Role of ZnO Nanoparticles Loading in Modifying the Morphological, Optical, and Thermal Properties of Immiscible Polymer (PMMA/PEG) Blends
Abstract
1. Introduction
2. Experimental Section
2.1. Preparation of Nanocomposite Blends
2.2. Physiochemical Characterization
3. Results and Discussion
3.1. ZnO NP Loading Modifies the Polymer Blend Morphology
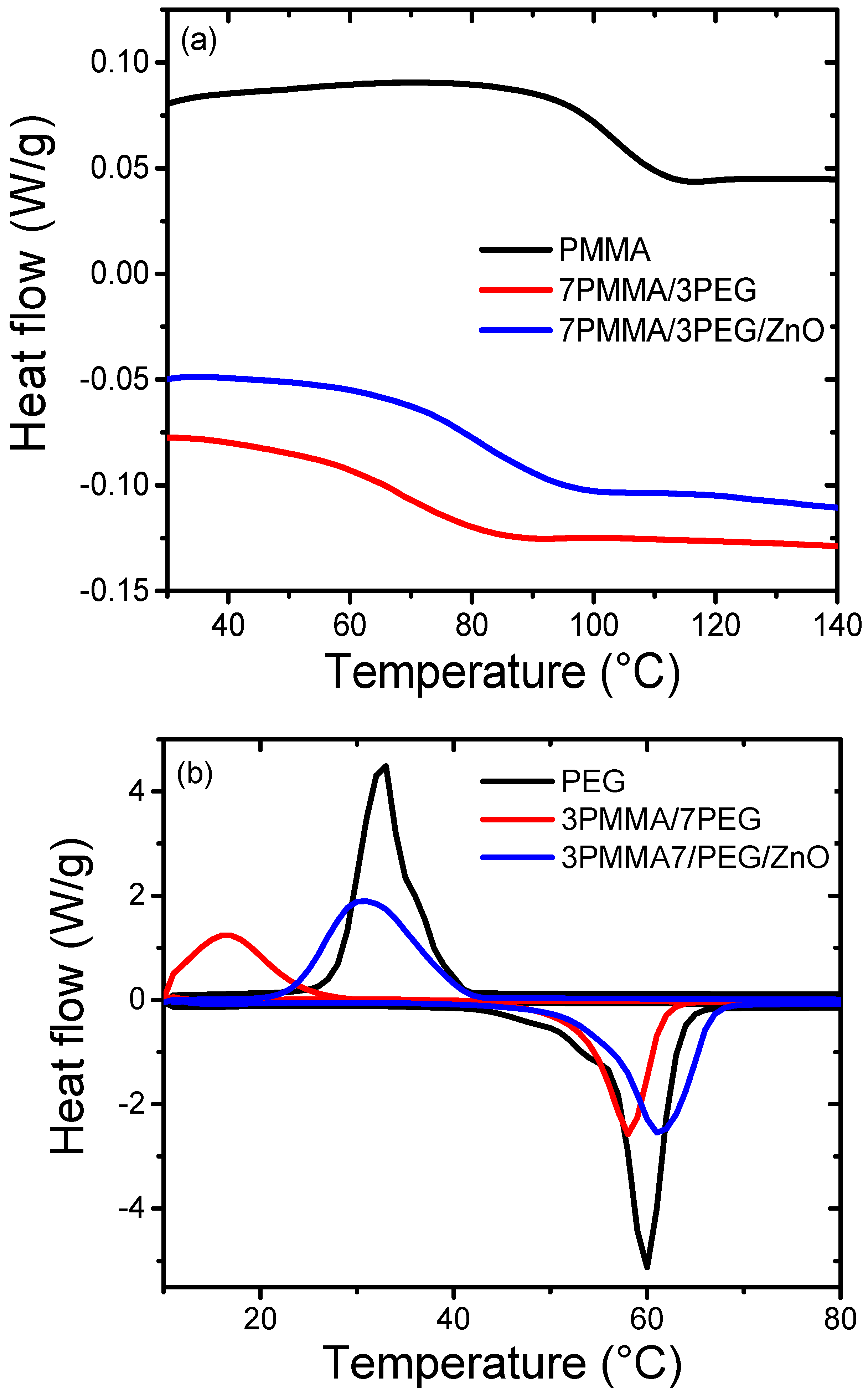
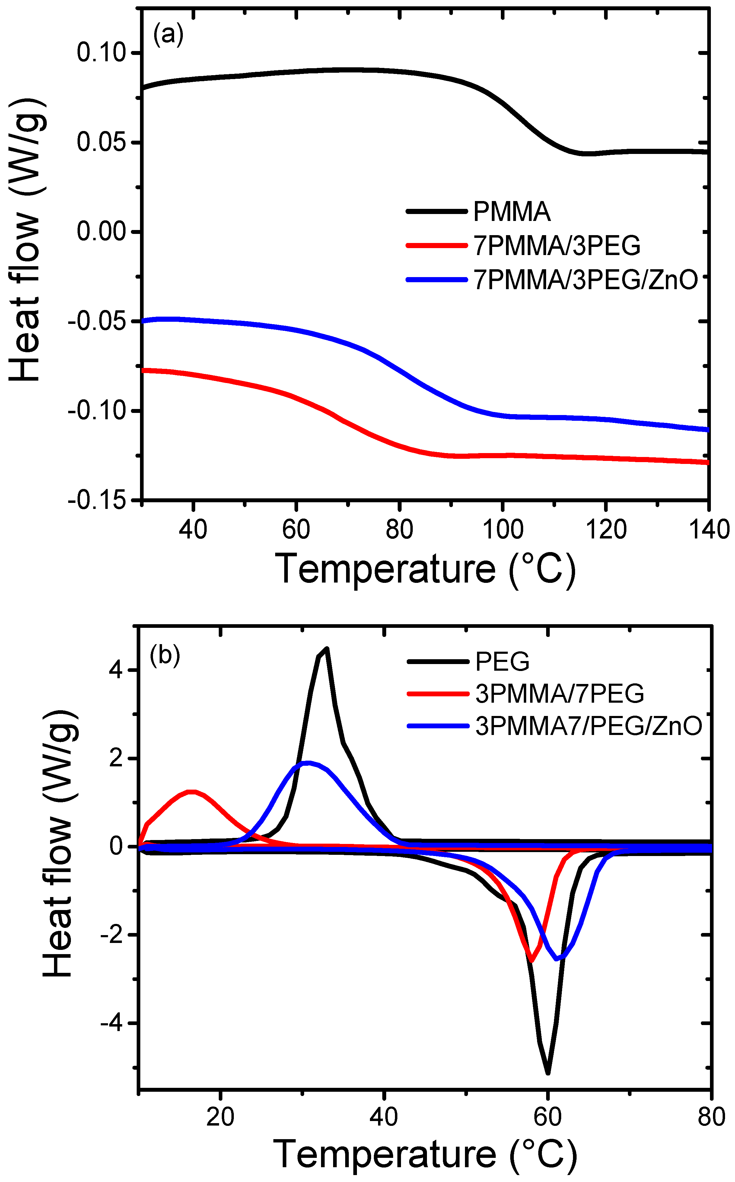
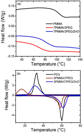
3.2. ZnO NP Loading Decreases the Polymer Blend Crystallinity
3.3. ZnO NP Loading Enhances the Bonding Structure of the Polymer Blends
3.4. ZnO NP loading Improves the Polymer Blend Optical Features
3.5. ZnO NP Loading Reduces the Polymer Blend Band Gap Energy
3.6. ZnO NP Loading Modulates the Polymer Blend Melting and Crystallization
3.7. ZnO NP Loading Increases the Polymer Blend Thermal Stability
4. Conclusions
Author Contributions
Funding
Institutional Review Board Statement
Informed Consent Statement
Data Availability Statement
Conflicts of Interest
References
- Zaghloul, M.M.Y.; Mohamed, Y.S.; El-Gamal, H. Fatigue and tensile behaviors of fiber-reinforced thermosetting composites embedded with nanoparticles. J. Compos. Mater. 2019, 53, 709–718. [Google Scholar] [CrossRef]
- Hammani, S.; Barhoum, A.; Nagarajan, S.; Bechelany, M. Toner waste powder (twp) as a filler for polymer blends (ldpe/hips) for enhanced electrical conductivity. Materials 2019, 12, 3062. [Google Scholar] [CrossRef]
- Hammani, S.; Moulai-Mostefa, N.; Samyn, P.; Bechelany, M.; Dufresne, A.; Barhoum, A. Morphology, rheology and crystallization in relation to the viscosity ratio of polystyrene/polypropylene polymer blends. Materials 2020, 13, 926. [Google Scholar] [CrossRef]
- Dhanapal, D.; Xiao, M.; Wang, S.; Meng, Y. A review on sulfonated polymer composite/organic-inorganic hybrid membranes to address methanol barrier issue for methanol fuel cells. Nanomaterials 2019, 9, 668. [Google Scholar] [CrossRef]
- Mohammed, G.; El Sayed, A.M.; El-Gamal, S. Effect of M nitrates on the optical, dielectric relaxation and porosity of PVC/PMMA membranes (M = Cd, Co, Cr or Mg). J. Inorg. Organomet. Polym. Mater. 2020, 30, 1306–1319. [Google Scholar] [CrossRef]
- Kumar, S.; Krishnakumar, B.; Sobral, A.J.; Koh, J. Bio-based (chitosan/PVA/ZnO) nanocomposites film: Thermally stable and photoluminescence material for removal of organic dye. Carbohydr. Polym. 2019, 205, 559–564. [Google Scholar] [CrossRef] [PubMed]
