The Role of the Built-In Electric Field in Recombination Processes of GaN/AlGaN Quantum Wells: Temperature- and Pressure-Dependent Study of Polar and Non-Polar Structures
Abstract
:1. Introduction
2. Samples and Experimental Techniques
2.1. Sample Growth and Structural Characterization
2.2. Experimental Spectroscopic Techniques
3. Results and Discussion
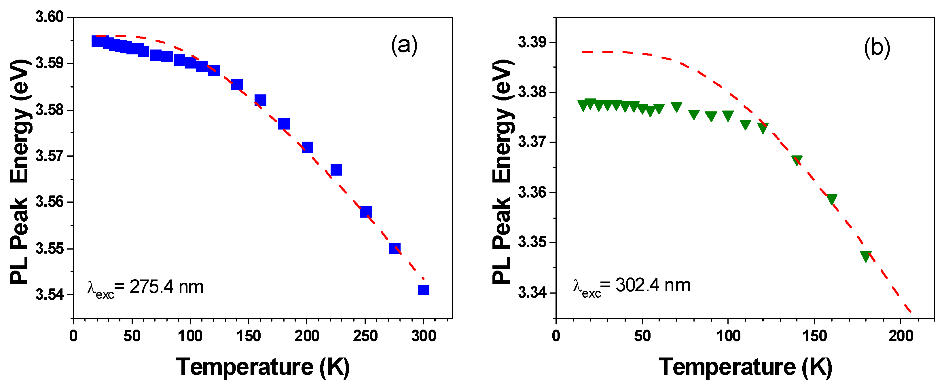
3.1. Temperature-Dependent Photoluminescence at Ambient Pressure
3.2. Energy Dependence of the PL Decay Times
3.3. Temperature Dependence of PL Decay Times
3.4. Pressure Dependence of the Luminescence Spectra at Low Temperature
4. Conclusions
Author Contributions
Funding
Institutional Review Board Statement
Informed Consent Statement
Data Availability Statement
Acknowledgments
Conflicts of Interest
References
- Nishida, T.; Saito, H.; Kobayashi, N. Efficient and high-power AlGaN-based ultraviolet light-emitting diode grown on bulk GaN. Appl. Phys. Lett. 2001, 79, 711–712. [Google Scholar] [CrossRef]
- Morita, D.; Yamamoto, M.; Akaishi, K.; Matoba, K.; Yasutomo, K.; Kasai, Y.; Sano, M.; Nagahama, S.; Mukai, T. Watt-class high-output-power 365 nm ultraviolet light-emitting diodes. Jap. J. Appl. Phys. 2004, 43, 5945–5950. [Google Scholar] [CrossRef]
- Hirayama, H.; Kyono, T.; Akita, K.; Nakamura, T.; Ishibashi, K. High-efficiency 350 nm-band quaternary InAlGaN-based UV-LED on GaN/sapphire template. Phys. Stat. Sol. 2005, 2, 2899–2902. [Google Scholar] [CrossRef]
- Hirayama, H. Quaternary InAlGaN-based high-efficiency ultraviolet light-emitting diodes. J. Appl. Phys. 2005, 97, 091101. [Google Scholar] [CrossRef]
- Ren, Z.; Yu, H.; Liu, Z.; Wang, D.; Xing, C.; Zhang, H.; Huang, C.; Long, S.; Sun, H. Band engineering of III-nitride based deep-ultraviolet light-emitting diodes: A review. J. Phys. D Appl. Phys. 2020, 53, 073002. [Google Scholar] [CrossRef]
- Muñoz, E.; Monroy, E.; Pau, J.L.; Calle, F.; Omnès, F.; Gibart, P. III nitrides and UV detection. J. Phys. Condens. Matter 2001, 13, 7115–7137. [Google Scholar] [CrossRef]
- Nahhas, A.M. Review of AlGaN/GaN HEMTs Based Devices. Am. J. Nanomater. 2019, 7, 10–21. [Google Scholar] [CrossRef]
- Sheu, J.K.; Chen, P.C.; Shin, C.L.; Lee, M.L.; Liao, P.H.; Lai, W.C. Manganese-doped AlGaN/GaN heterojunction solar cells with intermediate band absorption. Sol. Energy Mater. Sol. Cells 2016, 157, 727–732. [Google Scholar] [CrossRef]
- Beeler, M.; Trichas, E.; Monroy, E. III-nitride semiconductors for intersubband optoelectronics: A review. Semicond. Sci. Technol. 2013, 28, 074022. [Google Scholar] [CrossRef]
- Lim, C.B.; Beeler, M.; Ajay, A.; Lähnemann, J.; Bellet-Amalric, E.; Bougerol, C.; Monroy, E. Intersubband transitions in nonpolar GaN/Al(Ga)N heterostructures in the short- and mid-wavelength infrared regions. J. Appl. Phys. 2015, 118, 014309. [Google Scholar] [CrossRef] [Green Version]
- Chichibu, S.; Azuhata, T.; Sota, T.; Nakamura, S. Spontaneous emission of localized excitons in InGaN single and multiquantum well structures. Appl. Phys. Lett. 1996, 69, 4188–4190. [Google Scholar] [CrossRef]
