Defect Dipole Behaviors on the Strain Performances of Bismuth Sodium Titanate-Based Lead-Free Piezoceramics
Abstract
1. Introduction
2. Structural Origin of Strain in BNT-Based Materials
3. Defect Dipole Behavior-Structure-Strain Regulation
3.1. Domain and Grain Boundary Effects of Defect Dipoles
3.2. Volume Effect of Defect Dipole
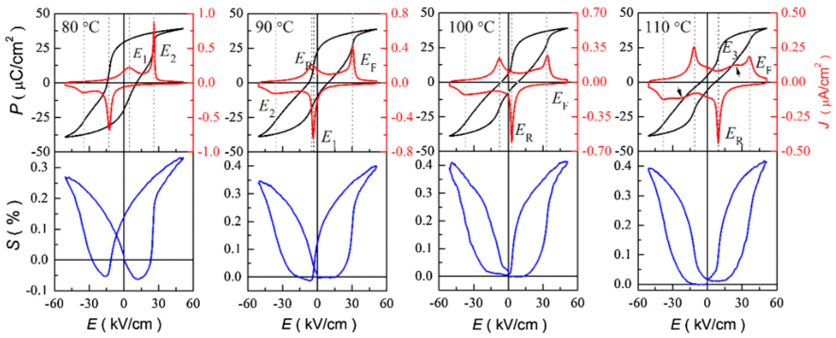
3.2.1. Volume Effect in the NR Phase
3.2.2. Volume Effect in the Non-Polarized FE Phase Region
3.2.3. Volume Effect of Polarized BNT-Based Materials
3.2.4. Volume Effect in the ER Phase
3.3. Phase Structure and Regulation of Defect Dipoles
3.4. Defects in Conductive Characteristics
3.5. Defects in Strain Fatigue Characteristics
4. Asymmetry Invoked by Defect Dipoles
5. Summary and Prospects
Author Contributions
Funding
Institutional Review Board Statement
Informed Consent Statement
Data Availability Statement
Acknowledgments
Conflicts of Interest
References
- Rödel, J.; Jo, W.; Seifert, K.T.P.; Anton, E.-M.; Granzow, T.; Damjanovic, D. Perspective on the Development of Lead-free Piezoceramics. J. Am. Ceram. Soc. 2009, 92, 1153–1177. [Google Scholar] [CrossRef]
- Hao, J.; Li, W.; Zhai, J.; Chen, H. Progress in high-strain perovskite piezoelectric ceramics. Mater. Sci. Eng. R 2019, 135, 1–57. [Google Scholar] [CrossRef]
- Qamar, M.A.; Javed, M.; Shahid, S.; Iqbal, S.; Abubshait, S.A.; Abubshait, H.A.; Ramay, S.M.; Mahmood, A.; Ghaithan, H.M. Designing of highly active g-C3N4/Co@ZnO ternary nanocomposites for the disinfection of pathogens and degradation of the organic pollutants from wastewater under visible light. J. Environ. Chem. Eng. 2021, 9, 105534. [Google Scholar] [CrossRef]
- Sher, M.; Javed, M.; Shahid, S.; Hakami, O.; Qamar, M.A.; Iqbal, S.; Al-Anazy, M.M.; Baghdadi, H.B. Designing of highly active g-C3N4/Sn doped ZnO heterostructure as a photocatalyst for the disinfection and degradation of the organic pollutants under visible light irradiation. J. Photoch. Photobio. A 2021, 418, 113393. [Google Scholar] [CrossRef]
- Shi, J.; Dong, R.; He, J.; Wu, D.; Tian, W.; Liu, X. Regulating ferroelectric polarization and dielectric properties of BT-based lead-free ceramics. J. Alloys Compd. 2023, 933, 167746. [Google Scholar] [CrossRef]
- Zhang, S.-T.; Kounga, A.B.; Aulbach, E.; Ehrenberg, H.; Rödel, J. Giant strain in lead-free piezoceramics Bi0.5Na0.5TiO3–BaTiO3–K0.5Na0.5NbO3 system. Appl. Phys. Lett. 2007, 91, 112906. [Google Scholar] [CrossRef]
- Jo, W.; Granzow, T.; Aulbach, E.; Rödel, J.; Damjanovic, D. Origin of the large strain response in (K0.5Na0.5)NbO3-modified (Bi0.5Na0.5)TiO3–BaTiO3 lead-free piezoceramics. J. Appl. Phys. 2009, 105, 094102. [Google Scholar] [CrossRef]
- Teranishi, S.; Suzuki, M.; Noguchi, Y.; Miyayama, M.; Moriyoshi, C.; Kuroiwa, Y.; Tawa, K.; Mori, S. Giant strain in lead-free (Bi0.5Na0.5)TiO3 based single crystals. Appl. Phys. Lett. 2008, 92, 182905. [Google Scholar] [CrossRef]
- Shi, J.; Fan, H.; Liu, X.; Bell, A.J. Large Electrostrictive Strain in (Bi0.5Na0.5)TiO3-BaTiO3-(Sr0.7Bi0.2)TiO3 Solid Solutions. J. Am. Ceram. Soc. 2014, 97, 848–853. [Google Scholar] [CrossRef]
- Liu, X.; Tan, X. Giant Strains in Non-Textured (Bi1/2Na1/2)TiO3 -Based Lead-Free Ceramics. Adv. Mater. 2016, 28, 574–578. [Google Scholar] [CrossRef]
- Ang, C.; Yu, Z. High, Purely Electrostrictive Strain in Lead-Free Dielectrics. Adv. Mater. 2006, 18, 103–106. [Google Scholar] [CrossRef]
- Feng, W.; Luo, B.; Bian, S.; Tian, E.; Zhang, Z.; Kursumovic, A.; MacManus-Driscoll, J.L.; Wang, X.; Li, L. Heterostrain-enabled ultrahigh electrostrain in lead-free piezoelectric. Nat. Commun. 2022, 13, 5086. [Google Scholar] [CrossRef]
- Li, F.; Liu, Y.; Lyu, Y.; Qi, Y.; Yu, Z.; Lu, C. Huge strain and energy storage density of A-site La3+ donor doped (Bi0.5Na0.5)0.94Ba0.06TiO3 ceramics. Ceram. Int. 2017, 43, 106–110. [Google Scholar] [CrossRef]
- Jin, C.C.; Wang, F.F.; Yao, Q.R.; Tang, Y.X.; Wang, T.; Shi, W.Z. Ferroelectric, dielectric properties and large strain response in Zr-modified (Bi0.5Na0.5)TiO3–BaTiO3 lead-free ceramics. Ceram. Int. 2014, 40, 6143–6150. [Google Scholar] [CrossRef]
- Chen, J.; Wang, Y.; Wu, L.; Hu, Q.; Yang, Y. Effect of nanocrystalline structures on the large strain of LiNbO3 doped (Bi0.5Na0.5)TiO3-BaTiO3 materials. J. Alloys Compd. 2019, 775, 865–871. [Google Scholar] [CrossRef]
