Sign in to use this feature.

Years

Between: -

Subjects

remove_circle_outline
remove_circle_outline
remove_circle_outline
remove_circle_outline
remove_circle_outline
remove_circle_outline
remove_circle_outline
remove_circle_outline
remove_circle_outline

Journals

remove_circle_outline
remove_circle_outline
remove_circle_outline
remove_circle_outline
remove_circle_outline
remove_circle_outline
remove_circle_outline
remove_circle_outline
remove_circle_outline
remove_circle_outline
remove_circle_outline
remove_circle_outline

Article Types

Countries / Regions

remove_circle_outline
remove_circle_outline
remove_circle_outline
remove_circle_outline

Search Results (1,667)

Search Parameters:
Keywords = superconductivity

Order results
Result details
Results per page
Select all
Export citation of selected articles as:
11 pages, 5872 KB  
Article
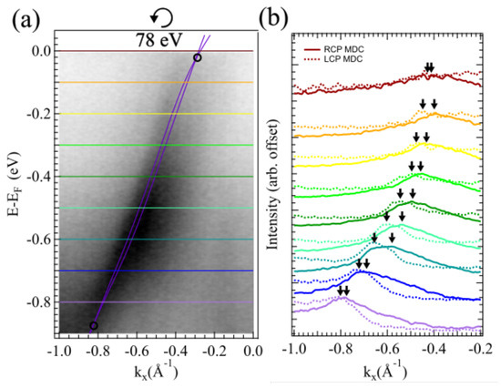
Measurements of Electronic Band Structure in CeCoGe3 by Angle-Resolved Photoemission Spectroscopy
by Robert Prater, Mingkun Chen, Matthew Staab, Sudheer Sreedhar, Journey Byland, Zihao Shen, Sergey Y. Savrasov, Valentin Taufour, Vsevolod Ivanov and Inna Vishik
Condens. Matter 2026, 11(1), 8; https://doi.org/10.3390/condmat11010008 - 25 Feb 2026
Viewed by 107
Abstract
In this paper, we present a comprehensive study of the electronic structure of CeCoGe3 throughout the entire Brillouin zone in the non-magnetic regime using angle-resolved photoemission spectroscopy (ARPES). The electronic structure agrees in large part with first principles calculations, including predicted topological [...] Read more.
In this paper, we present a comprehensive study of the electronic structure of CeCoGe3 throughout the entire Brillouin zone in the non-magnetic regime using angle-resolved photoemission spectroscopy (ARPES). The electronic structure agrees in large part with first principles calculations, including predicted topological nodal lines. Two new features in the band structure are also observed, namely a surface state and folded bands, the latter of which is argued to originate from a unit cell reconstruction. Full article
Show Figures

Figure 1

18 pages, 1581 KB  
Review
Overview of China’s Fusion Magnet Technology Based on the Superconducting Tokamak Strategy
by Huajun Liu, Shuowei Gao, Wenzhe Hong and Fang Liu
Cryo 2026, 2(1), 3; https://doi.org/10.3390/cryo2010003 - 25 Feb 2026
Viewed by 135
Abstract
Fusion energy represents humanity’s most promising solution for achieving limitless, carbon-free power. The superconducting Tokamak has emerged as the primary pathway to realize this goal. China’s systematic multi-phase strategy, progressing from the Experimental Advanced Superconducting Tokamak (EAST) to the International Thermonuclear Experimental Reactor [...] Read more.
Fusion energy represents humanity’s most promising solution for achieving limitless, carbon-free power. The superconducting Tokamak has emerged as the primary pathway to realize this goal. China’s systematic multi-phase strategy, progressing from the Experimental Advanced Superconducting Tokamak (EAST) to the International Thermonuclear Experimental Reactor (ITER) partnership, and now advancing the China Fusion Engineering Demonstration Reactor (CFEDR), has catalyzed transformative innovations in fusion magnet technology, including the development of high-current-density Cable-in-Conduit Conductors (CICC) using both low-temperature superconductors (LTSs) and high temperature superconductors (HTSs), radiation-resistant ultra-low-resistance joints enabling efficient power transfer, multi-sensor quench detection systems with millisecond-level response for magnet integrity preservation, and cryogenic thermal management via multi-stage heat interception zones. This accumulated expertise in superconducting magnet technologies will accelerate the commercialization of fusion energy. Full article
Show Figures

