Abstract
The x-SnO2/α-Fe2O3 (x = 0.04, 0.07, and 0.1) heterogeneous composites were successfully prepared via a two-step solvothermal method. These composites were systematically characterized by the X-ray diffraction technique, field emission scanning electron microscopy, an energy dispersive spectrometer, X-ray photoelectron spectroscopy and a UV–visible spectrometer. It was found that SnO2 nanoparticles were uniformly decorated on the surface of α-Fe2O3 particles in these heterogeneous composites. A comparative study of methylene blue (MB) photodegradation by α-Fe2O3 and x-SnO2/α-Fe2O3 composites was carried out. All x-SnO2/α-Fe2O3 composites showed higher MB photodegradation efficiency than α-Fe2O3. When x = 0.07, the MB photodegradation efficiency can reach 97% in 60 min. Meanwhile, the first-order kinetic studies demonstrated that the optimal rate constant of 0.07-SnO2/α-Fe2O3 composite was 0.0537 min−1, while that of pure α-Fe2O3 was only 0.0191 min−1. The catalytic mechanism of MB photodegradation by SnO2/α-Fe2O3 was examined. The SnO2 can act as a sink and help the effective transfer of photo-generated electrons for decomposing hydrogen peroxide (H2O2) into active radicals. This work can provide a new insight into the catalytic mechanism of the photo-Fenton process.
1. Introduction
As an important advanced oxidation process, the heterogeneous photo-Fenton system has been considered a promising method for the removal of stubborn organic dyes [1,2,3,4]. In this process, iron-based catalysts are generally applied to activate H2O2 in order to generate strong oxidative hydroxyl radicals (·OH) [5,6,7,8]. Among the iron-based catalysts, α-Fe2O3 is one of the most promising Fenton candidates due to its stable structure, low cost, wide absorption of visible light, and environmental benignity [9,10]. However, several adverse factors seriously reduce the reaction activity of α-Fe2O3, such as the high recombination rate of photoelectrons and holes, and a weak activation in alkaline environments. To remedy these drawbacks, various measures have been studied, such as porous regulation [11,12,13,14,15,16], facet engineering [17,18,19,20], and composite construction [21,22,23,24,25,26]. Among these methods, integrating α-Fe2O3 with other catalysts has caught the attention of many because it can effectively separate photo-generated electron–hole pairs. Liu et al. [27] reported the synthesis of α-Fe2O3 anchored to a graphene oxide nanosheet. The graphene oxide was considered to accelerate the transfer of photo-generated electrons and to enhance the absorption to methylene blue (MB) through electro-static interaction and π–π stacking. Deng et al. [28] constructed an advanced TiO2/Fe2TiO5/Fe2O3 heterojunction structure, and the abundant phase interfaces improved both the migration and separation of charges.
SnO2 has a high photochemical property and stability, and is extensively studied in the fields of Li-ion batteries [29,30,31], dye sensitized solar cells [32,33,34], and gas sensors [35,36,37]. Additionally, many studies have shown that the SnO2/α-Fe2O3 heterogeneous catalyst has an excellent photodegradation activity. Wang et al. [38] synthesized SnO2-encapsulated α-Fe2O3 nanocubes by annealing Prussian blue microcubes, and revealed the important contribution of SnO2 cubic shells for improving photocatalytic performance. Tian et al. [39] prepared a tube-like SnO2/α-Fe2O3 heterostructure by using an anion-assisted hydrothermal route and studied the effective separation of photo-generated carriers. Niu et al. [40] synthesized branched SnO2/α-Fe2O3 composites by a hydrothermal system of Sn(OH)62− dilute aqueous solution, and investigated their photocatalytic activity. The synthesis methods can significantly influence the morphology of SnO2/α-Fe2O3 composites. First, the SnO2 and α-Fe2O3 were prepared by a sol–gel method, then their composite (SnO2–α-Fe2O3) systems were synthesized by combining SnO2 with α-Fe2O3 in various weight percent ratios, and finally, the photocatalytic activity was investigated [41]. A necklace-like SnO2/α-Fe2O3 hierarchical heterostructure was fabricated by the chemical vapor deposition method, using SnO2 nanowires with the preferential growth direction of [1] as a template, and then the photocatalytic property was studied [42]. Therefore, it is interesting to explore the new synthesis methods as well as establish the relationship between morphology and internal catalytic mechanism of SnO2/α-Fe2O3 composites.
In this study, we synthesized the x-SnO2/α-Fe2O3 (x = 0.04, 0.07, and 0.1) heterogeneous catalysts via a two-step hydrothermal method. The materials were systematically characterized by using the X-ray diffraction (XRD) technique, field emission scanning electron microscopy (FE-SEM), X-ray photoelectron spectroscopy (XPS), and a UV–visible (UV–vis) spectrometer. The XRD analysis indicated the successful synthesis of purity and well-crystalline of SnO2/α-Fe2O3 powders. FE-SEM images showed that SnO2 nanoparticles were homogeneously decorated on the surface of the peach-like α-Fe2O3. XPS measurement demonstrated Fe and Sn elements in the 0.07-SnO2/α-Fe2O3 sample to be trivalent and tetravalent, respectively. The UV–vis spectra revealed the strong visible light absorption ability of SnO2/α-Fe2O3 powders. The photodegradation of MB over different catalysts was tested, and the first-order kinetic analysis was performed to get the photodegradation rate. Free radical trapping experiments and hydroxyl radical quantitative experiments were carried out to explore the mechanism of photocatalytic reaction.
