Effect of Se on Structure and Electrical Properties of Ge-As-Te Glass
Abstract
:1. Introduction
2. Materials and Methods
3. Results and Discussion
3.1. Glass Properties
3.2. Optical Properties
3.3. Structure Analysis
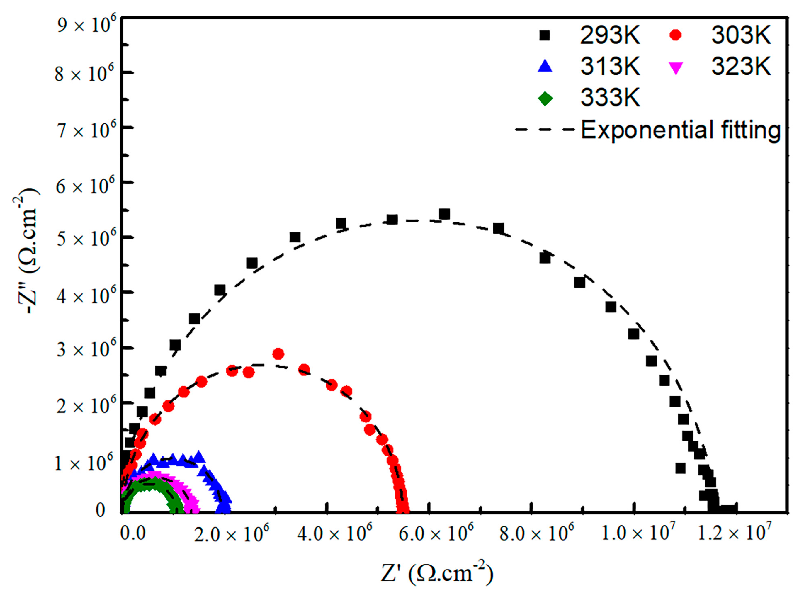
3.4. AC Electrical Conductivity
4. Conclusions
Author Contributions
Funding
Institutional Review Board Statement
Informed Consent Statement
Data Availability Statement
Acknowledgments
Conflicts of Interest
References
- Savage, J.A.; Webber, P.J.; Pitt, A.M. Potential of Ge-As-Se-Te glasses as 8–12 µm infrared optical materials. In Proceedings of the Advances in Optical Production Technology II, London, UK, 25 September 1979; Volume 163, pp. 13–18. [Google Scholar] [CrossRef]
- Vigreux-Bercovici, C.; Bonhomme, E.; Pradel, A. Te-rich Ge–As–Se–Te bulk glasses and films for future IR-integrated optics. J. Non-Cryst. Solids 2007, 353, 1388–1391. [Google Scholar] [CrossRef]
- Sun, L.; Chen, F.; Xu, Y.; Huang, Y.; Liu, S.; Zhao, Z.; Wang, X.; Zhang, P.; Dai, S.; Zhang, X. Investigation of the third-order nonlinear property of Ge–Se–Te glasses at mid-infrared. Appl. Phys. A 2016, 122, 1–6. [Google Scholar] [CrossRef]
- Sayyed, M.I.; Albarzan, B.; Almuqrin, A.H.; El-Khatib, A.M.; Kumar, A.; Tishkevich, D.I.; Trukhanov, A.V.; Elsafi, M. Experimental and theoretical study of radiation shielding features of CaO-K2O-Na2O-P2O5 glass systems. Materials 2021, 14, 3372. [Google Scholar] [CrossRef]
- Yang, Z.; Lucas, P. Tellurium-based far-infrared transmitting glasses. J. Am. Ceram. Soc. 2009, 92, 2920–2923. [Google Scholar] [CrossRef]
- Singh, P.K.; Dwivedi, D.K. Chalcogenide glass: Fabrication techniques, properties and applications. Ferroelectrics. 2017, 520, 256–273. [Google Scholar] [CrossRef]
- Seager, C.H.; Emin, D.; Quinn, R.K. Electrical transport and structural properties of bulk As-Te-I, As-Te-Ge, and As-Te chalcogenide glasses. Phys. Rev. B. 1973, 8, 4746–4760. [Google Scholar] [CrossRef]
- Hruby, A. Evaluation of glass-forming tendency by means of DTA. Solid State Phys. 1971, 22, 1187–1193. [Google Scholar] [CrossRef]
- Savage, J.A.; Webber, P.J.; Pitt, A.M. The pontential of Ge-As-Se-Te glass as 3-5 μm and 8-12 μm infrared optical materials. Infrared Phys. Techn. 1980, 20, 313–320. [Google Scholar] [CrossRef]