Figure 1

20 pages, 3082 KB  
Article
Impact of Null-Flux Coil Shape on Superconducting Electrodynamic Suspension (EDS) Maglev
by Haochen Shi, Boyang Shen, Zhihao Chen and Lin Fu
Electronics 2026, 15(4), 879; https://doi.org/10.3390/electronics15040879 - 20 Feb 2026
Viewed by 153
Abstract
Superconducting electrodynamic suspension (EDS) maglev technology has strong potential for ultra-high-speed transportation, with advantages such as self-stability and a large suspension gap. The magneto-electric force relationship between the onboard superconducting magnet and figure-eight null-flux coils is the key to improving system performance. This [...] Read more.
Superconducting electrodynamic suspension (EDS) maglev technology has strong potential for ultra-high-speed transportation, with advantages such as self-stability and a large suspension gap. The magneto-electric force relationship between the onboard superconducting magnet and figure-eight null-flux coils is the key to improving system performance. This article shows a novel study on the impact of the shape of null-flux coils on the superconducting EDS maglev system, which has not been systematically studied before. A 3D model of the suspension system of EDS maglev was built using the finite element method (FEM) to study the impact of the null-flux coils’ shape. The electromagnetic forces generated by the system were calculated and compared with those in the literature to validate the model. The results showed that rectangular and circular coils displayed different influences on the components of the electromagnetic force. New results and analysis from the article show that the null-flux coil shape is a promising option for system performance optimization and can provide a theoretical basis for future improvements to the high-speed EDS maglev system. Full article
(This article belongs to the Section Electrical and Autonomous Vehicles)
Show Figures

Figure 1

23 pages, 4663 KB  
Article
Optimizing Interface Dielectric Loss in Superconducting Coplanar Waveguide Resonators for Improved Quantum Circuit Coherence
by Omar A. Saleh, Saleem G. Rao, Mohammed Alghadeer, Ahmed A. Omar and Muhamad Felemban
Technologies 2026, 14(2), 128; https://doi.org/10.3390/technologies14020128 - 18 Feb 2026
Viewed by 394
Abstract
Superconducting quantum computing systems, including coplanar waveguide (CPW) resonators and qubits, are highly susceptible to energy dissipation from two-level systems (TLS) within bulk and interfacial dielectrics. CPW resonators serve as an ideal platform for characterizing these material losses at the single-photon excitation level. [...] Read more.
Superconducting quantum computing systems, including coplanar waveguide (CPW) resonators and qubits, are highly susceptible to energy dissipation from two-level systems (TLS) within bulk and interfacial dielectrics. CPW resonators serve as an ideal platform for characterizing these material losses at the single-photon excitation level. Building on recent experimental evidence that interface engineering can mitigate TLS losses, this study employs simulations to evaluate resonator quality factors across various interface modifications. Our results demonstrate that reducing losses at the substrate–air (SA) interface can increase the internal quality factor Qi by up to three orders of magnitude. While etching the SA interface also enhances Qi, material loss remains the dominant dissipation mechanism. Furthermore, we find that other lossy interfaces have a significantly smaller impact on the quality factor compared to the SA interface. These simulation results align with established experimental findings, providing a robust framework for refining resonator design. This work offers precise guidelines for TLS mitigation, essential for enhancing coherence times and developing more reliable superconducting quantum processors. Full article
(This article belongs to the Section Quantum Technologies)
Show Figures

