Investigations on the Thermodynamics Characteristics, Thermal and Dielectric Properties of Calcium-Activated Zinc-Containing Metallurgical Residues
Abstract
:1. Introduction
2. Materials and Methods
2.1. Materials
2.2. Measurement Method and Instrument for Thermal Conductivity
2.3. Measurement Method and Instrument for Dielectric Property
- (1)
- Calibration of the dielectric parameter test system before testing through air calibration, the dielectric constant of air is 1.00.
- (2)
- Dried residues sample is placed into a flat-bottomed test quartz tube with an inner diameter of 4 mm, an outer diameter of 6 mm, a length of 52 mm, and a wall thickness of 1 mm. The height of the sample in the tube should be kept at about 45 mm.
- (3)
- In the first step, the quality factor will be tested under the cavity condition; in the second step, the quality factor will be tested under the load condition after placing the sample, and the dielectric properties data will be directly output through the calculation program of the system.
3. Results
3.1. Analysis of Thermodynamic Characteristics
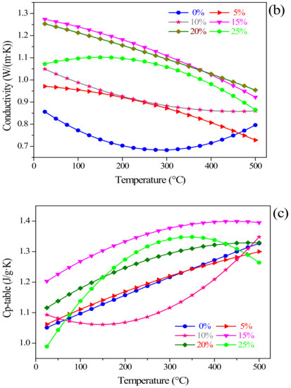
