Optoelectrical Properties of Treated CdSe Thin Films with Variations in Indium Chloride Concentration
Abstract
1. Introduction
2. Experimental Details
2.1. CdSe Thin Film Growth
2.2. CdSe Thin Film Characterization
3. Results and Discussions
3.1. Structural Properties Analysis
3.2. Morphology and Compositional Analysis
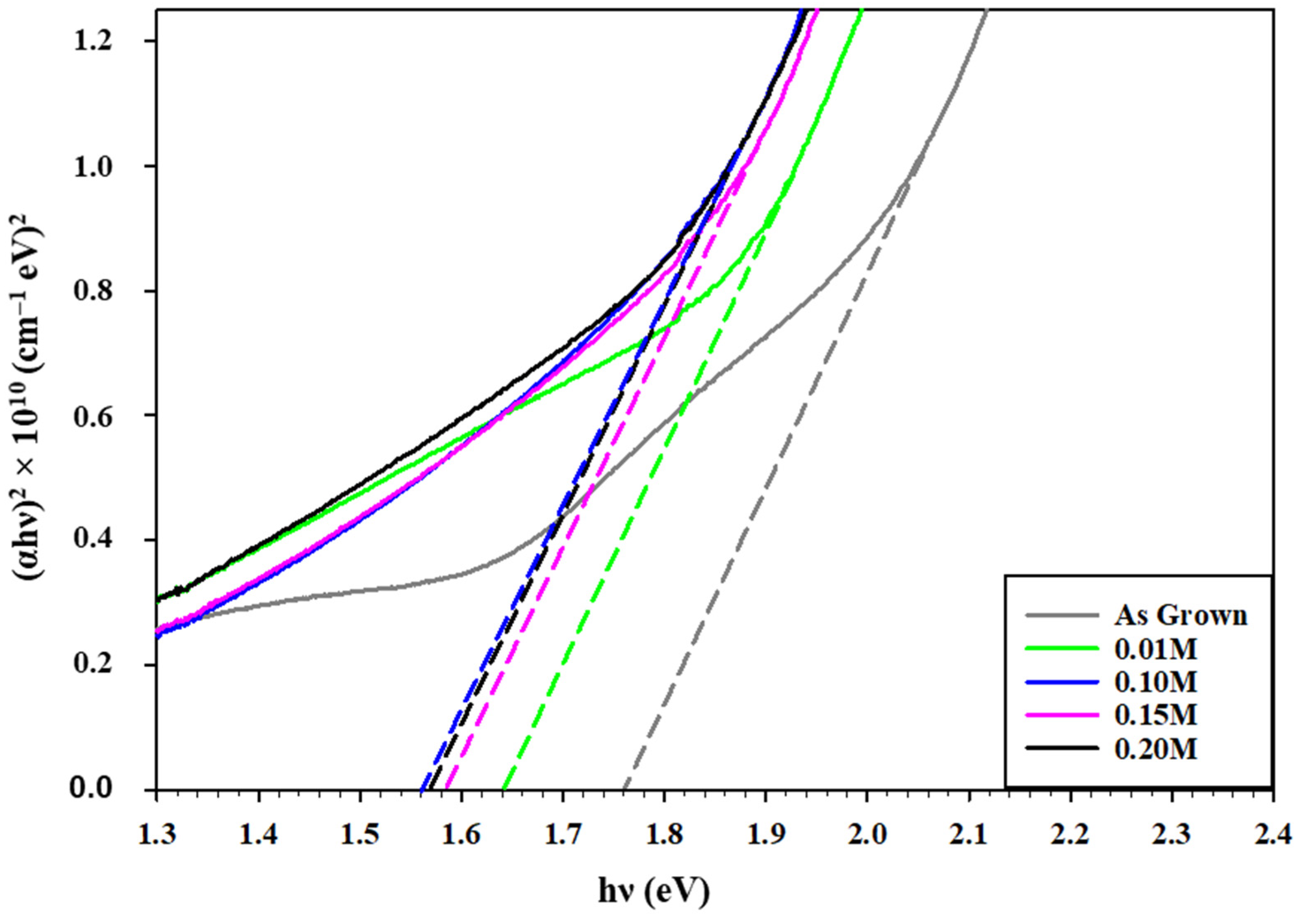
3.3. Optical Analysis
3.4. Electrical Properties’ Analysis
4. Conclusions
Author Contributions
Funding
Data Availability Statement
Acknowledgments
Conflicts of Interest
References
- Sarker, E.; Halder, P.; Seyedmahmoudian, M.; Jamei, E.; Horan, B.; Mekhilef, S.; Stojcevski, A. Progress on the demand side management in smart grid and optimization approaches. Int. J. Energy Res. 2021, 45, 36–64. [Google Scholar] [CrossRef]
- Wilson, G.M.; Al-Jassim, M.; Metzger, W.K.; Glunz, S.W.; Verlinden, P.; Xiong, G.; Mansfield, L.M.; Stanbery, B.J.; Zhu, K.; Yan, Y. The 2020 photovoltaic technologies roadmap. J. Phys. D Appl. Phys. 2020, 53, 493001. [Google Scholar] [CrossRef]
- Sharma, K.; Poonam; Saini, G.S.S.; Tripathi, S.K. A comparative study of transport properties of copper doped cadmium selenide thin films at two dopant concentrations. J. Mater. Sci. Mater. Electron. 2018, 29, 9596–9604. [Google Scholar] [CrossRef]
- Green, M.; Dunlop, E.; Hohl-Ebinger, J.; Yoshita, M.; Kopidakis, N.; Hao, X. Solar cell efficiency tables (version 57). Prog. Photovolt. Res. Appl. 2021, 29, 3–15. [Google Scholar] [CrossRef]
- Li, C.; Wang, F.; Chen, Y.; Wu, L.; Zhang, J.; Li, W.; He, X.; Li, B.; Feng, L. Characterization of sputtered CdSe thin films as the window layer for CdTe solar cells. Mater. Sci. Semicond. Process. 2018, 83, 89–95. [Google Scholar] [CrossRef]
- Abdulkaleq, S.Y.; Al Taan, L.M. Effect of Switching the Preparation Solution for CdSe Films by (CBD) Method on, Thickness, Optical and Structure Properties of the Films. Rafidain J. Sci. 2021, 30, 46–54. [Google Scholar] [CrossRef]
- Song, Z.; Wang, Y.; Zhu, Y.; Bai, P.; Hu, A.; Gao, Y. Targeted transfer of self-assembled CdSe nanoplatelet film onto WS2 flakes to construct hybrid heterostructures. J. Semicond. 2021, 42, 082901. [Google Scholar] [CrossRef]
- Ji, Z.; Song, Z. Exciton radiative lifetime in CdSe quantum dots. J. Semicond. 2023, 44, 032702-1–032702-10. [Google Scholar]
- Patel, S.; Purohit, A.; Chander, S.; Kannan, M.; Dhaka, M. An approach to MgCl2 activation on CdSe thin films for solar cells. Curr. Appl. Phys. 2018, 18, 803–809. [Google Scholar] [CrossRef]
- Ojo, A.A.; Dharmadasa, I.M. Electroplating of semiconductor materials for applications in large area electronics: A review. Coatings 2018, 8, 262. [Google Scholar] [CrossRef]
- Ibrahim, M.; Chelvanathan, P.; Mottakin, M.; Muhammad, G.; Miraz, M.H.; Akhtaruzzaman; Shahiduzzaman; Sobayel, K.; Kamal, N. Effect of CuCl2 treatment on RF magnetron-sputtered CdSe thin films for potential photovoltaic usage. Jpn. J. Appl. Phys. 2022, 61, 065504. [Google Scholar] [CrossRef]
