Abstract
Nanofluids substantially enhance the physical and thermal characteristics of the base or conducting fluids specifically when interacting with the magnetic field. Several engineering processes like geothermal energy extraction, metal casting, nuclear reactor coolers, nuclear fusion, magnetohydrodynamics flow meters, petrochemicals, and pumps incorporate magnetic field interaction with the nanofluids. On the other hand, an enhancement in heat transfer due to nanofluids is essentially required in various thermal systems. The goal of this study is to figure out that how much a magnetic field affects nanofluid flow in an enclosure because of a dipole. The nanofluid is characterized using a single-phase model, and the governing partial differential equations are computed numerically. A Pseudo time based numerical algorithm is developed to numerically solve the problem. It can be deduced that the Reynolds number and the magnetic parameter have a low effect on the Nusselt number and skin friction. The Nusselt number rises near the dipole location because of an increase in the magnetic parameter and the Reynolds number . The imposed magnetic field alters the region of high temperature nearby the dipole, while newly generated vortices rotate in alternate directions. Furthermore, nanoparticle volume fraction causes a slight change in the skin friction while it marginally reduces the Nusselt number.
1. Introduction
Nanofluids are very eminent in many energy systems and play a crucial role in the heat transfer mechanism. Usual base fluids like alcohol, graphene, engine oil, and water possess a low competency to improve the heat transport rate. Therefore, the amalgamation of base fluid in the tiny sized solid constituents would improve the heat transfer rate [1]. Ultimately, Choi [2] suggested that the tendency of conducting fluids to enhance the thermal properties could be enhanced by mixing the solid fragments (nanoparticles) into base fluids. The diffusion of small nanoparticles sized (1–100 nm) in the base liquids refers to nanofluids. The elements of nanoparticles comprise oxides, carbides, nitrides, and metals such as , , , , , , and . With improved and enhanced thermal mechanisms, nanofluids have enormous employments involving thermal storage capacity, nuclear system cooling, vehicle engine cooling, welding cooling, high power lasers, and are used in supersonic and ultrasonic fields, gas recovery of boiler exhaust fuel, tumor and cancer therapy, pharmacology, refrigerator, drag reduction, grinder machines, hybrid power engines, fuel cells, car AC, microelectronic chips, and microwave tubes [3]. Various recent investigations regarding nanofluids subject to various conditions have been studied in [4,5,6,7,8,9,10].
Flows involving magnetohydrodynamic effects have potential uses in fiber coating, plasma confinement, magnetic material processing industries, photochemical reactors, purification of crude oil, magnetic drug targeting, nuclear fusion, and many other fields. Investigations concerning MHD flows have been carried out by many researchers. Yang et al. [11] used the theoretical and experimental results in order to measure the nanowire motion in the presence of a magnetic field. They utilized the MRF (multiple reference frame) model to find the torque of fluid, which was then equated with the theoretical and experimental results. The impact of magnetic nanofluids (MNFs) on the heat transfer enhancement was determined by Zhang and Zhang [12]. Their outcomes depicted that non-magnetic and unidirectional fields inserted a low effect on the coefficient of local heat transfer compared to an alternating magnetic field. Ali et al. [13] studied the flow of aluminum oxide and copper under the action of the Lorentz force. The simulation results were correlated with the experimental ones and were found to be in a good connection with each other. Tetuko et al. [14] examined the heat transmission rate of magnetic nanofluids in a pipe by using different Reynolds numbers, e.g., Re = 285, Re = 228, and Re = 171. The Williamson’s nanofluid under the aligned magnetic field effect was explored numerically by Srinivasulu and Goud [15]. In this problem, the transformation of similarity was adopted to dimensionless the governing equations. An analysis of Casson nanofluid involving magnetohydrodynamic effects verified that the activation energy caused an enhancement in concentration, whereas the radiation effect boosted up the temperature and entropy generation as well (see Shah et al. [16]). The heat transportation flow of micropolar fluid inside a permeable channel, under the magnetohydrodynamic effect, was investigated by Ahmad et al. [17]. The effect of imposed magnetic field not only enhanced the Nusselt number and skin friction, but also caused a rapid increase in the rotation of micro particles. The implicit finite difference based numerical technique, known as Keller–Box, was utilized by Haq et al. [18] to numerically solve the dynamical model of MHD Eyring Powell nanofluid flow. Both the heat transfer rate and surface drag were increased by the curvature parameter and the Eyring Powell fluid parameter.