- Jia, Y.; Fan, H.; Zhang, A.; Wang, H.; Lei, L.; Quan, Q.; Dong, G.; Wang, W.; Li, Q. Giant electro-induced strain in lead-free relaxor ferroelectrics via defect engineering. J. Eur. Ceram. Soc. 2023, 43, 947–956. [Google Scholar] [CrossRef]
- Liu, K.; Ma, W.; Ben, N.; Zhu, H.; Xu, W.; Gao, H.; Samart, C.; Kongparakul, S.; Zhang, H.; Tan, H. Superior Large-Signal Piezoelectric Coefficient in Textured NBT-Based Piezoceramics by Template-Induced Structure and Composition Modulation. ACS Appl. Mater. Interfaces 2023, 15, 24595–24605. [Google Scholar] [CrossRef]
- Yan, B.; Fan, H.; Wang, C.; Zhang, M.; Yadav, A.K.; Zheng, X.; Wang, H.; Du, Z. Giant electro-strain and enhanced energy storage performance of (Y0.5Ta0.5)4+ co-doped 0.94(Bi0.5Na0.5)TiO3-0.06BaTiO3 lead-free ceramics. Ceram. Int. 2020, 46, 281–288. [Google Scholar] [CrossRef]
- Li, T.; Lou, X.; Ke, X.; Cheng, S.; Mi, S.; Wang, X.; Shi, J.; Liu, X.; Dong, G.; Fan, H.; et al. Giant strain with low hysteresis in A-site-deficient (Bi0.5Na0.5)TiO3-based lead-free piezoceramics. Acta Mater. 2017, 128, 337–344. [Google Scholar] [CrossRef]
- Lai, L.; Zhao, Z.; Tian, S.; Ou, B.; Liang, G.; Li, B.; Dai, Y. Ultrahigh electrostrain with excellent fatigue resistance in textured Nb5+-doped (Bi 0.5Na0.5)TiO3-based piezoceramics. J. Adv. Ceram. 2023, 12, 487–497. [Google Scholar] [CrossRef]
- Liu, X.; Tan, X. Giant strain with low cycling degradation in Ta-doped [Bi1/2(Na0.8K0.2)1/2]TiO3 lead-free ceramics. J. Appl. Phys. 2016, 120, 034102. [Google Scholar] [CrossRef]
- Lai, L.; Li, B.; Tian, S.; Zhao, Z.; Zhang, S.; Dai, Y. Giant Electrostrain in Lead-free Textured Piezoceramics by Defect Dipole Design. Adv. Mater. 2023, e2300519. [Google Scholar] [CrossRef]
- Zhao, Z.-H.; Ye, M.-Y.; Ji, H.-M.; Li, X.-L.; Zhang, X.; Dai, Y. Enhanced piezoelectric properties and strain response in <001> textured BNT-BKT-BT ceramics. Mater. Design. 2018, 137, 184–191. [Google Scholar]
- Ahn, C.W.; Choi, G.; Kim, I.W.; Lee, J.-S.; Wang, K.; Hwang, Y.; Jo, W. Forced electrostriction by constraining polarization switching enhances the electromechanical strain properties of incipient piezoceramics. Npg. Asia. Mater. 2017, 9, e346. [Google Scholar] [CrossRef]
- Tong, X.-Y.; Li, H.-L.; Zhou, J.-J.; Liu, H.; Fang, J.-Z. Giant electrostrain under low driving field in Bi1/2Na1/2TiO3-SrTiO3 ceramics for actuator applications. Ceram. Int. 2016, 42, 16153–16159. [Google Scholar] [CrossRef]
- Zhang, Y.; Fan, P.; Li, H.; Zhang, J.; Xu, J.; Li, M.; Zhang, X.; Wei, Z.; Xu, J.; Zhao, L.; et al. Significantly reduced hysteresis in (Fe1/2Nb1/2)4+-modified 0.75Na1/2Bi1/2TiO3-0.25SrTiO3 lead-free piezoceramics with large strain. Ceram. Int. 2021, 47, 17915–17920. [Google Scholar] [CrossRef]
- Tong, X.-Y.; Du, Z.-Z.; Yang, Y.-T.; Chen, S.-H.; Song, M.-W.; Zhou, J.-J.; Zhang, H.-B.; Liu, H.; Guan, C.-L. Effect of stress on the phase transition and optimizing electric-induced strain behavior of Bi0.5Na0.5TiO3-SrTiO3 lead-free co-fired multilayer piezoactuators. J. Eur. Ceram. Soc. 2022, 42, 2157–2169. [Google Scholar] [CrossRef]
- Shi, J.; Zhao, Y.; He, J.; Li, T.; Zhu, F.; Tian, W.; Liu, X. Deferred Polarization Saturation Boosting Superior Energy-Storage Efficiency and Density Simultaneously under Moderate Electric Field in Relaxor Ferroelectrics. ACS Appl. Energy Mater. 2022, 5, 3436–3446. [Google Scholar] [CrossRef]
- Wang, B.; Huangfu, G.; Zheng, Z.; Guo, Y. Giant Electric Field-Induced Strain with High Temperature-Stability in Textured KNN-Based Piezoceramics for Actuator Applications. Adv. Funct. Mater. 2023, 33, 2214643. [Google Scholar] [CrossRef]
- Zhao, Z.; Lv, Y.; Dai, Y.; Zhang, S. Ultrahigh electro-strain in acceptor-doped KNN lead-free piezoelectric ceramics via defect engineering. Acta Mater. 2020, 200, 35–41. [Google Scholar] [CrossRef]
- Sun, X.; Li, R.; Zhao, C.; Lv, X.; Wu, J. One simple approach, two remarkable enhancements: Manipulating defect dipoles and local stress of (K, Na)NbO3-based ceramics. Acta Mater. 2021, 221, 117351. [Google Scholar] [CrossRef]
- Wang, L.; Zhou, Z.; Zhao, X.; Liu, Z.; Liang, R.; Dong, X. Enhanced strain effect of aged acceptor-doped BaTiO3 ceramics with clamping domain structures. Appl. Phys. Lett. 2017, 110, 102904. [Google Scholar] [CrossRef]
