High-Pressure Synthesis of Cubic ZnO and Its Solid Solutions with MgO Doped with Li, Na, and K
Abstract
1. Introduction
2. Materials and Methods
2.1. Synthesis of MgxZn1−xO Alloys Doped with Li, Na, and K Metals
2.2. Synthesis of rs-ZnO Doped with Li, Na, and K Metals
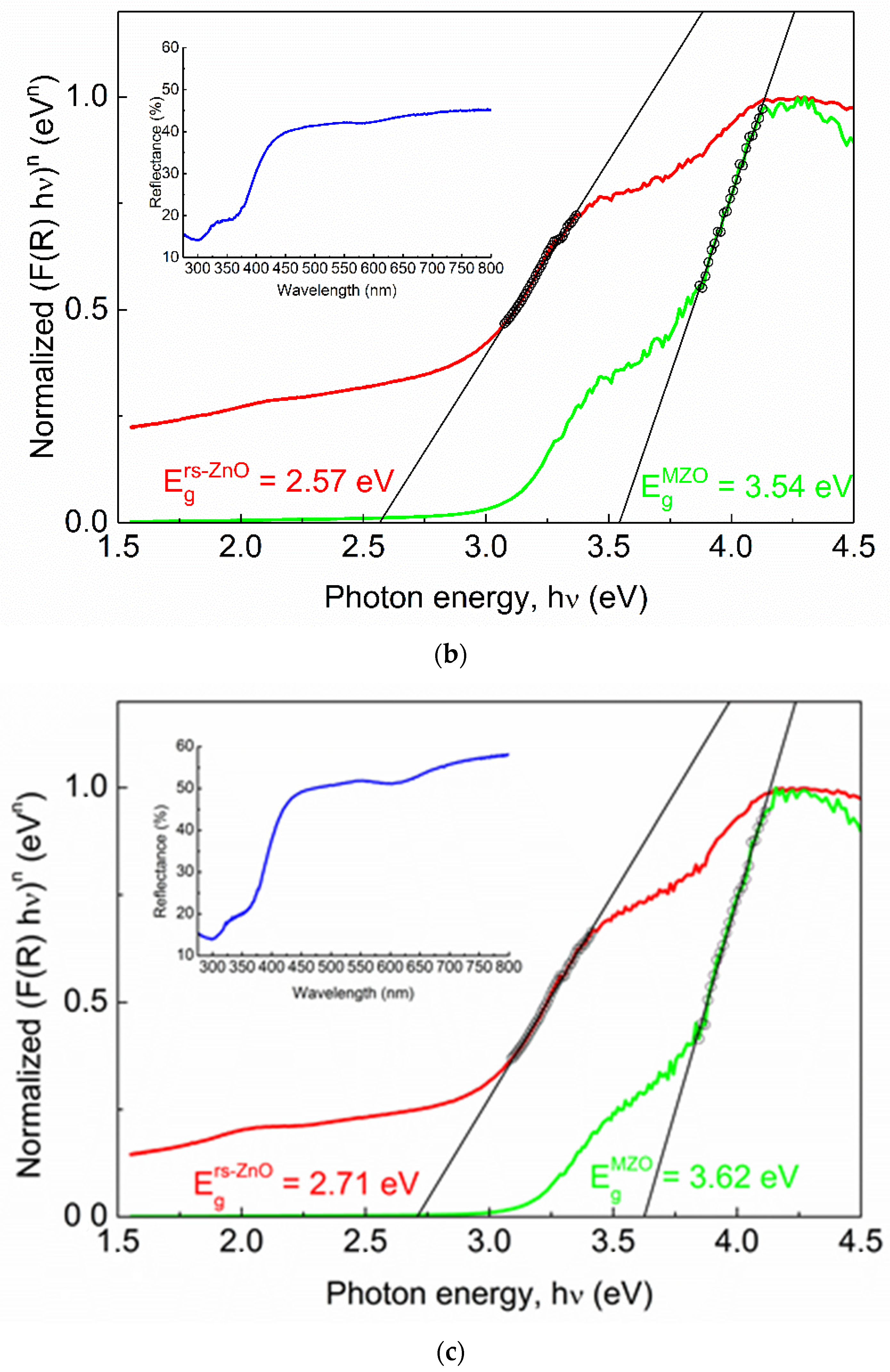
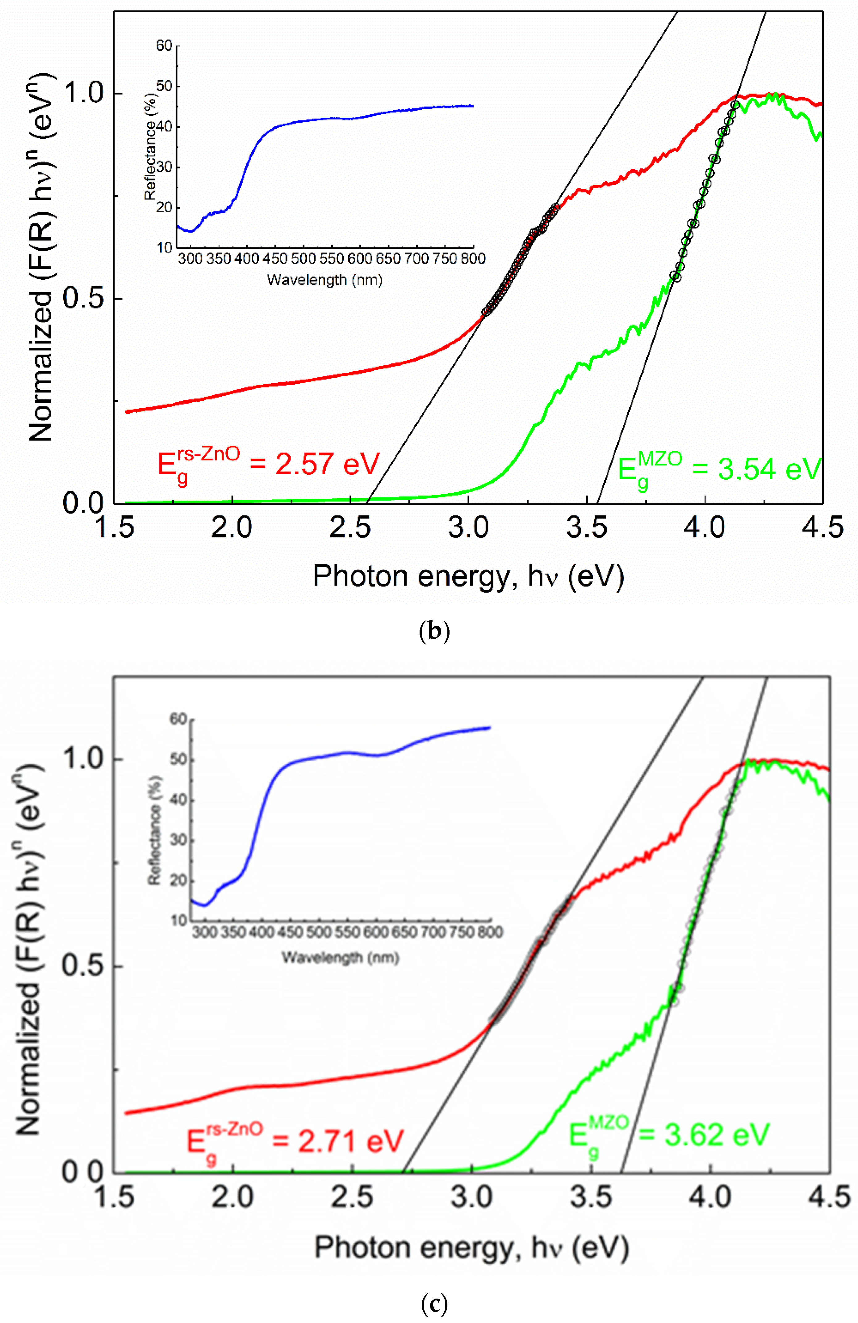
3. Results
4. Conclusions
Supplementary Materials
Author Contributions
Funding
Institutional Review Board Statement
Informed Consent Statement
Data Availability Statement
Acknowledgments
Conflicts of Interest
References
- Wager, J.F. Transparent Electronics. Science 2003, 300, 1245–1246. [Google Scholar] [CrossRef]
- Panigrahi, S.; Sarkar, S.; Basak, D. Metal-Free Doping Process to Enhance the Conductivity of Zinc Oxide Nanorods Retaining the Transparency. ACS Appl. Mater. Interfaces 2012, 4, 2709–2716. [Google Scholar] [CrossRef]
- Ganose, A.M.; Scanlon, D.O.; Walsh, A.; Hoye, R.L.Z. The Defect Challenge of Wide-Bandgap Semiconductors for Photovoltaics and Beyond. Nat. Commun. 2022, 13, 4715. [Google Scholar] [CrossRef]
- Amano, H.; Kito, M.; Hiramatsu, K.; Akasaki, I. P-Type Conduction in Mg-Doped GaN Treated with Low-Energy Electron Beam Irradiation (LEEBI). Jpn. J. Appl. Phys. 1989, 28, L2112. [Google Scholar] [CrossRef]
- Chen, Y.; Bagnall, D.M.; Koh, H.; Park, K.; Hiraga, K.; Zhu, Z.; Yao, T. Plasma Assisted Molecular Beam Epitaxy of ZnO on c-Plane Sapphire: Growth and Characterization. J. Appl. Phys. 1998, 84, 3912–3918. [Google Scholar] [CrossRef]
- Reimann, K.; Steube, M.; Fröhlich, D.; Clarke, S.J. Exciton Binding Energies and Band Gaps in GaN Bulk Crystals. J. Cryst. Growth 1998, 189–190, 652–655. [Google Scholar] [CrossRef]
- Sun, J.W.; Lu, Y.M.; Liu, Y.C.; Shen, D.Z.; Zhang, Z.Z.; Yao, B.; Li, B.H.; Zhang, J.Y.; Zhao, D.X.; Fan, X.W. Nitrogen-Related Recombination Mechanisms in p-Type ZnO Films Grown by Plasma-Assisted Molecular Beam Epitaxy. J. Appl. Phys. 2007, 102, 043522. [Google Scholar] [CrossRef]