Figure 1

25 pages, 3577 KB  
Article
Optimizing OPM-MEG Sensor Layouts Using the Sequential Selection Algorithm with Simulated Sources and Individual Anatomy
by Urban Marhl, Rok Hren, Tilmann Sander and Vojko Jazbinšek
Sensors 2026, 26(4), 1292; https://doi.org/10.3390/s26041292 - 17 Feb 2026
Viewed by 211
Abstract
Magnetoencephalography (MEG) based on optically pumped magnetometers (OPMs) offers the flexibility to position sensors closer to the scalp, which improves the signal-to-noise ratio compared to conventional superconducting quantum interference device (SQUID) systems. However, the spatial resolution of OPM-MEG critically depends on sensor placement, [...] Read more.
Magnetoencephalography (MEG) based on optically pumped magnetometers (OPMs) offers the flexibility to position sensors closer to the scalp, which improves the signal-to-noise ratio compared to conventional superconducting quantum interference device (SQUID) systems. However, the spatial resolution of OPM-MEG critically depends on sensor placement, especially when the number of sensors is limited. In this study, we present a methodology for optimizing OPM-MEG sensor layouts using each subject’s anatomical information derived from individual magnetic resonance imaging (MRI). We generated realistic forward models from reconstructed head surfaces and simulated magnetic fields produced by equivalent current dipoles (ECDs). We compared multiple simulation strategies, including ECDs randomly distributed across the cortical surface and ECDs constrained to regions of interest. For each simulated magnetic field map (MFM) database, we applied the sequential selection algorithm (SSA) to identify sensor positions that maximized information capture. Unlike previous approaches relying on large measurement databases, this simulation-driven strategy eliminates the need for extensive pre-existing recordings. We benchmarked the performance of the personalized layouts using OPM-MEG datasets of auditory evoked fields (AEFs) derived from real whole-head SQUID-MEG measurements. Our results show that simulation-based SSA optimization improves the coverage of cortical regions of interest, reduces the number of sensors required for accurate source reconstruction, and yields sensor configurations that perform comparably to layouts optimized using measured data. To evaluate the quality of estimated MFMs, we applied metrics such as the correlation coefficient (CC), root-mean-square error, and relative error. Our results show that the first 15 to 20 optimally selected sensors (CC > 0.95) capture most of the information contained in full-head MFMs. Additionally, we performed source localization for the highest auditory response (M100) by fitting equivalent current dipoles and found that localization errors were < 5 mm. The results further indicate that SSA performance is insensitive to individualized head geometry, supporting the feasibility of using representative anatomical models and highlighting the potential of this approach for clinical OPM-MEG applications. Full article
(This article belongs to the Special Issue Feature Papers in Biomedical Sensors 2025)
Show Figures

Figure 1

13 pages, 1339 KB  
Article
Kicked Fluxonium with a Quantum Strange Attractor
by Alexei D. Chepelianskii and Dima L. Shepelyansky
Physics 2026, 8(1), 22; https://doi.org/10.3390/physics8010022 - 16 Feb 2026
Viewed by 174
Abstract
The quantum dissipative time evolution of a fluxonium under a pulsed field (kicks) is studied numerically and analytically. In the classical limit, the system dynamics is converged to a strange chaotic attractor. The quantum properties of this system are studied using the density [...] Read more.
The quantum dissipative time evolution of a fluxonium under a pulsed field (kicks) is studied numerically and analytically. In the classical limit, the system dynamics is converged to a strange chaotic attractor. The quantum properties of this system are studied using the density matrix within the framework of the Lindblad equation. In the case of dissipative quantum evolution, the steady-state density matrix is converged to a quantum strange attractor that is similar to the classical one. It is shown that depending on the dissipation strength, there is a regime when the eigenstates of the density matrix are localized at a strong or moderate dissipation. At weak dissipation, the eigenstates are argued to be delocalized, which is linked to the Ehrenfest explosion of the quantum wave packet. This phenomenon is related to the Lyapunov exponent and Ehrenfest time for the quantum strange attractor. Possible experimental realizations of this quantum strange attractor with fluxonium are discussed. Full article
(This article belongs to the Section Quantum Mechanics and Quantum Systems)
Show Figures