- Huang, Y.; Zhao, C.; Yin, J.; Lv, X.; Ma, J.; Wu, J. Giant electrostrictive effect in lead-free barium titanate-based ceramics via A-site ion-pairs engineering. J. Mater. Chem. A 2019, 7, 17366–17375. [Google Scholar] [CrossRef]
- Zeng, F.; Zhang, Y.; Tu, Z.; Ge, X.; Wang, F.; Hao, M.; Zhang, J.; Wang, Y.; Chen, X.; Lu, W.; et al. Large electric field-induced strain in BiFeO3-based ceramics by tuning defect dipoles and phase structure. Ceram. Int. 2021, 47, 14097–14106. [Google Scholar] [CrossRef]
- Smolenskii, G.A. New ferroelectrics of complex composition. IV. Sov. Phys. Solid State 1961, 2, 2651–2654. [Google Scholar]
- Zhou, X.; Xue, G.; Luo, H.; Bowen, C.R.; Zhang, D. Phase structure and properties of sodium bismuth titanate lead-free piezoelectric ceramics. Prog. Mater Sci. 2021, 122, 100836. [Google Scholar] [CrossRef]
- Fan, P.; Liu, K.; Ma, W.; Tan, H.; Zhang, Q.; Zhang, L.; Zhou, C.; Salamon, D.; Zhang, S.-T.; Zhang, Y.; et al. Progress and perspective of high strain NBT-based lead-free piezoceramics and multilayer actuators. J. Mater. 2021, 7, 508–544. [Google Scholar] [CrossRef]
- Tao, H.; Wu, J. Giant piezoelectric effect and high strain response in (1−x)(K0.45Na0.55)(Nb1−ySby)O3 -xBi0.5Na0.5Zr1−zHfzO3 lead-free ceramics. J. Eur. Ceram. Soc. 2016, 36, 1605–1612. [Google Scholar] [CrossRef]
- Zhao, C.; Wang, H.; Xiong, J.; Wu, J. Composition-driven phase boundary and electrical properties in (Ba0.94Ca0.06)(Ti1-xMx)O3 (M = Sn, Hf, Zr) lead-free ceramics. Dalton Trans. 2016, 45, 6466–6480. [Google Scholar] [CrossRef]
- Wang, K.; Hussain, A.; Jo, W.; Rödel, J.; Viehland, D.D. Temperature-Dependent Properties of (Bi1/2Na1/2)TiO3-(Bi1/2K1/2)TiO3-SrTiO3 Lead-Free Piezoceramics. J. Am. Ceram. Soc. 2012, 95, 2241–2247. [Google Scholar] [CrossRef]
- Krauss, W.; Schütz, D.; Mautner, F.A.; Feteira, A.; Reichmann, K. Piezoelectric properties and phase transition temperatures of the solid solution of (1−x)(Bi0.5Na0.5)TiO3–xSrTiO3. J. Eur. Ceram. Soc. 2010, 30, 1827–1832. [Google Scholar] [CrossRef]
- Jo, W.; Dittmer, R.; Acosta, M.; Zang, J.; Groh, C.; Sapper, E.; Wang, K.; Rödel, J. Giant electric-field-induced strains in lead-free ceramics for actuator applications—Status and perspective. J. Electroceram. 2012, 29, 71–93. [Google Scholar] [CrossRef]
- Fan, P.; Zhang, Y.; Zhu, Y.; Ma, W.; Liu, K.; He, X.; Marwat, M.A.; Xie, B.; Li, M.; Zhang, H. Large strain under low driving field in lead-free relaxor/ferroelectric composite ceramics. J. Am. Ceram. Soc. 2019, 102, 4113–4126. [Google Scholar] [CrossRef]
- Zhang, J.; Pan, Z.; Guo, F.-F.; Liu, W.-C.; Ning, H.; Chen, Y.B.; Lu, M.-H.; Yang, B.; Chen, J.; Zhang, S.-T.; et al. Semiconductor/relaxor 0–3 type composites without thermal depolarization in Bi0.5Na0.5TiO3-based lead-free piezoceramics. Nat. Commun. 2015, 6, 6615. [Google Scholar] [CrossRef]
- Lee, D.S.; Lim, D.H.; Kim, M.S.; Kim, K.H.; Jeong, S.J. Electric field-induced deformation behavior in mixed Bi0.5Na0.5TiO3 and Bi0.5(Na0.75K0.25)0.5TiO3-BiAlO3. Appl. Phys. Lett. 2011, 99, 062906. [Google Scholar] [CrossRef]
- Koruza, J.; Rojas, V.; Molina-Luna, L.; Kunz, U.; Duerrschnabel, M.; Kleebe, H.-J.; Acosta, M. Formation of the core–shell microstructure in lead-free Bi1/2Na1/2TiO3-SrTiO3 piezoceramics and its influence on the electromechanical properties. J. Eur. Ceram. Soc. 2016, 36, 1009–1016. [Google Scholar] [CrossRef]
- Bai, W.; Zhao, X.; Ding, Y.; Wang, L.; Zheng, P.; Hao, J.; Zhai, J. Giant Field-Induced Strain with Low Hysteresis and Boosted Energy Storage Performance under Low Electric Field in (Bi0.5Na0.5)TiO3 -Based Grain Orientation-Controlled Ceramics. Adv. Electron. Mater. 2020, 6, 2000332. [Google Scholar] [CrossRef]
- Wang, F.; Xu, M.; Tang, Y.; Wang, T.; Shi, W.; Leung, C.M.; Roedel, J. Large Strain Response in the Ternary Bi0.5Na0.5TiO3-BaTiO3-SrTiO3 Solid Solutions. J. Am. Ceram. Soc. 2012, 95, 1955–1959. [Google Scholar] [CrossRef]
- Wu, X.; Wen, L.; Wu, C.; Lv, X.; Yin, J.; Wu, J. Insight into the large electro-strain in bismuth sodium titanate-based relaxor ferroelectrics: From fundamentals to regulation methods. J. Mater. Sci. Technol. 2023, 150, 27–48. [Google Scholar] [CrossRef]