- Kim, K.-K.; Kim, H.-S.; Hwang, D.-K.; Lim, J.-H.; Park, S.-J. Realization of p-Type ZnO Thin Films via Phosphorus Doping and Thermal Activation of the Dopant. Appl. Phys. Lett. 2003, 83, 63–65. [Google Scholar] [CrossRef]
- Huang, Y.-C.; Weng, L.-W.; Uen, W.-Y.; Lan, S.-M.; Li, Z.-Y.; Liao, S.-M.; Lin, T.-Y.; Yang, T.-N. Annealing Effects on the p-Type ZnO Films Fabricated on GaAs Substrate by Atmospheric Pressure Metal Organic Chemical Vapor Deposition. J. Alloys Compd. 2011, 509, 1980–1983. [Google Scholar] [CrossRef]
- Dai, W.; Pan, X.; Chen, S.; Chen, C.; Chen, W.; Zhang, H.; Ye, Z. ZnO Homojunction UV Photodetector Based on Solution-Grown Sb-Doped p-Type ZnO Nanorods and Pure n-type ZnO Nanorods. RSC Adv. 2015, 5, 6311–6314. [Google Scholar] [CrossRef]
- Taibarei, N.O.; Kytin, V.G.; Konstantinova, E.A.; Kulbachinskii, V.A.; Shalygina, O.A.; Pavlikov, A.V.; Savilov, S.V.; Tafeenko, V.A.; Mukhanov, V.A.; Solozhenko, V.L.; et al. Doping Nature of Group V Elements in ZnO Single Crystals Grown from Melts at High Pressure. Cryst. Growth Des. 2022, 22, 2452–2461. [Google Scholar] [CrossRef]
- Zeng, Y.J.; Ye, Z.Z.; Lu, J.G.; Xu, W.Z.; Zhu, L.P.; Zhao, B.H. Identification of Acceptor States in Li-doped p-Type ZnO Thin Films. Appl. Phys. Lett. 2006, 89, 042106. [Google Scholar] [CrossRef]
- Lin, S.S.; He, H.P.; Lu, Y.F.; Ye, Z.Z. Mechanism of Na-Doped p-Type ZnO Films: Suppressing Na Interstitials by Codoping with H and Na of Appropriate Concentrations. J. Appl. Phys. 2009, 106, 093508. [Google Scholar] [CrossRef]
- Gupta, M.K.; Sinha, N.; Kumar, B. p-Type K-Doped ZnO Nanorods for Optoelectronic Applications. J. Appl. Phys. 2011, 109, 083532. [Google Scholar] [CrossRef]