Figure 1

28 pages, 5021 KB  
Perspective
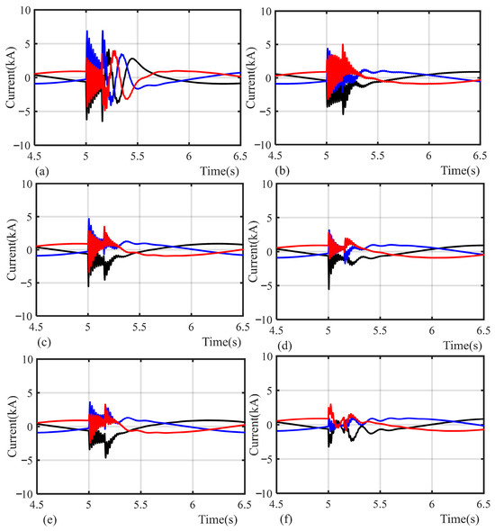
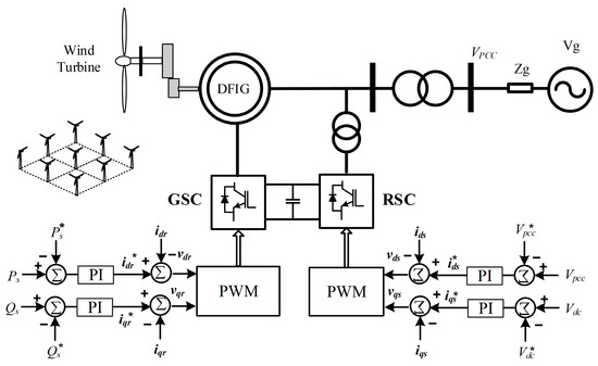
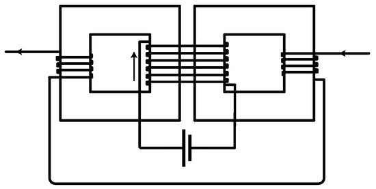
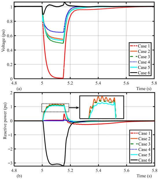
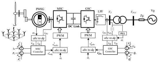
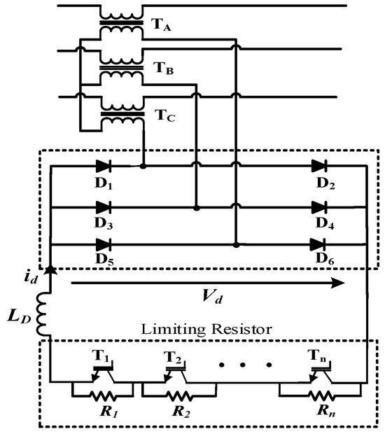
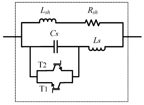
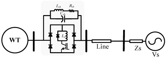
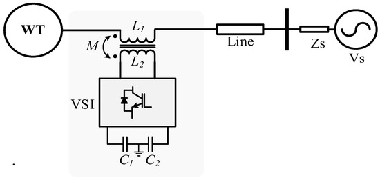
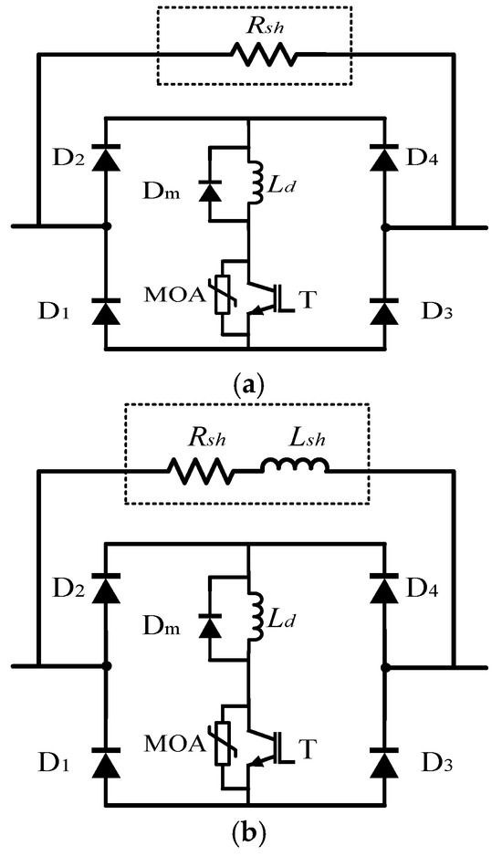
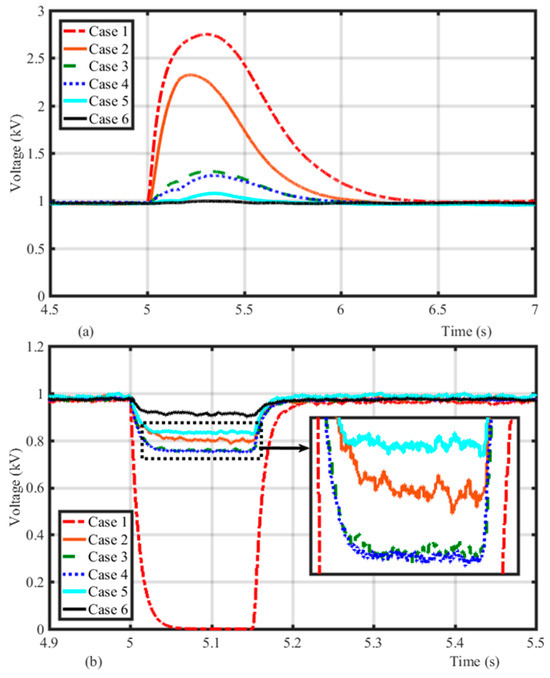
Fault Current Limiters for LVRT Enhancement in Wind Turbine Systems: Technologies, Trade-Offs, and Comparative Simulation Insights
by Mehdi Firouzi, Mirhamed Pourmirasghariyan, Kumars Rouzbehi and Manuel R. Arahal
Energies 2026, 19(4), 1025; https://doi.org/10.3390/en19041025 - 15 Feb 2026
Viewed by 284
Abstract
This paper presents a comprehensive review and comparative evaluation of Fault Current Limiter (FCL) technologies for enhancing the Low-Voltage Ride-Through (LVRT) capability of Wind Turbine Generation Systems (WTGSs). Among various hardware solutions, FCLs have emerged as a particularly efficient and cost-effective approach to [...] Read more.
This paper presents a comprehensive review and comparative evaluation of Fault Current Limiter (FCL) technologies for enhancing the Low-Voltage Ride-Through (LVRT) capability of Wind Turbine Generation Systems (WTGSs). Among various hardware solutions, FCLs have emerged as a particularly efficient and cost-effective approach to limit high fault currents and ensure grid code compliance. While the application of individual FCL types has been explored in the literature, a comparative analysis encompassing their technologies, inherent trade-offs, and performance insights remains lacking. To address this gap, this work examines the application of key FCL categories, including superconducting FCLs (SFCLs), resonance-type FCLs (RFCLs), and solid-state FCLs (SSFCLs), in both fixed-speed and variable-speed WTGS configurations. The paper synthesizes technological principles, assesses practical trade-offs (e.g., cost, response speed, scalability), and discusses critical insights derived from simulation-based comparisons. The consolidated findings aim to guide the selection, design, and future development of FCL solutions to enhance robust LVRT and provide reliable protection for modern wind power systems. Full article
Show Figures