- Viola, G.; Saunders, T.; Wei, X.; Chong, K.B.; Luo, H.; Reece, M.J.; Yan, H. Contribution of piezoelectric effect, electrostriction and ferroelectric/ferroelastic switching to strain-electric field response of dielectrics. J. Adv. Dielectr. 2013, 03, 1350007. [Google Scholar] [CrossRef]
- Li, S.; Cao, W.; Cross, L.E. The extrinsic nature of nonlinear behavior observed in lead zirconate titanate ferroelectric ceramic. J. Appl. Phys. 1991, 69, 7219–7224. [Google Scholar] [CrossRef]
- Ma, C.; Tan, X. Phase diagram of unpoled lead-free (1−x)(Bi1/2Na1/2)TiO3–xBaTiO3 ceramics. Solid State Commun. 2010, 150, 1497–1500. [Google Scholar] [CrossRef]
- Tan, X.; Ma, C.; Frederick, J.; Beckman, S.; Webber, K.G.; Green, D.J. The Antiferroelectric—Ferroelectric Phase Transition in Lead-Containing and Lead-Free Perovskite Ceramics. J. Am. Ceram. Soc. 2011, 94, 4091–4107. [Google Scholar] [CrossRef]
- Dittmer, R.; Jo, W.; Rödel, J.; Kalinin, S.; Balke, N. Nanoscale Insight into Lead-Free BNT-BT-xKNN. Adv. Funct. Mater. 2012, 22, 4208–4215. [Google Scholar] [CrossRef]
- Kling, J.; Tan, X.; Jo, W.; Kleebe, H.-J.; Fuess, H.; Rödel, J. In Situ Transmission Electron Microscopy of Electric Field-Triggered Reversible Domain Formation in Bi-Based Lead-Free Piezoceramics. J. Am. Ceram. Soc. 2010, 93, 2452–2455. [Google Scholar] [CrossRef]
- Daniels, J.E.; Jo, W.; Rödel, J.; Honkimäki, V.; Jones, J.L. Electric-field-induced phase-change behavior in (Bi0.5Na0.5)TiO3–BaTiO3–(K0.5Na0.5)NbO3: A combinatorial investigation. Acta Mater. 2010, 58, 2103–2111. [Google Scholar] [CrossRef]
- Simons, H.; Daniels, J.E.; Glaum, J.; Studer, A.J.; Jones, J.L.; Hoffman, M. Origin of large recoverable strain in 0.94(Bi0.5Na0.5)TiO3-0.06BaTiO3 near the ferroelectric-relaxor transition. Appl. Phys. Lett. 2013, 102, 189901. [Google Scholar] [CrossRef]
- Lee, J.-S.; Pham, K.-N.; Han, H.-S.; Lee, H.-B.; Tran, V.D.N. Strain enhancement of lead-free Bi1/2(Na0.82K0.18)1/2TiO3 ceramics by Sn doping. J. Korean Phys. Soc. 2012, 60, 212–215. [Google Scholar] [CrossRef]
- Hao, J.; Xu, Z.; Chu, R.; Li, W.; Du, J.; Li, G. Ultrahigh strain response with fatigue-free behavior in (Bi0.5Na0.5)TiO3-based lead-free piezoelectric ceramics. J. Phys. D Appl. Phys. 2015, 48, 472001. [Google Scholar] [CrossRef]
- Yin, J.; Liu, G.; Lv, X.; Zhang, Y.; Zhao, C.; Wu, B.; Zhang, X.; Wu, J. Superior and anti-fatigue electro-strain in Bi0.5Na0.5TiO3-based polycrystalline relaxor ferroelectrics. J. Mater. Chem. A 2019, 7, 5391–5401. [Google Scholar] [CrossRef]
- Sun, Y.; Yang, J.; Li, S.; Wang, D. Defect engineering in perovskite oxide thin films. Chem. Commun. 2021, 57, 8402–8420. [Google Scholar] [CrossRef] [PubMed]
- Zeng, J.; Zhao, K.; Shi, X.; Ruan, X.; Zheng, L.; Li, G. Large strain induced by the alignment of defect dipoles in (Bi3+,Fe3+) co-doped Pb(Zr,Ti)O3 ceramics. Scripta. Mater. 2018, 142, 20–22. [Google Scholar] [CrossRef]
- Yuan, Y.; Xue, K.; Ma, Y.; Peng, X.; Wang, B.; Liu, X.; Liu, M.; Song, Y.; Lu, H. Ionic liquid assisted quasi-solid-state polymer electrolyte for rechargeable lithium metal batteries operating at room temperature. Electrochim. Acta 2023, 440, 141753. [Google Scholar] [CrossRef]
- Acosta, M.; Novak, N.; Rojas, V.; Patel, S.; Vaish, R.; Koruza, J.; Rossetti, G.A.; Rödel, J. BaTiO3-based piezoelectrics: Fundamentals, current status, and perspectives. Appl. Phys. Rev. 2017, 4, 041305. [Google Scholar] [CrossRef]
- Carl, K.; Hardtl, K.H. Electrical after-effects in Pb(Ti, Zr)O3 ceramics. Ferroelectrics 1977, 17, 473–486. [Google Scholar] [CrossRef]
- Genenko, Y.A.; Glaum, J.; Hoffmann, M.J.; Albe, K. Mechanisms of aging and fatigue in ferroelectrics. Mater. Sci. Eng. B 2015, 192, 52–82. [Google Scholar] [CrossRef]
- Li, Z.; Thong, H.C.; Zhang, Y.F.; Xu, Z.; Zhou, Z.; Liu, Y.X.; Cheng, Y.Y.S.; Wang, S.H.; Zhao, C.; Chen, F.; et al. Defect Engineering in Lead Zirconate Titanate Ferroelectric Ceramic for Enhanced Electromechanical Transducer Efficiency. Adv. Funct. Mater. 2020, 31, 2005012. [Google Scholar] [CrossRef]
- Sung, Y.S.; Kim, J.M.; Cho, J.H.; Song, T.K.; Kim, M.H.; Chong, H.H.; Park, T.G.; Do, D.; Kim, S.S. Effects of Na nonstoichiometry in (Bi0.5Na0.5+x)TiO3 ceramics. Appl. Phys. Lett. 2010, 96, 022901. [Google Scholar] [CrossRef]