2. Experimental Section
2.1. Materials and Chemicals
Ferric chloride hexahydrate (FeCl3·6H2O) (Macklin, Shanghai, China), tin chloride pentahydrate (SnCl4·5H2O) (Macklin, Shanghai, China), urea (CO(NH2)2) (Macklin, Shanghai, China), polyethylene glycol (PEG) (Sinopharm, Shanghai, China), sodium hydroxide (NaOH) (Sinopharm, Shanghai, China), ethanol (C2H5OH) (Sinopharm, Shanghai, China), and methylene blue (MB) (Sinopharm, Shanghai, China) were used in the experiment. All the reagents were analytical grade and used as received without further purification. Deionized water was used throughout the experiment.
2.2. Synthesis
2.2.1. Synthesis of α-Fe2O3
The peach-like α-Fe2O3 powders were prepared by a facile hydrothermal method, as shown in the upper section of Scheme 1. First, 1.623 g of FeCl3·6H2O, 0.6 g of polyethylene glycol, and 0.6 g of NaOH were dissolved in 60 mL of deionized water. Secondly, the mixture solution was stirred for 30 min and transferred into a 100 mL Teflon-lined stainless steel autoclave (H-100ml, Zhuoran Company, Zhengzhou, China). The thermal treatment was performed at 180 °C for 5 h. After the autoclave was naturally cooled down to room temperature, the precipitate was continually washed with deionized water and absolute ethanol. Finally, the α-Fe2O3 was achieved after being dried out at 60 °C for 2 h.
Scheme 1.
Schematic diagram of the two-step synthesis process.
2.2.2. Synthesis of SnO2/α-Fe2O3
The SnO2/α-Fe2O3 composites were prepared via a two-step hydrothermal method. In this method, the first step is used to prepare α-Fe2O3 precursors as in the above description. The second step is to grow SnO2 on the surface of α-Fe2O3 precursors as follows (shown in the bottom of Scheme 1). The x g (x = 0.04, 0.07, and 0.1, which denoted the mass of tin chloride pentahydrate) SnCl4·5H2O, 0.5 g of CO(NH2)2 were dispersed in a mixed solvent consisting of 30 mL of deionized water and 20 mL of absolute ethanol. Then, 0.1 g of the α-Fe2O3 precursor was added into the above solution. Subsequently, the mixture solution was stirred for 10 min before transferred into a 100 mL Teflon-lined stainless steel autoclave. The autoclave was sealed and heated at 170 °C for 10 h and then naturally cooled down to room temperature. The obtained SnO2/α-Fe2O3 photocatalysts were washed several times with deionized water and absolute ethanol before they were dried at 60 °C for 12 h. The final products were termed as x-SnO2/α-Fe2O3 (x = 0.04, 0.07, and 0.1). The precise control of reaction temperatures is very important to obtain target samples with good crystal structures and homogeneous particle size [43]. Pure SnO2 can also be obtained by the process in the bottom of Scheme 1 without adding the α-Fe2O3.
2.3. Characterization
Phase structures of powders were analyzed by XRD using Japan Rigaku (Tokyo, Japan) with a Cu target. The morphologies and chemical compositions of samples were characterized by FE-SEM (JEM-7001F, JEOL, Tokyo, Japan), equipped with an energy dispersive spectroscope (EDS). X-ray photoelectron spectroscopy of SnO2/α-Fe2O3 was detected using Thermo Fisher 250-XI (Thermofisher, Waltham, MA, USA) with an Al Kα. The optical properties and photocatalytic activities were measured using a UV–vis spectrophotometer (Shanghai Metash, UV-9000S, Shanghai, China). The molar ratios of composites were checked by an inductive coupled plasma emission spectrometer (Agilent ICP-MS 7500a, Santa Clara, CA, USA).
2.4. Photodegradation Experiment
The photo-Fenton activity of the samples was investigated by the degradation of MB dyes under visible light irradiation. The light source used was a 300 W xenon lamp with a 420 nm cutoff filter (Microsolar 300, PerfectLight, Beijing, China). In a typical procedure, 20 mg of as-prepared samples was dispersed into 100 mL of MB solution (20 mg·L−1) with the assistance of ultrasonic for 2 min. Afterwards, the reaction mixture was magnetically stirred in the dark for 30 min to ensure absorption equilibrium. The reaction was initiated by adding 1 mL hydrogen peroxide solution (H2O2, 30 wt%, Sinopharm, Shanghai, China) after the xenon light was stable. During the irradiation, 4 mL solution was sampled at 10 min intervals. The whole process took place under stirring, while the circulating cooling water worked at the same time. After removing the catalysts from each sample by centrifugation, the degree of photodegradation was calculated by measuring the absorbance of MB at 664 nm where the solution had the maximum absorption.
3. Results and Discussion
The crystal structure of as-prepared α-Fe2O3 precursors, SnO2, and x-SnO2/α-Fe2O3 (x = 0.04, 0.07, and 0.1) powders were measured by XRD. As shown in Figure 1, all the peaks appearing in the α-Fe2O3 powders are sharp and well indexed to a pure rhombohedral structure of hematite (JCPDS No. 33-0664). This indicates the high purity and good crystallinity of the prepared α-Fe2O3 sample. The widths of peaks of SnO2 are much larger than that of α-Fe2O3, which might be attributed to the poor crystallinity and small particle size of SnO2. After being decorated by SnO2, all the extra diffraction peaks of x-SnO2/α-Fe2O3 were indexed to (110), (101), and (211) planes of rutile phase of SnO2 (JCPDS No. 41-1445). This illustrates the successful synthesis of x-SnO2/α-Fe2O3 composites. The particle size was estimated using the Scherrer equation [44]: where D is the grain size, K is the Scherrer’s constant, λ is the X-ray wavelength (0.154 nm), β is the FHWM, and θ is the diffraction angle. The grain sizes of SnO2, α-Fe2O3, and 0.07-SnO2/α-Fe2O3 are about 15 nm, 203 nm, and 212 nm, respectively.
