Design and Preparation of Double-Harmonic Piezoelectric Composite Lamination
Abstract
1. Introduction
2. The Structure of Double-Harmonic Piezoelectric Composite Lamination
3. Finite Element Simulation Analysis
3.1. Simulation Analysis of Double-Harmonic Piezoelectric Composite Lamination
3.2. Simulation Analysis of Improved Double-Harmonic Piezoelectric Composite Lamination
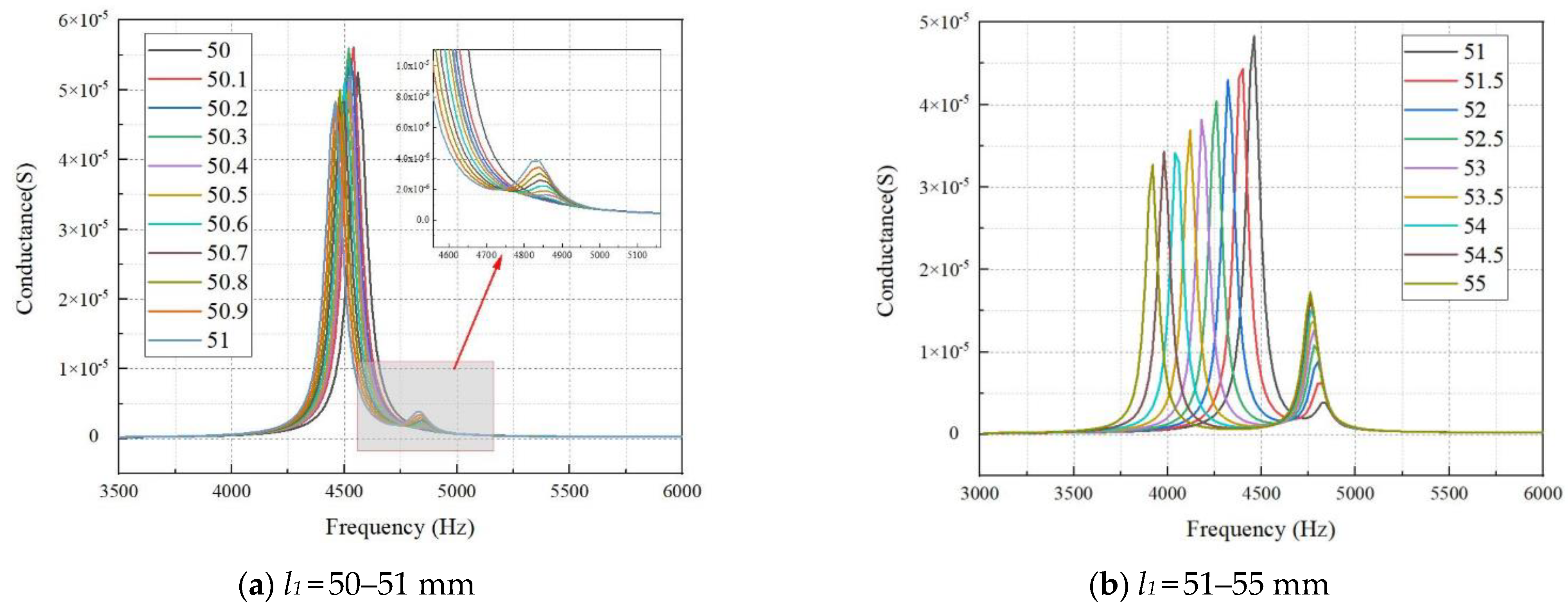
4. Experimental Preparation and Performance Testing of Double-Harmonic Piezoelectric Composite Lamination
- (1)
- A block of 5 mm-thickness piezoelectric ceramic PZT-5A is selected and carved into a non-equal shape using a CNC engraving machine.
- (2)
- The carved ceramic is cut, but the substrate is retained.
- (3)
- The silicone rubber is infused into the slit of the cut piezoelectric ceramic.
- (4)
- The previously retained substrate is removed, but the positive electrode is retained.
- (5)
- The two polished positive surfaces of the ceramic are bonded with epoxy resin.
- (6)
- The magnetron sputterer is used to sputter the two negative surfaces without electrodes on the top and bottom.