- Janotti, A.; Van de Walle, C.G. Native Point Defects in ZnO. Phys. Rev. B 2007, 76, 165202. [Google Scholar] [CrossRef]
- Wardle, M.G.; Goss, J.P.; Briddon, P.R. Theory of Li in ZnO: A Limitation for Li-Based p-Type Doping. Phys. Rev. B 2005, 71, 155205. [Google Scholar] [CrossRef]
- Kusaba, K.; Syono, Y.; Kikegawa, T. Phase Transition of ZnO Under High Pressure and Temperature. Proc. Jpn. Acad. Ser. B 1999, 75, 1–6. [Google Scholar] [CrossRef]
- Jiang, J.Z.; Olsen, J.S.; Gerward, L.; Frost, D.; Rubie, D.; Peyronneau, J. Structural Stability in Nanocrystalline ZnO. Europhys. Lett. 2000, 50, 48. [Google Scholar] [CrossRef]
- Toporkov, M.; Demchenko, D.O.; Zolnai, Z.; Volk, J.; Avrutin, V.; Morkoç, H.; Özgür, Ü. Lattice parameters and electronic structure of BeMgZnO quaternary solid solutions: Experiment and theory. J. Appl. Phys. 2016, 119, 095311. [Google Scholar] [CrossRef]
- Koster, R.S.; Fang, C.M.; Dijkstra, M.; van Blaaderen, A.; van Huis, M.A. Stabilization of Rock Salt ZnO Nanocrystals by Low-Energy Surfaces and Mg Additions: A First-Principles Study. J. Phys. Chem. C 2015, 119, 5648–5656. [Google Scholar] [CrossRef]
- Solozhenko, V.L.; Baranov, A.N.; Turkevich, V.Z. High-Pressure Formation of MgxZn1−xO Solid Solutions with Rock Salt Structure. Solid State Commun. 2006, 138, 534–537. [Google Scholar] [CrossRef][Green Version]
- Seko, A.; Oba, F.; Kuwabara, A.; Tanaka, I. Pressure-Induced Phase Transition in ZnO and ZnO-MgO Pseudobinary System: A First-Principles Lattice Dynamics Study. Phys. Rev. B 2005, 72, 024107. [Google Scholar] [CrossRef]
- Baranov, A.N.; Sokolov, P.S.; Tafeenko, V.A.; Lathe, C.; Zubavichus, Y.V.; Veligzhanin, A.A.; Chukichev, M.V.; Solozhenko, V.L. Nanocrystallinity as a Route to Metastable Phases: Rock Salt ZnO. Chem. Mater. 2013, 25, 1775–1782. [Google Scholar] [CrossRef]