Figure 1.
XRD patterns of α-Fe2O3, SnO2, and x-SnO2/α-Fe2O3 (x = 0.04, 0.07, and 0.1) powders.
The morphologies of α-Fe2O3 and 0.07-SnO2/α-Fe2O3 were measured by FE-SEM. As shown in Figure 2a, α-Fe2O3 is peach-like, and the inwardly concave symmetry curve can be clearly observed on the surface of α-Fe2O3. The α-Fe2O3 particle is homogeneous, with a diameter of around 220 nm. Interestingly, many small spots are decorated on the outer surface of α-Fe2O3 after adding Sn, as shown in Figure 2b. Moreover, those spots, each of around 20 nm, are uniformly distributed. The particle sizes essentially agree with the results from the above XRD, which were calculated using the Scherrer’s equation. Figure 2c indicates the EDS spectra of 0.07-SnO2/α-Fe2O3. It clearly identifies that the composite is composed of Fe, O, and Sn elements. Considering the XRD of 0.07-SnO2/α-Fe2O3, it is reasonable to assume that these small spots are SnO2. The chemical compositions of x-SnO2/α-Fe2O3 (x = 0.04, 0.07, and 0.1) were checked by ICP-MS. The mass contents of Fe2O3 and SnO2 in 0.04-SnO2/α-Fe2O3, 0.07-SnO2/α-Fe2O3, and 0.1-SnO2/α-Fe2O3 are 87.3% and 12.7%, 78.5% and 21.5%, and 70.6% and 29.4%, respectively.
Figure 2.
FE-SEM images of (a) α-Fe2O3, (b) 0.07-SnO2/α-Fe2O3 and (c) EDS spectra of 0.07-SnO2/α-Fe2O3.
To further demonstrate the compositions of surface dots and the oxidation states of metal elements of 0.07-SnO2/α-Fe2O3 powders, an XPS measurement was taken. Figure 3a shows the full-scale XPS spectrum, and the presence of Sn, Fe, O, and C was confirmed without any other element. The characteristic peak of C 1s found at 284.8 eV was from adventitious carbon. Figure 3b is the high-resolution XPS spectrum of Fe 2p. The binding energy peaks at both 710.5 and 724.5 eV were ascribed to Fe 2p3/2 and Fe 2p1/2, respectively. The peak for Fe 2p3/2 at 710.5 eV is sharper than that for Fe 2p1/2 due to the spin–orbit coupling [45]. The appearance of satellite peaks at 712.8 and 733.5 eV confirms that the Fe element in 0.07-SnO2/α-Fe2O3 is trivalent. A high intensity peak at the binding energy of 716.6 eV is due to the presence of Sn 3p3/2. Figure 3c shows the high-resolution XPS spectrum of Sn 3d. The peaks at 487.2 and 495.5 eV were attributed to Sn 3d5/2 and Sn 3d3/2, respectively. This could support the +4 oxidation states of SnO2. Thus, the results clearly confirm that these heterogeneous catalysts are composed of 0.07-SnO2/α-Fe2O3, agreeing with the XRD results in Figure 1.

Figure 3.
XPS spectra of as-synthesized 0.07-SnO2/α-Fe2O3 photocatalyst. (a) The survey spectrum. The high-energy resolution spectra of (b) Fe 2p and (c) Sn 3d.
In order to study the visible light absorption properties of α-Fe2O3, SnO2, and 0.07-SnO2/α-Fe2O3 samples, their UV–vis absorption spectra were measured, as shown in Figure 4. The present SnO2 could hardly absorb visible light (λ > 420 nm) in the UV–vis diffuse reflection spectrum, agreeing with the literature [46,47]. Interestingly, the 0.07-SnO2/α-Fe2O3 composite exhibited much higher photo absorption ability compared with pure α-Fe2O3. This might contribute to the improvements in the photocatalytic activities of 0.07-SnO2/α-Fe2O3.
Figure 4.
UV–vis spectra of α-Fe2O3, SnO2, and 0.07-SnO2/α-Fe2O3 samples.