- Ahmed, H.; Abduljalil, H.M.; Hashim, A. Structural, optical and electronic properties of novel (PVA–MgO)/SiC nanocomposites films for humidity sensors. Trans. Electr. Electron. Mater. 2019, 20, 218–232. [Google Scholar] [CrossRef]
- Essawy, H.A.; El-Sabbagh, S.H.; Tawfik, M.E.; Van Assche, G.; Barhoum, A. Assessment of provoked compatibility of NBR/SBR polymer blend with montmorillonite amphiphiles from the thermal degradation kinetics. Polym. Bull. 2018, 75, 1417–1430. [Google Scholar] [CrossRef]
- Zaghloul, M.M.Y.; Zaghloul, M.Y.M.; Zaghloul, M.M.Y. Experimental and modeling analysis of mechanical-electrical behaviors of polypropylene composites filled with graphite and MWCNT fillers. Polym. Test. 2017, 63, 467–474. [Google Scholar] [CrossRef]
- Rybak, A.; Boiteux, G.; Melis, F.; Seytre, G. Conductive polymer composites based on metallic nanofiller as smart materials for current limiting devices. Compos. Sci. Technol. 2010, 70, 410–416. [Google Scholar] [CrossRef]
- Huang, S.; Bai, L.; Trifkovic, M.; Cheng, X.; Macosko, C.W. Controlling the morphology of immiscible cocontinuous polymer blends via silica nanoparticles jammed at the interface. Macromolecules 2016, 49, 3911–3918. [Google Scholar] [CrossRef]
- Shah, V.; Bhaliya, J.; Patel, G.M.; Deshmukh, K. Advances in polymeric nanocomposites for automotive applications: A review. Polym. Adv. Technol. 2022, 33, 3023–3048. [Google Scholar] [CrossRef]
- Hamimed, S.; Abdeljelil, N.; Landoulsi, A.; Chatti, A.; Aljabali, A.A.; Barhoum, A. Bacterial cellulose nanofibers: Biosynthesis, unique properties, modification, and emerging applications. In Handbook of Nanocelluloses: Classification, Properties, Fabrication, and Emerging Applications; Springer: Berlin/Heidelberg, Germany, 2022; pp. 1–38. [Google Scholar]
- Mahmoud Zaghloul, M.Y.; Yousry Zaghloul, M.M.; Yousry Zaghloul, M.M. Developments in polyester composite materials—An in-depth review on natural fibres and nano fillers. Compos. Struct. 2021, 278, 114698. [Google Scholar] [CrossRef]
- Natrayan, L.; Kaliappan, S.; Baskara Sethupathy, S.; Sekar, S.; Patil, P.P.; Raja, S.; Velmurugan, G.; Abdeta, D.B. Investigation on Interlaminar Shear Strength and Moisture Absorption Properties of Soybean Oil Reinforced with Aluminium Trihydrate-Filled Polyester-Based Nanocomposites. J. Nanomater. 2022, 2022, 7588699. [Google Scholar] [CrossRef]
