Elemental Substitution at Tl Site of Tl1−xXx(Ba, Sr)CaCu2O7 Superconductor with X = Cr, Bi, Pb, Se, and Te
Abstract
1. Introduction
2. Materials and Methods
3. Results and Discussion
3.1. XRD Patterns
3.2. SEM Micrograph
3.3. EDX Analyses
3.4. Electrical Resistance
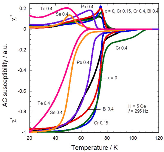
3.5. AC Susceptibility
4. Conclusions
Author Contributions
Funding
Data Availability Statement
Conflicts of Interest
References
- Haldar, P.; Sridhar, S.; Roig-Janicki, A.; Kennedy, W.; Wu, D.H.; Zahopoulos, C.; Giessen, B.C. A new high-Tc superconductor containing thallium and its crystal structure: The “1212” phase (Tl1−xBix)1.33Sr1.33Ca1.33Cu2O6.67+δ. J. Supercond. 1998, 1, 211–218. [Google Scholar] [CrossRef]
- Nakajima, S.; Kikuchi, M.; Syono, Y.; Kobayashi, N.; Muto, Y. Superconductivity of high-Tc TlBa2Ca1−xRExCu2O7 (RE = Nd, Gd or Y) system. Phys. C Supercond. Appl. 1990, 168, 57–62. [Google Scholar] [CrossRef]
- Liu, R.S.; Zhou, W.; Janes, R.; Edwards, P.P. Superconductivity up to 105 K in The New High-Tc Tl-V-Sr-Ca-Cu-O and Tl-V-Sr-Ca-Y-Cu-O Systems. Solid State Commun. 1990, 76, 1261–1265. [Google Scholar] [CrossRef]
- Liu, R.S.; Zhao, W.; Janes, R.; Edwards, P.P. An investigation of the new high-Tc Tl-V-Sr-Ca-Cu-O and Tl-V-Sr-Ca-Y-Cu-O superconductors. Supercond. Sci. Technol. 1991, 4, 310–312. [Google Scholar] [CrossRef]
- Nur-Akasyah, J.; Abd-Shukor, R. Superconductivity in high-Tc (Tl1−xSex)Sr2CaCu2O7 system. Cryogenics 2019, 100, 109–113. [Google Scholar] [CrossRef]
- Putra, I.; Bakar, A.; Aizat, K.M.; Akasyah, J.N.; Syahmi, M.S.M. AC susceptibility and electrical properties of rare-earth- and alkali metals substituted (Tl0.7M0.3)Sr2CaCu2O7 with M = Er, Gd, La, Na, K and Rb. Appl. Phys. A 2019, 125, 21. [Google Scholar]
- Subramanian, M.A.; Torardi, C.C.; Gopalakrishnan, J.; Gai, P.L.; Calabrese, J.C.; Askew, T.R.; Flippen, R.B.; Sleight, A.W. Bulk superconductivity up to 122 K in the Tl-Pb-Sr-Ca-Cu-O system. Science 1988, 242, 249–252. [Google Scholar] [CrossRef] [PubMed]
- Sheng, Z.; Xin, Y.; Pederson, D.; Finger, L.; Hadidiacos, C.; Hazen, R. A new 1212-type phase: Cr-substituted TlSr2CaCu2O7 with Tc up to about 110 K. Mod. Phys. Lett. B 1991, 5, 635–642. [Google Scholar] [CrossRef]
- Sheng, Z.Z.; Xin, Y.; Gu, D.X.; Meason, J.M.; Bennett, J.; Ford, D.; Pederson, D.O. Semiconducting TISr2RCu2O7 (R = rare earth) and its superconducting derivatives. Phys. B Condens. Matter 1991, 84, 349–352. [Google Scholar] [CrossRef]
- Gopalakrishnan, I.K.; Yakhmi, J.V.; Iyer, R.M. TlCaBaSrCu2O7−δ, a new 94 K superconductor. Phys. C Supercond. 1991, 172, 450–454. [Google Scholar] [CrossRef]
- Kuroda, M.; Yokogawa, K. Preparation and superconducting properties of TlBaSrCaCuO system. Jpn. J. Appl. Phys. 1991, 30, L1871–L1872. [Google Scholar] [CrossRef]
- Soeta, A.; Suzuki, T.; Takeuchi, S.; Kamo, T.; Usami, K.; Matsuda, S. Relationship between crystal structures and solid solution of Tl-Sr-Ca-Cu-O and Tl-Ba-Ca-Cu-O superconductors. Jpn. J. Appl. Phys. 1989, 28, L1186–L1189. [Google Scholar] [CrossRef]
- Ranjbar, M.G.; Ghoranneviss, M.; Abd-Shukor, R. Optimal formation and enhanced superconductivity of Tl-1212 phase (Tl0.6Pb0.4)(Ba,Sr)CaCu2O7. Appl. Phys. A Mater. Sci. Process. 2018, 124, 456. [Google Scholar] [CrossRef]