- Chichibu, S.; Azuhata, T.; Sota, T.; Nakamura, S. Luminescences from localized states in InGaN epilayers. Appl. Phys. Lett. 1997, 70, 2822–2824. [Google Scholar] [CrossRef]
- Chichibu, S.; Wada, K.; Nakamura, S. Spatially resolved cathodoluminescence spectra of InGaN quantum wells. Appl. Phys. Lett. 1997, 71, 2346–2348. [Google Scholar] [CrossRef]
- Yang, F.; Wilkinson, M.; Austin, E.J.; O’Donnell, K.P. Origin of the Stokes Shift: A geometrical model of exciton spectra in 2D semiconductors. Phys. Rev. Lett. 1993, 70, 323–326. [Google Scholar] [CrossRef]
- Varshni, Y.P. Temperature dependence of the energy gap in semiconductors. Physica 1967, 34, 149–154. [Google Scholar] [CrossRef]
- Viña, L.; Logothetidis, S.; Cardona, M. Temperature dependence of the dielectric function of germanium. Phys. Rev. B 1984, 30, 1979–1991. [Google Scholar] [CrossRef]
- Franssen, G.; Kaminska, A.; Suski, T.; Suchocki, A.; Kazlauskas, K.; Tamulaitis, G.; Zukauskas, A.; Czarnecki, R.; Teisseyre, H.; Perlin, P.; et al. Observation of localization effects in InGaN/GaN quantum structures by means of application of hydrostatic pressure. Phys. Status Solidi B 2004, 241, 3285. [Google Scholar] [CrossRef]
- Eliseev, P.G.; Perlin, P.; Lee, J.; Osiński, M. “Blue” temperature-induced shift and band-tail emission in InGaN-based light sources. Appl. Phys. Lett. 1997, 71, 569–571. [Google Scholar] [CrossRef]
- Cho, Y.-H.; Gainer, G.H.; Fischer, A.J.; Song, J.J.; Keller, S.; Mishra, U.K.; DenBaars, S.P. “S-shaped” temperature-dependent emission shift and carrier dynamics in InGaN/GaN multiple quantum wells. Appl. Phys. Lett. 1998, 73, 1370–1372. [Google Scholar] [CrossRef]
- Li, Q.; Xu, S.J.; Cheng, W.C.; Xie, M.H.; Tong, S.Y.; Che, C.M.; Yang, H. Thermal redistribution of localized excitons and its effect on the luminescence band in InGaN ternary alloys. Appl. Phys. Lett. 2001, 79, 1810–1812. [Google Scholar] [CrossRef] [Green Version]
- Kazlauskas, K.; Tamulaitis, G.; Žukauskas, A.; Khan, M.A.; Yang, J.W.; Zhang, J.; Simin, G.; Shur, M.S.; Gaska, R. Double-scaled potential profile in a groupIII nitride alloy revealed by Monte Carlo simulation of exciton hopping. Appl. Phys. Lett. 2003, 83, 3722–3724. [Google Scholar] [CrossRef] [Green Version]
- Binder, J.; Korona, K.P.; Wysmołek, A.; Kamińska, M.; Köhler, K.; Kirste, L.; Ambacher, O.; Zając, M.; Dwiliński, R. Dynamics of thermalization in GaInN/GaN quantum wells grown on ammonothermal GaN. J. Appl. Phys. 2013, 114, 223504. [Google Scholar] [CrossRef]
- Dróżdż, P.A.; Korona, K.P.; Sarzyński, M.; Czernecki, R.; Skierbiszewski, C.; Muzioł, G.; Suski, T. A model of radiative recombination in (In,Al,Ga)N/GaN structures with significant potential fluctuations. Acta Phys. Pol. A 2016, 130, 1209–1212. [Google Scholar] [CrossRef]
- Li, J.; Nam, K.B.; Lin, J.Y.; Jiang, H.X. Optical and electrical properties of Al-rich AlGaN alloys. Appl. Phys. Lett. 2001, 79, 3245–3247. [Google Scholar] [CrossRef] [Green Version]
- Bell, A.; Srinivasan, S.; Plumlee, C.; Omiya, H.; Ponce, F.A.; Christen, J.; Tanaka, S.; Fujioka, A.; Nakagawa, Y. Exciton freeze-out and thermally activated relaxation at local potential fluctuations in thick layer. J. Appl. Phys. 2004, 95, 4670–4674. [Google Scholar] [CrossRef]