- Sung, Y.S.; Kim, J.M.; Cho, J.H.; Song, T.K.; Kim, M.H.; Park, T.G. Effects of Bi nonstoichiometry in (Bi0.5+xNa)TiO3 ceramics. Appl. Phys. Lett. 2011, 98, 012902. [Google Scholar] [CrossRef]
- Qin, Y.; Zhang, S.; Wu, Y.; Lu, C.; Zhang, J. Impacts of acceptor doping on the piezoelectric properties and domain structure in NBT-based lead-free ceramics. J. Eur. Ceram. Soc. 2017, 37, 3493–3500. [Google Scholar] [CrossRef]
- Xu, L.; Wu, S.; Zhu, K.; Song, B.; Zhou, X.; Yan, H.; Shen, B.; Zhai, J. Enhanced piezoelectricity and reduced leakage current of a novel (1 − x)Bi0.5Na0.5TiO3–x(Sr0.7Bi0.2□0.1)TiO3 thin film. Inorg. Chem. Front. 2021, 8, 700–710. [Google Scholar] [CrossRef]
- Qiao, X.-S.; Chen, X.-M.; Lian, H.-L.; Chen, W.-T.; Zhou, J.-P.; Liu, P.; Zhang, S. Microstructure and Electrical Properties of Nonstoichiometric 0.94(Na0.5Bi0.5+x)TiO3-0.06BaTiO3 Lead-Free Ceramics. J. Am. Ceram. Soc. 2016, 99, 198–205. [Google Scholar] [CrossRef]
- Prasertpalichat, S.; Khengkhatkan, S.; Siritanon, T.; Jutimoosik, J.; Kidkhunthod, P.; Bongkarn, T.; Patterson, E.A. Comparison of structural, ferroelectric, and piezoelectric properties between A-site and B-site acceptor doped 0.93Bi0.5Na0.5TiO3-0.07BaTiO3 lead-free piezoceramics. J. Eur. Ceram. Soc. 2021, 41, 4116–4128. [Google Scholar] [CrossRef]
- Damjanovic, D. Ferroelectric, dielectric and piezoelectric properties of ferroelectric thin films and ceramics. Rep. Prog. Phys. 1998, 61, 1267–1324. [Google Scholar] [CrossRef]
- Ren, X. Large electric-field-induced strain in ferroelectric crystals by point-defect-mediated reversible domain switching. Nat. Mater. 2004, 3, 91–94. [Google Scholar] [CrossRef] [PubMed]
- Zhang, L.; Ren, X. Aging behavior in single-domain Mn-doped BaTiO3 crystals: Implication for a unified microscopic explanation of ferroelectric aging. Phys. Rev. B 2006, 73, 094121. [Google Scholar] [CrossRef]
- Feng, Z.; Or, S.W. Aging-induced, defect-mediated double ferroelectric hysteresis loops and large recoverable electrostrains in Mn-doped orthorhombic KNbO3-based ceramics. J. Alloys Compd. 2009, 480, L29–L32. [Google Scholar] [CrossRef]
- Liu, W.; Zhang, L.; Chen, W.; Li, S.; Ren, X. Large digital-characterized electrostrain in Mn-doped (Pb, Sr)TiO3 electro-shape-memory ceramics. Appl. Phys. Lett. 2011, 99, 092907. [Google Scholar] [CrossRef]
- Aksel, E.; Forrester, J.S.; Kowalski, B.; Deluca, M.; Damjanovic, D.; Jones, J.L. Structure and properties of Fe-modified Na0.5Bi0.5TiO3 at ambient and elevated temperature. Phys. Rev. B 2012, 85, 024121. [Google Scholar] [CrossRef]
- Shi, J.; Fan, H.; Liu, X.; Li, Q. Giant strain response and structure evolution in (Bi0.5Na0.5)0.945−x(Bi0.2Sr0.7□0.1)xBa0.055TiO3 ceramics. J. Eur. Ceram. Soc. 2014, 34, 3675–3683. [Google Scholar] [CrossRef]
- Sapper, E.; Dittmer, R.; Damjanovic, D.; Erdem, E.; Keeble, D.J.; Jo, W.; Granzow, T.; Rödel, J. Aging in the relaxor and ferroelectric state of Fe-doped (1-x)(Bi1/2Na1/2)TiO3-xBaTiO3 piezoelectric ceramics. J. Appl. Phys. 2014, 116, 104102. [Google Scholar] [CrossRef]
- Du, G.; Liang, R.; Wang, L.; Li, K.; Zhang, W.; Wang, G.; Dong, X. Large stable strain memory effect in poled Mn-doped Pb(Mn1/3Sb2/3)O3-Pb(Zr,Ti)O3 ceramics. Appl. Phys. Lett. 2013, 102, 162907. [Google Scholar] [CrossRef]
- Yan, Y.; Feng, Y.; Damjanovic, D. Large and Stable Shape Memory Effect Realized by Defect Dipoles in Acceptor-Doped Ferroelectric Ceramics. J. Am. Ceram. Soc. 2016, 99, 206–210. [Google Scholar] [CrossRef]
- Morita, T.; Kadota, Y.; Hosaka, H. Shape memory piezoelectric actuator. Appl. Phys. Lett. 2007, 90, 082909. [Google Scholar] [CrossRef]
- Shi, J.; Fan, H.; Liu, X.; Li, Q. Defect-dipole alignment and strain memory effect in poled Li doped (Bi0.5Na0.4K0.1)0.98Ce0.02TiO3 ceramics. J. Mater. Sci. Mater. Electron. 2015, 26, 9409–9413. [Google Scholar] [CrossRef]
- Li, F.; Zhang, S.; Yang, T.; Xu, Z.; Zhang, N.; Liu, G.; Wang, J.; Wang, J.; Cheng, Z.; Ye, Z.G.; et al. The origin of ultrahigh piezoelectricity in relaxor-ferroelectric solid solution crystals. Nat. Commun. 2016, 7, 13807. [Google Scholar] [CrossRef] [PubMed]
- Cao, W.; Li, W.; Feng, Y.; Bai, T.; Qiao, Y.; Hou, Y.; Zhang, T.; Yu, Y.; Fei, W. Defect dipole induced large recoverable strain and high energy-storage density in lead-free Na0.5Bi0.5TiO3-based systems. Appl. Phys. Lett. 2016, 108, 202902. [Google Scholar] [CrossRef]