- Mahato, S.; Shakti, N.; Kar, A. Annealing temperature dependent structural and optical properties of electrodeposited CdSe thin films. Mater. Sci. Semicond. Process. 2015, 39, 742–747. [Google Scholar] [CrossRef]
- de la Cueva, L.; Lauwaet, K.; Otero, R.; Gallego, J.M.; Alonso, C.; Juarez, B.H. Effect of chloride ligands on cdse nanocrystals by cyclic voltammetry and X-ray photoelectron spectroscopy. J. Phys. Chem. C 2014, 118, 4998–5004. [Google Scholar] [CrossRef]
- Munshi, A.H.; Kephart, J.M.; Abbas, A.; Danielson, A.; Gḗlinas, G.; Beaudry, J.-N.; Barth, K.L.; Walls, J.M.; Sampath, W.S. Effect of CdCl2 passivation treatment on microstructure and performance of CdSeTe/CdTe thin-film photovoltaic devices. Sol. Energy Mater. Sol. Cells 2018, 186, 259–265. [Google Scholar] [CrossRef]
- Major, J.D.; Treharne, R.E.; Phillips, L.J.; Durose, K. A low-cost non-toxic post-growth activation step for CdTe solar cells. Nature 2014, 511, 334–337. [Google Scholar] [CrossRef]
- Greenhalgh, R.C.; Abbas, A.; Munshi, A.H.; Shimpi, T.M.; Barth, K.L.; Sampath, W.S.; Bowers, J.W.; Walls, J.M. Activation of thin film CdTe solar cells using a cadmium bromide treatment. In Proceedings of the 2018 IEEE 7th World Conference on Photovoltaic Energy Conversion (WCPEC) (A Joint Conference of 45th IEEE PVSC, 28th PVSEC & 34th EU PVSEC), Waikoloa, HI, USA, 10–15 June 2018; pp. 2990–2993. [Google Scholar]
- Leushina, A.P.; Danilov, D.N.; Zyablitseva, E.V. Introduction of microdoses of germanium and indium dopants into the bulk and surface layers of semiconductor materials. Glas. Phys. Chem. 2008, 34, 716–723. [Google Scholar] [CrossRef]
- Williams, B.L.; Major, J.D.; Bowen, L.; Keuning, W.; Creatore, M.; Durose, K. A comparative study of the effects of nontoxic chloride treatments on CdTe solar cell microstructure and stoichiometry. Adv. Energy Mater. 2015, 5, 1500554. [Google Scholar] [CrossRef]
- Macarie, L.; Simulescu, V.; Ilia, G. Phosphonium-Based Ionic Liquids Used as Reagents or Catalysts. Chemistryselect 2019, 4, 9285–9299. [Google Scholar] [CrossRef]
- Harif, M.N.; Rahman, K.S.; Rosly, H.N.; Chelvanathan, P.; Doroody, C.; Misran, H.; Amin, N. An approach to alternative post-deposition treatment in CdTe thin films for solar cell application. Superlattices Microstruct. 2020, 147, 106687. [Google Scholar] [CrossRef]
- Potlog, T.; Ghimpu, L.; Gashin, P.; Pudov, A.; Nagle, T.; Sites, J. Influence of annealing in different chlorides on the photovoltaic parameters of CdS/CdTe solar cells. Sol. Energy Mater. Sol. Cells 2003, 80, 327–334. [Google Scholar] [CrossRef]
- Kim, S.; Song, J.-Y.; Kim, D.; Hong, J.; Cho, I.J.; Kim, Y.H.; Jeong, J.-U.; Yoon, M.S.; Ahn, S.-J.; Chung, W.-K.; et al. Effect of novel double treatment on the properties of CdTe solar cells. Energy Rep. 2021, 7, 1396–1403. [Google Scholar] [CrossRef]