- Friel, I.; Thomidis, C.; Fedyunin, Y.; Moustakas, T.D. Investigation of excitons in AlGaN/GaN multiple quantum wells by lateral photocurrent and photoluminescence spectroscopies. J. Appl. Phys. 2004, 95, 3495–3502. [Google Scholar] [CrossRef]
- Langer, T.; Pietscher, H.-G.; Ketzer, F.A.; Jönen, H.; Bremers, H.; Rossow, U.; Menzel, D.; Hangleiter, A. S shape in polar GaInN/GaN quantum wells: Piezoelectric-field-induced blue shift driven by onset of nonradiative recombination. Phys. Rev. B 2014, 90, 205302. [Google Scholar] [CrossRef]
- Badcock, T.J.; Ali, M.; Zhu, T.; Pristovsek, M.; Oliver, R.A.; Shields, A.J. Radiative recombination mechanisms in polar and non-polar InGaN/GaN quantum well LED structures. Appl. Phys. Lett. 2016, 109, 151110. [Google Scholar] [CrossRef]
- Perlin, P.; Iota, V.; Weinstein, B.A.; Wisniewski, P.; Suski, T.; Eliseev, P.G.; Osiński, M. Influence of pressure on photoluminescence and electroluminescence in GaN/InGaN/AlGaN quantum wells. Appl. Phys. Lett. 1997, 70, 2993–2995. [Google Scholar] [CrossRef] [Green Version]
- Shan, W.; Perlin, P.; Ager III, J.W.; Walukiewicz, W.; Haller, E.E.; McCluskey, M.D.; Johnson, N.M.; Bour, D.P. Comparison study of photoluminescence from InGaN/GaN multiple quantum wells and InGaN epitaxial layers under large hydrostatic pressure. Appl. Phys. Lett. 1998, 73, 1613–1615. [Google Scholar] [CrossRef] [Green Version]
- Perlin, P.; Gorczyca, I.; Suski, T.; Wisniewski, P.; Lepkowski, S.; Christensen, N.E.; Svane, A.; Hansen, M.; DenBaars, S.P.; Damilano, B.; et al. Influence of pressure on the optical properties of InxGa1−xN epilayers and quantum structures. Phys. Rev. B 2001, 64, 115319. [Google Scholar] [CrossRef]
- Łepkowski, S.P.; Teisseyre, H.; Suski, T.; Perlin, P.; Grandjean, N.; Massies, J. Piezoelectric field and its influence on the pressure behavior of the light emission from GaN/AlGaN strained quantum wells. Appl. Phys. Lett. 2001, 79, 1483–1485. [Google Scholar] [CrossRef]
- Vaschenko, G.; Patel, D.; Menoni, C.S.; Gardner, N.F.; Sun, J.; Götz, W.; Tome, C.N.; Clausen, B. Significant strain dependence of piezoelectric constants in InxGa1-xN/GaN quantum wells. Phys. Rev. B 2001, 64, 241308. [Google Scholar] [CrossRef]
- Vaschenko, G.; Patel, D.; Menoni, C.S.; Ng, H.M.; Cho, A.Y. Nonlinear macroscopic polarization in GaN/AlxGa1-xN quantum wells. Appl. Phys. Lett. 2002, 80, 4211–4213. [Google Scholar] [CrossRef] [Green Version]
- Vaschenko, G.; Patel, D.; Menoni, C.S.; Tomé, C.N.; Clausen, B.; Gardner, N.F.; Sun, J.; Götz, W.; Ng, H.M.; Cho, A.Y. Nonlinear polarization in nitrides revealed with hydrostatic pressure. Phys. Status Solidi B 2003, 235, 238–247. [Google Scholar] [CrossRef]
- Kaminska, A.; Franssen, G.; Suski, T.; Feltin, E.; Grandjean, N. Pressure-induced piezoelectric effects in near-lattice-matched GaN/AlInN quantum wells. J. Appl. Phys. 2008, 104, 063505. [Google Scholar] [CrossRef]