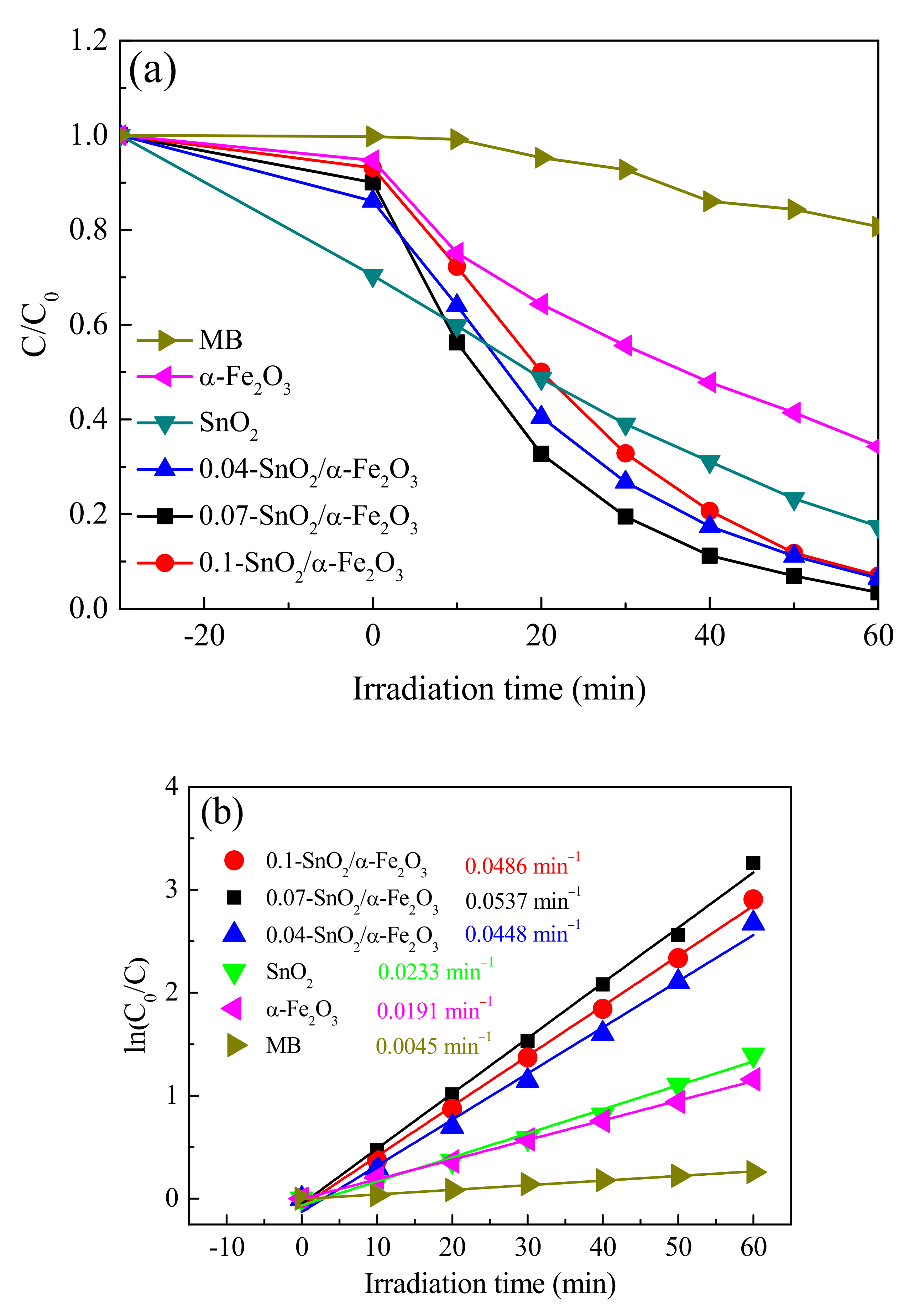
The photo-Fenton activities of the present samples were studied using a degrading MB experiment under visible light for 60 min. One milliliter of H2O2 was added to the MB solution to activate the Fenton reaction. Figure 5a shows the visible light Fenton degradation of MB under different catalysts, including α-Fe2O3, SnO2, and x-SnO2/α-Fe2O3 (x = 0.04, 0.07, and 0.1) heterogeneous catalysts. Self-degradation of MB is limited. In the dark stage, SnO2 shows excellent adsorption of dye molecules, while α-Fe2O3 presents poor adsorption. The adsorption capacity of the x-SnO2/α-Fe2O3 composite was improved due to the decoration of SnO2. More adsorption means a closer contact between the catalyst and the dye molecules, which might contribute to the photo-Fenton reaction. Under visible light irradiation, 66% of the MB was degraded within 60 min in the presence of α-Fe2O3. Interestingly, the MB degradation of x-SnO2/α-Fe2O3 was much faster than that of α-Fe2O3. Moreover, with the increase in SnO2 dosage, the degradation efficiency increased and then decreased, reaching the optimal efficiency of 97% for the 0.07-SnO2/α-Fe2O3 sample.
Figure 5.
(a) The MB photo-Fenton degradation efficiency of various catalysts under visible irradiation for 60 min; (b) photo-Fenton degradation kinetics with first-order linearity of ln(C0/Ct) = kt with different catalysts.
With a low concentration of MB, the degradation followed the pseudo-first-order kinetics and the reaction constant of photodegradation was determined by the following equation [28]:
where C0 is the initial dye concentration which reached adsorption–desorption equilibrium in the dark, Ct is the dye concentration at given time t during the Fenton process, and k is the reaction rate constant. As shown in Figure 5b, the plots ln(C0/Ct) versus irradiation time are almost linear, which indicates that the photocatalytic degradation of MB solution agrees with the pseudo-first-order kinetic model. The optimal reaction rate constant was obtained for the 0.07-SnO2/α-Fe2O3 sample (0.0537 min–1), which was more than 2.8 times higher than that of α-Fe2O3 (0.0191 min–1). Thus, it can be concluded that SnO2 shows positive effects on the MB Fenton degradation of α-Fe2O3 [46,47,48]. Previous studies have reported that H2O2 could capture the photo-generated electrons of a semiconductor and decompose itself into ·OH for the dye’s degradation [49,50]. In this study, all the degradation efficiencies are enhanced with the assistance of H2O2 and the degradation efficiency of α-Fe2O3 is much higher than that of SnO2. These might be ascribed to the photo-Fenton reaction of Fe2+ and H2O2.
To assess the contribution of reactive radicals and further explore catalytic mechanisms, control experiments were carried out with or without scavengers over the 0.07-SnO2/α-Fe2O3 catalyst shown in Figure 6. Isopropanol (IPA) and 1, 4-benzoquinone (BQ) were used as hydroxyl radicals (·OH) and superoxide radical (·O2) scavengers, respectively. As shown in Figure 6, the catalytic degradation of MB was limited by scavengers. This indicates that both the ·O2 and ·OH have significant effects on the MB degradation of SnO2/α-Fe2O3.
Figure 6.
Photo-Fenton degradation of MB with 0.07-SnO2/α-Fe2O3 with and without scavengers.