- Cochran, E.A.; Woods, K.N.; Johnson, D.W.; Page, C.J.; Boettcher, S.W. Unique chemistries of metal-nitrate precursors to form metal-oxide thin films from solution: Materials for electronic and energy applications. J. Mater. Chem. A 2019, 7, 24124–24149. [Google Scholar] [CrossRef]
- Santos, J.L.; Soares, J.X.; Rodrigues, S.S.M.; Ribeiro, D.S. Semiconductor Quantum Dots in Chemical Analysis; John Wiley and Sons Ltd.: West Sussex, UK, 2019; pp. 309–343. [Google Scholar]
- Venkatachalam, V.; Ganapathy, S.; Perumal, I.; Priyadarshini, N.; Santhosh Jeferson Stanley, J.S. The Size and Defect Controlled CdTe: In Colloidal Quantum Dots Via Varying the InCl3 Dopant Precursor Concentration in Aqueous Medium for Improving Solar Cell Performance. Inorg. Chem. Commun. 2023, 150, 110395. [Google Scholar] [CrossRef]
- Baines, T.; Zoppi, G.; Bowen, L.; Shalvey, T.P.; Mariotti, S.; Durose, K.; Major, J.D. Incorporation of CdSe layers into CdTe thin film solar cells. Sol. Energy Mater. Sol. Cells 2018, 180, 196–204. [Google Scholar] [CrossRef]
- Kitazono, K.; Akashi, R.; Fujiwara, K.; Akita, A.; Naya, S.I.; Fujishima, M.; Tada, H. Photocatalytic synthesis of CdS (core)–CdSe (shell) quantum dots with a heteroepitaxial junction on TiO2: Photoelectrochemical hydrogen generation from water. ChemPhysChem 2017, 18, 2840–2845. [Google Scholar] [CrossRef]
- Patel, S.; Himanshu; Chander, S.; Purohit, A.; Kannan, M.; Dhaka, M. Understanding the physical properties of CdCl2 treated thin CdSe films for solar cell applications. Opt. Mater. 2019, 89, 42–47. [Google Scholar] [CrossRef]
- Kumar, V.; Sandhu, G.S.; Sharma, T.P.; Hussain, M. Growth and Characterization of Cd1− XZnXTe-Sintered Films. Res. Lett. Mater. Sci. 2007, 2007, 1–5. [Google Scholar] [CrossRef]
- Perna, G.; Capozzi, V.; Minafra, A.; Pallara, M.; Ambrico, M. Effects of the indium doping on structural and optical properties of CdSe thin films deposited by laser ablation technique. Eur. Phys. J. B 2003, 32, 339–344. [Google Scholar] [CrossRef]
- Kotb, H.M.; Dabban, M.; Abdel-Latif, A.; Hafiz, M. Annealing temperature dependence of the optical and structural properties of selenium-rich CdSe thin films. J. Alloys Compd. 2012, 512, 115–120. [Google Scholar] [CrossRef]
- Sahebi, R.; Roknabadi, M.R.; Behdani, M. Semi-transparent Schottky junction solar cell based on evaporated CdSe thin films: Influence of post-deposition air-annealing. Optik 2020, 204, 164204. [Google Scholar] [CrossRef]
- Sarmah, K.; Sarma, R.; Das, H.L. Structural characterization of thermally evaporated CdSe thin films. Chalcogenide Lett. 2008, 5, 153–163. [Google Scholar]
- Mahato, S.; Kar, A.K. The effect of annealing on structural, optical and photosensitive properties of electrodeposited cadmium selenide thin films. J. Sci. Adv. Mater. Devices 2017, 2, 165–171. [Google Scholar] [CrossRef]