- Cao, W.P.; Sheng, J.; Qiao, Y.L.; Jing, L.; Liu, Z.; Wang, J.; Li, W.L. Optimized strain with small hysteresis and high energy-storage density in Mn-doped NBT-ST system. J. Eur. Ceram. Soc. 2019, 39, 4046–4052. [Google Scholar] [CrossRef]
- Zhao, Z.-H.; Dai, Y.; Huang, F. The formation and effect of defect dipoles in lead-free piezoelectric ceramics: A review. Sustain. Mater. Technol. 2019, 20, e00092. [Google Scholar] [CrossRef]
- Aksel, E.; Jakes, P.; Erdem, E.; Smyth, D.M.; Ozarowski, A.; van Tol, J.; Jones, J.L.; Eichel, R.-A. Processing of Manganese-Doped [Bi0.5Na0.5]TiO3 Ferroelectrics: Reduction and Oxidation Reactions During Calcination and Sintering. J. Am. Ceram. Soc. 2011, 94, 1363–1367. [Google Scholar] [CrossRef]
- Zhang, H.; Deng, H.; Chen, C.; Li, L.; Lin, D.; Li, X.; Zhao, X.; Luo, H.; Yan, J. Chemical nature of giant strain in Mn-doped 0.94(Na0.5Bi0.5)TiO3–0.06BaTiO3 lead-free ferroelectric single crystals. Scripta Mater. 2014, 75, 50–53. [Google Scholar] [CrossRef]
- Jo, W.; Erdem, E.; Eichel, R.-A.; Glaum, J.; Granzow, T.; Damjanovic, D.; Rödel, J. Effect of Nb-donor and Fe-acceptor dopants in (Bi1/2Na1/2)TiO3–BaTiO3–(K0.5Na0.5)NbO3 lead-free piezoceramics. J. Appl. Phys. 2010, 108, 014110. [Google Scholar] [CrossRef]
- Jo, W.; Ollagnier, J.-B.; Park, J.-L.; Anton, E.-M.; Kwon, O.J.; Park, C.; Seo, H.-H.; Lee, J.-S.; Erdem, E.; Eichel, R.-A.; et al. CuO as a sintering additive for (Bi1/2Na1/2)TiO3–BaTiO3–(K0.5Na0.5)NbO3 lead-free piezoceramics. J. Eur. Ceram. Soc. 2011, 31, 2107–2117. [Google Scholar] [CrossRef]
- Ni, F.; Luo, L.; Pan, X.; Li, W.; Zhu, J.-q. Effects of A-site vacancy on the electrical properties in lead-free non-stoichiometric ceramics Bi0.5+x(Na0.82K0.18)0.5−3xTiO3 and Bi0.5+y(Na0.82K0.18)0.5TiO3. J. Alloys Compd. 2012, 541, 150–156. [Google Scholar] [CrossRef]
- Liu, X.; Li, F.; Zhai, J.; Shen, B.; Li, P.; Liu, B. Composition-induced structural transitions and enhanced strain response in nonstoichiometric NBT-based ceramics. J. Am. Ceram. Soc. 2017, 100, 3636–3645. [Google Scholar] [CrossRef]
- Yao, J.; Ge, W.; Yan, L.; Reynolds, W.T.; Li, J.; Viehland, D.; Kiselev, D.A.; Kholkin, A.L.; Zhang, Q.; Luo, H. The influence of Mn substitution on the local structure of Na0.5Bi0.5TiO3 crystals: Increased ferroelectric ordering and coexisting octahedral tilts. J. Appl. Phys. 2012, 111, 064109. [Google Scholar] [CrossRef]
- Yuan, Y.; Peng, X.; Wang, B.; Xue, K.; Li, Z.; Ma, Y.; Zheng, B.; Song, Y.; Lu, H. Solvate ionic liquid-derived solid polymer electrolyte with lithium bis(oxalato) borate as a functional additive for solid-state lithium metal batteries. J. Mater. Chem. A 2023, 11, 1301–1311. [Google Scholar] [CrossRef]
- Kishi, H.; Mizuno, Y.; Chazono, H. Base-Metal Electrode-Multilayer Ceramic Capacitors: Past, Present and Future Perspectives. Jpn. J. Appl. Phys. 2003, 42, 1–15. [Google Scholar] [CrossRef]
- Li, M.; Li, L.; Zang, J.; Sinclair, D.C. Donor-doping and reduced leakage current in Nb-doped Na0.5Bi0.5TiO3. Appl. Phys. Lett. 2015, 106, 102904. [Google Scholar] [CrossRef]
- Li, M.; Pietrowski, M.J.; De Souza, R.A.; Zhang, H.; Reaney, I.M.; Cook, S.N.; Kilner, J.A.; Sinclair, D.C. A family of oxide ion conductors based on the ferroelectric perovskite Na0. 5Bi0. 5TiO3. Nat. Mater. 2014, 13, 31–35. [Google Scholar] [CrossRef]
- Yang, F.; Dean, J.S.; Hu, Q.; Wu, P.; Pradal-Velázquez, E.; Li, L.; Sinclair, D.C. From insulator to oxide-ion conductor by a synergistic effect from defect chemistry and microstructure: Acceptor-doped Bi-excess sodium bismuth titanate Na0.5Bi0.51TiO3.015. J. Mater. Chem. A 2020, 8, 25120–25130. [Google Scholar] [CrossRef]
- Shi, J.; Liu, X.; Zhu, F.; Tian, W.; Xia, Y.; Li, T.; Rao, R.; Zhang, T.; Liu, L. Oxygen vacancy migration and its lattice structural origin in A-site non-stoichiometric bismuth sodium titanate perovskites. J. Mater. 2022, 8, 719–729. [Google Scholar] [CrossRef]
- Ye, C.; Zhao, Y.; Li, Y.; Zhao, X.; Li, M.; Shi, J.; Liu, X. Structure, impedance and conduction mechanisms of tape-casting (Bi0.44Nd0.01Sr0.02Ca0.02)Na0.5TiO2.965 ceramic film. Ceram. Int. 2023, 49, 14571–14580. [Google Scholar] [CrossRef]