- Suski, T.; Łepkowski, S.P.; Staszczak, G.; Czernecki, R.; Perlin, P.; Bardyszewski, W. Universal behavior of photoluminescence in GaN-based quantum wells under hydrostatic pressure governed by built-in electric field. J. Appl. Phys. 2012, 112, 053509. [Google Scholar] [CrossRef]
- Teisseyre, H.; Kaminska, A.; Franssen, G.; Dussaigne, A.; Grandjean, N.; Grzegory, I.; Lucznik, B.; Suski, T. Different pressure behavior of GaN/AlGaN quantum structures grown along polar and nonpolar crystallographic directions. J. Appl. Phys. 2009, 105, 63104. [Google Scholar] [CrossRef]
- Kaminska, A.; Jankowski, D.; Strak, P.; Korona, K.P.; Beeler, M.; Sakowski, K.; Grzanka, E.; Borysiuk, J.; Sobczak, K.; Monroy, E.; et al. High pressure and time resolved studies of optical properties of n-type doped GaN/AlN multi-quantum wells: Experimental and theoretical analysis. J. Appl. Phys. 2016, 120, 095705. [Google Scholar] [CrossRef]
- Brik, M.G.; Mahlik, S.; Jankowski, D.; Strak, P.; Korona, K.P.; Monroy, E.; Krukowski, S.; Kaminska, A. Experimental and first-principles studies of high-pressure effects on the structural, electronic and optical properties of semiconductors and lanthanide doped solids. Jpn. J. Appl. Phys. 2017, 56, 05FA02. [Google Scholar] [CrossRef] [Green Version]
- Koronski, K.; Strak, P.; Wierzbicka, A.; Grzanka, E.; Borysiuk, J.; Sobczak, K.; Jakiela, R.; Sobanska, M.; Klosek, K.; Monroy, E.; et al. Experimental and theoretical analysis of influence of barrier composition on optical properties of GaN/AlGaN multi-quantum wells: Temperature- and pressure-dependent photoluminescence studies. J. Alloy. Compd. 2018, 769, 1064–1071. [Google Scholar] [CrossRef]
- Vaschenko, G.; Patel, D.; Menoni, C.S.; Keller, S.; Mishra, U.K.; Denbaars, S.P. Dominant role of the piezoelectric field in the pressure behavior of InGaN/GaN quantum wells. Appl. Phys. Lett. 2001, 78, 640–642. [Google Scholar] [CrossRef]
- Lim, C.B.; Ajay, A.; Bougerol, C.; Lähnemann, J.; Donatini, F.; Schörmann, J.; Bellet-Amalric, E.; Browne, D.A.; Jiménez-Rodríguez, M.; Monroy, E. Effect of doping on the far-infrared intersubband transitions in nonpolar m-plane GaN/AlGaN heterostructures. Nanotechnology 2016, 27, 145201. [Google Scholar] [CrossRef] [PubMed]
- Lim, C.B.; Ajay, A.; Monroy, E. Gallium kinetics on m-plane GaN. Appl. Phys. Lett. 2017, 111, 022101. [Google Scholar] [CrossRef]
- Angerer, H.; Brunner, D.; Freudenberg, F.; Ambacher, O.; Stutzmann, M.; Höpler, R.; Metzger, T.; Born, E.; Dollinger, G.; Bergmaier, A.; et al. Determination of the Al mole fraction and the band gap bowing of epitaxial AlxGa1-xN films. Appl. Phys. Lett. 1997, 71, 1504–1506. [Google Scholar] [CrossRef]
- Moram, M.A.; Vickers, M.E. X-ray diffraction of III-nitrides. Rep. Prog. Phys. 2009, 72, 036502. [Google Scholar] [CrossRef]
- Miller, D.A.B.; Chemla, D.S.; Damen, T.C.; Gossard, A.C.; Wiegmann, W.; Wood, T.H.; Burrus, C.A. Band-edge electroabsorption in quantum well structures: The quantum-confined Stark effect. Phys. Rev. Lett. 1984, 53, 2173–2176. [Google Scholar] [CrossRef]
- Buongiorno Nardelli, M.; Rapcewicz, K.; Bernholc, J. Polarization field effects on the electron-hole recombination dynamics in In0.2Ga0.8N/In1-xGaxN multiple quantum wells. Appl. Phys. Lett. 1997, 71, 3135–3137. [Google Scholar] [CrossRef] [Green Version]
