; https://doi.org/10.3390/polym18060769 - 22 Mar 2026
Viewed by 70
Abstract
This study investigates the reutilization of polylactic acid (PLA) waste generated by 3D printing through its transformation into electrospun membranes with tunable morphological, surface, thermal, and filtration properties. Polymer solutions containing 5–10 wt % recycled PLA were prepared in a dichloromethane/dimethylformamide system and [...] Read more.
This study investigates the reutilization of polylactic acid (PLA) waste generated by 3D printing through its transformation into electrospun membranes with tunable morphological, surface, thermal, and filtration properties. Polymer solutions containing 5–10 wt % recycled PLA were prepared in a dichloromethane/dimethylformamide system and characterized in terms of viscosity and electrical conductivity. Increasing PLA concentration raised solution viscosity (41.87–339.83 mPa·s) and reduced conductivity (7.63–1.63 µS·cm−1), promoting the formation of bead-free fibers with larger diameters (0.221–1.213 µm) and enhanced hydrophobicity (contact angles 112.34–124.38°). FTIR confirmed preservation of the polymer chemical structure after recycling and electrospinning, while DSC revealed reduced crystallinity in the fibrous membranes. Exploratory correlation analysis indicated consistent associations between solution properties, fiber morphology, and wettability. Increasing the number of electrospun layers (1–3) generated denser networks with reduced pore size and improved particle retention. Filtration tests conducted under controlled airflow conditions (85 L min−1, 1 cm s−1 frontal velocity, 50 cm2 effective area) showed removal efficiencies above 90% for PM2.5 and PM5, while PM1 capture improved with increasing membrane thickness. Quality factor analysis highlighted the trade-off between filtration efficiency and pressure drop, identifying intermediate multilayer configurations as providing a favorable balance. These findings demonstrate that electrospinning offers an effective strategy for converting recycled PLA into structurally tunable membranes with adjustable filtration performance, supporting sustainable valorization of additive manufacturing waste. Full article
(This article belongs to the Special Issue Sustainable Polymers for a Circular Economy)
Show Figures

Figure 1

23 pages, 3561 KB  
Article
Design and Fabrication of 3D-Printed Gyroid Biocarriers for Biological Wastewater Treatment: Experimental and Pilot-Scale Evaluation
by Letícia Nishi, Lucas Gabriel de Souza Bairros, Gabriel Perina Gongora, Marcela Fernandes Silva, Rosângela Bergamasco, Celso Vataru Nakamura, Sueli de Oliveira Silva Lautenschlager and Sandro Rogerio Lautenschlager
Processes 2026, 14(6), 1001; https://doi.org/10.3390/pr14061001 - 21 Mar 2026
Viewed by 29
Abstract
Inadequate domestic wastewater treatment remains a major environmental challenge due to the discharge of nitrogen compounds that originate primarily from human excreta, food residues, and household products, and are commonly present as ammonium and organic nitrogen. During biological processes, these compounds are converted [...] Read more.
Inadequate domestic wastewater treatment remains a major environmental challenge due to the discharge of nitrogen compounds that originate primarily from human excreta, food residues, and household products, and are commonly present as ammonium and organic nitrogen. During biological processes, these compounds are converted to nitrite and nitrate, which are highly soluble and can easily migrate through soils, contaminating groundwater and posing risks to public health. Although Moving Bed Biofilm Reactors (MBBRs) are widely used for nitrogen removal, developing biocarriers with controllable geometry and optimized surface area for enhanced biofilm growth remains a challenge. This study aimed to design and fabricate gyroid-structured biocarriers using additive manufacturing (3D printing) from polylactic acid (PLA), acrylonitrile–butadiene–styrene (ABS), and polypropylene (PP), and to evaluate their performance in wastewater treatment for nitrogen removal. Bench-scale experiments showed significant chemical oxygen demand (COD) removal for all materials, with ABS and PP promoting the most stable biofilm formation. Pilot-scale tests with PP gyroid biocarriers achieved removal efficiencies of up to 87% for biochemical oxygen demand (BOD), 87% for ammonia, and 97% for nitrate. These results demonstrate that 3D-printed gyroid biocarriers provide a tunable geometry that enhances surface area and improves biological nitrogen removal in domestic wastewater treatment. Full article
(This article belongs to the Special Issue Sediment Contamination and Metal Removal from Wastewater)
Show Figures