Figure 1

14 pages, 3426 KB  
Article
Limit to Self-Field Critical Current Density in Thin-Film, Type-II Superconductors
by Amit Goyal, Rohit Kumar, Armando Galluzzi and Massimiliano Polichetti
Materials 2026, 19(4), 745; https://doi.org/10.3390/ma19040745 - 14 Feb 2026
Viewed by 263
Abstract
In the last decade, the self-field critical current density Jc(s.f.) in Type-II superconductors has been considered fundamentally limited by a Silsbee-like criterion of Jc(s.f.) = Hc1/λ. We show that this universal limit to self-field critical current density [...] Read more.
In the last decade, the self-field critical current density Jc(s.f.) in Type-II superconductors has been considered fundamentally limited by a Silsbee-like criterion of Jc(s.f.) = Hc1/λ. We show that this universal limit to self-field critical current density Jc(s.f.) is not universally valid. We present several examples for this in YBa2Cu3O7−δ-type and REBa2Cu3O7−δ thin films and one for Nb thin films and show that calculated Jc(s.f.) using the Silsbee-like criterion using thermodynamic parameters has been substantially exceeded experimentally. We also show that Jc(s.f.) can be significantly improved by incorporation of artificial pinning centers (APCs), further implying that no such universal limit to Jc(s.f.) can exist because such an upper bound, Jc(s.f.) would have to be independent of APCs. These findings call for a revision of the accepted understanding of current-carrying limits in Type-II superconductors and reveal substantial potential for improving Jc in REBCO-based coated conductors through optimization of APCs for large-scale applications, including commercial nuclear fusion. Full article
(This article belongs to the Section Materials Physics)
Show Figures