- Hangleiter, A. Optical properties of nitride heterostructures. Phys. Status Solidi C 2003, 6, 1816–1834. [Google Scholar] [CrossRef]
- Langer, R.; Simon, J.; Ortiz, V.; Pelekanos, N.T.; Barski, A.; Ander, R.; Godlewski, M. Giant electric fields in unstrained GaN single quantum well. Appl. Phys. Lett. 1999, 74, 3827–3829. [Google Scholar] [CrossRef]
- Lefebvre, P.; Allègre, J.; Gil, B.; Mathieu, H.; Grandjean, N.; Leroux, M.; Massies, J.; Bigenwald, P. Time-resolved photoluminescence as a probe of internal electric fields in GaN-(GaAl) N quantum wells. Phys. Rev. B 1999, 59, 15363–15367. [Google Scholar] [CrossRef]
- Im, J.S.; Kollmer, H.; Off, J.; Sohmer, A.; Scholz, F.; Hangleiter, A. Reduction of oscillator strength due to piezoelectric fields in GaN/AlxGa1-xN quantum wells. Phys. Rev. B 1998, 57, R9435. [Google Scholar] [CrossRef]
- Gladysiewicz, M.; Kudrawiec, R. Theoretical studies of the influence of structural inhomogeneities on the radiative recombination time in polar InGaN quantum wells. Phys. Status Solidi A 2012, 209, 752–760. [Google Scholar] [CrossRef]
- Gil, B.; Briot, O.; Aulombard, R.L. Valence-band physics and the optical properties of GaN epilayers grown onto sapphire with wurtzite symmetry. Phys. Rev. B 1995, 52, R17028–R17031. [Google Scholar] [CrossRef]
- Liu, Z.X.; Korona, K.P.; Syassen, K.; Kuhl, J.; Pakula, K.; Baranowski, J.M.; Grzegory, I.; Porowski, S. Effect of pressure on exciton energies of homoepitaxial GaN. Solid State Commun. 1998, 108, 433–438. [Google Scholar] [CrossRef]
- Nakamura, S.; Chichibu, S.F. Introduction to Nitride Semiconductors Blue Lasers; Taylor & Francis: London, UK; New York, NY, USA, 2000; pp. 220–222. [Google Scholar]
- Langer, T.; Jönen, H.; Kruse, A.; Bremers, H.; Rossow, U.; Hangleiter, A. Strain-induced defects as nonradiative recombination centers in green-emitting GaInN/GaN quantum well structures. Appl. Phys. Lett. 2013, 103, 022108. [Google Scholar] [CrossRef]
- Korona, K.P.; Wysmołek, A.; Pakuła, K.; Stępniewski, R.; Baranowski, J.M.; Grzegory, I.; Łucznik, B.; Wróblewski, M.; Porowski, S. Exciton region reflectance of homoepitaxial GaN layers. Appl. Phys. Lett. 1996, 69, 788–790. [Google Scholar] [CrossRef]
- Li, C.F.; Huang, Y.S.; Malikova, L.; Pollak, F.H. Temperature dependence of the energies and broadening parameters of the interband excitonic transitions in wurtzite GaN. Phys. Rev. B 1997, 55, 9251–9254. [Google Scholar] [CrossRef]
- Huang, Y.S.; Pollak, F.H.; Park, S.S.; Lee, K.Y.; Morkoc, H. Contactless electroreflectance, in the range of 20K<T<300K of freestanding wurtzite GaN prepared by hydride-vapor-phase epitaxy. J. Appl. Phys. 2003, 94, 899–903. [Google Scholar] [CrossRef] [Green Version]
- Vurgaftman, I.; Meyer, J.R. Band parameters for nitrogen-containing semiconductors. J. Appl. Phys. 2003, 94, 3675–3696. [Google Scholar] [CrossRef]
- Kudrawiec, R.; Rudziński, M.; Serafinczuk, J.; Zając, M.; Misiewicz, J. Photoreflectance study of exciton energies and linewidths for homoepitaxial and heteroepitaxial GaN layers. J. Appl. Phys. 2009, 105, 093541. [Google Scholar] [CrossRef]