- Meftahi, A.; Samyn, P.; Geravand, S.A.; Khajavi, R.; Alibkhshi, S.; Bechelany, M.; Barhoum, A. Nanocelluloses as skin biocompatible materials for skincare, cosmetics, and healthcare: Formulations, regulations, and emerging applications. Carbohydr. Polym. 2022, 278, 118956. [Google Scholar] [CrossRef] [PubMed]
- Badawi, A. Engineering the optical properties of PVA/PVP polymeric blend in situ using tin sulfide for optoelectronics. Appl. Phys. A 2020, 126, 1–12. [Google Scholar] [CrossRef]
- Shankar, S.; Rhim, J.-W. Effect of types of zinc oxide nanoparticles on structural, mechanical and antibacterial properties of poly (lactide)/poly (butylene adipate-co-terephthalate) composite films. Food Packag. Shelf Life 2019, 21, 100327. [Google Scholar] [CrossRef]
- Yong, L.; Qiuhua, M.; Huang, C.; Guoqin, L. Crystallization of poly (ethylene glycol) in poly (methyl methacrylate) networks. Mater. Sci. 2013, 19, 147–151. [Google Scholar]
- Shinzawa, H.; Mizukado, J.; Kazarian, S.G. Fourier transform infrared (FT-IR) spectroscopic imaging analysis of partially miscible PMMA–PEG blends using two-dimensional disrelation mapping. Appl. Spectrosc. 2017, 71, 1189–1197. [Google Scholar] [CrossRef]
- Bashal, A.H.; Riyadh, S.M.; Alharbi, W.; Alharbi, K.H.; Farghaly, T.A.; Khalil, K.D. Bio-Based (Chitosan-ZnO) Nanocomposite: Synthesis, Characterization, and Its Use as Recyclable, Ecofriendly Biocatalyst for Synthesis of Thiazoles Tethered Azo Groups. Polymers 2022, 14, 386. [Google Scholar] [CrossRef]
- Balakrishnan, S.B.; Alam, M.; Ahmad, N.; Govindasamy, M.; Kuppu, S.; Thambusamy, S. Electrospinning nanofibrous graft preparation and wound healing studies using ZnO nanoparticles and glucosamine loaded with poly (methyl methacrylate)/polyethylene glycol. New J. Chem. 2021, 45, 7987–7998. [Google Scholar] [CrossRef]
- Al-Hussam, A.; AL-Gunaid, M.Q.; Aqeel, S.M. Thermal and electrical behaviors of PMMA/PEG/LiCO4/MWNTs blend polymer electrolyte nanocomposites. Int. J. Sci. Technol. Eng. Technol. Res. 2018, 7, 796–804. [Google Scholar]
- Aga, K.W.; Efa, M.T.; Beyene, T.T. Effects of Sulfur Doping and Temperature on the Energy Bandgap of ZnO Nanoparticles and Their Antibacterial Activities. ACS Omega 2022, 7, 10796–10803. [Google Scholar] [CrossRef] [PubMed]
- Turky, A.O.; Barhoum, A.; MohamedRashad, M.; Bechlany, M. Enhanced the structure and op-tical properties for ZnO/PVP nanofibers fabricated via electrospinning technique. J. Mater. Sci. Mater. Electron. 2017, 28, 17526–17532. [Google Scholar] [CrossRef]