In addition, experiments on the amount of ·OH generation under α-Fe2O3 and 0.07-SnO2/α-Fe2O3 were performed to further explore the effect of SnO2 on the photo-Fenton reaction. The amount of ·OH in the heterogeneous photo-Fenton reaction was measured based on the fluorescence intensity of hydroxy terephthalic acid. As shown in Figure 7, the concentration of ·OH obviously increases after the introduction of SnO2, suggesting that the presence of SnO2 could accelerate the generation of ·OH. This is consistent with the results of the Fenton activity test.
Figure 7.
Fluorescence intensity versus time for hydroxy terephthalic acid under different catalysts.
It has been reported that Fe3+ could act as an acceptor of photo-generated electrons from a semiconductor during the photocatalytic process to suppress electron–hole recombination [26,28,51,52]. The ECB of SnO2 (0.4 eV) is more positive than the Fe3+/Fe2+ (0.77 eV) redox potential. Therefore, the photoelectrons from CB of SnO2 could transfer to the Fe3+ that are located at the abundant heterogeneous interfaces, and reduce Fe3+ to Fe2+. The Fe2+ could further react with H2O2 and produce more ·OH.
According to the above results, the catalytic mechanism was illustrated in Figure 8. Under visible light irradiation, the photoelectrons (e–) of the α-Fe2O3 are excited, and transition into the conduction band (CB), leaving the same amount of holes (h+) in the valence band (VB) [40]. The h+ and e− can react with H2O2 to generate ·O2 and ·OH. The separation of h+ and e− can be promoted owing to the presence of numerous H2O2 and Fe3+. Meanwhile, the generation of ·O2 and ·OH can also be accelerated [49,50]. Importantly, the CB of SnO2 could act as a sink for the generated electrons from the α-Fe2O3 and the excited MB molecules. Since the CB position of SnO2 is more negative than the Fe3+ redox potential, these electrons would be captured by the Fe3+ on the abundant interface of the SnO2/α-Fe2O3 heterogeneous catalyst, which can accelerate the cycle of Fe3+/Fe2+ and the photo-Fenton reaction for the generation of ·OH [51,52,53]. In this way, more ·OH and ·O2 radicals can be produced in SnO2/α-Fe2O3 compared with the α-Fe2O3, resulting in the significant enhancement of photocatalytic properties.
Figure 8.
The mechanism for the photo-Fenton degradation of MB with SnO2/α-Fe2O3 under visible light irradiation.
4. Conclusions
In summary, the x-SnO2/α-Fe2O3(x = 0.04, 0.07, and 0.1) heterogeneous catalysts were successfully prepared using a straightforward two-step hydrothermal strategy. The MB photodegradation investigation showed that the SnO2/α-Fe2O3 composites exhibited an excellent photodegradation ability, with the addition of H2O2. The rate constant of 0.07-SnO2/α-Fe2O3 composite (0.0537 min−1) is 2.8 times higher than that of pure α-Fe2O3 powder (0.0191 min−1). This remarkable enhancement is attributed to the effective transfer of photo-generated electrons for decomposing hydrogen peroxide into active radicals. The catalytic mechanism of the SnO2/α-Fe2O3 heterogeneous catalyst can provide a new insight into the catalytic mechanism of the photo-Fenton process.
Author Contributions
Conceptualization, P.L., X.Z. (Xianmin Zhang) and J.L.; methodology, P.L. and J.L.; validation, Y.J. and X.Z. (Xuye Zhuang); formal analysis, J.X. and Y.J.; resources, X.Z. (Xuye Zhuang) and X.Z. (Xianmin Zhang); data curation, P.L., X.Z. (Xianmin Zhang) and J.L.; writing—original draft preparation, P.L. and Y.J.; writing—review and editing, X.Z. (Xianmin Zhang) and L.R.; supervision, X.Z. (Xuye Zhuang); project administration, L.R. and J.X.; funding acquisition, X.Z. (Xuye Zhuang) and X.Z. (Xianmin Zhang). All authors have read and agreed to the published version of the manuscript.
Funding
This work was supported by the Taishan Scholars Program of Shandong Province (NO.tsqn201909108), the Open Fund of State Key Laboratory of Applied Optics (NO.SKLAO2020001A16), the Key Research and Development Project of Zibo City under Grant (No. 2020SNPT0088), and the Liaoning Revitalization Talents Program (XLYC2002075).
Institutional Review Board Statement
Not applicable.
Informed Consent Statement
Not applicable.
Data Availability Statement
The data underlying this article will be shared on reasonable request from the corresponding author.
Conflicts of Interest
The authors declare no conflict of interest.