- Tikhomirov, V.K.; Furniss, D.; Seddon, A.B.; Savage, J.A.; Mason, P.D.; Orchard, D.A.; Lewis, K.L. Glass formation in the Te-enriched part of the quaternary Ge–As–Se–Te system and its implication for mid-infrared optical fibers. Infrared Phys. Techn. 2004, 45, 115–123. [Google Scholar] [CrossRef]
- Hegab, N.A.; Afifi, M.A.; Atyia, H.E. AC conductivity and dielectric properties of amorphous Se80Te20−xGex chalcogenide glass film compositions. J. Alloy Compd. 2009, 477, 925–930. [Google Scholar] [CrossRef]
- Yang, Z.; Wilhelm, A.A.; Lucas, P. High-conductivity tellurium-based infrared transmitting glasses and their suitability for bio-optical detection. J. Am. Ceram. Soc. 2010, 93, 1941–1944. [Google Scholar] [CrossRef]
- Mishra, S.; Singh, P.K.; Lohia, P.; Dwivedi, D.K. Thin film preparation and optical properties of Se–Te based chalcogenide glasses for optoelectronic applications. Glass Phys. Chem. 2020, 46, 341–349. [Google Scholar] [CrossRef]
- Bureau, B.; Boussard-Pledel, C.; Lucas, P.; Zhang, X. Forming glasses from Se and Te. Molecules 2009, 14, 4337–4350. [Google Scholar] [CrossRef] [Green Version]
- Yang, Z.; Luo, T.; Jiang, S.; Geng, J.; Lucas, P. Single mode low-loss optical fibers for long-wave infrared transmission. Opt. Lett. 2010, 35, 3360–3362. [Google Scholar] [CrossRef] [PubMed]
- Savage, J.A. Glass forming region and DTA survey in the Ge-As-Te memory switching glass system. J. Mater. Sci. 1971, 6, 964–968. [Google Scholar] [CrossRef]
- Cao, Z.; Dai, S.; Liu, Z.; Liu, C.; Ding, S.; Lin, C. Investigation of the acousto-optical properties of Ge-As-Te-(Se) chalcogenide glasses at 10.6 μm wavelength. J. Am. Ceram. Soc. 2021, 104, 3224–3234. [Google Scholar] [CrossRef]
- Shiryaev, V.S.; Adam, J.L.; Zhang, X.H. Calorimetric study of characteristic temperatures and crystallization behavior in Ge–As–Se–Te glass system. J. Phys. Chem. Solids. 2004, 65, 1737–1744. [Google Scholar] [CrossRef]
- Choi, J.H.; Lee, J.H.; Choi, Y.G.; Kim, J.H.; Kim, H.J. The relations between the mechanical properties and the nano crystalline in chalcogenide glass system. Nanoschi. Technol. 2016, 16, 1603–1606. [Google Scholar] [CrossRef]
- Wang, G.; Nie, Q.; Wang, X.; Dai, S.; Xu, T.; Shen, X. Composition dependence of optical band gap of the Se–Ge–Te far infrared transmitting glasses. Physica B. 2010, 405, 4424–4428. [Google Scholar] [CrossRef]