- Jeevanandam, J.; Kiew, S.F.; Boakye-Ansah, S.; Lau, S.Y.; Barhoum, A.; Danquah, M.K.; Ro-drigues, J. Green approaches for the synthesis of metal and metal oxide nanoparticles using micro-bial and plant extracts. Nanoscale 2022, 14, 2534–2571. [Google Scholar] [CrossRef]
- Barhoum, A.; van Assche, G.; Rahier, H.; Fleisch, M.; Bals, S.; Delplancked, M.-P.; Leroux, F.; Bahnemann, D. Sol-gel hot injection synthesis of ZnO nanoparticles into a porous silica matrix and reaction mechanism. Mater. Des. 2017, 119, 270–276. [Google Scholar] [CrossRef]
- Gherbi, B.; Laouini, S.E.; Meneceur, S.; Bouafia, A.; Hemmami, H.; Tedjani, M.L.; Thiripuranathar, G.; Barhoum, A.; Menaa, F. Effect of pH Value on the Bandgap Energy and Particles Size for Bio-synthesis of ZnO Nanoparticles: Efficiency for Photocatalytic Adsorption of Methyl Orange. Sustainability 2022, 14, 11300. [Google Scholar] [CrossRef]
- Barhoum, A.; Melcher, J.; Van Assche, G.; Rahier, H.; Bechelany, M.; Fleisch, M.; Bahnemann, D. Synthesis, growth mechanism, and photocatalytic activity of Zinc oxide nanostructures: Porous microparticles versus nonporous nanoparticles. J. Mater. Sci. 2017, 52, 2746–2762. [Google Scholar] [CrossRef]
- Barhoum, A.; García-Betancourt, M.L.; Rahier, H.; Van Assche, G. Physicochemical characterization of nanomaterials: Polymorph, composition, wettability, and thermal stability. In Emerging Applications of Nanoparticles and Architecture Nanostructures; Elsevier: Amsterdam, The Netherlands, 2018; pp. 255–278. [Google Scholar]
- Zhang, W.; Zhang, X. Study on surface structure and properties of PMMA/PEG copolymer coatings. Mater. Res. Innov. 2014, 18, S2-1028–S2-1033. [Google Scholar] [CrossRef]
- Sarı, A.; Alkan, C.; Karaipekli, A.; Uzun, O. Poly (ethylene glycol)/poly (methyl methacrylate) blends as novel form-stable phase-change materials for thermal energy storage. J. Appl. Polym. Sci. 2010, 116, 929–933. [Google Scholar]
- Patel, M.; Mishra, S.; Verma, R.; Shikha, D. Synthesis of ZnO and CuO nanoparticles via Sol gel method and its characterization by using various technique. Discov. Mater. 2022, 2, 1–11. [Google Scholar] [CrossRef]
- Jayaramudu, T.; Raghavendra, G.M.; Varaprasad, K.; Reddy, G.V.S.; Reddy, A.B.; Sudhakar, K.; Sadiku, E.R. Preparation and characterization of poly (ethylene glycol) stabilized nano silver particles by a mechanochemical assisted ball mill process. J. Appl. Polym. Sci. 2016, 133. [Google Scholar] [CrossRef]