References
- Zhang, J.; Yan, M.; Sun, G.; Li, X.; Liu, K. Visible-light photo-Fenton catalytic MgFe2O4 spinel: Reaction sintering synthesis and DFT study. J. Alloy. Compd. 2021, 889, 161673. [Google Scholar] [CrossRef]
- Chen, Q.; Ji, F.; Liu, T.; Yan, P.; Guan, W.; Xu, X. Synergistic effect of bifunctional Co–TiO2 catalyst on degradation of Rhodamine B: Fenton-photo hybrid process. Chem. Eng. J. 2013, 229, 57–65. [Google Scholar] [CrossRef]
- Šutka, A.; Šutka, A.; Vanags, M.; Spule, A.; Eglītis, R.; Vihodceva, S.; Šmits, K.; Tamm, A.; Mežule, L. Identifying Iron-Bearing Nanoparticle Precursor for Thermal Transformation into the Highly Active Hematite Photo-Fenton Catalyst. Catalysts 2020, 10, 778. [Google Scholar] [CrossRef]
- Choi, Y.I.; Jung, H.J.; Shin, W.G.; Sohn, Y. Band gap-engineered ZnO and Ag/ZnO by ball-milling method and their photocatalytic and Fenton-like photocatalytic activities. Appl. Surf. Sci. 2015, 356, 615–625. [Google Scholar] [CrossRef]
- Guo, X.; Wang, K.; Li, D.; Qin, J. Heterogeneous photo-Fenton processes using graphite carbon coating hollow CuFe2O4 spheres for the degradation of methylene blue. Appl. Surf. Sci. 2017, 420, 792–801. [Google Scholar] [CrossRef]
- Herney-Ramirez, J.; Vicente, M.A.; Madeira, L.M. Heterogeneous photo-Fenton oxidation with pillared clay-based catalysts for wastewater treatment: A review. Appl. Catal. B Environ. 2010, 98, 10–26. [Google Scholar] [CrossRef]
- Meng, Q.; Wang, K.; Tang, Y.; Zhao, K.; Zhang, G.; Zhao, L. One-pot synthesis of Fe2O3 loaded SiO2 hollow particles as effective visible light photo-Fenton catalyst. J. Alloy. Compd. 2017, 722, 8–16. [Google Scholar] [CrossRef]
- Li, X.; Pi, Y.; Wu, L.; Xia, Q.; Wu, J.; Li, Z.; Xiao, J. Facilitation of the visible light-induced Fenton-like excitation of H2O2 via heterojunction of g-C3N4/NH2-Iron terephthalate metal-organic framework for MB degradation. Appl. Catal. B Environ. 2017, 202, 653–663. [Google Scholar] [CrossRef]
- Guo, L.; Chen, F.; Fan, X.; Cai, W.; Zhang, J. S-doped α-Fe2O3 as a highly active heterogeneous Fenton-like catalyst towards the degradation of acid orange 7 and phenol. Appl. Catal. B Environ. 2010, 96, 162–168. [Google Scholar] [CrossRef]
- Wang, T.; Ge, T.; Zhang, Y. Effects of precursors on the phase, magnetic and photocatalytic properties of nano Fe2O3 synthesized by low temperature calcination. Colloids Interface Sci. Commun. 2021, 44, 100504. [Google Scholar] [CrossRef]
- Liang, H.; Chen, W.; Jiang, X.; Xu, X.; Xu, B.; Wang, Z. Synthesis of 2D hollow hematite microplatelets with tuneable porosity and their comparative photocatalytic activities. J. Mater. Chem. A 2014, 2, 4340–4346. [Google Scholar] [CrossRef]
- Liu, Y.; Yu, C.; Dai, W.; Gao, X.; Qian, H.; Hu, Y.; Hu, X. One-pot solvothermal synthesis of multi-shelled α-Fe2O3 hollow spheres with enhanced visible-light photocatalytic activity. J. Alloy. Compd. 2013, 551, 440–443. [Google Scholar] [CrossRef]
- Zhou, L.; Lei, J.; Wang, L.; Liu, Y.; Zhang, J. Highly efficient photo-Fenton degradation of methyl orange facilitated by slow light effect and hierarchical porous structure of Fe2O3-SiO2 photonic crystals. Appl. Catal. B Environ. 2018, 237, 1160–1167. [Google Scholar] [CrossRef]
- Panda, N.; Sahoo, H.; Mohapatra, S. Decolourization of Methyl Orange using Fenton-like mesoporous Fe2O3–SiO2 composite. J. Hazard. Mater. 2011, 185, 359–365. [Google Scholar] [CrossRef]
- Zhang, G.-Y.; Feng, Y.; Xu, Y.-Y.; Gao, D.-Z.; Sun, Y.-Q. Controlled synthesis of mesoporous α-Fe2O3 nanorods and visible light photocatalytic property. Mater. Res. Bull. 2012, 47, 625–630. [Google Scholar] [CrossRef]
- Wang, C.; Shi, J.; Cui, X.; Wang, H.; Wu, J.; Zhang, C.; Wang, L.; Lv, B.; Xu, Y. Nonspherical hollow α-Fe2O3 structures synthesized by stepwise effect of fluoride and phosphate anions. J. Mater. Chem. A 2016, 4, 11000–11008. [Google Scholar] [CrossRef]
- Zhao, Y.; Pan, F.; Li, H.; Niu, T.; Xu, G.; Chen, W. Facile synthesis of uniform α-Fe2O3 crystals and their facet-dependent catalytic performance in the photo-Fenton reaction. J. Mater. Chem. A 2013, 1, 7242–7246. [Google Scholar] [CrossRef]
- Chan, J.Y.T.; Ang, S.Y.; Ye, E.Y.; Sullivan, M.; Zhang, J.; Lin, M. Heterogeneous photo-Fenton reaction on hematite (α-Fe2O3){104}, {113} and {001} surface facets. Phys. Chem. Chem. Phys. 2015, 17, 25333–25341. [Google Scholar] [CrossRef]