Figure 1

15 pages, 1548 KB  
Article
Silica-Supported Zinc(II)–Schiff-Base Catalysts for Lactide Ring-Opening Polymerization: Influence of Support Morphology and Ligand Substituents
by Darío M. González, Felipe Picero, Ornella Fuentes, Jocelyn Oyarce and Enrique Blázquez-Blázquez
Polymers 2026, 18(6), 737; https://doi.org/10.3390/polym18060737 - 18 Mar 2026
Viewed by 121
Abstract
Silica-supported zinc (II)–Schiff-base complexes were prepared through a simple and high-yield immobilization strategy and evaluated as heterogeneous catalysts for the ring-opening polymerization (ROP) of lactide. Silica gel and silica nanoparticles were employed as supports to assess the influence of support morphology and textural [...] Read more.
Silica-supported zinc (II)–Schiff-base complexes were prepared through a simple and high-yield immobilization strategy and evaluated as heterogeneous catalysts for the ring-opening polymerization (ROP) of lactide. Silica gel and silica nanoparticles were employed as supports to assess the influence of support morphology and textural properties on catalytic performance. Comprehensive characterization by AAS, BET, SEM, and SEM–EDS confirmed effective anchoring of the Zn complexes, homogeneous metal distribution, and support-dependent textural modifications. The supported catalysts were active in the bulk ROP of racemic and enantiopure lactide, affording PLA with high conversions and moderate dispersities. Silica-gel-supported systems exhibited high and reproducible activity over a wide range of conditions, whereas catalysts supported on silica nanoparticles showed a stronger dependence on reaction time and ligand electronic effects, highlighting the key role of the support in modulating active site accessibility and chain growth. Microstructural and thermal analyses confirmed the formation of atactic PLA from rac-lactide and stereoregular PLLA from L-lactide. Overall, this study demonstrates that silica-supported zinc(II)–Schiff-base complexes constitute an effective and versatile heterogeneous platform for lactide ROP and underscore the importance of support properties in the rational design of sustainable catalysts for biodegradable polyester synthesis. Full article
Show Figures

Figure 1

12 pages, 2930 KB  
Article
Design of Carbon Nanocomposites Based on PLA and PCL—From Microscratch Testing to Self-Healing Behavior
by Todor Batakliev, Evgeni Ivanov, Vladimir Georgiev, Verislav Angelov and Rumiana Kotsilkova
Processes 2026, 14(6), 956; https://doi.org/10.3390/pr14060956 - 17 Mar 2026
Viewed by 176
Abstract
Biodegradable nanocomposite materials possessing self-healing behavior are emerging as an attractive option of being used in advanced mechatronic systems. The current study is focused on a thorough examination of the micromechanical properties of graphene–reinforced polylactic acid (PLA)/polycaprolactone (PCL) composite samples, followed by estimation [...] Read more.
Biodegradable nanocomposite materials possessing self-healing behavior are emerging as an attractive option of being used in advanced mechatronic systems. The current study is focused on a thorough examination of the micromechanical properties of graphene–reinforced polylactic acid (PLA)/polycaprolactone (PCL) composite samples, followed by estimation of their self-healing behavior upon heating. Polymer blend–based nanocomposite materials were prepared using the green and reliable in terms of good nanofiller dispersion melt extrusion method. 3D printed nanocomposite specimens with impeccable flatness were subjected to fine microscratch testing by applying a constant force experimental mode. The surface resistance of the three-component polymer materials against the lateral movement of the stylus fulfilling the scratch and the impact of the dual-phase PLA/PCL ratio on the nanocomposite mechanical performance were estimated by calculation of the coefficient of friction (COF = Fx/Fz). COF values in the range of 0.8–1.4 indicated excellent nanocomposite resilience against scratch. Creating a heterogeneous polymer system that combines phase-separated soft and hard domains with close melt and glass transition temperatures, respectively, may facilitate the physical flow of macromolecular chains into voids or free volume areas. This aspect can be critical in the achievement of thermally–induced self-healing properties of the composite material. Scanning electron microscopy (SEM) imaging of the microscratches, made before and after Joule heating of the polymer samples, revealed a significant degree of surface recovery and a sensible reduction in the width of the adjusted scratch grooves. Full article
(This article belongs to the Special Issue Synthesis and Applications of Nanomaterials)
Show Figures