3.2. Analysis of Thermal Properties
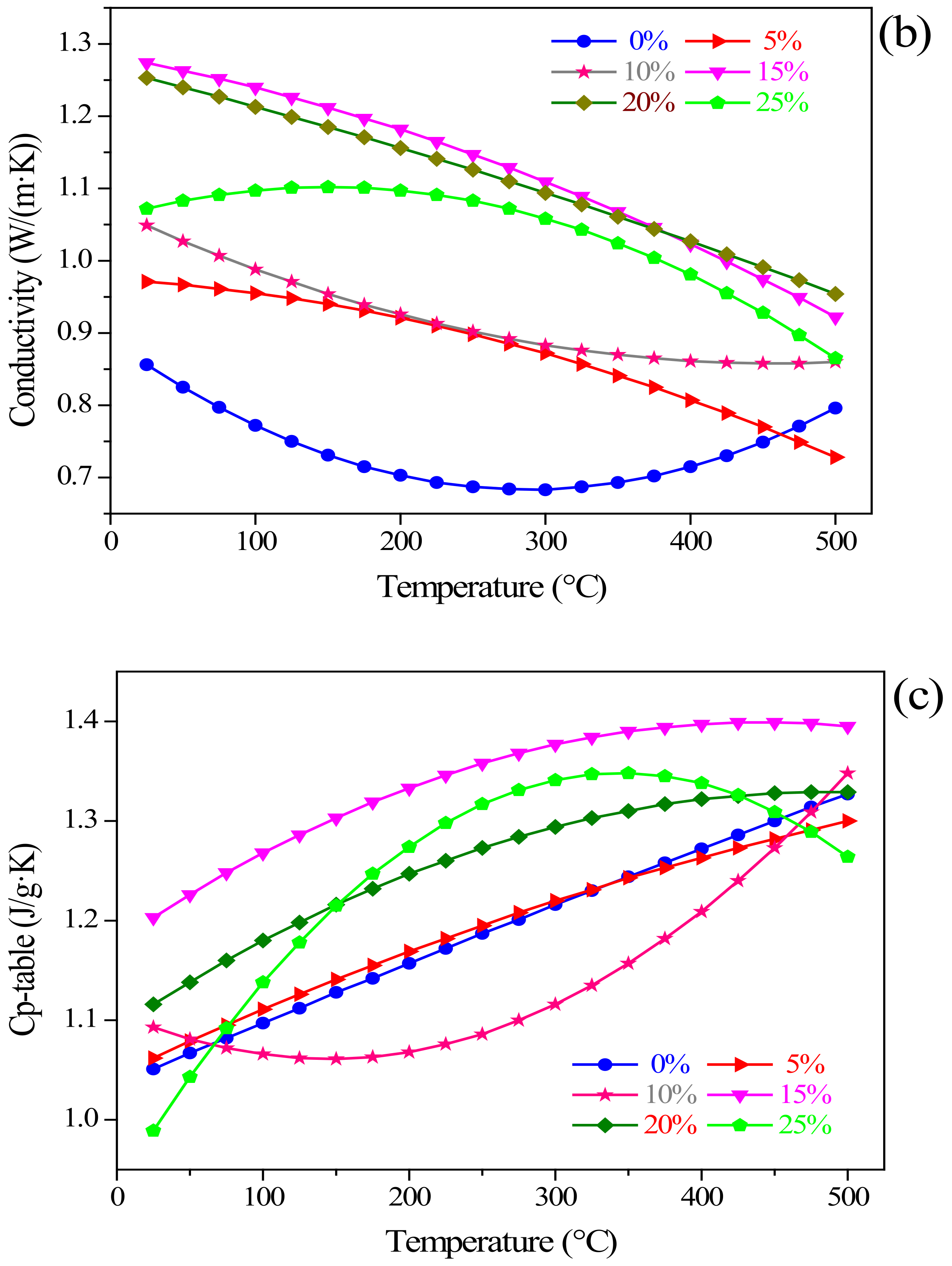
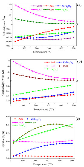
3.2.1. Thermal Conductivity Properties of the Typical Materials in Residues
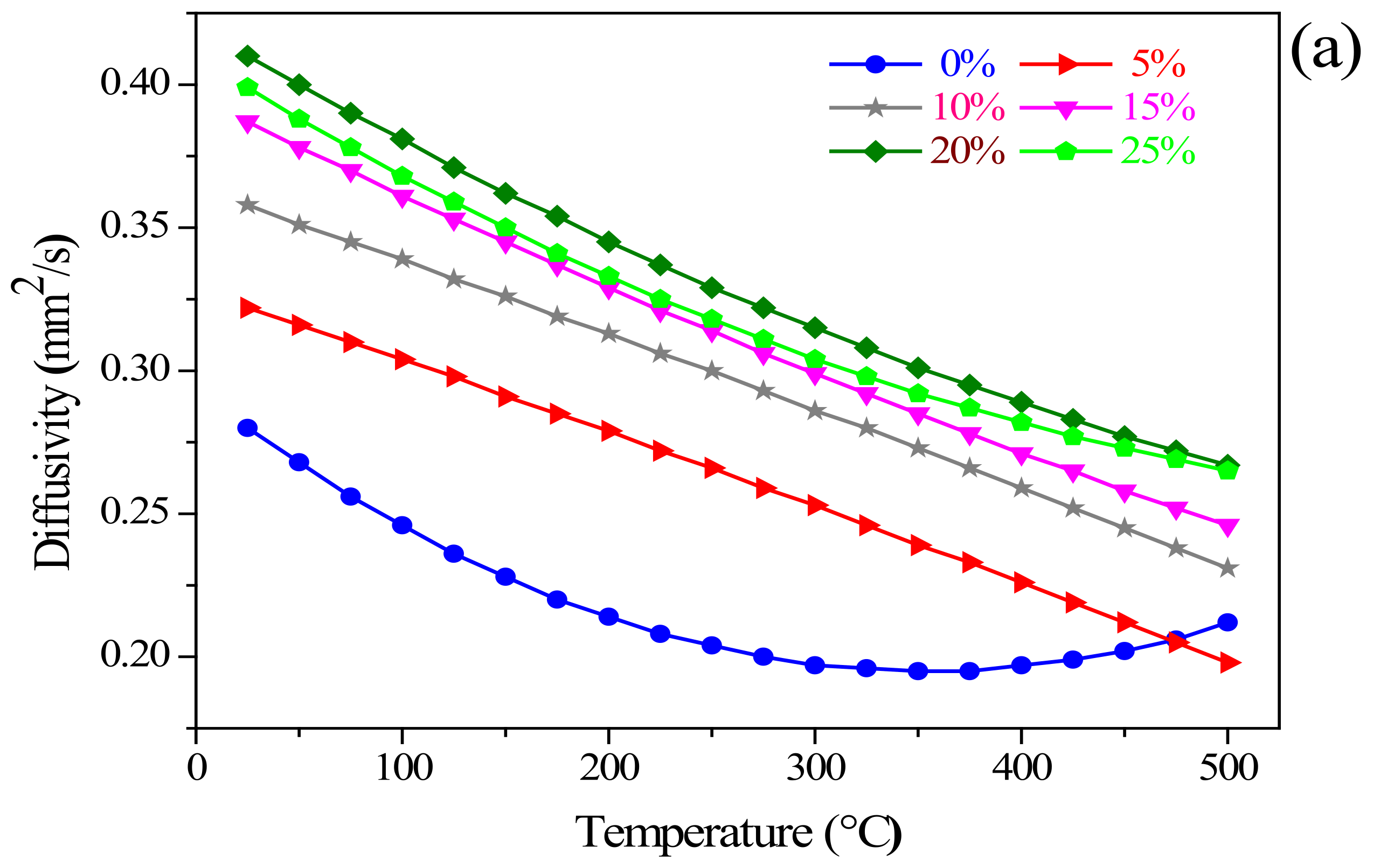
3.2.2. Influence of CaO Addition on the Thermal Conductivity Properties of Residues
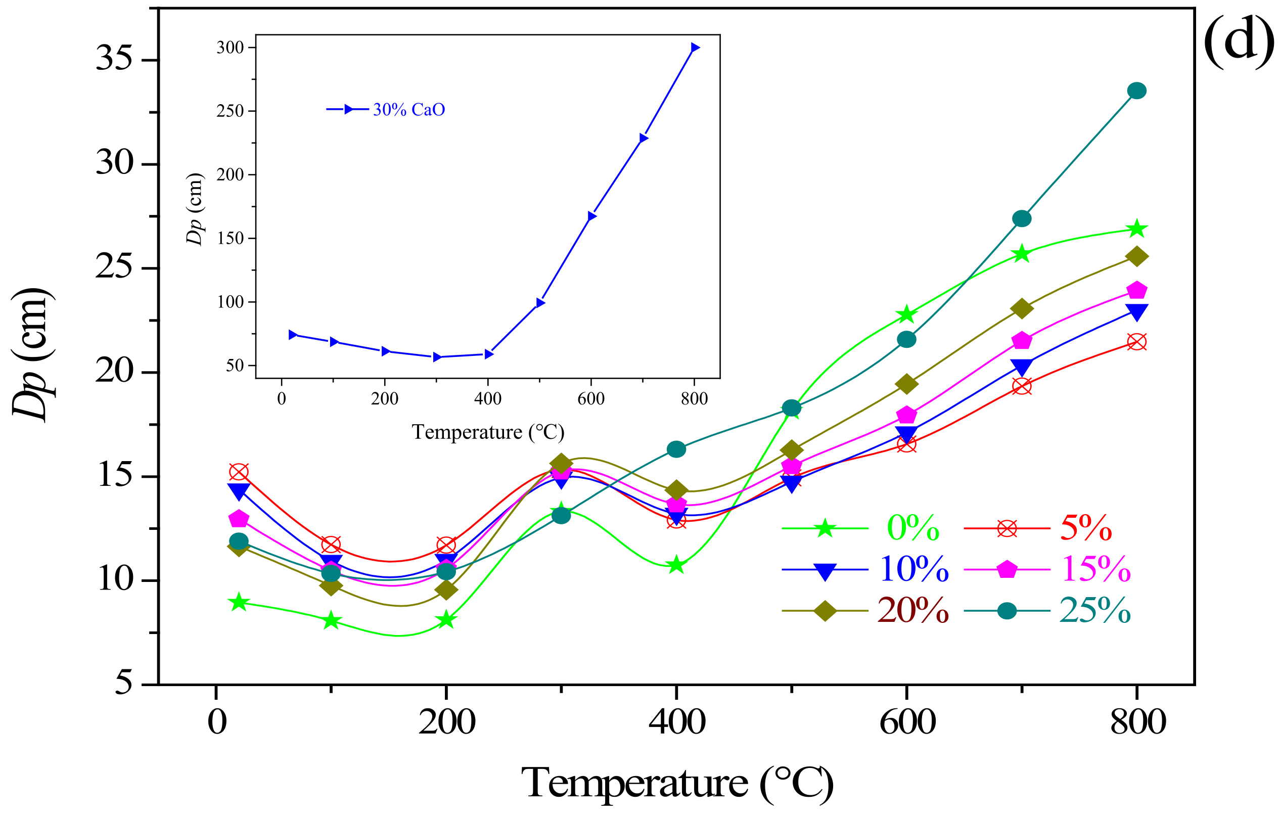
3.3. Analysis of Microwave Heating Characteristics
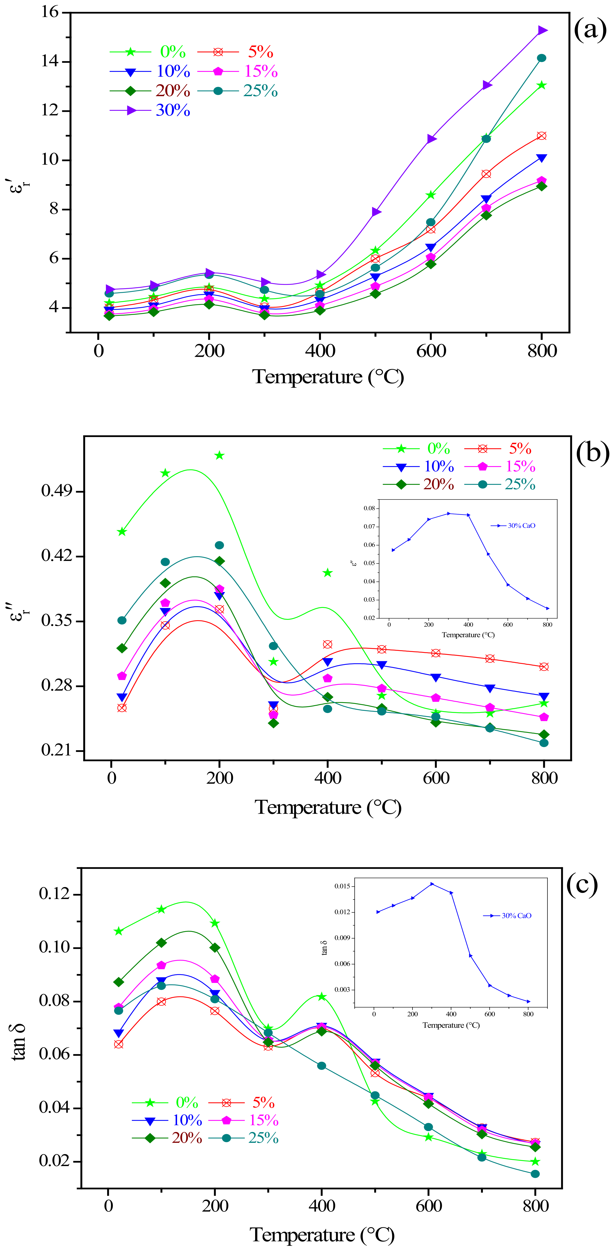
3.4. Analysis of Dielectric Properties
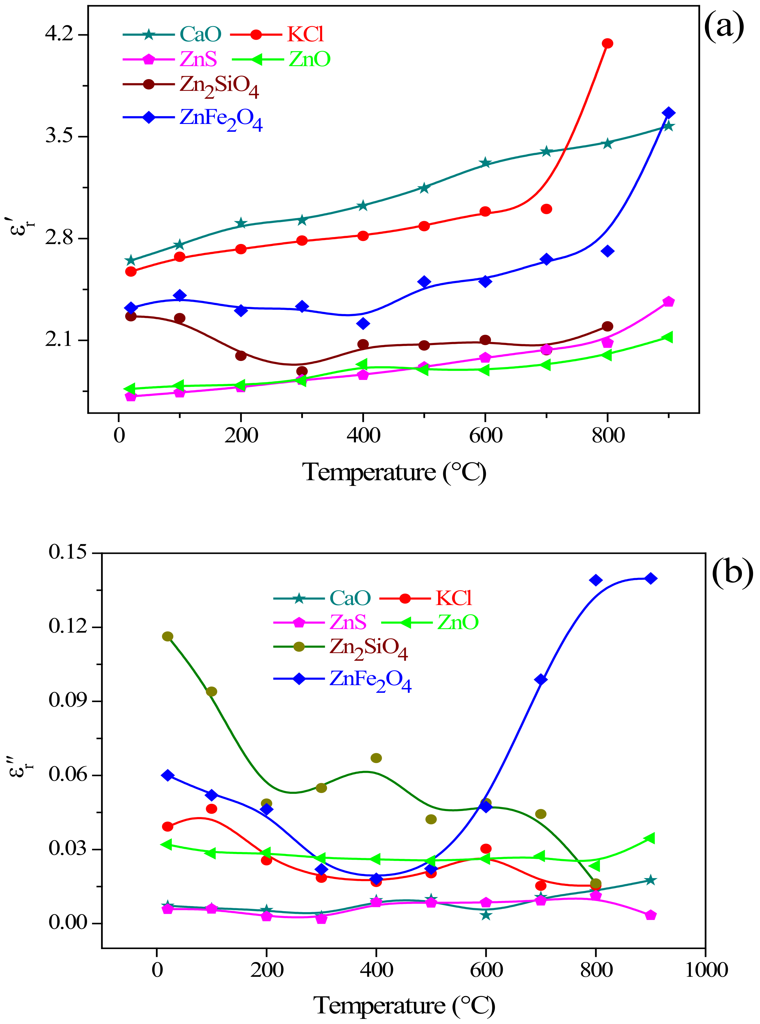
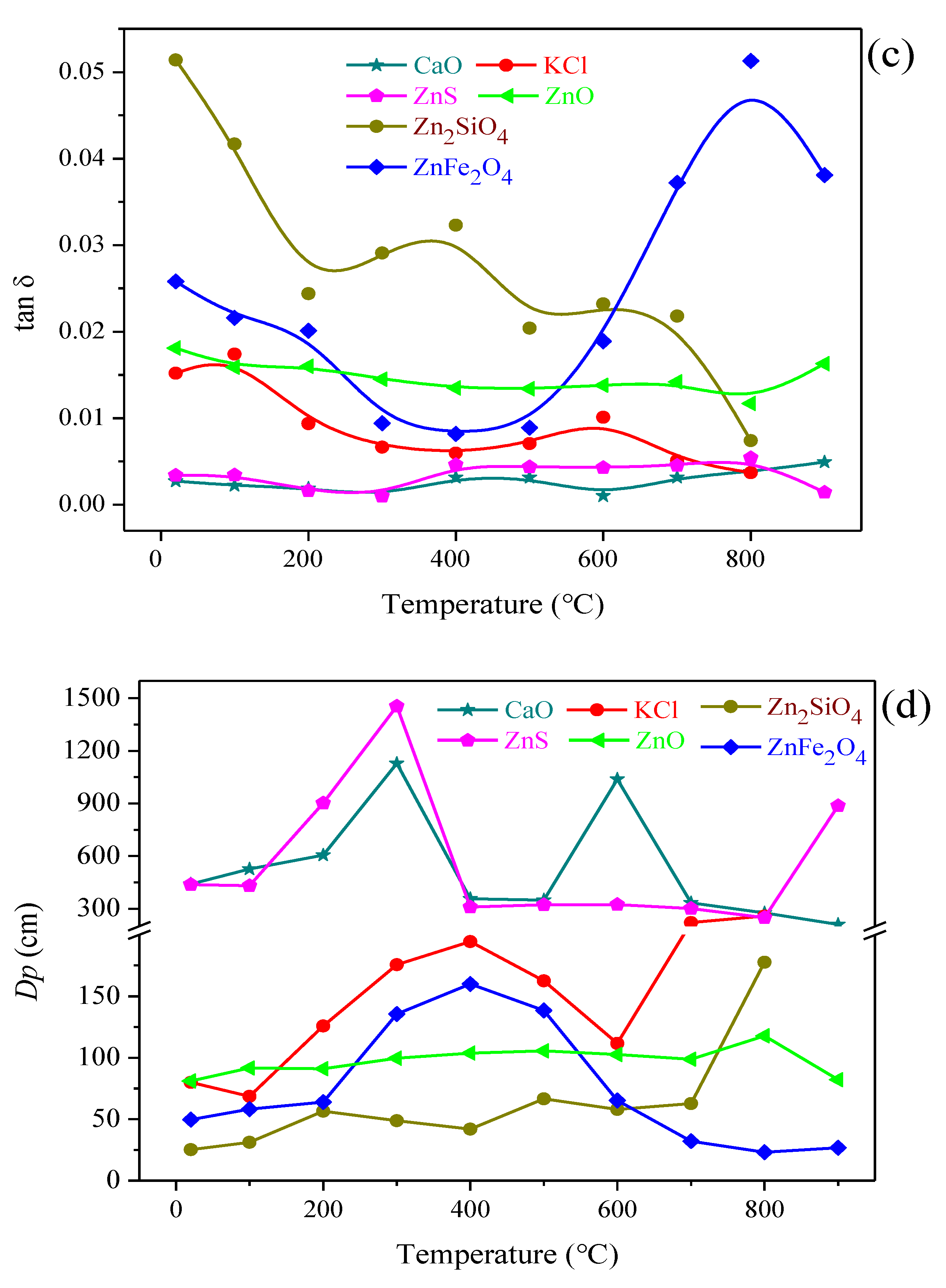