- Zhao, Z.; Wu, B.; Liu, Y.; Jiang, L.; Mi, N.; Wang, S.; Liu, Z.; Liu, S.; Pan, H.; Nie, Q.; et al. Investigation on Ge-As-Se-Te chalcogenide glasses for far-infrared fiber. Acta Phys. Sin. 2016, 65, 124505. [Google Scholar] [CrossRef]
- Venkatesh, R.; Naresh, N.; Sankhla, A.; Gopal, E.S.R. Influence of connectivity on the rigidity of the covalently bonded (GeTe4)100−x(As2Se3)x glasses. J. Non-Crys Solids 2016, 447, 178–182. [Google Scholar] [CrossRef]
- Nguyen, V.Q.; Sanghera, J.S.; Freitas, J.A.; Aggarwal, I.D.; Lloyd, I.K. Structural investigation of chalcogenide and chalcohalide glasses using Raman spectroscopy. J. Non-Cryst. Solids 1999, 248, 103–114. [Google Scholar] [CrossRef]
- Sen, S.; Gjersing, E.L.; Aitken, B.G. Physical properties of GexAs2xTe100−3x glasses and Raman spectroscopic analysis of their short-range structure. J. Non-Cryst. Solids 2010, 356, 2083–2088. [Google Scholar] [CrossRef]
- Xia, F.; Baccaro, S.; Zhao, D.; Falconieri, M.; Chen, G. Gamma ray irradiation induced optical band gap variations in chalcogenide glasses. Nucl. Instrum. Meth. B. 2005, 234, 525–532. [Google Scholar] [CrossRef]
- Cui, S.; Le Coq, D.; Boussard-Plédel, C.; Bureau, B. Electrical and optical investigations in Te–Ge–Ag and Te–Ge–AgI chalcogenide glasses. J. Alloys Compd. 2015, 639, 173–179. [Google Scholar] [CrossRef]
- Qiao, A.; Tao, H.; Yue, Y. Enhancing ionic conductivity in Ag3PS4 via mechanical amorphization. J. Non-Cryst. Solids 2019, 521, 119476. [Google Scholar] [CrossRef]
- Qiao, W.; Qiao, A.; Tao, Y.; Gu, S.; Yue, Y.; Tao, H. Structural origins of the enhancement in ionic conductivity of a chalcogenide compound by adding AgI. ChemElectroChem. 2020, 7, 1567–1572. [Google Scholar] [CrossRef]
- Nath, P.; Suri, S.K.; Chopra, K.L. Structural, electrical, and optical properties of thermally evaporated amorphous GexTe1-x Films. Phys. Status Solidi A. 1975, 30, 771–780. [Google Scholar] [CrossRef]
- Ureña, M.A.; Piarristeguy, A.A.; Fontana, M.; Arcondo, B. Ionic conductivity (Ag+) in AgGeSe glasses. Solid State Ion. 2005, 176, 505–512. [Google Scholar] [CrossRef]
- Pradel, A.; Ribes, M. Ion transport in superionic conducting glasses. J. Non-Cryst. Solids 1994, 172, 1315–1323. [Google Scholar] [CrossRef]










| Number | Compositions | Tg (°C) | Tx (°C) | ΔT (°C) | MCN | Mw (±0.01 g/mol) | Mv (±0.01 cm3/mol) | ρ (±0.001 g/cm3) |
|---|---|---|---|---|---|---|---|---|