- Amarasinghe, M.; Sivananthan, S.; Metzger, W.K.; Colegrove, E.; Moutinho, H.; Albin, D.; Duenow, J.; Johnston, S.; Kephart, J.; Sampath, W.; et al. Influence of CdTe deposition temperature and window thickness on CdTe grain size and lifetime after CdCl 2 recrystallization. IEEE J. Photovolt. 2018, 8, 600–603. [Google Scholar] [CrossRef]
- Jamil, N.Y.; Burjus, A.Y.; Khalil, H.M. The effect of ag doping on the structural, optical and electrical properties of CdSe thin films. Rafidain J. Sci. 2018, 27, 146–152. [Google Scholar]
- Patel, S.L.; Himanshu; Kaushalya; Chander, S.; Kannan, M.D.; Dhaka, M.S. Toward CdCl2 activation on CdSe thin films for absorber layer applications. J. Mater. Sci. Mater. Electron. 2019, 30, 20840–20849. [Google Scholar] [CrossRef]
- Sahebi, R.; Roknabadi, M.R.; Behdani, M. Effect of Ag-doping on the structural, optical, electrical and photovoltaic properties of thermally evaporated Cadmium Selenide thin films. Mater. Res. Express 2020, 6, 126453. [Google Scholar] [CrossRef]
- Chander, S.; Dhaka, M. CdCl2 treatment concentration evolution of physical properties correlation with surface morphology of CdTe thin films for solar cells. Mater. Res. Bull. 2018, 97, 128–135. [Google Scholar] [CrossRef]
- Punitha, K.; Sivakumar, R.; Sanjeeviraja, C.; Sathe, V.; Ganesan, V. Physical properties of electron beam evaporated CdTe and CdTe: Cu thin films. J. Appl. Phys. 2014, 116, 213502. [Google Scholar] [CrossRef]
- Mahalingam, T.; Mariappan, R.; Dhanasekaran, V.; Mohan, S.M.; Ravi, G.; Chuc, J.P. Characterization of electrodeposited indium doped CdSe thin films. JP Chu. Chalcogenide Lett. 2010, 7, 669–677. [Google Scholar]
- Mahato, S.; Kar, A. Structural, optical and electrical properties of electrodeposited cadmium selenide thin films for applications in photodetector and photoelectrochemical cell. J. Electroanal. Chem. 2015, 742, 23–29. [Google Scholar] [CrossRef]
- Stroyuk, O.; Raevskaya, A.; Gaponik, N.; Selyshchev, O.; Dzhagan, V.; Schulze, S.; Zahn, D.R. Origin of the broadband photoluminescence of pristine and Cu+/Ag+-doped ultrasmall CdS and CdSe/CdS quantum dots. J. Phys. Chem. C 2018, 122, 10267–10277. [Google Scholar] [CrossRef]
- Smida, A.; Zaaboub, Z.; Mohamed, N.B.H.; Hassen, M.; Laatar, F.; Maaref, H.; Ezzaouia, H. Photoluminescence behavior in the synthesized CdSe thin films deposited on ITO substrates. J. Lumin. 2018, 194, 686–691. [Google Scholar] [CrossRef]
- Raut, V.S.; Lokhande, C.D.; Killedar, V.V. Photoelectrochemical studies on electrodeposited indium doped CdSe thin films using aqueous bath. J. Electroanal. Chem. 2017, 788, 137–143. [Google Scholar] [CrossRef]