Nanofluid flows through cavities with heat transfer characteristics under the magnetohydrodynamic effects have been extensively studied by numerous researchers because of their practical implementations in several areas of science and technology. MHD nanoparticles flow inside a lid driven cavity, under the impact convective conditions on boundary, was discussed numerically by Muthtamilselvan and Doh [19]. The walls of the cavity were located at different positions. Moreover, the bottom and horizontal cavity walls possessed different temperatures, while the right and left cavity walls were considered to be insulated. Giwa et al. [20] expressed the importance of magnetohydrodynamic phenomena in cavities filled with nanofluids. They proposed that the natural convection flows of nanofluids together with heat transfer in cavities could maintain and control the thermal efficiency of fluid using magnetic field sources, porous media, and aspect ratio. A simulation analysis was performed by Selimefendigil and Öztop [21] to interpret the CNT–water nanofluid flow within a corrugated square cavity under an inclined magnetic field environment. The two cavity walls were assumed to be adiabatic and the other two were kept at same temperatures. They adopted the residual Galerkin weighted technique to find the numerical solution. Geridonmez and Oztop [22] offered a novel numerical study regarding the flow of aluminum oxide nanoparticles inside a cavity subject to natural convection and cross partial magnetic fields. The radial basis functions (Rbfs) were introduced to solve the governing vorticity and stream function equations.
The cavity flows have considerable effects on the heat transportation and thermal performance of many systems, and play an essential role in cooling and heating energy systems. Examples incorporate solar collectors, nuclear reactors, energy storage geothermal reservoirs, underground water flow, and boilers. Flows of different fluids within a cavity have been analyzed by several researchers. The flow of ferrofluid (Fe3O4) together with H2O in a cavity, under the entropy generation effect, was carried out by Mohammadpourfard et al. [23]. In this numerical analysis, the control volume method was utilized to solve the two-phase mixture model. The effects produced by the buoyancy force and non-uniform magnetic field on the heat transfer flow in the cavity were investigated. Revnic et al. [24] considered the flow inside a cavity filled with aluminum oxide and copper nanoparticles. A high temperature was taken on the two walls of the cavity while the other two were thermally insulated. Heat transfer enhancement was noted in the cavity for hybrid nanoparticles. The flow within a square enclosure was taken by Yasmin et al. [25] to analyze the heat transport and flow features of MHD Cassonna nanofluids. Further investigations on cavity flows can be found in [26,27,28].
The aforementioned literature review evidently discloses that the effects of moving diploe on the nanofluid flow occurring in a cavity have not been numerically interpreted yet. The recent work describes the novel aspects of the problem under the magnetohydrodynamic effects. The single-phase model (SPM) has been adopted to simplify the nanofluid flow model. The tabular and graphical outcomes express the dominant effects of the preeminent parameters on the heat transfer and flow in the cavity filled with nanofluids. New vortices seem to be appearing in the flow field with the existence of a dipole in the vicinity of cavity.
2. Materials and Methods
Figure 1 depicts a schematic geometry of the problem under consideration. A square with side L acts as the computational domain. Because of the mechanical arrangement, the top lid moves in the right side. Temperatures and show upper and lower wall temperatures, respectively, which are kept constant, and a magnetic source is placed at . The water is considered to be the base fluid, while the solid particles of aluminum oxides Al2O3 are considered nanoparticles, which have been used in the nanofluid.
Figure 1.
Problem schematic diagram.
To examine the thermodynamic properties and flow characteristics of an incompressible and laminar nanofluid flow under the dipole influence, we formulated the governing equations using SPM, as follows:
Here:
and stands for the magnetic force components along x and y-axis, respectively.
expresses the magneto-caloric phenomenon subject to the thermal power per unit volume.
Where is the magnetic field intensity attributed to the existence of a dipole at .
, with being the strength of the magnetic field at the dipole location [29].
- represents the magnetization property, which is calculated as a function of magnetic field strength and the temperature of the fluid. The following is a simple linear relationship for :where is a pyro magnetic factor, while represents the Curie temperature [30].
- All other terms have their conventional meanings.
It is worth noting that the physical characteristics of the nanofluid are denoted by the subscript (nf).
Boundary conditions:
After removing the pressure term, we get the following:
We use the dimensionless variables listed below:
Now, Equations (4) and (6) imply that:
The dimensionless parameters are portrayed in Table 1.The above equations signify stream function–vorticity form, which is the modified version of the Equations (1)–(4), with the following:
Table 1.