| A1 | Se5(Ge0.1As0.1Te0.8)95 | 124 | 209 | 85 | 2.3 | 114.94 | 20.65 | 5.567 |
| A2 | Se5(Ge0.1As0.2Te0.7)95 | 136 | 259 | 123 | 2.4 | 109.93 | 20.00 | 5.496 |
| A3 | Se5(Ge0.1As0.3Te0.6)95 | 153 | 294 | 141 | 2.5 | 104.93 | 19.33 | 5.428 |
| A4 | Se5(Ge0.1As0.4Te0.5)95 | 163 | - | - | 2.6 | 99.93 | 18.71 | 5.342 |
| A5 | Se5(Ge0.1As0.5Te0.4)95 | 183 | - | - | 2.7 | 94.92 | 17.90 | 5.304 |
| A6 | Se5(Ge0.1As0.6Te0.3)95 | 194 | - | - | 2.7 | 89.92 | 17.07 | 5.268 |
| A7 | Se5(Ge0.2As0.1Te0.7)95 | 170 | 309 | 139 | 2.5 | 109.72 | 20.21 | 5.428 |
| A8 | Se5(Ge0.2As0.2Te0.6)95 | 188 | 335 | 147 | 2.6 | 104.71 | 19.63 | 5.333 |
| A9 | Se5(Ge0.2As0.3Te0.5)95 | 218 | 372 | 154 | 2.7 | 99.71 | 19.03 | 5.238 |
| A10 | Se5(Ge0.2As0.4Te0.4)95 | 243 | - | - | 2.8 | 94.70 | 18.21 | 5.201 |
| A11 | Se5(Ge0.2As0.5Te0.3)95 | 264 | - | - | 2.9 | 89.70 | 17.44 | 5.144 |
| B1 | Se10(Ge0.1As0.1Te0.8)90 | 116 | 185 | 69 | 2.3 | 113.05 | 20.61 | 5.485 |
| B2 | Se10(Ge0.1As0.2Te0.7)90 | 146 | 260 | 114 | 2.4 | 108.30 | 20.18 | 5.367 |
| B3 | Se10(Ge0.1As0.3Te0.6)90 | 153 | 298 | 145 | 2.5 | 103.56 | 19.45 | 5.323 |
| B4 | Se10(Ge0.1As0.4Te0.5)90 | 165 | - | - | 2.5 | 98.82 | 18.92 | 5.224 |
| B5 | Se10(Ge0.1As0.5Te0.4)90 | 194 | - | - | 2.6 | 94.08 | 18.32 | 5.136 |
| B6 | Se10(Ge0.1As0.6Te0.3)90 | 213 | - | - | 2.7 | 89.34 | 17.48 | 5.110 |
| B7 | Se10(Ge0.2As0.1Te0.7)90 | 161 | - | - | 2.5 | 108.10 | 20.27 | 5.334 |
| B8 | Se10(Ge0.2As0.2Te0.6)90 | 180 | - | - | 2.5 | 103.36 | 19.79 | 5.223 |
| B9 | Se10(Ge0.2As0.3Te0.5)90 | 207 | - | - | 2.7 | 98.61 | 18.97 | 5.199 |
| B10 | Se10(Ge0.2As0.4Te0.4)90 | 231 | - | - | 2.8 | 93.87 | 18.33 | 5.122 |
| B11 | Se10(Ge0.2As0.5Te0.3)90 | 278 | - | - | 2.9 | 89.13 | 17.55 | 5.079 |
| C1 | Se14(Ge0.1As0.1Te0.8)86 | - | - | - | 2.3 | 111.53 | 20.60 | 5.413 |
| C2 | Se14(Ge0.1As0.2Te0.7)86 | 117 | 243 | 126 | 2.3 | 107.00 | 19.97 | 5.359 |
| C3 | Se14(Ge0.1As0.3Te0.6)86 | 139 | 290 | 151 | 2.4 | 102.47 | 19.48 | 5.259 |
| C4 | Se14(Ge0.1As0.4Te0.5)86 | 158 | - | - | 2.5 | 97.94 | 18.82 | 5.203 |
| C5 | Se14(Ge0.1As0.5Te0.4)86 | 193 | - | - | 2.6 | 93.41 | 18.30 | 5.104 |
| C6 | Se14(Ge0.1As0.6Te0.3)86 | 221 | - | - | 2.7 | 88.88 | 17.57 | 5.058 |
| C7 | Se14(Ge0.2As0.1Te0.7)86 | 156 | - | - | 2.4 | 106.80 | 20.23 | 5.280 |
| C8 | Se14(Ge0.2As0.2Te0.6)86 | 180 | - | - | 2.5 | 102.27 | 19.67 | 5.199 |