- Hayashi, T.; Saeki, R.; Suzuki, T.; Fukaya, M.; Ema, Y. Formation and properties of In-doped high-conductivity CdSe evaporated film. J. Appl. Phys. 1990, 68, 5719–5723. [Google Scholar] [CrossRef]
- Takanoglu, D.; Yilmaz, K.; Ozcan, Y.; Karabulut, O. Structural, electrical and optical properties of thermally evaporated cdse and in-doped cdse thin films. Chalcogenide Lett. 2015, 12, 35–42. [Google Scholar]








| Molarity | hkl | a (Å) | c (Å) | D (nm) | ε (×10−3) | δ (×1011) (cm−2) |
|---|---|---|---|---|---|---|
| As-grown | (002) | 4.243 | 6.928 | 31.845 | 4.895 | 0.986 |
| 0.01 M | (002) | 4.254 | 6.947 | 38.090 | 4.103 | 0.689 |
| 0.10 M | (002) | 4.246 | 6.934 | 38.819 | 4.019 | 0.664 |
| 0.15 M | (002) | 4.238 | 6.920 | 37.399 | 4.163 | 0.715 |
| 0.20 M | (002) | 4.248 | 6.937 | 37.223 | 4.193 | 0.722 |
| Molarity | Energy Band Gap (Eg) |
|---|---|
| As-grown | 1.76 |
| 0.01 M | 1.64 |
| 0.10 M | 1.56 |
| 0.15 M | 1.57 |
| 0.20 M | 1.58 |
| Molarity | Carrier Concentration (/cm3) | Mobility (cm2 /Vs) | Resistivity (×103) (Ω cm) |
|---|---|---|---|
| As-grown | 3.19 × 1014 | 10.13 | 1.93 |
| 0.01 M | 9.83 × 1014 | 3.23 | 1.97 |
| 0.10 M | 1.43 × 1015 | 2.29 | 1.88 |
| 0.15 M | 1.12 × 1015 | 2.77 | 2.02 |
| 0.20 M | 1.10 × 1015 | 3.01 | 1.91 |
Disclaimer/Publisher’s Note: The statements, opinions and data contained in all publications are solely those of the individual author(s) and contributor(s) and not of MDPI and/or the editor(s). MDPI and/or the editor(s) disclaim responsibility for any injury to people or property resulting from any ideas, methods, instructions or products referred to in the content. |
© 2023 by the authors. Licensee MDPI, Basel, Switzerland. This article is an open access article distributed under the terms and conditions of the Creative Commons Attribution (CC BY) license (https://creativecommons.org/licenses/by/4.0/).
Share and Cite
Nisham Rosly, H.; Doroody, C.; Harif, M.N.; Mohamad, I.S.; Isah, M.; Amin, N. Optoelectrical Properties of Treated CdSe Thin Films with Variations in Indium Chloride Concentration. Materials 2023, 16, 4108. https://doi.org/10.3390/ma16114108
Nisham Rosly H, Doroody C, Harif MN, Mohamad IS, Isah M, Amin N. Optoelectrical Properties of Treated CdSe Thin Films with Variations in Indium Chloride Concentration. Materials. 2023; 16(11):4108. https://doi.org/10.3390/ma16114108
Chicago/Turabian StyleNisham Rosly, Hasrul, Camellia Doroody, Muhammad Najib Harif, Ili Salwani Mohamad, Mustapha Isah, and Nowshad Amin. 2023. "Optoelectrical Properties of Treated CdSe Thin Films with Variations in Indium Chloride Concentration" Materials 16, no. 11: 4108. https://doi.org/10.3390/ma16114108
APA StyleNisham Rosly, H., Doroody, C., Harif, M. N., Mohamad, I. S., Isah, M., & Amin, N. (2023). Optoelectrical Properties of Treated CdSe Thin Films with Variations in Indium Chloride Concentration. Materials, 16(11), 4108. https://doi.org/10.3390/ma16114108