Prime parameters in Equations (8) and (9).
It is essential to state that the physical properties of the nanofluid (with nf subscripts) given in Equations (1)–(4) will be analyzed using the relations described in [31].
For example,
In the same way, the boundary conditions take the following form:
3. Numerical Approach
The dimensionless coupled Equations (8)–(10) have been iteratively solved with respect to the boundary conditions given in Equation (11). A pseudo-transient approach, which involves time as an iteration parameter, is employed to determine the numerical solution of the problem.
3.1. Numerical Solution
For the numerical solution, we may incorporate central differences for the spatial derivatives, whereas a predictor–corrector-like approach may be followed for the time integration. With the superscripts representing the time level and the subscripts denoting the location of the grid point, the system of governing equations when discretized, as stated above, may be written as follows:
Finally, we have to numerically solve the following equations in order to determine the numerical solution of the problem:
which describe how the solution is marched from the nth time level to the (n + 1) level. Here, h and k represent the grid-spacing in the horizontal and vertical directions, respectively, where the time-stepping is represented by . A line-by-line approach may then be followed to solve the system of algebraic equations by employing some direct or iterative methods. The required steady-state solution is assumed to be reached when the solution at two consecutive time levels differs by some prescribed tolerance. The iterations are stopped if following criteria are fulfilled:
is fixed in all of the calculations performed here.
3.2. Flow Chart for the Pseudo Transient Method
The pseudo transient approach can solve complex dynamical nonlinear problems in an efficient way. Pseudo time is a mathematical time function that accounts for the parameters involved in the dynamical problems. The objective of the pseudo time analysis is to take a collection of parametric data from a dynamical problem (as in the concerned problem) and to provide numerical outcomes. The solution algorithm is implicit pseudo-time dependent for which Equations (20) and (21) are linearized around time-level n + 1 to obtain the numerical solution. In this method, central differences are used to discretize the governing equations. After finding the stream vorticity function, we determine skin friction , Nusselt number , streamlines, and isotherms. The flow chart of the pseudo transient method is provided in Figure 2.
Figure 2.
Flow chart diagram for the Pseudo Transient Method.
4. Numerical Results and Discussion
To appraise the precision of our numerical procedure, we solved the problem provided by Shih and Tan [32] by developing our code. In [32], it was assumed that the top lid of cavity moved with variable velocity . Further, the cavity was filled with a classical Newtonian fluid in the absence of any dipole. There is an analytical solution for this problem, in which the velocity distributions are defined by and . The horizontal velocity profile (calculated analytically and numerically) has been compared in Figure 3.
Figure 3.
Numerical results comparison with the analytical solution of Shih and Tan [32].
In addition, the average Nusselt number on the hot wall is correlated with the established results (see in Table 2) developed by Chen et al. [33] and De Vahl Davis [34]. Our numerical approach is validated by an excellent comparison. In addition, Figure 4 depicts the computational grid that is used in this investigation. All numerical simulations are performed on a grid that is uniform with a step size h = 0.01.
Table 2.
Average Nusselt number comparison with formerly established outcomes.
Figure 4.
Computational grid of current study.
We will look at the impact of preeminent factors like the Reynolds number , the nanoparticle volume fraction , and the magnetic number , with dipole interaction via cavity flow (caused by the upper and lower lids move in opposite directions). Water is considered to be the base fluid, while the only solid particles of Al2O3 are considered in the nanofluid. Furthermore, in our simulations, we set the value of to be 0.10 and , while the physical characteristics of water refer to (Table 3).
Table 3.
Thermophysical features of nanoparticles and water.
In the present case, the Eckert number is presumed to be quite small (e.g., ) because of the comparatively smaller value of the Reynolds number. As illustrated in Figure 5, a step size has been used with a uniform grid that has been chosen in the context of the grid independence analysis.
Figure 5.
Grid Independence Study.
The fundamental physical characteristics of the Nusselt number and local skin friction are:
and
where,
heat flux
shear stress.