| C9 | Se14(Ge0.2As0.3Te0.5)86 | 194 | - | - | 2.6 | 97.74 | 19.02 | 5.138 |
| C10 | Se14(Ge0.2As0.4Te0.4)86 | 230 | - | - | 2.7 | 93.21 | 18.55 | 5.026 |
| C11 | Se14(Ge0.2As0.5Te0.3)86 | 261 | - | - | 2.8 | 88.68 | 17.74 | 4.999 |
| Number | Compositions | σ (S·cm−1) | δ (Ω·cm) | Ea (eV) | Log10 σ0 (S·cm−1) |
|---|---|---|---|---|---|
| A2 | Se5(Ge0.1As0.2Te0.7)95 | 1.55 × 10−5 | 6.46 × 104 | 0.147 | 6.69 |
| A3 | Se5(Ge0.1As0.3Te0.6)95 | 7.57 × 10−6 | 1.32 × 105 | 0.169 | 7.00 |
| A4 | Se5(Ge0.1As0.4Te0.5)95 | 1.96 × 10−6 | 5.09 × 105 | 0.180 | 7.08 |
| A5 | Se5(Ge0.1As0.5Te0.4)95 | 1.04 × 10−6 | 9.61 × 105 | 0.203 | 7.58 |
| A6 | Se5(Ge0.1As0.6Te0.3)95 | 3.00 × 10−7 | 3.33 × 106 | 0.214 | 7.41 |
| A7 | Se5(Ge0.2As0.1Te0.7)95 | 2.16 × 10−6 | 4.63 × 105 | 0.170 | 6.85 |
| A8 | Se5(Ge0.2As0.2Te0.6)95 | 9.35 × 10−7 | 1.07 × 106 | 0.172 | 6.48 |
| A9 | Se5(Ge0.2As0.3Te0.5)95 | 1.69 × 10−7 | 5.91 × 106 | 0.195 | 6.63 |
| A10 | Se5(Ge0.2As0.4Te0.4)95 | 4.44 × 10−8 | 2.25 × 107 | 0.205 | 6.52 |
| A11 | Se5(Ge0.2As0.5Te0.3)95 | 1.35 × 10−8 | 7.38 × 107 | 0.226 | 6.82 |
| B7 | Se10(Ge0.2As0.1Te0.7)90 | 1.31 × 10−6 | 7.61 × 105 | 0.187 | 7.38 |
| C7 | Se14(Ge0.2As0.1Te0.7)86 | 1.13 × 10−6 | 8.86 × 105 | 0.199 | 7.62 |
Publisher’s Note: MDPI stays neutral with regard to jurisdictional claims in published maps and institutional affiliations. |
© 2022 by the authors. Licensee MDPI, Basel, Switzerland. This article is an open access article distributed under the terms and conditions of the Creative Commons Attribution (CC BY) license (https://creativecommons.org/licenses/by/4.0/).
Share and Cite
Liu, K.; Kang, Y.; Tao, H.; Zhang, X.; Xu, Y. Effect of Se on Structure and Electrical Properties of Ge-As-Te Glass. Materials 2022, 15, 1797. https://doi.org/10.3390/ma15051797
Liu K, Kang Y, Tao H, Zhang X, Xu Y. Effect of Se on Structure and Electrical Properties of Ge-As-Te Glass. Materials. 2022; 15(5):1797. https://doi.org/10.3390/ma15051797
Chicago/Turabian StyleLiu, Kangning, Yan Kang, Haizheng Tao, Xianghua Zhang, and Yinsheng Xu. 2022. "Effect of Se on Structure and Electrical Properties of Ge-As-Te Glass" Materials 15, no. 5: 1797. https://doi.org/10.3390/ma15051797
APA StyleLiu, K., Kang, Y., Tao, H., Zhang, X., & Xu, Y. (2022). Effect of Se on Structure and Electrical Properties of Ge-As-Te Glass. Materials, 15(5), 1797. https://doi.org/10.3390/ma15051797