- Wang, X.-D.; Zhou, H.; Wang, H.-Q.; Ren, F.; Chen, X.-H.; Zhan, H.-H.; Zhou, Y.-H.; Kang, J.-Y. Cubic ZnO Films Obtained at Low Pressure by Molecular Beam Epitaxy. Chin. Phys. B 2015, 24, 097106. [Google Scholar] [CrossRef]
- Goyal, A.; Stevanović, V. Metastable Rocksalt ZnO is p-Type Dopable. Phys. Rev. Mater. 2018, 2, 084603. [Google Scholar] [CrossRef]
- Kim, J.-W.; Lee, H.-G. Thermal and Carbothermic Decomposition of Na2CO3 and Li2CO3. Metall. Mater. Trans. B 2001, 32, 17–24. [Google Scholar] [CrossRef]
- Lehman, R.L.; Gentry, J.S.; Glumac, N.G. Thermal Stability of Potassium Carbonate Near its Melting Point. Thermochim. Acta 1998, 316, 1–9. [Google Scholar] [CrossRef]
- Mukhanov, V.A.; Sokolov, P.S.; Baranov, A.N.; Timoshenko, V.Y.; Zhigunov, D.M.; Solozhenko, V.L. Congruent Melting and Rapid Single-Crystal Growth of ZnO at 4 GPa. CrystEngComm 2013, 15, 6318–6322. [Google Scholar] [CrossRef]
- Zhu, Y.Z.; Chen, G.D.; Ye, H.; Walsh, A.; Moon, C.Y.; Wei, S.-H. Electronic Structure and Phase Stability of MgO, ZnO, CdO, and Related Ternary Alloys. Phys. Rev. B 2008, 77, 245209. [Google Scholar] [CrossRef]
- Hayashi, K.; Matsumura, Y.; Kobayashi, S.; Morishita, H.; Koike, H.; Miwa, S.; Mizuochi, N.; Suzuki, Y. Electron Paramagnetic Resonance Study of MgO Thin-Film Grown on Silicon. J. Appl. Phys. 2017, 121, 213901. [Google Scholar] [CrossRef]
- Wertz, J.E.; Auzins, P.; Weeks, R.A.; Silsbee, R.H. Electron Spin Resonance of E Centers in Magnesium Oxide; Confirmation of the Spin of Magnesium-25. Phys. Rev. 1957, 107, 1535. [Google Scholar] [CrossRef]
- Giamello, E.; Paganini, M.C.; Murphy, D.M.; Ferrari, A.M.; Pacchioni, G. A Combined EPR and Quantum Chemical Approach to the Structure of Surface Fs+(H) Centers on MgO. J. Phys. Chem. B 1997, 101, 971–982. [Google Scholar] [CrossRef]