- Mortada-Hamid, H.; Ilhamsyah, A.B.P.; Abd-Shukor, R. Formation of Tl-1212 phase in Ga-substituted Tl(BaSr)Ca1−xGaxCu2O7 superconductor. J. Mater. Sci. Mater. Electron. 2020, 31, 5316–5323. [Google Scholar] [CrossRef]
- Jannah, A.N.; Ilhamsyah, A.B.P.; Abd-Shukor, R. AC susceptibility and electrical properties of Ta substituted (Tl1−xTax)(BaSr)CaCu2O7 superconductor (x = 0–0.3). Cryogenics 2021, 113, 103222. [Google Scholar] [CrossRef]
- Nur-Akasyah, J.; Ranjbar, M.G.; Abd-Shukor, R. Influence of Se and Te substitutions at Tl-site of Tl(Ba,Sr)CaCu2O7 superconductor on the AC susceptibility and electrical properties. Ceram. Int. 2021, 47, 31920–31926. [Google Scholar] [CrossRef]
- Li, S.; Greenblatt, M. Preparation and superconducting properties of (TI,Bi)Sr2CaCu2Oy. Phys. C Supercond. Appl. 1989, 157, 365–369. [Google Scholar] [CrossRef]
- Abd-Shukor, R.; Tee, K.S. Effectiveness of Bi versus Pb for superconductivity in the TlSr2CaCu2O7 (1212) phase. J. Mater. Sci. Lett. 1998, 17, 103–106. [Google Scholar] [CrossRef]
- Li, Y.F.; Chmaissem, O.; Sheng, Z.Z. Crystal structure and Tc of 1212-type cuprate (Tl,Cr)Sr2(Ca,Tl)Cu2O7. Phys. C Supercond. Appl. 1995, 248, 42–48. [Google Scholar] [CrossRef]
- Hamadneh, I.; Yeong, W.K.; Lee, T.H.; Abd-shukor, R. Formation of (Tl0.85Cr0.15)Sr2CaCu2O7 superconductor from ultrafine co-precipitated powders. Mater. Lett. 2006, 60, 734–736. [Google Scholar] [CrossRef]
- Ibrahim, N.; Yusof, M.I.M.; Salleh, F.M. Synthesis of Tl0.85Cr0.15Sr2CaCu2O7-δ superconductor from coprecipitation Tl-free precursor. Solid State Sci. Technol. 2009, 17, 148–154. [Google Scholar]
- Karaca, I.; ςelebi, S.; Varilci, A.; Malik, A.I. Effect of Ag2O addition on the intergranular properties of the superconducting Bi–(Pb)–Sr–Ca–Cu–O. Supercond. Sci. Technol. 2003, 16, 100–104. [Google Scholar] [CrossRef]
- Bean, C.P. Magnetization of high-field superconductor. Rev. Mod. Phys. 1964, 36, 31. [Google Scholar] [CrossRef]
- Shannon, R.D. Revised effective ionic radii and systematic studies of interatomic distances in halides and chalcogenides. Acta Crystallogr. Sect. A 1976, 32, 751–767. [Google Scholar] [CrossRef]
- Al-Sharabi, A.; Abd-Shukor, R. Superconducting fluctuations and excess conductivity analysis of Te-substituted TlSr2(Ca1−xTex)Cu2O7−δ. J. Supercond. Nov. Magn. 2015, 28, 2393–2400. [Google Scholar] [CrossRef]
- Ranjbar, G.; Abd-Shukor, R. Formation of Tl-1212 phase in Cr substituted (Tl1−xCrx)Sr2CaCu2O7 superconductor. Phys. Int. 2012, 3, 74–78. [Google Scholar] [CrossRef]
- Torii, Y.; Kotani, T.; Takei, H.; Tada, K. Superconductivity in the Tl-Bi-Ca-Ba-Cu-O and Tl-Bi-Ca-Sr-Cu-O systems. Jpn. J. Appl. Phys. 1989, 28, L1190. [Google Scholar] [CrossRef]
- Martin, C.; Provost, J.; Bourgalt, D.; Domenges, B.; Michel, C.; Hervieu, M. Structural peculiarities of the “1212” superconductor Tl0.5Pb0.5Sr2CaCu2O7. Phys. C Supercond. Appl. 1989, 157, 460–468. [Google Scholar] [CrossRef]
- Sheng, Z.Z.; Dong, C.; Fei, X.; Liu, Y.H.; Sheng, L.; Hermann, A.M. Superconductivity at 82 K in the Tl-Pb-Sr-Ca-Cu-O system. Appl. Phys. Commun. 1989, 9, 7109180. [Google Scholar]
- Nur-Akasyah, J.; Ilhamsyah, A.B.P.; Abd-Shukor, R. Elemental substitution at Tl-site of TlSr2CaCu2O7 superconductor: A review. Ceram. Int. 2020, 46, 18413–18418. [Google Scholar] [CrossRef]
- Kamimura, H. Jahn-Teller-Effect mediated hole-pair tunneling and superconductivity in high Tc cooper oxide. Int. J. Mod. Phys. B. 1987, 1, 873–887. [Google Scholar] [CrossRef]