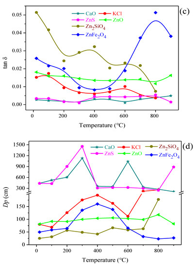
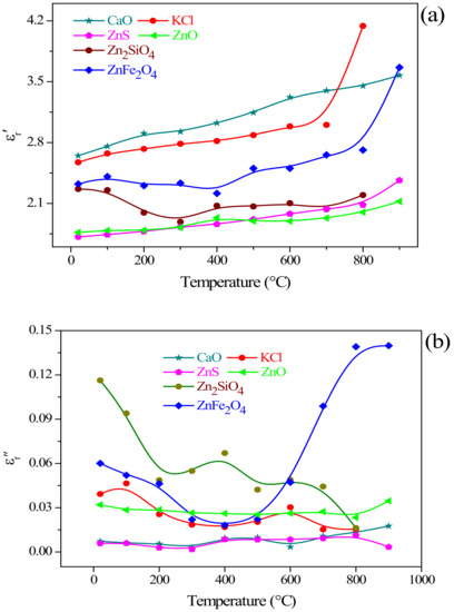
3.4.1. Dielectric Properties of the Typical Materials in Residues
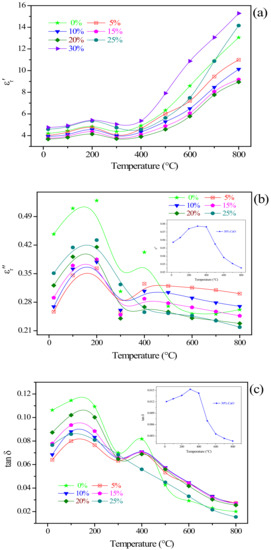
3.4.2. Influence of CaO Addition on the Dielectric Properties of Residues
4. Conclusions
- (1)
- Compared with the carbothermal reduction reaction (with the addition of C), Zn2SiO4 and ZnFe2O4 phases can also undergo mineral phase conversion under the roasting conditions with the addition of CaO; meanwhile, ZnS phase can also undergo oxidation reactions in the air atmosphere during roasting.