- Li, Y.; Rao, R.; Wang, Y.; Du, H.; Shi, J.; Liu, X. Effect of Chemical Inhomogeneity on the Dielectric and Impedance Behaviors of Bismuth Sodium Titanate Based Relaxors. ECS J. Solid State Sci. Technol. 2023, 12, 013005. [Google Scholar] [CrossRef]
- Colla, E.L.; Tagantsev, A.K.; Taylor, D.V.; Kholkin, A.L. Fatigued state of the Pt-PZT-Pt system. Integr. Ferroelectr. 2006, 18, 19–28. [Google Scholar] [CrossRef]
- Patterson, E.A.; Cann, D.P. Bipolar piezoelectric fatigue of Bi(Zn0.5Ti0.5)O3-(Bi0.5K0.5)TiO3-(Bi0.5Na0.5)TiO3 Pb-free ceramics. Appl. Phys. Lett. 2012, 101, 042905. [Google Scholar] [CrossRef]
- Luo, Z.; Granzow, T.; Glaum, J.; Jo, W.; Rödel, J.; Hoffman, M. Effect of Ferroelectric Long-Range Order on the Unipolar and Bipolar Electric Fatigue in Bi1/2Na1/2TiO3-Based Lead-Free Piezoceramics. J. Am. Ceram. Soc. 2011, 94, 3927–3933. [Google Scholar] [CrossRef]
- Luo, Z.; Glaum, J.; Granzow, T.; Jo, W.; Dittmer, R.; Hoffman, M.; Rödel, J. Bipolar and Unipolar Fatigue of Ferroelectric BNT-Based Lead-Free Piezoceramics. J. Am. Ceram. Soc. 2011, 94, 529–535. [Google Scholar] [CrossRef]
- Guo, H.; Liu, X.; Rödel, J.; Tan, X. Nanofragmentation of Ferroelectric Domains During Polarization Fatigue. Adv. Funct. Mater. 2015, 25, 270–277. [Google Scholar] [CrossRef]
- Tian, C.; Wang, F.; Ye, X.; Xie, Y.; Wang, T.; Tang, Y.; Sun, D.; Shi, W. Bipolar fatigue-resistant behavior in ternary Bi0.5Na0.5TiO3–BaTiO3–SrTiO3 solid solutions. Scripta Mater. 2014, 83, 25–28. [Google Scholar] [CrossRef]
- Ehmke, M.; Glaum, J.; Jo, W.; Granzow, T.; Rödel, J. Stabilization of the Fatigue-Resistant Phase by CuO Addition in (Bi1/2Na1/2)TiO3-BaTiO3. J. Am. Ceram. Soc. 2011, 94, 2473–2478. [Google Scholar] [CrossRef]
- Shi, J.; Tian, W.; Liu, X.; Fan, H. Electric-field induced phase transition and fatigue behaviors of (Bi0.5+x/2Na0.5-x/2)0.94Ba0.06Ti1-xFeO3 ferroelectrics. J. Am. Ceram. Soc. 2017, 100, 1080–1090. [Google Scholar] [CrossRef]
- Zhou, X.; Yan, Z.; Qi, H.; Wang, L.; Wang, S.; Wang, Y.; Jiang, C.; Luo, H.; Zhang, D. Electrical properties and relaxor phase evolution of Nb-Modified Bi0.5Na0.5TiO3-Bi0.5K0.5TiO3-SrTiO3 lead-free ceramics. J. Eur. Ceram. Soc. 2019, 39, 2310–2317. [Google Scholar] [CrossRef]
- Wu, J.; Zhang, H.; Huang, C.-H.; Tseng, C.-W.; Meng, N.; Koval, V.; Chou, Y.-C.; Zhang, Z.; Yan, H. Ultrahigh field-induced strain in lead-free ceramics. Nano Energy 2020, 76, 105037. [Google Scholar] [CrossRef]
- Liu, L.; Shi, D.; Knapp, M.; Ehrenberg, H.; Fang, L.; Chen, J. Large strain response based on relaxor-antiferroelectric coherence in Bi0.5Na0.5TiO3–SrTiO3–(K0.5Na0.5)NbO3 solid solutions. J. Appl. Phys. 2014, 116, 184104. [Google Scholar] [CrossRef]
- Eriksson, M.; Yan, H.; Nygren, M.; Reece, M.J.; Shen, Z. Low temperature consolidated lead-free ferroelectric niobate ceramics with improved electrical properties. J. Mater. Res. 2011, 25, 240–247. [Google Scholar] [CrossRef]
- Chen, L.; Fan, H.; Li, Q. Characterization of acceptor-doped (Ba, Ca)TiO3 “hard” piezoelectric ceramics for high-power applications. Ceram. Int. 2017, 43, 5579–5584. [Google Scholar] [CrossRef]
- Han, H.-S.; Koruza, J.; Patterson, E.A.; Schultheiß, J.; Erdem, E.; Jo, W.; Lee, J.-S.; Rödel, J. Hardening behavior and highly enhanced mechanical quality factor in (K0.5Na0.5)NbO3 –based ceramics. J. Eur. Ceram. Soc. 2017, 37, 2083–2089. [Google Scholar] [CrossRef]
- Feng, Y.; Wu, J.; Chi, Q.; Li, W.; Yu, Y.; Fei, W. Defects and Aliovalent Doping Engineering in Electroceramics. Chem. Rev. 2020, 120, 1710–1787. [Google Scholar] [CrossRef] [PubMed]
- Jin, L.; Li, F.; Zhang, S.; Green, D.J. Decoding the Fingerprint of Ferroelectric Loops: Comprehension of the Material Properties and Structures. J. Am. Ceram. Soc. 2014, 97, 1–27. [Google Scholar] [CrossRef]
- Luo, H.; Liu, H.; Huang, H.; Song, Y.; Tucker, M.G.; Sun, Z.; Yao, Y.; Gao, B.; Ren, Y.; Tang, M.; et al. Achieving giant electrostrain of above 1% in (Bi,Na)TiO3-based lead-free piezoelectrics via introducing oxygen-defect composition. Sci. Adv. 2023, 9, eade7078. [Google Scholar] [CrossRef] [PubMed]
- Park, D.-S.; Hadad, M.; Riemer, L.M.; Ignatans, R.; Spirito, D.; Esposito, V.; Tileli, V.; Gauquelin, N.; Chezganov, D.; Jannis, D.; et al. Induced giant piezoelectricity in centrosymmetric oxides. Science 2022, 375, 653–657. [Google Scholar] [CrossRef] [PubMed]