- Wu, W.; Hao, R.; Liu, F.; Su, X.; Hou, Y. Single-crystalline α-Fe2O3 nanostructures: Controlled synthesis and high-index plane-enhanced photodegradation by visible light. J. Mater. Chem. A 2013, 1, 6888–6894. [Google Scholar] [CrossRef]
- Ouyang, J.; Pei, J.; Kuang, Q.; Xie, Z.; Zheng, L. Supersaturation-Controlled Shape Evolution of α-Fe2O3 Nanocrystals and Their Facet-Dependent Catalytic and Sensing Properties. ACS Appl. Mater. Interfaces 2014, 6, 12505–12514. [Google Scholar] [CrossRef]
- Zhou, L.; Wang, L.; Zhang, J.; Lei, J.; Liu, Y. Well-Dispersed Fe2O3 Nanoparticles on g-C3N4 for Efficient and Stable Photo-Fenton Photocatalysis under Visible-Light Irradiation. Eur. J. Inorg. Chem. 2016, 2016, 5387–5392. [Google Scholar] [CrossRef]
- Cui, Z.-M.; Chen, Z.; Cao, C.-Y.; Jiang, L.; Song, W.-G. A yolk–shell structured Fe2O3@mesoporous SiO2 nanoreactor for enhanced activity as a Fenton catalyst in total oxidation of dyes. Chem. Commun. 2013, 49, 2332–2334. [Google Scholar] [CrossRef] [PubMed]
- Uma, K.; Arjun, N.; Pan, G.-T.; Yang, T.C.-K. The photodeposition of surface plasmon Ag metal on SiO2@α-Fe2O3 nanocomposites sphere for enhancement of the photo-Fenton behavior. Appl. Surf. Sci. 2017, 425, 377–383. [Google Scholar] [CrossRef]
- Ursachi, I.; Stancu, A.; Vasile, A. Magnetic α-Fe2O3/MCM-41 nanocomposites: Preparation, characterization, and catalytic activity for methylene blue degradation. J. Colloid Interface Sci. 2012, 377, 184–190. [Google Scholar] [CrossRef] [PubMed]
- Chen, Z.; Liang, Y.; Hao, J.; Cui, Z.-M. Noncontact Synergistic Effect between Au Nanoparticles and the Fe2O3 Spindle inside a Mesoporous Silica Shell as Studied by the Fenton-like Reaction. Langmuir 2016, 32, 12774–12780. [Google Scholar] [CrossRef]
- Zhang, K.; Liu, Y.; Deng, J.; Xie, S.; Lin, H.; Zhao, X.; Yang, J.; Han, Z.; Dai, H. Fe2O3/3DOM BiVO4: High-performance photocatalysts for the visible light-driven degradation of 4-nitrophenol. Appl. Catal. B Environ. 2017, 202, 569–579. [Google Scholar] [CrossRef]
- Liu, Y.; Jin, W.; Zhao, Y.; Zhang, G.; Zhang, W. Enhanced catalytic degradation of methylene blue by α-Fe2O3/graphene oxide via heterogeneous photo-Fenton reactions. Appl. Catal. B Environ. 2017, 206, 642–652. [Google Scholar] [CrossRef]
- Deng, Y.; Xing, M.; Zhang, J. An advanced TiO2/Fe2TiO5/Fe2O3 triple-heterojunction with enhanced and stable visible-light-driven fenton reaction for the removal of organic pollutants. Appl. Catal. B Environ. 2017, 211, 157–166. [Google Scholar] [CrossRef]
- Wang, C.; Du, G.; Ståhl, K.; Huang, H.; Zhong, Y.; Jiang, J.Z. Ultrathin SnO2 Nanosheets: Oriented Attachment Mechanism, Nonstoichiometric Defects, and Enhanced Lithium-Ion Battery Performances. J. Phys. Chem. C 2012, 116, 4000–4011. [Google Scholar] [CrossRef] [Green Version]
- Zhu, S.; Liu, J.; Sun, J. Growth of ultrathin SnO2 on carbon nanotubes by atomic layer deposition and their application in lithium ion battery anodes. Appl. Surf. Sci. 2019, 484, 600–609. [Google Scholar] [CrossRef]
- Zhou, W.; Cheng, C.; Liu, J.; Tay, Y.Y.; Jiang, J.; Jia, X.; Zhang, J.; Gong, H.; Hng, H.H.; Yu, T.; et al. Epitaxial Growth of Branched α-Fe2O3/SnO2 Nano-Heterostructures with Improved Lithium-Ion Battery Performance. Adv. Funct. Mater. 2011, 21, 2439–2445. [Google Scholar] [CrossRef]
- Kim, Y.E.; Baek, U.C.; Kim, J.H.; Chi, W.S.; Park, J.T. Harnessing SnO2 nanotube light scattering cluster to improve energy conversion efficiency assisted by high reflectance. Mater. Chem. Phys. 2020, 254, 123538. [Google Scholar] [CrossRef]
- Zhang, X.; Rui, Y.; Yang, J.; Wang, L.; Wang, Y.; Xu, J. Monodispersed SnO2 microspheres aggregated by tunable building units as effective photoelectrodes in solar cells. Appl. Surf. Sci. 2019, 463, 679–685. [Google Scholar] [CrossRef]
- Zhang, J.; Lou, Y.; Liu, M.; Zhou, H.; Zhao, Y.; Wang, Z.; Shi, L.; Li, D.; Yuan, S. High-Performance Dye-Sensitized Solar Cells Based on Colloid–Solution Deposition Planarized Fluorine-Doped Tin Oxide Substrates. ACS Appl. Mater. Interfaces 2018, 10, 15697–15703. [Google Scholar] [CrossRef]
- Choi, P.G.; Izu, N.; Shirahata, N.; Masuda, Y. Improvement of sensing properties for SnO2 gas sensor by tuning of exposed crystal face. Sens. Actuators B Chem. 2019, 296, 126655. [Google Scholar] [CrossRef]
- Jayababu, N.; Poloju, M.; Reddy, M.R. Facile synthesis of SnO2-Fe2O3 core-shell nanostructures and their 2-methoxyethanol gas sensing characteristics. J. Alloy. Compd. 2019, 780, 523–533. [Google Scholar] [CrossRef]