- (2)
- The thermal conductivity properties of ZnS and ZnFe2O4 were relatively poor than that of CaO phase, with the value below 0.5 and 1.0 respectively in the temperature range of 25–500 °C, thereby adding CaO activator can remedy and enhance the heating efficient of residues during heating process. Besides, the thermal conductivity properties of the residues added with 25% CaO were significantly superior than the residues added with other CaO contents, with the maximum specific heat value of 1.348 J/g·K at 350 °C.
- (3)
- The dielectric constant properties of CaO activator were higher than that of other substances; hence, the addition of CaO can enhance the microwave-absorbing ability of zinc-containing residues. Meanwhile, the dielectric loss and loss tangent values decreased with a temperature increasing and the residues had large microwave penetration depth, which guaranteed the better uniformity of microwave heating. Furthermore, adding 25% CaO promoted the microwave penetration depth of the residues increased in the range of 300–500 °C.
Supplementary Materials
Author Contributions
Funding
Institutional Review Board Statement
Informed Consent Statement
Data Availability Statement
Acknowledgments
Conflicts of Interest
References
- Hua, X.R.; Yang, Q.; Zhang, D.D.; Meng, F.C.; Chen, C.; You, Z.H.; Zhang, J.H.; Lv, S.H.; Meng, J. Microstructures and mechanical properties of a newly developed high-pressure die casting Mg-Zn-RE alloy. J. Mater. Sci. Technol. 2020, 53, 174–184. [Google Scholar] [CrossRef]
- Tiwari, E.; Singh, N.; Khandelwal, N.; Monikh, F.A.; Darbha, G.K. Application of Zn/Al layered double hydroxides for the removal of nano-scale plastic debris from aqueous systems. J. Hazard. Mater. 2020, 397, 122769. [Google Scholar] [CrossRef]
- Zhao, Z.; Shen, B.X.; Hu, Z.Z.; Zhang, J.W.; He, C.; Yao, Y.; Guo, S.Q.; Dong, F. Recycling of spent alkaline Zn-Mn batteries directly: Combination with TiO2 to construct a novel Z-scheme photocatalytic system. J. Hazard. Mater. 2020, 400, 123236. [Google Scholar] [CrossRef]
- Abkhoshk, E.; Jorjani, E.; Al-Harahsheh, M.S.; Rashchi, F.; Naazeri, M. Review of the hydrometallurgical processing of non-sulfide zinc ores. Hydrometallurgy. 2014, 149, 153–167. [Google Scholar] [CrossRef]
- Ma, A.Y.; Zhang, L.B.; Peng, J.H.; Zheng, X.M.; Li, S.W.; Yang, K.; Chen, W.H. Extraction of zinc from blast furnace dust in ammonia leaching system. Green. Process. Synth. 2016, 5, 23–30. [Google Scholar] [CrossRef]
- Zhu, X.L.; Xu, C.Y.; Tang, J.; Hua, Y.X.; Zhang, Q.B.; Liu, H.; Wang, X.; Huang, M.T. Selective recovery of zinc from zinc oxide dust using choline chloride based deep eutectic solvents. Trans. Nonferrous. Met. Soc. J. 2019, 29, 2222–2228. [Google Scholar] [CrossRef]
- Ma, N.Y. Recycling of basic oxygen furnace steelmaking dust by in-process separation of zinc from the dust. J. Clean. Prod. 2016, 112, 4497–4504. [Google Scholar] [CrossRef]
- Lanzerstorfer, C.; Bamberger-Strassmayr, B.; Pilz, K. Recycling of blast furnace dust in the iron ore sintering process: Investigation of coke breeze substitution and the influence on offgas emissions. ISIJ Int. 2015, 55, 758–764. [Google Scholar] [CrossRef] [Green Version]
- Trinkel, V.; Mallow, O.; Thaler, C.; Schenk, J.; Rechberger, H.; Fellner, J. Behaviour of chromium, nickel, lead, zinc, cadmium, and mercury in the blast furnace-A critical review of literature data and plant investigations. Ind. Eng. Chem. Res. 2015, 54, 11759–11771. [Google Scholar] [CrossRef]
- Trinkel, V.; Mallow, O.; Aschenbrenner, P.; Rechberger, H.; Fellner, J. Characterisation of blast furnace sludge with respect to heavy metal distribution. Ind. Eng. Chem. Res. 2016, 55, 5590–5597. [Google Scholar] [CrossRef]
- Chang, J.; Zhang, E.D.; Zhang, L.B.; Peng, J.H.; Zhou, J.W.; Srinivasakannan, C.; Yang, C.J. A comparison of ultrasound-augmented and conventional leaching of silver from sintering dust using acidic thiourea. Ultrason. Sonochem. 2017, 34, 222–231. [Google Scholar] [CrossRef]
- Li, H.Y.; Ma, A.Y.; Srinivasakannan, C.; Zhang, L.B.; Li, S.W.; Yin, S.H. Investigation on the recovery of gold and silver from cyanide tailings using chlorination roasting process. J. Alloy. Compd. 2018, 763, 241–249. [Google Scholar] [CrossRef]
- Brunelli, K.; Dabalà, M. Ultrasound effects on zinc recovery from EAF dust by sulfuric acid leaching. Int. J. Miner. Metall. Mater. 2015, 22, 353–362. [Google Scholar] [CrossRef]
- Dutra, A.J.B.; Paiva, P.R.P.; Tavares, L.M. Alkaline leaching of zinc from electric arc furnace steel dust. Miner. Eng. 2006, 19, 478–485. [Google Scholar] [CrossRef]