By using the dimensionless variables, we obtain following relation:
and
Along the lower edge of cavity, the values of skin friction and Nusselt number will be taken into account (for which location of the dipole is at ). From Figure 6, it can be seen that the influence of Reynold number and a magnetic field is likely to be similar for shear stress and the Nusselt number . The Nusselt number rises near the dipole location due to the increase in magnetic parameter and the Reynold number . The pattern of skin friction is almost symmetric around the origin. We further notice that as and rises, the variation in the vorticity profile is steeper, which varies from negative values to positive values, whereas vorticity is zero at the point where the dipole is situated. However, the rotation in the fluid is observed in the positive and negative direction when the dipole moves from left to right. As the and increase, the rotation of the vortices in the opposite direction is noticed. Figure 7 clearly shows this phenomenon.

Figure 6.
Change in and at the dipole location along the lower wall.
Figure 7.
Representation of streamlines for various values of magnetic interaction parameters.
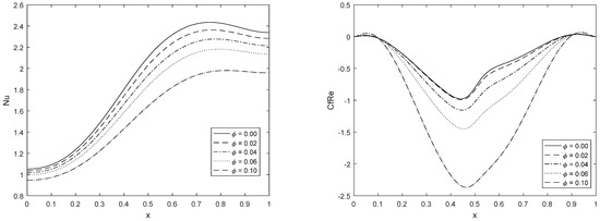
Now we try to grasp the effect of the nanoparticle volume fraction on the Nusselt number and local skin friction. The change of Nusselt number and local skin fraction is not very sharp along the left and right adiabatic walls. It is noticed that the nanoparticle volume fraction upper the Nusselt number about the middle of the cavity while falls local skin friction around the dipole location.
At the beginning, when there is no dipole located near the cavity, the behavior of the streamlines is quite smooth with a clockwise vortex near the upper wall. As the upper plate is moving, a high-velocity gradient can be seen along the upper wall. An anticlockwise lowering vortex seems to appear near the dipole from right side with the impact of magnetic field. As the magnetic fields strengthen, this lower vortex starts growing, and another tiny vortex appears from the primary vortex. Consequently, there are three vortices in total at , and the two secondary vortices are originating near the dipole location.
The isotherm has a smooth pattern at the time when no magnetic field is applied, and the isotherms possess a region with a higher thermal gradient along the upper side of the left wall. The zone of higher temperature gradient is created by the applied magnetics around the location of the dipole (Figure 8).
Figure 8.
Representation of isotherms for different values of the magnetic interaction parameters.
Figure 9 depicts that for , there is a single primary vortex and the direction of streamline from left to right, it is due to the movement of the upper lid from left to rightward, which is why the flow velocity is more enhanced near the top lid. As we increase the Reynold number, another lowering anticlockwise vortex appears near the right wall of the bottom lid. This newly formed vortex gets bigger and bigger near the dipole for higher values of Reynold numbers and it is originates near the dipole.
Figure 9.
Representation of streamlines for various values of Reynolds numbers.
It is obvious from Figure 10 that the thermal field becomes steeper with increasing values of the Reynold number along the upper horizontal wall, and also creates a higher thermal gradient near the dipole location.
Figure 10.
Representation of isotherms for different values of Reynolds numbers.
Table 4 shows that the Nusselt number is reduced by approximately as a result of a rise in the volume fraction of nanoparticles, equated to a variation in the skin friction along the lower wall and negligible change in . This reveals that is even more efficient on the Nusselt number.
Table 4.
Influence of nanoparticle volume fraction () on physical quantities.
It can be seen from Table 5 that a significant impact of the Reynolds number is noted for , , and in comparison to the only change in . The reality of this fact is that an increase in the movement of the surface tends to enhance the Reynolds number for the fixed thermo-physical properties of nanofluids. Due to this phenomenon, heat energy varies near the moving walls.
Table 5.
Influence of Reynolds number () on physical quantities.
Table 6 shows that magnifying the magnetic parameter up to 3000 gives rise to and by 115% and 110%, respectively, and a remarkable variation is found in the shear stress along the bottom lid of the cavity, while a negligible change is in . This means that the dipole is more efficient for shear stress along the lower wall rather than the upper wall of the cavity, and this happens due to the motion of the upper lid.
Table 6.
Impact of the magnetic interaction parameter () on the physical quantities.