Figure 1

12 pages, 3645 KB  
Proceeding Paper
Towards Predictive Models of Mechanical Properties in 3D-Printed Polymers: An Exploratory Study
by Bruno A. G. Sousa, César M. A. Vasques and Adélio M. S. Cavadas
Eng. Proc. 2026, 124(1), 79; https://doi.org/10.3390/engproc2026124079 - 16 Mar 2026
Viewed by 143
Abstract
Additive manufacturing, particularly 3D printing, is increasingly shaping the production of polymer-based components, enabling complex geometries and tailored functional performance. Yet, predicting their mechanical behavior remains challenging due to material anisotropy and sensitivity to processing conditions. This work presents an exploratory study designed [...] Read more.
Additive manufacturing, particularly 3D printing, is increasingly shaping the production of polymer-based components, enabling complex geometries and tailored functional performance. Yet, predicting their mechanical behavior remains challenging due to material anisotropy and sensitivity to processing conditions. This work presents an exploratory study designed to provide the experimental basis for the development and calibration of predictive models of mechanical properties in 3D-printed components. Standard ISO 527-2 Type 1A specimens were fabricated using thermoplastic PLA (polylactic acid) with systematic variations in layer orientation, infill overlap, and printing velocity. Mechanical characterization was carried out through uniaxial tensile testing to determine tensile strength and stiffness of the material specimens, while scanning electron microscopy (SEM) provided complementary insights into interlayer bonding, filament alignment, porosity, and fracture morphology. Results showed that material type and processing strategies strongly influenced mechanical response, with SEM highlighting microstructural features that govern interlayer adhesion and failure mechanisms. These findings contribute to a deeper understanding of process–structure–property relationships in additive manufacturing and establish the groundwork for predictive model development. Ongoing efforts will integrate these experimental insights into numerical simulations employing homogenized material models, thereby enhancing design optimization and reliability of 3D-printed structural components. Full article
(This article belongs to the Proceedings of The 6th International Electronic Conference on Applied Sciences)
Show Figures

Figure 1

22 pages, 1976 KB  
Article
A Feasibility Study of Splintage by 3D Scanning and Printing: Process and Evaluation of Current 3D Printing Material
by Sze Wai Anson Li, Sze Wa Afra Mok, Sze Wing Wong, Bohao Yang, Jackie Ngai-Man Chan, Kenneth N. K. Fong, Sam Chi Chung Chan, Chung Man Joy Lau and Benson Wui-Man Lau
Materials 2026, 19(6), 1146; https://doi.org/10.3390/ma19061146 - 15 Mar 2026
Viewed by 300
Abstract
Three-dimensional (3D) scanning and printing technologies enable the production of personalized rehabilitation splints, yet challenges such as scanning artifacts in complex anatomical areas (e.g., finger webs), lengthy post-processing, long printing times, and material limitations (e.g., brittleness and poor breathability) hinder routine clinical adoption. [...] Read more.
Three-dimensional (3D) scanning and printing technologies enable the production of personalized rehabilitation splints, yet challenges such as scanning artifacts in complex anatomical areas (e.g., finger webs), lengthy post-processing, long printing times, and material limitations (e.g., brittleness and poor breathability) hinder routine clinical adoption. This feasibility study developed and evaluated a clinician-accessible protocol for fabricating cock-up wrist splints using 3D scanning (Creaform GO!SCAN 50 with VXelements 4.1), modeling (Materialise Magics), and fused deposition modeling printing with polylactic acid (PLA) on a MakerBot Replicator+. Five healthy participants wore the splints for one week, with user satisfaction assessed via the Quebec User Evaluation of Satisfaction with Assistive Technology (QUEST 2.0; average total score 4.14/5, range 3.75–4.42) questionnaire. An experienced occupational therapist provided expert feedback. High satisfaction was reported for weight (4.6/5) and ease of use (4.6/5), confirming advantages over traditional thermoplastic splints in lightness and esthetics. However, lower scores for durability (3.6/5), comfort (3.6/5), and effectiveness (3.6/5) stemmed from PLA brittleness (cracking under load or overtightening), rough surfaces despite vapor polishing, inadequate ventilation causing moisture buildup, and fit issues (e.g., pressure points). Printing time averaged 9–19 h per splint. The protocol demonstrates proof-of-concept feasibility for clinicians with basic computer techniques, but material constraints and process refinements are required for reliable application in patient populations. Full article
(This article belongs to the Section Biomaterials)
Show Figures