- Sterrer, M.; Diwald, O.; Knözinger, E. Vacancies and Electron Deficient Surface Anions on the Surface of MgO Nanoparticles. J. Phys. Chem. B 2000, 104, 3601–3607. [Google Scholar] [CrossRef]
- Logsdail, A.J.; Downing, C.A.; Keal, T.W.; Sherwood, P.; Sokol, A.A.; Catlow, C.L.A. Modelling the Chemistry of Mn-Doped MgO for Bulk and (100) Surfaces. Phys. Chem. Chem. Phys. 2016, 18, 28648–28660. [Google Scholar] [CrossRef] [PubMed]
- Segura, A.; Sans, J.A.; Manjón, F.J.; Muñoz, A.; Herrera-Cabrera, M.J. Optical Properties and Electronic Structure of Rock-Salt ZnO Under Pressure. Appl. Phys. Lett. 2003, 83, 278–280. [Google Scholar] [CrossRef]
- Roessler, D.M.; Walker, W.C. Electronic Spectrum and Ultraviolet Optical Properties of Crystalline MgO. Phys. Rev. 1967, 159, 733. [Google Scholar] [CrossRef]
- Escobedo-Morales, A.; Ruiz-López, I.I.; Ruiz-Peralta, M.d.L.; Tepech-Carrillo, L.; Sánchez-Cantú, M.; Moreno-Orea, J.E. Automated Method for the Determination of the Band Gap Energy of Pure and Mixed Powder Samples Using Diffuse Reflectance Spectroscopy. Heliyon 2019, 5, e01505. [Google Scholar] [CrossRef]
- Baranov, A.N.; Sokolov, P.S.; Solozhenko, V.L. ZnO under Pressure: From Nanoparticles to Single Crystals. Crystals 2022, 12, 744. [Google Scholar] [CrossRef]
- Sokolov, P.S.; Baranov, A.N.; Solozhenko, V.L. Phase Stability and Thermal Expansion of ZnO Solid Solutions with 3d Transition Metal Oxides Synthesized at High Pressure. J. Phys. Chem. Solids 2023, 180, 111437. [Google Scholar] [CrossRef]










| Composition | Undoped | K-Doped | Na-Doped | Li-Doped |
|---|---|---|---|---|
| 20% MgO | 2.7 | 10.3 | 6.3 | 3.2 |
| 30% MgO | 5.6 | 3.1 | 2.2 | 0.27 |
| Composition | Undoped | K-Doped | Na-Doped | Li-Doped |
|---|---|---|---|---|
| 20% MgO | 11 | 4.0 | 3.4 | 3.5 |
| 30% MgO | 13 | 4.7 | - | - |