5. Conclusions
An inclusive computational analysis of the dipole interaction with the flow of nanoparticles (Al2O3) and base fluid (H2O) within an enclosure is presented in this work. The main purpose of this study is to examine that how much a nanofluid flow is affected by the magnetic field inside an enclosure due to the presence of a dipole. The single-phase model is adopted to characterize the nanofluid, and the governing partial differential equations are computed numerically. The results evidently reveal that increase in the nanoparticles volume fraction leads to an enhancement in Nusselt number and in the skin friction. Hence, it can be deduced that is even more efficient on the Nusselt number compared to its effect on skin friction. We noticed the following key points in our analysis:
- The Reynolds number and the magnetic field give rise to the Nusselt number in the surroundings of the dipole.
- The new vortices also seem to be rotating in the alternating paths due to dipole movement.
- The magnetic field and Reynold number form more vertices near the dipole location.
- The imposed magnetic field shifts the thermal gradient around the dipole location.
- No significant change is found in the shear stress for , whereas the Nusselt number strictly decreases against the solid nanoparticles volume fraction .
- The influence of Reynold’s number on the Nusselt number and is significant compared to .
- The skin friction becomes more effective along the lower wall in the presence of the dipole.
Author Contributions
Conceptualization, S.A. (Shabbir Ahmad) and Y.A.; methodology, S.A. (Shabbir Ahmad); software, S.A. (Sohail Ahmad); validation, R.A., Y.A. and M.M.A.; formal analysis, O.M.; investigation, S.A. (Shabbir Ahmad); resources, R.A.; data curation, M.M.A.; writing—original draft preparation, S.A. (Sohail Ahmad); writing—review and editing, O.M.; visualization, S.A. (Sohail Ahmad); supervision, S.A. (Shabbir Ahmad); project administration, O.M.; funding acquisition, M.M.A. All authors have read and agreed to the published version of the manuscript.
Funding
The authors are thankful to the Deanship of Scientific Research, King Khalid University, Abha, Saudia Arabia, for financially supporting this work through the General Research Project under grant no. R.G.P.2/160/43.
Institutional Review Board Statement
Not applicable.
Informed Consent Statement
Not applicable.
Data Availability Statement
Not applicable.
Acknowledgments
This work is extension of the previous work of Shabbir Ahmad, who is principal investigator of this work.
Conflicts of Interest
The authors declare that they have no known competing financial interest or personal relationship that could have appeared to influence the work reported in this paper. The authors declare that they have no conflict of interest.
Abbreviations
| Nomenclature | |||
| Magnetic field | Magnetic number | ||
| Nusselt number | Dimensionless pressure | ||
| Specific heat constant | Reynolds number | ||
| Thermal conductivity | Thermal conductivity of nanofluid | ||
| L | Length | Magnetization | |
| Temperature difference | Constant temperature at lower wall | ||
| Constant temperature at upper wall | Components of velocity | ||
| Prandtl number | Eckert number | ||
| Skin friction | Heat flux | ||
| Dimensionless time | Temperature | ||
| Dimensionless coordinates along and across the walls | Intensity of magnetic field | ||
| Greek Symbols | |||
| Dimensionless temperature | Magnetic field strength | ||
| Nanoparticles volume fraction | Stream function | ||
| Magnetic permeability | Dynamic viscosity of nanofluid | ||
| Kinematic viscosity of nanofluid | Density | ||
| Density of fluid | Density of nanofluid | ||
| Shear stress |
References