- Das, B.; Prakash, S.; Reddy, P.S.R.; Misra, V.N. An overview of utilisation of slag and sludge from steel industries. Resour. Conserv. Recycl. 2007, 50, 40–57. [Google Scholar] [CrossRef]
- Tsakiridis, P.E.; Papadimitriou, G.D.; Tsivilis, S.; Koroneos, C. Utilisation of steel slag for Portland cement clinker production. J. Hazard. Mater. 2008, 152, 805–811. [Google Scholar] [CrossRef] [PubMed]
- Safari, V.; Arzpeyma, G.; Rashchi, F.; Mostoufi, N. A shrinking particle-shrinking core model for leaching of a zinc ore containing silica. Int. J. Miner. Process. 2009, 93, 79–83. [Google Scholar] [CrossRef]
- Omran, M.; Fabritius, T.; Heikkinen, E.-P. Selective zinc removal from electric arc furnace (EAF) dust by using microwave heating. J. Sustain. Metall. 2019, 5, 331–340. [Google Scholar] [CrossRef] [Green Version]
- Omran, M.; Fabritius, T.; Heikkinen, E.-P.; Vuolio, T.; Yu, Y.; Chen, G.; Kacar, Y. Microwave catalyzed carbothermic reduction of zinc oxide and zinc ferrite: Effect of microwave energy on the reaction activation energy. RSC Adv. 2020, 10, 23959–23968. [Google Scholar] [CrossRef]
- Sethurajan, M.; Huguenot, D.; Jain, R.; Lens, P.N.L.; Horn, H.A.; Figueiredo, L.H.A. Leaching and selective zinc recovery from acidic leachates of zinc metallurgical leach residues. J. Hazard. Mater. 2016, 324, 71–82. [Google Scholar] [CrossRef] [PubMed]
- Steer, J.M.; Griffiths, A.J. Investigation of carboxylic acids and non-aqueous solvents for the selective leaching of zinc from blast furnace dust slurry. Hydrometallurgy 2013, 140, 34–41. [Google Scholar] [CrossRef]
- Liu, Z.Y.; Liu, Z.H.; Li, Q.H.; Cao, Z.Y.; Yang, T.Z. Dissolution behaviour of willemite in the (NH4)2SO4-NH3-H2O system. Hydrometallurgy 2012, 125–126, 50–54. [Google Scholar] [CrossRef]
- Wang, R.X.; Tang, M.T.; Yang, S.H.; Zhang, W.H.; Tang, C.B.; He, J.; Yang, J.G. Leaching kinetics of low grade zinc oxide ore in NH3-NH4Cl-H2O system. J. Cent. South. Univ. Technol. 2008, 15, 679–683. [Google Scholar] [CrossRef]
- Ma, A.Y.; Zheng, X.M.; Zhang, L.B.; Peng, J.H.; Li, Z.; Li, S.; Li, S.W. Clean recycling of zinc from blast furnace dust with ammonium acetate as complexing agents. Sep. Sci. Technol. 2018, 53, 1327–1341. [Google Scholar] [CrossRef]
- Yang, S.H.; Zhao, D.Q.; Jie, Y.F.; Tang, C.B.; He, J.; Chen, Y.M. Hydrometallurgical process for zinc recovery from C.Z.O. generated by the steelmaking industry with ammonia-ammonium chloride solution. Metals 2019, 9, 83–94. [Google Scholar] [CrossRef] [Green Version]
- Rao, S.; Yang, T.Z.; Zhang, D.C.; Liu, W.F.; Chen, L.; Hao, Z.D.; Xiao, Q.K.; Wen, J.F. Leaching of low grade zinc oxide ores in NH4Cl-NH3 solutions with nitrilotriacetic acid as complexing agents. Hydrometallurgy 2015, 158, 101–106. [Google Scholar] [CrossRef]
- Ma, A.Y.; Zheng, X.M.; Li, S.; Wang, Y.H.; Zhu, S. Zinc recovery from metallurgical residues by coordination leaching in NH3-CH3COONH4-H2O system. R. Soc. Open. Sci. 2018, 5, 180660. [Google Scholar] [CrossRef] [Green Version]
- Chen, J.; Li, L.; Chen, G.; Peng, J.H.; Srinivasakannan, C. Rapid thermal decomposition of manganese ore using microwave heating. J. Alloy. Compd. 2016, 699, 430–435. [Google Scholar] [CrossRef]
- Gao, H.Y.; Jiang, T.; Xu, Y.Z.; Wen, J.; Xue, X.X. Change in phase, microstructure, and physical-chemistry properties of high chromium vanadium slag during microwave calcification-roasting process. Powder. Technol. 2018, 340, 520–527. [Google Scholar] [CrossRef]
- Chen, G.; Jiang, Q.; Omran, M.; Li, K.O.; He, A.X.; Peng, J.H. Simultaneous removal of Cr(III) and V(V) and enhanced synesis of high grade rutile TiO2 based on sodium carbonate decomposition. J. Hazard. Mater. 2020, 388, 12203. [Google Scholar] [CrossRef]
- Kang, J.X.; Omran, M.; Zhang, M.Y.; Pu, J.; He, L.; Ruan, R.; Peng, J.H.; Chen, G. Synthesis of rutile TiO2 powder by microwave-enhanced roasting followed by hydrochloric acid leaching. Adv. Powder. Technol. 2020, 31, 1140–1147. [Google Scholar] [CrossRef]
- Chen, G.; Li, K.Q.; Omran, M.; Jiang, Q.; Li, X.; Peng, J.H.; Chen, J. Microstructure and enhanced volume density properties of FeMn78C8.0 alloy prepared via a cleaner microwave sintering approach. J. Clean. Prod. 2020, 262, 121364. [Google Scholar] [CrossRef]
- ASTM E1461-01; Standard Test Method for Thermal Diffusivity of Solids by the Flash Method. ASTM International: West Conshohocken, PA, USA, 2001. Available online: https://www.astm.org/DATABASE.CART/HISTORICAL/E1461-01.htm (accessed on 13 December 2021).