- Zhao, Z.; Dai, Y.; Li, X.; Zhao, Z.; Zhang, X. The evolution mechanism of defect dipoles and high strain in MnO2-doped KNN lead-free ceramics. Appl. Phys. Lett. 2016, 108, 172906. [Google Scholar] [CrossRef]
- Jones, G.O.; Thomas, P.A. Investigation of the structure and phase transitions in the novel A-site substituted distorted perovskite compound Na0.5Bi0.5TiO3. Acta. Crystallogr. B 2002, 58, 168–178. [Google Scholar] [CrossRef]
- Huangfu, G.; Zeng, K.; Wang, B.; Wang, J.; Fu, Z.; Xu, F.; Zhang, S.; Luo, H.; Viehland, D.; Guo, Y. Giant electric field–induced strain in lead-free piezoceramics. Science 2022, 378, 1125–1130. [Google Scholar] [CrossRef]















| Compositions | Emax (kV/cm) | Smax (%) | d33* (pm/V) | Hysteresis | Symmetry | Methods |
|---|---|---|---|---|---|---|
| BNT-Nb [10] | 50 | 0.7 | 1400 | large | asymmetric | SR |
| BNT-Sr [11] | 80 | 0.1 | 125 | negligible | symmetric | SR |
| BNT-2 [12] | 70 | (220 °C) 2.3 | 3286 | moderate | heterogeneous | SR |
| BNT-BT-SBT [9] | 80 | 0.152 | 190 | negligible | symmetric | SR |
| BNT-BT-La [13] | 75 | 0.53 | 707 | moderate | asymmetric | SR |
| BNT-BT-Zr [14] | 40 | 0.23 | 573 | large | symmetric | SR |
| BNT-BT-LN [15] | 50 | 0.64 | 1280 | small | symmetric | SPS |
| BNT-BT-SS [16] | 85 | 1.89 | 2230 | large | asymmetric | SR |
| BNT-BT-FN [17] | 40 | 0.36 | 907 | large | symmetric | TGG |
| BNBT-YT [18] | 52 | 0.37 | 708 | large | asymmetric | SR |
| BNKT-SBTZ [19] | 110 | 0.72 | 655 | moderate | symmetric | SR |
| BNKT-Nb [20] | 60 | 0.65 | 1083 | moderate | asymmetric | RTGG |
| BNKT-Ta [21] | 50 | 0.62 | 1240 | large | asymmetric | SR |
| BNKT-SrNb [22] | 100 | 1.6 | 1600 | moderate | asymmetric | RTGG |
| BNT-BKT-BT [23] | 40 | (90 °C) 0.41 | 1030 | large | symmetric | RTGG |
| BNT-BKT-BA [24] | 40 | 0.398 | 995 | large | symmetric | RTGG |
| BNT-ST-NN [25] | 30 | 0.25 | 833 | large | symmetric | SR |
| BNT-ST-FN [26] | 70 | 0.26 | 371 | small | symmetric | SR |
| BNT-ST-MnO2 [27] | 20 | 0.168 | 840 | large | symmetric | SR |
| BNT-BST-BT-ZS [28] | 120 | 0.24 | 200 | negligible | asymmetric | SR |
| KNSN/NiO [29] | 50 | 1.35 | 2700 | moderate | heterogeneous | TGG |
| KNN-Cu [30] | 50 | 0.5 | 1000 | large | asymmetric | SR |
| KNNS-BNZ [31] | 30 | 0.14 | 493 | large | symmetric | SR |
| BT-Mn [32] | 50 | 0.23 | 460 | moderate | symmetric | SR |
| BT-LH [33] | 60 | 0.2 | 334 | moderate | symmetric | SR |
| BF-BT-Fe [34] | 50 | 0.34 | 680 | large | symmetric | SR |
Disclaimer/Publisher’s Note: The statements, opinions and data contained in all publications are solely those of the individual author(s) and contributor(s) and not of MDPI and/or the editor(s). MDPI and/or the editor(s) disclaim responsibility for any injury to people or property resulting from any ideas, methods, instructions or products referred to in the content. |
© 2023 by the authors. Licensee MDPI, Basel, Switzerland. This article is an open access article distributed under the terms and conditions of the Creative Commons Attribution (CC BY) license (https://creativecommons.org/licenses/by/4.0/).
Share and Cite
Wang, Y.; Wang, P.; Liu, L.; Wang, Y.; Zhao, Y.; Tian, W.; Liu, X.; Zhu, F.; Shi, J. Defect Dipole Behaviors on the Strain Performances of Bismuth Sodium Titanate-Based Lead-Free Piezoceramics. Materials 2023, 16, 4008. https://doi.org/10.3390/ma16114008
Wang Y, Wang P, Liu L, Wang Y, Zhao Y, Tian W, Liu X, Zhu F, Shi J. Defect Dipole Behaviors on the Strain Performances of Bismuth Sodium Titanate-Based Lead-Free Piezoceramics. Materials. 2023; 16(11):4008. https://doi.org/10.3390/ma16114008
Chicago/Turabian StyleWang, Yiyi, Pu Wang, Laijun Liu, Yuyin Wang, Yingying Zhao, Wenchao Tian, Xiao Liu, Fangyuan Zhu, and Jing Shi. 2023. "Defect Dipole Behaviors on the Strain Performances of Bismuth Sodium Titanate-Based Lead-Free Piezoceramics" Materials 16, no. 11: 4008. https://doi.org/10.3390/ma16114008
APA StyleWang, Y., Wang, P., Liu, L., Wang, Y., Zhao, Y., Tian, W., Liu, X., Zhu, F., & Shi, J. (2023). Defect Dipole Behaviors on the Strain Performances of Bismuth Sodium Titanate-Based Lead-Free Piezoceramics. Materials, 16(11), 4008. https://doi.org/10.3390/ma16114008