- Ahmad, S.; Ali, K.; Faridi, A.A.; Ashraf, M. Novel Thermal Aspects of Hybrid Nanoparticles Cu-TiO2 in the flow of Ethylene Glycol. Int. Commun. Heat Mass Transf. 2021, 129, 105708. [Google Scholar] [CrossRef]
- Choi, S.U.; Eastman, J.A. Enhancing Thermal Conductivity of Fluids with Nanoparticles; Argonne National Lab.: Lemont, IL, USA, 1995. [Google Scholar]
- Ahmad, S.; Ashraf, M.; Ali, K. Bioconvection due to gyrotactic microbes in a nanofluid flow through a porous medium. Heliyon 2020, 6, e05832. [Google Scholar] [CrossRef]
- Cheng, L.; Nawaz, M.; Kaneez, H.; Alaoui, M.K.; Selmi, A.; Li, C.; Assilzadeh, H. Flow and heat transfer analysis of elastoviscoplastic generalized non-Newtonian fluid with hybrid nano structures and dust particles. Int. Commun. Heat Mass Transf. 2021, 126, 105275. [Google Scholar] [CrossRef]
- Lund, L.A.; Omar, Z.; Dero, S.; Chu, Y.-M.; Khan, I.; Nisar, K.S. Temporal Stability Analysis of Magnetized Hybrid Nanofluid Propagating Through an Unsteady Shrinking Sheet: Partial Slip Conditions. Comput. Mater. Contin. 2021, 66, 1963–1975. [Google Scholar] [CrossRef]
- Ahmad, S.; Younis, J.; Ali, K.; Rizwan, M.; Ashraf, M.; El Salam, M.A.A. Impact of Swimming Gyrotactic Microorganisms and Viscous Dissipation on Nanoparticles Flow through a Permeable Medium: A Numerical Assessment. J. Nanomater. 2022, 2022, 4888128. [Google Scholar] [CrossRef]
- Ahmad, S.; Akhter, S.; Shahid, M.I.; Ali, K.; Akhtar, M.; Ashraf, M. Novel Thermal Aspects of Hybrid Nanofluid Flow Comprising of Manganese Zinc Ferrite MnZnFe2O4, Nickel Zinc Ferrite NiZnFe2O4 and Motile Microorganisms. Ain Shams Eng. J. 2022, 13, 101668. [Google Scholar] [CrossRef]
- Ghasemi, S.; Hatami, M. Solar radiation effects on MHD stagnation point flow and heat transfer of a nanofluid over a stretching sheet. Case Stud. Therm. Eng. 2021, 25, 100898. [Google Scholar] [CrossRef]
- Ahmad, S.; Ashraf, M.; Ali, K. Nanofluid Flow Comprising Gyrotactic Microorganisms through a Porous Medium. J. Appl. Fluid Mech. 2020, 13, 1539–1549. [Google Scholar]
- Ahmad, S.; Ashraf, M.; Ali, K. Heat and Mass Transfer Flow of Gyrotactic Microorganisms and Nanoparticles Through a Porous Medium. Int. J. Heat Technol. 2020, 38, 395–402. [Google Scholar] [CrossRef]
- Yang, L.; Zhao, N.; Jia, L. Fluid resistance characteristics research of nanowire rotation under a magnetic field. J. Therm. Sci. 2015, 24, 73–81. [Google Scholar] [CrossRef]
- Zhang, X.; Zhang, Y. Experimental study on enhanced heat transfer and flow performance of magnetic nanofluids under alternating magnetic field. Int. J. Therm. Sci. 2021, 164, 106897. [Google Scholar] [CrossRef]
- Ali, K.; Ahmad, S.; Nisar, K.S.; Faridi, A.A.; Ashraf, M. Simulation analysis of MHD hybrid Cu—Al2O3/H2O nanofluid flow with heat generation through a porous media. Int. J. Energy Res. 2021, 45, 19165–19179. [Google Scholar] [CrossRef]
- Tetuko, A.P.; Simbolon, S.; Sitorus, T.G.; Zurcher, R.; Hadi, R.K.; Setiadi, E.A.; Kurniawan, C.; Ginting, M.; Sebayang, P. The effect of magnetic nano-fluids (Fe3O4) on the heat transfer enhancement in a pipe with laminar flow. Heat Mass Transf. 2020, 56, 65–74. [Google Scholar] [CrossRef]
- Srinivasulu, T.; Goud, B.S. Effect of inclined magnetic field on flow, heat and mass transfer of Williamson nanofluid over a stretching sheet. Case Stud. Therm. Eng. 2020, 23, 100819. [Google Scholar] [CrossRef]
- Shah, Z.; Kumam, P.; Deebani, W. Radiative MHD Casson Nanofluid Flow with Activation energy and chemical reaction over past nonlinearly stretching surface through Entropy generation. Sci. Rep. 2020, 10, 4402. [Google Scholar] [CrossRef] [Green Version]
- Ahmad, S.; Ali, K.; Ahmad, S.; Cai, J. Numerical Study of Lorentz Force Interaction with Micro Structure in Channel Flow. Energies 2021, 14, 4286. [Google Scholar] [CrossRef]
- Haq, R.; Nadeem, S.; Khan, Z.; Okedayo, T. Convective heat transfer and MHD effects on Casson nanofluid flow over a shrinking sheet. Cent. Eur. J. Phys. 2014, 12, 862–871. [Google Scholar] [CrossRef]