Figure 1

20 pages, 4996 KB  
Article
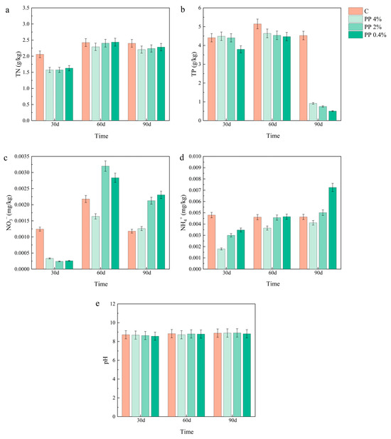
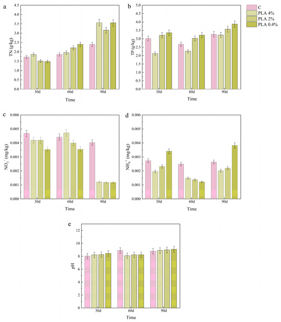
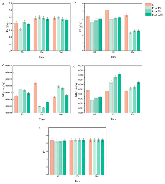
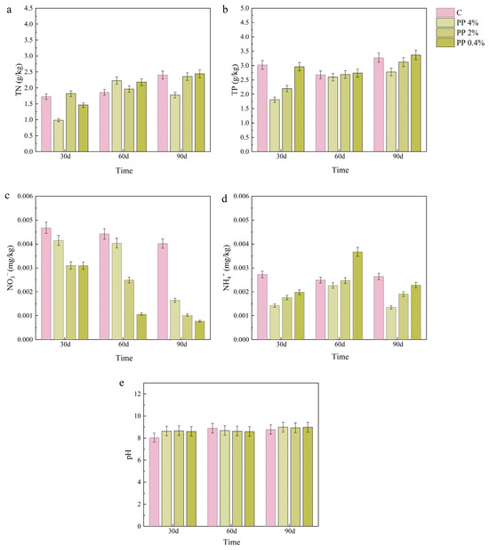
Polypropylene and Polylactic Acid Microplastics Alter Plateau Wetland Seed Bank Emergence and Community Assembly: A Greenhouse Stress Test Experiment
by Zhe-Xi Luan, Jia Ran, Hao-Qin Xiong, Hong Xiang and Xiao-Long Sun
Plants 2026, 15(6), 910; https://doi.org/10.3390/plants15060910 - 15 Mar 2026
Viewed by 241
Abstract
Microplastic contamination has emerged as a growing concern for soil ecosystems and their ecological functioning. However, the effects of microplastic contamination in fragile plateau wetlands remain poorly understood. In this study, biodegradable polylactic acid (PLA) and conventional polypropylene (PP) MPs were compared using [...] Read more.
Microplastic contamination has emerged as a growing concern for soil ecosystems and their ecological functioning. However, the effects of microplastic contamination in fragile plateau wetlands remain poorly understood. In this study, biodegradable polylactic acid (PLA) and conventional polypropylene (PP) MPs were compared using soil seed bank collected from terrestrial and hygrophytic habitats in the Xingyun Lake plateau wetland. Seed germination, species diversity, and soil chemical properties were evaluated. Habitat specific effects were observed, and PLA induced stronger inhibition of seed germination and diversity than PP. These findings underscore the need to incorporate plant ecological responses, including germination physiology under chemical stress and soil seed bank dynamics, into ecological risk assessments of MPs. Furthermore, MP associated changes in nutrient dynamics and soil chemistry were examined, providing insight into potential long-term implications for plateau wetland restoration and plant community recovery. Full article
(This article belongs to the Special Issue Seed Biology and Its Role in Ecosystems)
Show Figures