- Singhal, A.; Dubey, K.; Bhardwaj, Y.; Jain, D.; Choudhury, S.; Tyagi, A. UV-shielding transparent PMMA/In2O3 nanocomposite films based on In2O3 nanoparticles. RSC Adv. 2013, 3, 20913–20921. [Google Scholar] [CrossRef]
- Abutalib, M.M.; Rajeh, A. Influence of MWCNTs/Li-doped TiO2 nanoparticles on the structural, thermal, electrical and mechanical properties of poly (ethylene oxide)/poly (methylmethacrylate) composite. J. Organomet. Chem. 2020, 918, 121309. [Google Scholar] [CrossRef]
- Jabeen, S.; Gul, S.; Kausar, A.; Muhammad, B.; Farooq, M. An innovative approach to the synthesis of PMMA/PEG/Nanobifiller filled nanocomposites with enhanced mechanical and thermal properties. Polym.-Plast. Technol. Mater. 2019, 58, 427–442. [Google Scholar] [CrossRef]
- Sharma, B.K.; Khare, N.; Dhawan, S.; Gupta, H. Dielectric properties of nano ZnO-polyaniline composite in the microwave frequency range. J. Alloys Compd. 2009, 477, 370–373. [Google Scholar] [CrossRef]
- Zhour, K. Elaboration et Caractérisation des nanopoudres de ZnO par Voie Chimique Sol-gel. Master’s Thesis, Université Med Khider Biskra, Biskra, Algeria, 2014. [Google Scholar]
- Abutalib, M.; Rajeh, A. Influence of ZnO/Ag nanoparticles doping on the structural, thermal, optical and electrical properties of PAM/PEO composite. Phys. B Condens. Matter 2020, 578, 411796. [Google Scholar] [CrossRef]
- Zidan, H.; Abu-Elnader, M. Structural and optical properties of pure PMMA and metal chloride-doped PMMA films. Phys. B Condens. Matter 2005, 355, 308–317. [Google Scholar] [CrossRef]
- Shi, L.; Shan, J.; Ju, Y.; Aikens, P.; Prud’homme, R.K. Nanoparticles as delivery vehicles for sunscreen agents. Colloids Surf. A Physicochem. Eng. Asp. 2012, 396, 122–129. [Google Scholar] [CrossRef]
- Agarwal, S.; Saraswat, V.K. Structural and optical characterization of ZnO doped PC/PS blend nanocomposites. Opt. Mater. 2015, 42, 335–339. [Google Scholar] [CrossRef]
- Arfat, Y.A.; Ahmed, J.; Al Hazza, A.; Jacob, H.; Joseph, A. Comparative effects of untreated and 3-methacryloxypropyltrimethoxysilane treated ZnO nanoparticle reinforcement on properties of polylactide-based nanocomposite films. Int. J. Biol. Macromol. 2017, 101, 1041–1050. [Google Scholar] [CrossRef]
- Alsaad, A.; Al Dairy, A.R.; Ahmad, A.; Al-anbar, A.S.; Al-Bataineh, Q.M. Synthesis and characterization of as-grown doped polymerized (PMMA-PVA)/ZnO NPs hybrid thin films. Polym. Bull. 2022, 79, 2019–2040. [Google Scholar] [CrossRef]