Graphical abstract

23 pages, 2761 KB  
Proceeding Paper
Optimizing Distribution System Using Prosumer-Centric Microgrids with Integrated Renewable Energy Sources and Hybrid Energy Storage System
by Djamel Selkim, Nour El Yakine Kouba and Amirouche Nait-Seghir
Eng. Proc. 2025, 117(1), 52; https://doi.org/10.3390/engproc2025117052 - 14 Feb 2026
Viewed by 301
Abstract
The increasing penetration of distributed renewable energy resources and the emergence of prosumers are reshaping the operational landscape of distribution grids. This work proposes a comprehensive prosumer-centric control and coordination framework integrated into the IEEE 33-bus radial distribution feeder. Selected buses are modeled [...] Read more.
The increasing penetration of distributed renewable energy resources and the emergence of prosumers are reshaping the operational landscape of distribution grids. This work proposes a comprehensive prosumer-centric control and coordination framework integrated into the IEEE 33-bus radial distribution feeder. Selected buses are modeled as aggregated prosumer nodes equipped with photovoltaic (PV) generation, wind turbines, oncentrated solar power (CSP), a hybrid energy storage system (HESS) including redox flow batteries (RFBs), superconducting magnetic energy storage (SMES), and fuel cells (FCs), as well as electric vehicle (EV) fleets. A hierarchical power management strategy is developed, combining a decentralized fuzzy logic controller for real-time dispatch with a Particle Swarm Optimization (PSO) layer that tunes membership functions and rule weights to enhance system stability and renewable utilization. Time-series simulations are conducted to evaluate the impact of prosumer integration on network performance. The results show a significant improvement in the voltage profile across all buses, particularly at downstream nodes, highlighting the effectiveness of distributed renewable injections and coordinated storage management. The proposed framework illustrates the potential of clustered prosumers to support voltage stability, improve grid operation and enable high-renewable penetration in distribution networks. Full article
(This article belongs to the Proceedings of The 4th International Electronic Conference on Processes)
Show Figures

Figure 1

61 pages, 893 KB  
Article
Position Operators in Terms of Converging Finite-Dimensional Matrices and Their Intertwining with Geometry, Transport, and Gauge
by Boqun Song, Jonathan D. H. Smith and Jigang Wang
Quantum Rep. 2026, 8(1), 14; https://doi.org/10.3390/quantum8010014 - 12 Feb 2026
Viewed by 155
Abstract
The position operator r^ appears as ip in wave mechanics, while its matrix form (e.g., under a Bloch basis) is well known diverging in diagonals, causing difficulties in basis transformation, observable yielding, etc. We aim to find a convergent r [...] Read more.
The position operator r^ appears as ip in wave mechanics, while its matrix form (e.g., under a Bloch basis) is well known diverging in diagonals, causing difficulties in basis transformation, observable yielding, etc. We aim to find a convergent r-matrix (CRM) to improve the existing divergent r-matrix (DRM), and investigate its influence at both the conceptual and the application levels. A key modification is increasing the familiar substitution of r^ by ip to ijkj, namely the N-th Weyl algebra. Resolving the divergence makes r-matrix rigorously defined, and we are able to show r-matrix is distinct from a spin matrix in terms of its defining principles, transformation behavior, and the observable it yields. Conceptually, the CRM fills the logical gap between the r-matrix and the Berry connection (this unremarked vagueness has caused the diagonal divergence). In application, we focus on transport, and discover that the Hermitian matrix is not identical with the associative Hermitian operator, i.e., rm,n=rn,m*r^=r^, which subtly affects the celebrated Berry curvature formula for adiabatic current. We also discuss how such a non-representation CRM can contribute to building a unified transport theory. Full article
(This article belongs to the Special Issue Exclusive Feature Papers of Quantum Reports in 2024–2025)
Show Figures

Figure 1

16 pages, 1330 KB  
Article
Ergotropy from Geometric Phases in a Dephasing Qubit
by Fernando C. Lombardo and Paula I. Villar
Quantum Rep. 2026, 8(1), 13; https://doi.org/10.3390/quantum8010013 - 12 Feb 2026
Viewed by 370
Abstract
We analyze the geometric phase and dynamic phase acquired by a qubit coupled to an environment through pure dephasing, establishing a direct connection between phase accumulation and ergotropy. We show that the dynamic phase depends solely on the incoherent ergotropy, reflecting its purely [...] Read more.
We analyze the geometric phase and dynamic phase acquired by a qubit coupled to an environment through pure dephasing, establishing a direct connection between phase accumulation and ergotropy. We show that the dynamic phase depends solely on the incoherent ergotropy, reflecting its purely energetic origin. In contrast, the geometric phase exhibits a nontrivial dependence on both the coherent and incoherent contributions to the total ergotropy, encoding the interplay between coherence, dissipation, and energy extraction. By performing a perturbative expansion in the qubit–environment coupling strength, we demonstrate that, in the weak-coupling and long-time regime, the geometric phase becomes determined exclusively by the incoherent ergotropy, which coincides with the asymptotic value of the total ergotropy reached under decoherence. These results provide a clear physical distinction between dynamic and geometric phases in open quantum systems and establish geometric phases as sensitive probes of energetic resources. Furthermore, in superconducting circuit implementations, our findings suggest that the ergotropy of a two-level system could be inferred indirectly from geometric-phase measurements using standard techniques such as quantum state tomography. Full article
(This article belongs to the Special Issue Exclusive Feature Papers of Quantum Reports in 2024–2025)
Show Figures