Graphical abstract

18 pages, 6345 KB  
Article
Shape Memory and Self-Healing Behavior of 4D-Printed Electroactive Polycaprolactone/Polylactic Acid/Graphene Nanocomposite: Structure-Properties Relations
by Rumiana Kotsilkova, Evgeni Ivanov, Vladimir Georgiev and Todor Batakliev
J. Compos. Sci. 2026, 10(3), 155; https://doi.org/10.3390/jcs10030155 - 12 Mar 2026
Viewed by 301
Abstract
The 4D printing of thermo-responsive shape-memory multicomponent polymer composites, which possess the ability to change shape by exposure to heat, has attracted much attention in recent years because of their scientific and technological significance. In the present study, we investigate shape memory performance [...] Read more.
The 4D printing of thermo-responsive shape-memory multicomponent polymer composites, which possess the ability to change shape by exposure to heat, has attracted much attention in recent years because of their scientific and technological significance. In the present study, we investigate shape memory performance of a polylactic acid-polycaprolactone-graphene nanocomposite activated directly by increasing the environmental temperature and indirectly, by Joule heating. The incorporation of graphene within the shape-memory biopolymer blend allowed formation of a programmable conduction path, whose electric properties are intimately coupled to thermo-mechanical processes. Advanced rheological, thermal, and thermo-mechanical properties were evaluated and related to the structure of nanocomposite. The electrically and thermally stimulated shape memory and self-healing behavior of the nanocomposite based on polycaprolactone/poly(lactic) acid blend reinforced with graphene nanoplatelets (PCL/PLA/GNP) were investigated. The shape memory tests revealed a good reversibility of 76% between the temporary and permanent states of the samples bent to 180 degrees and a high healing efficiency of 96% if stimulated by Joule heating. The highly electroactive nanocomposite demonstrated a great potential for 4D-printing of objects with complex structures, shapes, and electrically-stimulated shape-memory and self-healing functions. The nanocomposite is biodegradable, recyclable, and reusable, which may reduce the carbon footprint of the rapidly developing additive technology. Full article
(This article belongs to the Special Issue Advanced Additive Manufacturing of High-Performance Composites)
Show Figures

Figure 1

39 pages, 2314 KB  
Review
Polymer Matrices for Reversible Thermogelling Hydrogels: Principles, Fabrication, and Drug Delivery Prospects
by Victor S. Pyzhov, Elena O. Bakhrushina, Vladimir I. Gegechkori, Valery V. Smirnov, Grigoriy Y. Evzikov, Anna K. Kartashova, Irina M. Zubareva, Ivan I. Krasnyuk and Ivan I. Krasnyuk
Polymers 2026, 18(6), 681; https://doi.org/10.3390/polym18060681 - 11 Mar 2026
Viewed by 427
Abstract
This review presents a comprehensive analysis of modern thermosensitive polymer systems for in situ systems (ISSs) which are used for targeted drug delivery in situ. The main classes of polymers used to create “smart” hydrogels that undergo a “sol–gel” phase transition in response [...] Read more.
This review presents a comprehensive analysis of modern thermosensitive polymer systems for in situ systems (ISSs) which are used for targeted drug delivery in situ. The main classes of polymers used to create “smart” hydrogels that undergo a “sol–gel” phase transition in response to a temperature stimulus in the physiological range are considered. Key representatives of thermosensitive matrices are described in detail: synthetic block copolymers (poloxamers, block copolymers of polylactic-co-polyglycolic acid with polyethyleneglycol, etc.) and natural, modified natural, and semi-synthetic polymers (chitosan, including in combination with β-glycerophosphate, xyloglucan, etc.). This paper systematizes the advantages and disadvantages of various thermosensitive systems and highlights the key risks in their pharmaceutical development, including the influence of the nature and concentration of the active pharmaceutical ingredients and excipients on the rheological properties and phase transition temperature. Particular attention is paid to the difference between thermoreversible and irreversible gel-forming systems. Modern in vitro, ex vivo, and in vivo methods for evaluating critical quality parameters of thermosensitive systems, such as gelation temperature and time, gel strength, mucoadhesive properties, and release kinetics, are discussed. The need to develop standardized and biologically relevant methods to improve the reproducibility and success of preclinical studies is emphasized. The review is intended to help researchers to make informed choices about polymer matrices and optimize compositions for successful pharmaceutical development. Full article
(This article belongs to the Special Issue Advanced Polymeric Biomaterials for Drug Delivery Applications)
Show Figures