- Wang, Q.; Kou, X.; Liu, C.; Zhao, L.; Lin, T.; Liu, F.; Yang, X.; Lin, J.; Lu, G. Hydrothermal synthesis of hierarchical CoO/SnO2 nanostructures for ethanol gas sensor. J. Colloid Interface Sci. 2018, 513, 760–766. [Google Scholar] [CrossRef]
- Wang, N.; Du, Y.; Ma, W.; Xu, P.; Han, X. Rational design and synthesis of SnO2 -encapsulated α -Fe2O3 nanocubes as a robust and stable photo-Fenton catalyst. Appl. Catal. B Environ. 2017, 210, 23–33. [Google Scholar] [CrossRef]
- Tian, Q.; Wu, W.; Sun, L.; Yang, S.; Lei, M.; Zhou, J.; Liu, Y.; Xiao, X.; Ren, F.; Jiang, C.; et al. Tube-Like Ternary α-Fe2O3@SnO2@Cu2O Sandwich Heterostructures: Synthesis and Enhanced Photocatalytic Properties. ACS Appl. Mater. Interfaces 2014, 6, 13088–13097. [Google Scholar] [CrossRef]
- Niu, M.; Huang, F.; Cui, L.; Huang, P.; Yu, Y.; Wang, Y. Hydrothermal Synthesis, Structural Characteristics, and Enhanced Photocatalysis of SnO2/α-Fe2O3 Semiconductor Nanoheterostructures. ACS Nano 2010, 4, 681–688. [Google Scholar] [CrossRef]
- Devi, L.G.; Shyamala, R. Photocatalytic activity of SnO2–α-Fe2O3 composite mixtures: Exploration of number of active sites, turnover number and turnover frequency. Mater. Chem. Front. 2018, 2, 796–806. [Google Scholar] [CrossRef]
- Kang, J.; Kuang, Q.; Xie, Z.-X.; Zheng, L.-S. Fabrication of the SnO2/α-Fe2O3 Hierarchical Heterostructure and Its Enhanced Photocatalytic Property. J. Phys. Chem. C 2011, 115, 7874–7879. [Google Scholar] [CrossRef]
- Fakhimi, O.; Najafi, A.; Khalaj, G. A facile rout to obtain Al2O3 nanopowder via recycling aluminum cans by sol-gel method. Mater. Res. Express 2020, 7, 045008. [Google Scholar] [CrossRef]
- Ai, X.; Lin, J.; Chang, Y.; Zhou, L.; Zhang, X.; Qin, G. Phase modification of copper phthalocyanine semiconductor by converting powder to thin film. Appl. Surf. Sci. 2018, 428, 788–792. [Google Scholar] [CrossRef]
- Zhang, S.; Li, J.; Niu, H.; Xu, W.; Xu, J.; Hu, W.; Wang, X. Visible-Light Photocatalytic Degradation of Methylene Blue Using SnO2/α-Fe2O3Hierarchical Nanoheterostructures. ChemPlusChem 2013, 78, 192–199. [Google Scholar] [CrossRef]
- Xu, L.; Steinmiller, E.M.P.; Skrabalak, S.E. Achieving Synergy with a Potential Photocatalytic Z-Scheme: Synthesis and Evaluation of Nitrogen-Doped TiO2/SnO2 Composites. J. Phys. Chem. C 2011, 116, 871–877. [Google Scholar] [CrossRef]
- Lin, B.; Xu, B.; Zhou, Y.; Zhu, B.; Chen, Y.; Gao, B. Heterostructured SnO2-pillared Co-doped tantalotungstate with high photocatalytic activity under visible-light irradiation. Mater. Chem. Phys. 2013, 142, 651–658. [Google Scholar] [CrossRef]
- Peng, L.; Zheng, R.-R.; Feng, D.-W.; Yu, H.; Dong, X.-T. Synthesis of eco-friendly porous g-C3N4/SiO2/SnO2 composite with excellent visible-light responsive photocatalysis. Arab. J. Chem. 2020, 13, 4275–4285. [Google Scholar] [CrossRef]
- Liu, J.; Wang, B.; Li, Z.; Wu, Z.; Zhu, K.; Zhuang, J.; Xi, Q.; Hou, Y.; Chen, J.; Cong, M.; et al. Photo-Fenton reaction and H2O2 enhanced photocatalytic activity of α-Fe2O3 nanoparticles obtained by a simple decomposition route. J. Alloy. Compd. 2019, 771, 398–405. [Google Scholar] [CrossRef]
- Ma, Y.; Wang, Q.; Xing, S. Insight into the catalytic mechanism of γ-Fe2O3/ZnFe2O4 for hydrogen peroxide activation under visible light. J. Colloid Interface Sci. 2018, 529, 247–254. [Google Scholar] [CrossRef]
- Pan, S.; Wang, S.; Zhang, Y.; Xu, S.; Kong, F.; Luo, Y.; Tian, Y.; Teng, X.; Li, G. Surface Fe3+-decorated pristine SnO2 nanoparticles with enhanced ·OH radical generation performance. Catal. Commun. 2012, 24, 96–99. [Google Scholar] [CrossRef]
- Yu, H.; Irie, H.; Shimodaira, Y.; Hosogi, Y.; Kuroda, Y.; Miyauchi, M.; Hashimoto, K. An Efficient Visible-Light-Sensitive Fe(III)-Grafted TiO2 Photocatalyst. J. Phys. Chem. C 2010, 114, 16481–16487. [Google Scholar] [CrossRef]
- Wu, Q.; Yang, H.; Kang, L.; Gao, Z.; Ren, F. Fe-based metal-organic frameworks as Fenton-like catalysts for highly efficient degradation of tetracycline hydrochloride over a wide pH range: Acceleration of Fe(II)/ Fe(III) cycle under visible light irradiation. Appl. Catal. B Environ. 2020, 263, 118282. [Google Scholar] [CrossRef]
Publisher’s Note: MDPI stays neutral with regard to jurisdictional claims in published maps and institutional affiliations. |
© 2022 by the authors. Licensee MDPI, Basel, Switzerland. This article is an open access article distributed under the terms and conditions of the Creative Commons Attribution (CC BY) license (https://creativecommons.org/licenses/by/4.0/).