Disclaimer/Publisher’s Note: The statements, opinions and data contained in all publications are solely those of the individual author(s) and contributor(s) and not of MDPI and/or the editor(s). MDPI and/or the editor(s) disclaim responsibility for any injury to people or property resulting from any ideas, methods, instructions or products referred to in the content. |
© 2023 by the authors. Licensee MDPI, Basel, Switzerland. This article is an open access article distributed under the terms and conditions of the Creative Commons Attribution (CC BY) license (https://creativecommons.org/licenses/by/4.0/).
Share and Cite
Taibarei, N.O.; Kytin, V.G.; Konstantinova, E.A.; Kulbachinskii, V.A.; Savilov, S.V.; Mukhanov, V.A.; Solozhenko, V.L.; Brazhkin, V.V.; Baranov, A.N. High-Pressure Synthesis of Cubic ZnO and Its Solid Solutions with MgO Doped with Li, Na, and K. Materials 2023, 16, 5341. https://doi.org/10.3390/ma16155341
Taibarei NO, Kytin VG, Konstantinova EA, Kulbachinskii VA, Savilov SV, Mukhanov VA, Solozhenko VL, Brazhkin VV, Baranov AN. High-Pressure Synthesis of Cubic ZnO and Its Solid Solutions with MgO Doped with Li, Na, and K. Materials. 2023; 16(15):5341. https://doi.org/10.3390/ma16155341
Chicago/Turabian StyleTaibarei, Nikolai O., Vladimir G. Kytin, Elizaveta A. Konstantinova, Vladimir A. Kulbachinskii, Serguei V. Savilov, Vladimir A. Mukhanov, Vladimir L. Solozhenko, Vadim V. Brazhkin, and Andrei N. Baranov. 2023. "High-Pressure Synthesis of Cubic ZnO and Its Solid Solutions with MgO Doped with Li, Na, and K" Materials 16, no. 15: 5341. https://doi.org/10.3390/ma16155341
APA StyleTaibarei, N. O., Kytin, V. G., Konstantinova, E. A., Kulbachinskii, V. A., Savilov, S. V., Mukhanov, V. A., Solozhenko, V. L., Brazhkin, V. V., & Baranov, A. N. (2023). High-Pressure Synthesis of Cubic ZnO and Its Solid Solutions with MgO Doped with Li, Na, and K. Materials, 16(15), 5341. https://doi.org/10.3390/ma16155341