- Hannachi, E.; Slimani, Y.; Azzouz, F.B.; Ekicibil, A. Higher intra-granular and inter-granular performances of YBCO superconductor with TiO2 nano-sized particles addition. Ceram. Int. 2018, 44, 18836–18843. [Google Scholar] [CrossRef]
- Hannachi, E.; Slimani, Y.; Ekicibil, A.; Manikandan, A.; Azzouz, F.B. Excess conductivity and AC susceptibility studies of Y-123 superconductor added with TiO2 nano-wires. Mater. Chem. Phys. 2019, 235, 121721. [Google Scholar] [CrossRef]
- Almessiere, M.A.; Slimani, Y.; Hannachi, E.; Algarni, R.; Azzouz, F.B. Impact of Dy2O3 nanoparticles additions on the properties of porous YBCO ceramics. J. Mater. Sci. Mater. Electron. 2019, 30, 17572–17582. [Google Scholar] [CrossRef]
- Vasquez, R.P.; Siegal, M.P.; Ovemyer, D.L. Chemical bonding in Tl cuprates studied by x-ray photoemission. Phys. Rev. B 1999, 60, 4309–4319. [Google Scholar] [CrossRef]






| Tl1−xXx(Ba,Sr)CaCu2O | Tconset (K) | Tc zero (K) | ΔTc (K) | Tcχ′ (K) | Tp (K) | Jc (Tp) (Acm−2) | Average Grain Size ± SD/μm | a (Å) | c (Å) | V (Å3) | Tl-1212 Phase (%) |
|---|---|---|---|---|---|---|---|---|---|---|---|
| x = 0 | 96 | 81 | 15 | 95 | 74 | 17 | 9 ± 3 | 3.8220 | 12.370 | 180.70 | >97 |
| X = Cr (x = 0.15) | 106 | 77 | 29 | 107 | 75 | 12 | - | 3.8320 | 12.304 | 180.67 | >97 |
| X = Cr (x = 0.4) | 113 | 85 | 28 | 111 | 76 | 14 | 3 ± 1 | 3.8270 | 12.289 | 179.98 | 83 |
| X = Bi (x = 0.4) | 95 | 87 | 8 | 92 | 75 | 15 | 5 ± 1 | 3.8170 | 12.282 | 178.94 | 68 |
| X = Pb (x = 0.4) | 82 | 70 | 8 | 83 | 67 | 12 | 7 ± 2 | 3.8250 | 12.327 | 180.35 | 95 |
| X = Se (x = 0.4) | 100 | 85 | 15 | 100 | 51 | 17 | 5 ± 1 | 3.8190 | 12.314 | 179.99 | 78 |
| X = Te (x = 0.4) | 77 | 60 | 17 | 62 | 48 | 16 | 2 ± 1 | 3.8240 | 12.394 | 181.21 | 51 |
Disclaimer/Publisher’s Note: The statements, opinions and data contained in all publications are solely those of the individual author(s) and contributor(s) and not of MDPI and/or the editor(s). MDPI and/or the editor(s) disclaim responsibility for any injury to people or property resulting from any ideas, methods, instructions or products referred to in the content. |
© 2023 by the authors. Licensee MDPI, Basel, Switzerland. This article is an open access article distributed under the terms and conditions of the Creative Commons Attribution (CC BY) license (https://creativecommons.org/licenses/by/4.0/).
Share and Cite
Nur-Akasyah, J.; Abd-Shukor, R.; Chong, T.V. Elemental Substitution at Tl Site of Tl1−xXx(Ba, Sr)CaCu2O7 Superconductor with X = Cr, Bi, Pb, Se, and Te. Materials 2023, 16, 4022. https://doi.org/10.3390/ma16114022
Nur-Akasyah J, Abd-Shukor R, Chong TV. Elemental Substitution at Tl Site of Tl1−xXx(Ba, Sr)CaCu2O7 Superconductor with X = Cr, Bi, Pb, Se, and Te. Materials. 2023; 16(11):4022. https://doi.org/10.3390/ma16114022
Chicago/Turabian StyleNur-Akasyah, Jaafar, Roslan Abd-Shukor, and Tet Vui Chong. 2023. "Elemental Substitution at Tl Site of Tl1−xXx(Ba, Sr)CaCu2O7 Superconductor with X = Cr, Bi, Pb, Se, and Te" Materials 16, no. 11: 4022. https://doi.org/10.3390/ma16114022
APA StyleNur-Akasyah, J., Abd-Shukor, R., & Chong, T. V. (2023). Elemental Substitution at Tl Site of Tl1−xXx(Ba, Sr)CaCu2O7 Superconductor with X = Cr, Bi, Pb, Se, and Te. Materials, 16(11), 4022. https://doi.org/10.3390/ma16114022