Figure 1

17 pages, 2948 KB  
Article
Effect of Radiation up to 30 MGy on Mechanical and Dielectric Properties of Polymers for Superconducting and Resistive Magnets
by Christian Scheuerlein, Filip Louka, Pavan Chaganti and Roland Piccin
Polymers 2026, 18(4), 448; https://doi.org/10.3390/polym18040448 - 10 Feb 2026
Viewed by 371
Abstract
The effect of ionising irradiation up to 30 MGy on the mechanical and dielectric properties of different polymers for potential use in particle accelerators and detectors was compared in this study. The materials studied include the high-performance polymers PEEK, PPS and PEI; pure [...] Read more.
The effect of ionising irradiation up to 30 MGy on the mechanical and dielectric properties of different polymers for potential use in particle accelerators and detectors was compared in this study. The materials studied include the high-performance polymers PEEK, PPS and PEI; pure anhydride- and amine-based epoxy resin systems for coil impregnation and adhesive bonding; glass fibre epoxy composites; and FDM, SLA and SLS 3D-printed materials and polyurethanes. Gamma irradiation was applied in ambient air at an approximate dose rate of 2 kGy/h. Dose-dependent radiation damage was monitored by three-point bending tests, Shore A hardness, tensile stress–strain measurements and breakdown voltage tests in liquid nitrogen. Radiation hardness was rated according to two criteria: the dose at which the initial mechanical strength is halved and the dose at which the mechanical strength is reduced below a certain threshold value. The degradation of the breakdown voltage was preceded by the degradation of mechanical properties. Full article
(This article belongs to the Section Polymer Analysis and Characterization)
Show Figures

Figure 1

18 pages, 3577 KB  
Article
Design and Comparative Analysis of a Cryo-Cooling System of a Performance Evaluation System for a HTS Field Coil
by Byeong-Soo Go and Seok-Ju Lee
Energies 2026, 19(4), 912; https://doi.org/10.3390/en19040912 - 9 Feb 2026
Viewed by 241
Abstract
High-temperature superconducting (HTS) technologies continue to advance as promising solutions for large-capacity rotating electrical machinery. However, the cryogenic architecture required to maintain superconducting states remains a critical design challenge, particularly for performance evaluation systems (PESs). Conventional helium–neon (He–Ne) circulation-based cooling enables stable low-temperature [...] Read more.
High-temperature superconducting (HTS) technologies continue to advance as promising solutions for large-capacity rotating electrical machinery. However, the cryogenic architecture required to maintain superconducting states remains a critical design challenge, particularly for performance evaluation systems (PESs). Conventional helium–neon (He–Ne) circulation-based cooling enables stable low-temperature operation and has been experimentally validated in previous PES implementations, but it introduces substantial limitations due to installation complexity, flow-induced instability, and limited adaptability to different coil configurations. To address these constraints, this study proposes a conduction-cooled PES architecture optimized for HTS field coil testing and examines its thermal and structural characteristics through comprehensive design and finite element method (FEM)-based analysis. A multi-stage conduction cooling pathway using a cryocooler, thermal straps, and copper heat plates was designed to achieve uniform temperature distribution and reduce thermal gradients across the HTS winding. Three-dimensional FEM simulations were performed to evaluate the steady-state temperature distribution and heat-transfer characteristics of the proposed conduction-cooled PES under representative thermal load conditions, and the predicted cooling performance was comparatively assessed against the He–Ne cooled PES. The conduction-cooled PES was analyzed by comparing its predicted performance with previously obtained experimental results from the He–Ne cooled PES. The proposed conduction cooling architecture achieved a significant reduction in total heat load, decreasing from 177 W in the He–Ne system to approximately 78 W in the conduction-cooled configuration while also improving thermal efficiency and simplifying system integration. In addition, conduction cooling enhances compatibility with a wider range of HTS coil geometries by eliminating the constraints associated with fluid-based circulation. While the proposed conduction-cooled PES has not yet been physically fabricated, the numerical framework was established based on experimentally confirmed operating conditions of the previously implemented He–Ne-cooled PES, and future work will include fabrication and experimental validation of the conduction-cooled configuration. These findings demonstrate that conduction cooling represents a practical and scalable alternative for next-generation PES platforms and provide essential design guidelines for the development of high-field HTS coils and large-capacity superconducting rotating machines. Full article
Show Figures