- Muthtamilselvan, M.; Doh, D.-H. Magnetic field effect on mixed convection in a lid-driven square cavity filled with nanofluids. J. Mech. Sci. Technol. 2014, 28, 137–143. [Google Scholar] [CrossRef]
- Giwa, S.O.; Sharifpur, M.; Ahmadi, M.H.; Meyer, J.P. A review of magnetic field influence on natural convection heat transfer performance of nanofluids in square cavities. J. Therm. Anal. 2020, 145, 2581–2623. [Google Scholar] [CrossRef]
- Selimefendigil, F.; Oztop, H.F. Mixed convection and entropy generation of nanofluid flow in a vented cavity under the influence of inclined magnetic field. Microsyst. Technol. 2019, 25, 4427–4438. [Google Scholar] [CrossRef]
- Geridonmez, B.P.; Oztop, H. MHD natural convection in a cavity in the presence of cross partial magnetic fields and Al2O3-water nanofluid. Comput. Math. Appl. 2020, 80, 2796–2810. [Google Scholar] [CrossRef]
- Mohammadpourfard, M.; Aminfar, H.; Ahangar Zonouzi, S. Numerical investigation of the magnetic field effects on the entropy generation and heat transfer in a nanofluid filled cavity with natural convection. Heat Transf. Asian Res. 2017, 46, 409–433. [Google Scholar] [CrossRef]
- Revnic, C.; Groşan, T.; Sheremet, M.; Pop, I. Numerical simulation of MHD natural convection flow in a wavy cavity filled by a hybrid Cu-Al2O3-water nanofluid with discrete heating. Appl. Math. Mech. 2020, 41, 1345–1358. [Google Scholar] [CrossRef]
- Yasmin, A.; Ali, K.; Ashraf, M. MHD Casson nanofluid flow in a square enclosure with non-uniform heating using the Brinkman model. Eur. Phys. J. Plus 2021, 136, 1–14. [Google Scholar] [CrossRef]
- Zamzari, F.; Mehrez, Z.; El Cafsi, A. Heat Transfer Enhancement of Pulsating Flow in an Open Cavity Subjected to Uniform Magnetic Field. Fluid Dyn. 2019, 54, 428–438. [Google Scholar] [CrossRef]
- Wang, L.; Chai, Z.; Shi, B. Lattice Boltzmann Simulation of Magnetic Field Effect on Natural Convection of Power-Law Nanofluids in Rectangular Enclosures. Adv. Appl. Math. Mech. 2017, 9, 1094–1110. [Google Scholar] [CrossRef]
- Pekmen Geridonmez, B.; Oztop, H.F. Natural convection in an open ended nanofluid filled cavity with fins in the presence of partial magnetic field and thermal radiation. Math. Methods Appl. Sci. 2021, 44, 6931–6949. [Google Scholar] [CrossRef]
- Reddy, K.; Reddy, M.; Reddy, R. Mathematical Model governing magnetic field effect on Bio magnetic fluid flow and orientation of red blood cells. Pac.-Asian J. Math. 2011, 5, 344–356. [Google Scholar]
- Loukopoulos, V.C.; Tzirtzilakis, E.E. Biomagnetic channel flow in spatially varying magnetic field. Int. J. Eng. Sci. 2004, 42, 571–590. [Google Scholar] [CrossRef]
- Ali, K.; Ahmad, S.; Ahmad, S.; Ashraf, M.; Asif, M. On the interaction between the external magnetic field and nanofluid inside a vertical square duct. AIP Adv. 2015, 5, 107120. [Google Scholar] [CrossRef] [Green Version]
- Shih, T.; Tan, C.; Hwang, B. Effects of grid staggering on numerical schemes. Int. J. Numer. Methods Fluids 1989, 9, 193–212. [Google Scholar] [CrossRef]
- Chen, C.L.; Chang, S.C.; Chang, C.K. Lattice Boltzmann simulation for mixed convection of nanofluids in a square enclosure. Appl. Math. Model. 2015, 39, 2436–2451. [Google Scholar] [CrossRef]
- Davis, G.D. Natural-Convection of Air in a Square Cavity—A Bench-Mark Numerical-Solution. Int. J. Numer. Methods Fluids 1983, 3, 249–264. [Google Scholar] [CrossRef]
Publisher’s Note: MDPI stays neutral with regard to jurisdictional claims in published maps and institutional affiliations. |
© 2022 by the authors. Licensee MDPI, Basel, Switzerland. This article is an open access article distributed under the terms and conditions of the Creative Commons Attribution (CC BY) license (https://creativecommons.org/licenses/by/4.0/).