- Mohammed, M. Optical properties of ZnO nanoparticles dispersed in PMMA/PVDF blend. J. Mol. Struct. 2018, 1169, 9–17. [Google Scholar] [CrossRef]
- Ramasamy, V.; Anand, P.; Suresh, G. Synthesis and characterization of polymer-mediated CaCO3 nanoparticles using limestone: A novel approach. Adv. Powder Technol. 2018, 29, 818–834. [Google Scholar] [CrossRef]
- Li, F.J.; Zhang, S.D.; Liang, J.Z.; Wang, J.Z. Effect of polyethylene glycol on the crystallization and impact properties of polylactide-based blends. Polym. Adv. Technol. 2015, 26, 465–475. [Google Scholar] [CrossRef]
- Ahmed, J.; Arfat, Y.A.; Castro-Aguirre, E.; Auras, R. Mechanical, structural and thermal properties of Ag–Cu and ZnO reinforced polylactide nanocomposite films. Int. J. Biol. Macromol. 2016, 86, 885–892. [Google Scholar] [CrossRef]
- Barhoum, A.; Van Lokeren, L.; Rahier, H.; Dufresne, A.; Van Assche, G. Roles of in situ surface modification in controlling the growth and crystallization of CaCO3 nanoparticles, and their dispersion in polymeric materials. J. Mater. Sci. 2015, 50, 7908–7918. [Google Scholar] [CrossRef]
- Alsulami, Q.A.; Rajeh, A. Structural, thermal, optical characterizations of polyaniline/polymethyl methacrylate composite doped by titanium dioxide nanoparticles as an application in optoelectronic devices. Opt. Mater. 2022, 123, 111820. [Google Scholar] [CrossRef]
- Hammani, S.; Barhoum, A.; Bechelany, M. Fabrication of PMMA/ZnO nanocomposite: Effect of high nanoparticles loading on the optical and thermal properties. J. Mater. Sci. 2018, 53, 1911–1921. [Google Scholar] [CrossRef]
- Wu, W.; Wu, C.; Peng, H.; Sun, Q.; Zhou, L.; Zhuang, J.; Cao, X.; Roy, V.; Li, R.K. Effect of nitrogen-doped graphene on morphology and properties of immiscible poly (butylene succinate)/polylactide blends. Compos. Part B Eng. 2017, 113, 300–307. [Google Scholar] [CrossRef]









| Sample | PMMA (wt%) | PEG (wt%) | ZnO NPs (wt%) |
|---|---|---|---|
| 7PMMA/3PEG | 70 | 30 | 0 |
| 3PMMA/7PEG | 30 | 70 | 0 |
| 7PMMA/3PEG/ZnO | 70 | 30 | 5 |
| 3PMMA/7PEG/ZnO | 30 | 70 | 5 |
| Sample | 7PMMA/3PEG | 7PMMA/3PEG/ZnO | ||
|---|---|---|---|---|
| Elements | Weight (%) | Atomic (%) | Weight (%) | Atomic (%) |
| Carbon (C), K | 83.93 | 87.43 | 82.37 | 87.18 |
| Oxygen (O), K | 16.07 | 12.57 | 15.66 | 0.38 |
| Zinc (Zn) | - | - | 1.98 | 12.44 |