Figure 1

24 pages, 22713 KB  
Article
Revitalizing Trimethoprim/Sulfamethoxazole via Nanotechnology for Improved Pharmacokinetics and Antibacterial Efficacy
by Yaxin Zhou, Jing Xu, Guonian Dai, Bing Li, Weiwei Wang, Bintao Zhai, Shulin Chen and Jiyu Zhang
Antibiotics 2026, 15(3), 283; https://doi.org/10.3390/antibiotics15030283 - 10 Mar 2026
Viewed by 293
Abstract
Objective: The therapeutic efficacy of the classic antibiotic combination trimethoprim/sulfamethoxazole (TMP/SMZ) is often limited by the significant pharmacokinetic mismatch. In this study, a polyethylene glycol-polylactic-co-glycolic acid (PEG-PLGA) nanodelivery system was employed to improve the pharmacokinetic matching of TMP and SMZ. The investigation [...] Read more.
Objective: The therapeutic efficacy of the classic antibiotic combination trimethoprim/sulfamethoxazole (TMP/SMZ) is often limited by the significant pharmacokinetic mismatch. In this study, a polyethylene glycol-polylactic-co-glycolic acid (PEG-PLGA) nanodelivery system was employed to improve the pharmacokinetic matching of TMP and SMZ. The investigation also evaluated the enhanced in vivo antibacterial efficacy of this formulation. Methods: Ultra-High Performance Liquid Chromatography–Tandem Mass Spectrometry (UPLC-MS/MS) was employed to systematically characterize the absorption, distribution, and excretion profiles of PEG-PLGA-loaded TMP nanoparticles (NPs) in rats. In vitro antibacterial activity was assessed against Escherichia coli (E. coli) and Staphylococcus aureus (S. aureus). In vivo efficacy and biosafety of the TMP NPs/SMZ regimen were evaluated using a murine E. coli infection model via survival monitoring, biochemical assays, and histopathology. Results: Pharmacokinetic analysis revealed that TMP NPs achieved a relative bioavailability of 193.05% and extended the elimination half-life by 3.37-fold compared to free TMP. Tissue distribution showed significantly increased drug accumulation in the liver, spleen, and kidneys, with renal clearance as the primary excretion pathway (73.89%). In vitro, the nano-formulation reduced the minimum inhibitory concentration (MIC) by 2-4-fold and shortened the bactericidal duration from 12 to 8 h. In vivo, the TMP NPs/SMZ combination significantly improved survival rates, accelerated recovery, and alleviated infection-induced organ damage without systemic toxicity. Conclusions: This nanotechnology-based strategy effectively aligns the pharmacokinetics of TMP and SMZ, prolongs their synergistic window, and enhances biosafety, offering a viable approach to revitalize classic antibiotic combinations. Full article
Show Figures

Figure 1

20 pages, 4682 KB  
Article
Biodegradable Poly(lactic acid)-Based Blends as Intrinsic Self-Healing Matrices for Multifunctional and Eco-Sustainable Composites
by Isacco Savioli, Laura Simonini, Daniele Rigotti, Alessandro Pegoretti and Andrea Dorigato
Molecules 2026, 31(6), 921; https://doi.org/10.3390/molecules31060921 - 10 Mar 2026
Viewed by 262
Abstract
In this work, compatibilized poly(lactic acid)/poly(butylene adipate-co-terephthalate) (PLA/PBAT) blends were developed and characterized, to be potentially utilized as biodegradable self-healing matrices for composite laminates. Blends containing 10, 20 and 30%wt of PBAT and 0.5 phr of an epoxy-based compatibilizer were prepared by melt [...] Read more.
In this work, compatibilized poly(lactic acid)/poly(butylene adipate-co-terephthalate) (PLA/PBAT) blends were developed and characterized, to be potentially utilized as biodegradable self-healing matrices for composite laminates. Blends containing 10, 20 and 30%wt of PBAT and 0.5 phr of an epoxy-based compatibilizer were prepared by melt compounding and hot pressing. Rheological measurements showed that moduli and complex viscosity generally increased with PBAT content, while maintaining viscosity levels suitable for conventional melt-processing operations. FT-IR and FESEM analyses confirmed the formation of an immiscible but well-compatibilized morphology, characterized by a homogeneous dispersion of PBAT domains within the PLA phase. Mechanical tests revealed a decrease in tensile modulus (up to 44%), strength (up to 45%) and fracture toughness (up to 40%) with a PBAT content up to 30%wt. Self-healing was evaluated by measuring the fracture toughness (KIC) recovery after thermal treatment at 140 °C. After healing, the blend containing 20%wt of PBAT exhibited a self-healing efficiency of 64% under impact conditions, which was attributed to the smoother fracture surface generated at an elevated strain rate that facilitated a more effective flow of the molten PBAT phase across the crack interface during healing. The formulation containing 20%wt of PBAT featured the best balance between mechanical performance and self-healing efficiency. Full article
Show Figures