Figure 1

15 pages, 2662 KB  
Article
Analysis of Screwed Electrical Connections for HTS Tapes
by Janusz Kozak
Energies 2026, 19(4), 889; https://doi.org/10.3390/en19040889 - 9 Feb 2026
Viewed by 159
Abstract
A demountable connection is necessary to enable quick and easy replacement of high-temperature superconducting (HTS) tape samples during cryogenic (77 K) testing, particularly when investigating their application in superconducting fault current limiters (SFCLs). Testing HTS tapes for application in SFCLs involves inducing their [...] Read more.
A demountable connection is necessary to enable quick and easy replacement of high-temperature superconducting (HTS) tape samples during cryogenic (77 K) testing, particularly when investigating their application in superconducting fault current limiters (SFCLs). Testing HTS tapes for application in SFCLs involves inducing their transition from the superconducting state to the resistive state, which can result in sample damage. The contact resistance of the HTS tape to the current lead depends on the area and on the uniform pressure. Stress distribution in screwed connections with two, four and six screws was analysed using a solid model to compare them and achieve the uniform contact essential for minimising contact resistance in cryogenic conditions. The analysis indicated a solution that provides the most uniform pressure distribution across the HTS tape surface. This solution was utilised in subsequent calculations of thermal shrinkage, and for the determination of the optimal disc spring stack configuration. It is imperative that the compensating disc springs maintain the requisite pressure of the copper block on the tape across the entire operational temperature range (room to cryogenic). Furthermore, the disc springs must provide adequate stroke to compensate for the thermal shrinkage of a copper block and an aluminium clamp. Full article
(This article belongs to the Section F: Electrical Engineering)
Show Figures

Figure 1

16 pages, 3749 KB  
Article
Tuning Reflectance in Superconducting Titanium Thin Films for Transition-Edge Sensors via Anodic Oxidation
by Wan Li, Jian Chen, Huifang Gao, Jinjin Li, Xiaolong Xu, Zhiyou Zhang and Xueshen Wang
Coatings 2026, 16(2), 215; https://doi.org/10.3390/coatings16020215 - 7 Feb 2026
Viewed by 243
Abstract
Superconducting transition-edge sensors (TESs) exhibit excellent single-photon detection performance. The quantum efficiency (QE), which quantifies the probability that an incident photon is absorbed and converted into a measurable signal, is strongly governed by the optical properties of the constituent thin films. Specifically, for [...] Read more.
Superconducting transition-edge sensors (TESs) exhibit excellent single-photon detection performance. The quantum efficiency (QE), which quantifies the probability that an incident photon is absorbed and converted into a measurable signal, is strongly governed by the optical properties of the constituent thin films. Specifically, for typical TES device architectures where optical transmission is negligible, maximizing the QE requires the minimization of surface reflectance to ensure high photon absorptance. In this work, we systematically study how anodic oxidation modifies the optical response of superconducting titanium (Ti) thin films that are relevant for TES devices. Anodization is carried out under well-controlled constant-current conditions in an aqueous electrolyte containing ammonium pentaborate and ethylene glycol. Experimentally, we show that anodic oxidation substantially reduces the ultraviolet (UV) reflectance and induces a monotonic redshift of the reflectance minimum as the anodic oxidation cutoff voltage (Vocv) increases. Finite-difference time-domain (FDTD) simulations based on spectroscopic ellipsometry data reproduce the measured spectra with good fidelity for most samples, validating the extracted optical constants. By comparing samples prepared at different current densities and oxidation times, we identified Vocv as the primary parameter controlling the reflectance response, because it determines the thickness and effective optical properties of the anodic TiOx layer. Under optimized conditions, reflectance values below 1% in the 320.9–340.2 nm wavelength range and below 2% in the 316.3–346.3 nm range are achieved, indicating a significant enhancement in potential absorptance. These results demonstrate that anodic oxidation provides a simple, post-fabrication, and voltage-tunable route for engineering the UV optical response of Ti-based TES structures and for enhancing their potential QE by suppressing reflection losses. Full article
(This article belongs to the Section Thin Films)
Show Figures

Graphical abstract

Back to TopTop