- Neubrand, A.; Becker, H.; Tschudi, T. Spatially resolved thermal diffusivity measurements on functionally graded materials. J. Mater. Sci. 2003, 38, 4193–4201. [Google Scholar] [CrossRef]
- Omran, M.; Fabritius, T.; Heikkinen, E.-P.; Chen, G. Dielectric properties and carbothermic reduction of zinc oxide and zinc ferrite by microwave heating. R. Soc. Open. Sci. 2017, 4, 170710. [Google Scholar] [CrossRef] [PubMed] [Green Version]
- Zhang, M.; Gao, L.; Kang, J.; Omran, M.; Chen, G. Stability optimisation of CaO-doped partially stabilised zirconia by microwave sintering. Ceram. Int. 2019, 45 Pt B, 23278–23282. [Google Scholar] [CrossRef]
- Li, K.Q.; Chen, J.; Chen, G.; Peng, J.H.; Ruan, R.; Srinivasakannan, C. Microwave dielectric properties and thermochemical characteristics of the mixtures of walnut shell and manganese ore. Bioresour. Technol. 2019, 286, 121381. [Google Scholar] [CrossRef]
- Li, K.Q.; Jiang, Q.; Gao, L.; Chen, J.; Peng, J.H.; Koppala, S.; Omran, M.; Chen, G. Investigations on the microwave absorption properties and thermal behaviour of vanadium slag: Improvement in microwave oxidation roasting for recycling vanadium and chromium. J. Hazard. Mater. 2020, 395, 122698. [Google Scholar] [CrossRef]
- Li, K.Q.; Chen, G.; Li, X.T.; Peng, J.H.; Ruan, R.; Omran, M.; Chen, J. High-temperature dielectric properties and pyrolysis reduction characteristics of different biomass-pyrolusite mixtures in microwave field. Bioresour. Technol. 2019, 294, 122217. [Google Scholar] [CrossRef]
- Li, K.Q.; Chen, J.; Peng, J.H.; Ruan, R.; Orman, M.; Chen, G. Dielectric properties and thermal behaviour of electrolytic manganese anode mud in microwave field. J. Hazard. Mater. 2020, 381, 121227. [Google Scholar] [CrossRef]
- Li, K.Q.; Chen, J.; Peng, J.H.; Ruan, R.; Srinivasakannan, C.; Chen, G. Pilot-scale study on enhanced carbothermal reduction of low-grade pyrolusite using microwave heating. Powder. Technol. 2020, 360, 846–854. [Google Scholar] [CrossRef]
- Li, K.Q.; Jiang, Q.; Chen, G.; Gao, L.; Peng, J.H.; Chen, Q.; Koppala, S.; Omran, M.; Chen, J. Kinetics characteristics and microwave reduction behavior of walnut shell-pyrolusite blends. Bioresour. Technol. 2021, 319, 124172. [Google Scholar] [CrossRef] [PubMed]
- Liu, J.R.; Itoh, M.; Machida, K. Electromagnetic wave absorption properties of α-Fe/Fe3B/Y2O3 nanocomposites in gigahertz range. Appl. Phys. Lett. 2003, 83, 4017–4019. [Google Scholar] [CrossRef]
- Yin, Y.C.; Zeng, M.; Liu, J.; Tang, W.K.; Dong, H.R.; Xia, R.Z.; Yu, R.H. Enhanced high-frequency absorption of anisotropic Fe3O4/graphene nanocomposites. Sci. Rep. 2016, 6, 25075. [Google Scholar] [CrossRef]
- Ling, Y.Q.; Li, Q.N.; Zheng, H.W.; Omran, M.; Gao, L.; Chen, J.; Chen, G. Optimisation on the stability of CaO-doped partially stabilised zirconia by microwave heating. Ceram. Int. 2021, 47, 8067–8080. [Google Scholar] [CrossRef]
- Thostnson, E.T.; Chou, T.W. Microwave processing: Fundamentals and applications. Compos. Part A Appl. Sci. Manuf. 1999, 30, 1055–1071. [Google Scholar] [CrossRef]
- Li, K.Q.; Chen, J.; Peng, J.H.; Omran, M.; Chen, G. Efficient improvement for dissociation behavior and thermal decomposition of manganese ore by microwave calcination. J. Clean. Prod. 2020, 260, 121074. [Google Scholar] [CrossRef]
- Li, K.Q.; Jiang, Q.; Chen, J.; Peng, J.H.; Li, X.P.; Koppala, S.; Omran, M.; Chen, G. The controlled preparation and stability mechanism of partially stabilized zirconia by microwave intensification. Ceram. Int. 2020, 46, 7523–7530. [Google Scholar] [CrossRef]