Graphical abstract

19 pages, 812 KB  
Proceeding Paper
Recent Advances in Fiber-Reinforced Biopolymers Derived from Rice Husk Waste for Sustainable Construction Materials
by Pabina Rani Boro, Partha Protim Borthakur, Madhurjya Saikia, Saroj Yadav and Rupam Deka
Mater. Proc. 2025, 26(1), 16; https://doi.org/10.3390/materproc2025026016 - 9 Mar 2026
Viewed by 120
Abstract
The increasing demand for sustainable and environmentally friendly construction materials has spurred interest in biopolymer composites reinforced with agricultural waste. Rice husk (RH), a byproduct of rice milling, is abundant and rich in lignocellulosic fibers and silica, making it excellent for use in [...] Read more.
The increasing demand for sustainable and environmentally friendly construction materials has spurred interest in biopolymer composites reinforced with agricultural waste. Rice husk (RH), a byproduct of rice milling, is abundant and rich in lignocellulosic fibers and silica, making it excellent for use in fiber-reinforced biopolymers. The novelty of this study lies in its integrated and construction-oriented evaluation of rice husk (RH)-reinforced biopolymers, combining mechanical, thermal, environmental, and economic perspectives within a single framework. The study introduces a novel comparative approach by benchmarking multiple polymer matrices-including PP, recycled HDPE, epoxy, PLA, and bio-binders-under unified quantitative performance criteria. Another key novelty is the identification of the dual functional role of silica-rich RH in simultaneously enhancing structural strength and flame retardancy while contributing to carbon emission reduction. With a high silica content (15–20%) and lignocellulosic structure, RH serves as a natural filler that enhances the performance of polymer matrices such as polypropylene (PP), epoxy, polylactic acid (PLA), and recycled polyethylene. Mechanically, RH-reinforced composites demonstrate significant improvements in tensile, flexural, and impact strength. For example, PP composites with NaOH-treated RH and coffee husks achieved tensile strengths between 27.4 MPa and 37.4 MPa, with corresponding Young’s modulus values ranging from 1656 MPa to 2247.8 MPa. Recycled HDPE-RH blends reached tensile strengths up to 74 MPa and flexural values of 39 MPa, validating their structural applicability. Epoxy matrices embedded with 0.45 wt.% RH nanofibers showed degradation thresholds of 411 °C and 678 °C, reflecting substantial thermal resistance. Flame retardancy is further improved by the presence of RH biochar, which leads to reduced peak heat release rate (PHRR) and enhanced char formation. In building insulation applications, RH-based composites exhibit low thermal conductivity values between 0.08 and 0.14 W/m·K, contributing to energy efficiency. Economically, RH reduces material costs by 30–40%, while environmentally, its integration lowers carbon emissions in PP composites by up to 10%, and promotes biodegradability. Despite challenges such as moisture absorption and interfacial adhesion, these can be mitigated through alkali treatment, compatibilizers (e.g., MAPP), or hybrid reinforcement strategies. Full article
(This article belongs to the Proceedings of The 4th International Online Conference on Materials)
Show Figures