- Shan, W.; Schmidt, T.J.; Hauenstein, R.J.; Song, J.J.; Goldenberg, B. Pressure-dependent photoluminescence study of wurtzite GaN. Appl. Phys. Lett. 1995, 66, 3492–3494. [Google Scholar] [CrossRef]
- Perlin, P.; Mattos, L.; Shapiro, N.A.; Kruger, J.; Wong, W.S.; Sands, T.; Cheung, N.W.; Weber, E.R. Reduction of the energy gap pressure coefficient of GaN due to the constraining presence of the sapphire substrate. J. Appl. Phys. 1999, 85, 2385–2389. [Google Scholar] [CrossRef]











| MQWs Type | Layer | c (Å) | a (Å) | (%) | (%) | (%) | Dislocation Density (109 cm−2) | ||
|---|---|---|---|---|---|---|---|---|---|
| Non-polar structure | GaN template | 5.1944 | 3.1888 | 0.179 | −0.016 | - | - | 0.11 | |
| SL | GaN | 5.1389 | 3.1685 | −0.899 | - | −1.068 | - | 1.76 | |
| AlGaN | 0.329 | − | - | ||||||
| Polar structure | GaN template | 5.1859 | 3.1866 | 0.0154 | −0.085 | - | - | 1.38 | |
| SL | GaN | 5.1363 | 3.1805 | - | −0.277 | - | −0.191 | 1.63 | |
| AlGaN | - | 0.299 | - | ||||||
| MQWs Type | E0 (eV) | α (meV) | Θ (K) |
|---|---|---|---|
| Non-polar | 3.596 | 52 ± 8 | 326 ± 29 |
| Polar | 3.388 | 100 | 326 |
Publisher’s Note: MDPI stays neutral with regard to jurisdictional claims in published maps and institutional affiliations. |
© 2022 by the authors. Licensee MDPI, Basel, Switzerland. This article is an open access article distributed under the terms and conditions of the Creative Commons Attribution (CC BY) license (https://creativecommons.org/licenses/by/4.0/).
Share and Cite
Koronski, K.; Korona, K.P.; Kryvyi, S.; Wierzbicka, A.; Sobczak, K.; Krukowski, S.; Strak, P.; Monroy, E.; Kaminska, A. The Role of the Built-In Electric Field in Recombination Processes of GaN/AlGaN Quantum Wells: Temperature- and Pressure-Dependent Study of Polar and Non-Polar Structures. Materials 2022, 15, 2756. https://doi.org/10.3390/ma15082756
Koronski K, Korona KP, Kryvyi S, Wierzbicka A, Sobczak K, Krukowski S, Strak P, Monroy E, Kaminska A. The Role of the Built-In Electric Field in Recombination Processes of GaN/AlGaN Quantum Wells: Temperature- and Pressure-Dependent Study of Polar and Non-Polar Structures. Materials. 2022; 15(8):2756. https://doi.org/10.3390/ma15082756
Chicago/Turabian StyleKoronski, Kamil, Krzysztof P. Korona, Serhii Kryvyi, Aleksandra Wierzbicka, Kamil Sobczak, Stanislaw Krukowski, Pawel Strak, Eva Monroy, and Agata Kaminska. 2022. "The Role of the Built-In Electric Field in Recombination Processes of GaN/AlGaN Quantum Wells: Temperature- and Pressure-Dependent Study of Polar and Non-Polar Structures" Materials 15, no. 8: 2756. https://doi.org/10.3390/ma15082756
APA StyleKoronski, K., Korona, K. P., Kryvyi, S., Wierzbicka, A., Sobczak, K., Krukowski, S., Strak, P., Monroy, E., & Kaminska, A. (2022). The Role of the Built-In Electric Field in Recombination Processes of GaN/AlGaN Quantum Wells: Temperature- and Pressure-Dependent Study of Polar and Non-Polar Structures. Materials, 15(8), 2756. https://doi.org/10.3390/ma15082756