- Guo, L.N.; Chen, J.; Zhao, J.; Lin, W.M.; Shi, W.L.; Liang, M. Solid-phase decarburization kinetics of high-carbon ferromanganese powders by microwave heating. J. Iron. Steel. Res. Int. 2015, 22, 311–316. [Google Scholar] [CrossRef]
- Gao, Z.F.; Li, L.S.; Wu, Z.J.; Shen, X.M.; Lu, H.H.; Su, S.H. Effects of microwave heating on pore fractal properties of blast furnace sludge. J. Iron. Steel. Res. Int. 2013, 20, 27–33. [Google Scholar] [CrossRef]













| Compositions | Zn | Fe | C | Si | CaO | Al2O3 |
|---|---|---|---|---|---|---|
| Mass (w%) | 24.74 | 21.66 | 9.14 | 2.66 | 4.1 | 2.22 |
| Compositions | Cl | S | Mg | Bi | Pb | In (g/t) |
| Mass (w%) | 2.94 | 1.39 | 1.14 | 0.97 | 1.13 | 354 |
| NO. | Reactions | NO. | Reactions |
|---|---|---|---|
| 1 | ZnO(s) + Fe2O3(s) = ZnFe2O4(s) | 2 | ZnO(s) + C(s) = Zn(g) + CO(g) |
| 3 | ZnO(s) + CO(g) = Zn(g) + CO2(g) | 4 | Zn2SiO4(s) + CaO(s) = 2ZnO(s) + CaSiO3(s) |
| 5 | Zn2SiO4(s) + 2C(s) = 2Zn(g) + SiO2(s) + 2CO(g) | 6 | ZnS(s) + CaO(s) = ZnO(s) + CaS(s) |
| 7 | ZnS(s) + CaO(s) + C(s) = Zn(g) + CaS(s) + CO(g) | 8 | 2ZnS(s) + 3O2(g) = 2ZnO(s) + 2SO2(g) |
| 9 | 3ZnFe2O4(s) + C(s) = 3ZnO(s) + 2Fe3O4(s) + CO(g) | 10 | ZnFe2O4(s) + 2C(s) = Zn(g) + 2FeO(s) + 2CO(g) |
| 11 | 3ZnFe2O4(s) + 4C(s) = 3Zn(g) + 2Fe3O4(s) + 4CO(g) | 12 | ZnFe2O4(s) + 4C(s) = Zn(g) + 2Fe(s) + 4CO(g) |
| 13 | ZnFe2O4(s) + 2CaO(s) = ZnO(s)+ Ca2Fe2O5 (s) | 14 | CaO(s) + CO2(g) = CaCO3(s) |
| Materials | Mass (g) | Thickness (mm) | Density (g/mm3) |
|---|---|---|---|
| ZnO | 0.1023 | 2.00 | 0.54 |
| ZnS | 0.6050 | 2.42 | 2.50 |
| ZnFe2O4 | 0.4998 | 1.89 | 2.65 |
| Fe3O4 | 0.5936 | 2.09 | 2.84 |
| KCl | 0.4359 | 2.18 | 2.00 |
| CaO | 0.4597 | 1.91 | 2.41 |
| CaO Addition Amounts | Mass(g) | Thickness(mm) | Density(g/mm3) |
|---|---|---|---|
| 0% | 0.5129 | 1.80 | 2.85 |
| 5% | 0.5882 | 2.08 | 2.83 |
| 10% | 0.6679 | 2.42 | 2.76 |
| 15% | 0.5930 | 2.20 | 2.70 |
| 20% | 0.6862 | 2.55 | 2.69 |
| 25% | 0.6095 | 2.35 | 2.59 |
Publisher’s Note: MDPI stays neutral with regard to jurisdictional claims in published maps and institutional affiliations. |
© 2022 by the authors. Licensee MDPI, Basel, Switzerland. This article is an open access article distributed under the terms and conditions of the Creative Commons Attribution (CC BY) license (https://creativecommons.org/licenses/by/4.0/).
Share and Cite
Ma, A.; Zheng, X.; Gao, L.; Li, K.; Omran, M.; Chen, G. Investigations on the Thermodynamics Characteristics, Thermal and Dielectric Properties of Calcium-Activated Zinc-Containing Metallurgical Residues. Materials 2022, 15, 714. https://doi.org/10.3390/ma15030714
Ma A, Zheng X, Gao L, Li K, Omran M, Chen G. Investigations on the Thermodynamics Characteristics, Thermal and Dielectric Properties of Calcium-Activated Zinc-Containing Metallurgical Residues. Materials. 2022; 15(3):714. https://doi.org/10.3390/ma15030714
Chicago/Turabian StyleMa, Aiyuan, Xuemei Zheng, Lei Gao, Kangqiang Li, Mamdouh Omran, and Guo Chen. 2022. "Investigations on the Thermodynamics Characteristics, Thermal and Dielectric Properties of Calcium-Activated Zinc-Containing Metallurgical Residues" Materials 15, no. 3: 714. https://doi.org/10.3390/ma15030714
APA StyleMa, A., Zheng, X., Gao, L., Li, K., Omran, M., & Chen, G. (2022). Investigations on the Thermodynamics Characteristics, Thermal and Dielectric Properties of Calcium-Activated Zinc-Containing Metallurgical Residues. Materials, 15(3), 714. https://doi.org/10.3390/ma15030714