Figure 1

24 pages, 1686 KB  
Article
Obtention and Characterization of Bio-Based Composite PBAT/PLA Active Trays for Fresh Food Packaging
by Tatiana Jiménez-Ariza, Sofía Castellanos-González, Johanna Garavito and Diego A. Castellanos
Polymers 2026, 18(5), 665; https://doi.org/10.3390/polym18050665 - 9 Mar 2026
Viewed by 620
Abstract
Currently, the packaging sector must continue developing more sustainable systems to reduce the high quantities of single-use plastic waste generated. This study evaluated the production and characterization of bio-based composite trays with antimicrobial activity. Different formulations of polybutylene adipate co-terephthalate (PBAT) and polylactic [...] Read more.
Currently, the packaging sector must continue developing more sustainable systems to reduce the high quantities of single-use plastic waste generated. This study evaluated the production and characterization of bio-based composite trays with antimicrobial activity. Different formulations of polybutylene adipate co-terephthalate (PBAT) and polylactic acid (PLA) with polyethylene glycol (PEG) as plasticizer and citric acid as a compatibilizer/crosslinker were evaluated, in addition to the inclusion of plantain microfibers (PFs), TiO2, and menthol as reinforcing and antimicrobial agents, respectively. The mixtures were subjected to pellet extrusion (165/175/185/190 °C and 60 rpm) and then to flat sheet extrusion (at 185/190/195/205 °C and 60 rpm), besides calendering (at 3.5–6.0 rpm). A single-screw extruder was used in both cases. The obtained sheets (0.317 ± 0.040 mm thick and 17 cm wide) were molded into 12.5 × 11.0 × 3.5 cm trays in a thermoforming machine (at 325 °C and vacuum pressure). For the resulting composite sheets and trays, measurements of mechanical strength, moisture absorption, barrier (WVTR), transmittance, and color were performed. FT-IR, DSC, TGA, SEM, and in vitro antimicrobial tests were also conducted. Based on these tests, an initial formulation with an 85/15 (w/w) PLA/PBAT ratio was defined, which was then reinforced with 3% (w/w) PF. Furthermore, the inclusion of 5% (w/w) menthol in the composite led to fungistatic activity against Botrytis cinerea, also resulting in homogeneous sheets (tensile strength 24.137 ± 1.439 MPa) and trays (compressive strength 0.113 ± 0.010 MPa). These findings can be applied to the packaging and preservation of perishable produce. Full article
(This article belongs to the Special Issue Biodegradable and Functional Polymers for Food Packaging)
Show Figures

Graphical abstract

20 pages, 7316 KB  
Article
Effects of Different Biodegradable Mulch Films on Grain Filling Dynamics and Hormone Contents in Maize Grown in a Cold Region
by Yangming Guo, Yating Zhuang, Haoran Li, Danhui Zhang, Fei Li, Shaofeng Bian, Chen Xu, Lihua Zhang, Lizi Zhang, Hongxiang Zhao and Ning Sun
Agriculture 2026, 16(5), 614; https://doi.org/10.3390/agriculture16050614 - 6 Mar 2026
Viewed by 228
Abstract
In the cold and cool region of northeastern China, low temperature and limited soil moisture retention constrain maize yield, and mulching is widely used to alleviate these limitations. To reduce the environmental risks associated with polyethylene (PE) film, a two-year field experiment (2024–2025) [...] Read more.
In the cold and cool region of northeastern China, low temperature and limited soil moisture retention constrain maize yield, and mulching is widely used to alleviate these limitations. To reduce the environmental risks associated with polyethylene (PE) film, a two-year field experiment (2024–2025) was conducted to evaluate biodegradable films suitable for maize production in this region. Five mulching treatments were tested, including PE film (T1) and four biodegradable options—polypropylene carbonate (PPC, T2), polybutylene adipate terephthalate (PBAT, T3), polylactic acid (PLA, T4), and a PBAT + PPC composite film (T5)—with no mulching as the control (CK). Across two growing seasons, T1–T5 increased the effective grain filling duration by 4.74–13.58%, raised grain auxin content during grain filling by 1.54–29.33%, and increased the two-year mean yield by 13.95–24.73% compared with CK. Notably, the PBAT + PPC composite film (T5) did not differ significantly from PE film (T1) in grain filling traits, hormone regulation, or yield improvement (p > 0.05), indicating that T5 is a promising and sustainable alternative to PE film for maize production in cold regions. These findings provide technical support for selecting and applying biodegradable mulch films in cold-region maize systems and contribute to environmentally sustainable high-yield cultivation. Full article
(This article belongs to the Section Crop Production)
Show Figures

Figure 1

Back to TopTop