| Total | 100 | 100 | 100 | 100 |
| Samples | Second and Third Heating Scan | |||||
|---|---|---|---|---|---|---|
| Tg (°C) | Tc (°C) | Tm (°C) | ∆Hc (J/g) | ∆Hm (J/g) | Crystallization Rate (%) | |
| PMMA | 102 ± 1 | -- | -- | -- | -- | -- |
| PEG | -- | 32 ± 2 | 59 ± 2 | 157 ± 3 | 162 ± 3 | 85 ± 3 |
| 7PMMA/3PEG | 67 ± 2 | -- | -- | -- | -- | -- |
| 3PMMA/7PEG | -- | 16 ± 3 | 58 ± 1 | 34 ± 2 | 91 ± 2 | 48 ± 4 |
| 7PMMA/3PEG/ZnO | 81 ± 1 | -- | -- | -- | -- | -- |
| 3PMMA/7PEG/ZnO | -- | 30 ± 1 | 60 ± 2 | 118 ± 3 | 119 ± 1 | 63 ± 2 |
| Samples | PMMA | PEG | 7PMMA/3PEG | 3PMMA/7PEG | 7PMMA/3PEG/ZnO | 3PMMA/7PEG/ZnO |
|---|---|---|---|---|---|---|
| T10% (°C) | 338 ± 3 | 352 ± 2 | 326 ± 3 | 318 ± 4 | 352 ± 3 | 344 ± 2 |
| T50% (°C) | 371 ± 2 | 380 ± 3 | 359 ± 4 | 361 ± 4 | 381 ± 2 | 373 ± 3 |
| Tmax (°C) | 374 ± 1 | 380 ± 3 | 359 ± 3 | 361 ± 2 | 381 ± 1 | 386 ± 2 |
| Residue (%) | 0.10 ± 0.01 | 0.39 ± 0.02 | 0.15 ± 0.02 | 0.52 ± 0.03 | 2.2 ± 0.05 | 1.88 ± 0.02 |
Publisher’s Note: MDPI stays neutral with regard to jurisdictional claims in published maps and institutional affiliations. |
© 2022 by the authors. Licensee MDPI, Basel, Switzerland. This article is an open access article distributed under the terms and conditions of the Creative Commons Attribution (CC BY) license (https://creativecommons.org/licenses/by/4.0/).
Share and Cite
Hammani, S.; Daikhi, S.; Bechelany, M.; Barhoum, A. Role of ZnO Nanoparticles Loading in Modifying the Morphological, Optical, and Thermal Properties of Immiscible Polymer (PMMA/PEG) Blends. Materials 2022, 15, 8453. https://doi.org/10.3390/ma15238453
Hammani S, Daikhi S, Bechelany M, Barhoum A. Role of ZnO Nanoparticles Loading in Modifying the Morphological, Optical, and Thermal Properties of Immiscible Polymer (PMMA/PEG) Blends. Materials. 2022; 15(23):8453. https://doi.org/10.3390/ma15238453
Chicago/Turabian StyleHammani, Salim, Sihem Daikhi, Mikhael Bechelany, and Ahmed Barhoum. 2022. "Role of ZnO Nanoparticles Loading in Modifying the Morphological, Optical, and Thermal Properties of Immiscible Polymer (PMMA/PEG) Blends" Materials 15, no. 23: 8453. https://doi.org/10.3390/ma15238453
APA StyleHammani, S., Daikhi, S., Bechelany, M., & Barhoum, A. (2022). Role of ZnO Nanoparticles Loading in Modifying the Morphological, Optical, and Thermal Properties of Immiscible Polymer (PMMA/PEG) Blends. Materials, 15(23), 8453. https://doi.org/10.3390/ma15238453