5. Discussion
6. Conclusions
Author Contributions
Funding
Institutional Review Board Statement
Informed Consent Statement
Data Availability Statement
Conflicts of Interest
References
- Luan, G.D.; Zhang, J.D.; Wang, R.Q. Piezoelectric Transducers and Arrays, revised ed.; Peking University Press: Beijing, China, 2005; pp. 172–175. [Google Scholar]
- Aronov, B.S. Nonuniform Piezoelectric Circular plate Flexural Transducers with Underwater Applications. Acoust. Soc. Am. 2015, 138, 1570. [Google Scholar] [CrossRef] [PubMed]
- Zhang, N.N. Research on Flexural Vibration Characteristics of Trilaminar Piezoelectric Transducers. Tech. Acoust. 2017, 36, 383–389. [Google Scholar]
- Zheng, L.; Lin, W.J.; Wang, D. The Design of Sandwich Dipole Transducer Based on Finite Element Method. Well Logging Technol. 2009, 33, 106–109. [Google Scholar]
- Xu, Y.F.; Zhou, T.F.; Lan, Y. Research on the Low-Frequency Curved Hydrophone. Appl. Sci. Technol. 2020, 47, 99–104. [Google Scholar]
- Wang, Z.M. Development of a New Kind of Non-Contact Metal-Ceramic Fluid AE Sensor. Chin. J. Sens. Actuators 2006, 3, 851–853+868. [Google Scholar]
- Yuan, J.W. The Research of Low Frequency Bender Transmit Transducer. Master’s Thesis, Harbin Engineering University, Harbin, China, 2015. [Google Scholar]
- Liu, X.; Wang, L.K.; Zhong, C.; Zhang, Y.J.; Hao, S.H.; Sun, R.Q. Piezoelectric Composite Vibrator with a Bilaminated Structure for Bending Vibration. Appl. Sci. 2019, 9, 4191. [Google Scholar] [CrossRef]
- Lv, N.; Zhong, C.; Wang, L.K. Bending vibration characteristics of the piezoelectric composite double laminated vibrator. Ceram. Int. 2021, 47, 31259–31267. [Google Scholar] [CrossRef]
- Lv, N.; Zhong, C.; Wang, J.C.; Wang, L.K. Bending Vibration Characteristics of a Novel Piezoelectric Composite Trilaminar Vibrator. Materials 2021, 14, 3661. [Google Scholar] [CrossRef] [PubMed]
- Chen, C.; Wang, S.; Tian, H.; Lin, S.Y. Study on the bending vibration of bimorph rectangular transducer based on type 2-2 piezoelectric composites. Ultrasonics 2021, 117, 106546. [Google Scholar] [CrossRef] [PubMed]
- Seung, J.K.; Jin, H.K. Finite element analysis of laminated composites with contact constraint by extended interior penalty methods. Int. J. Numer. Methods Eng. 1993, 36, 3421–3439. [Google Scholar]
- Zhong, C. Research on Three-Phase Piezocomposite and Curved Surface Transducer. Ph.D. Thesis, Beijing University of Posts and Telecommunications, Beijing, China, 2019. [Google Scholar]
- Sun, R.Q.; Wang, L.K.; Zhang, Y.J.; Zhong, C. Characterization of 1-3 Piezoelectric Composite with a 3-Tier Polymer Structure. Materials 2020, 13, 397. [Google Scholar] [CrossRef] [PubMed]
- Wang, J.C.; Zhong, C.; Hao, S.H.; Wang, L.K. Design and Properties Analysis of Novel Modified 1-3 Piezoelectric Composite. Materials 2021, 14, 1749. [Google Scholar] [CrossRef] [PubMed]
- Wang, H.W.; Li, Y.; Hui, H.; Rong, T. Analysis of electromechanical characteristics of the 1-3-2 piezoelectric composite and 1-3-2 modified structural material. Ceram. Int. 2022, 48, 22323–22334. [Google Scholar] [CrossRef]











| Parameter | PZT-5A | Silicone Rubber |
|---|---|---|
| ρ (kg/m3) | 7750 | 1050 |
| cE11 (1010 N/m2) | 12.1 | 0.004 |
| cE12 (1010 N/m2) | 7.54 | 0.0023 |
| cE13 (1010 N/m2) | 7.52 | / |
| cE33 (1010 N/m2) | 11.1 | / |
| sE11 (10−12 m2/N) | 16.4 | 4 × 105 |
| sE12 (10−12 m2/N) | −5.74 | 2.3 × 105 |
| sE13 (10−12 m2/N) | −7.22 | / |
| sE33 (10−12 m2/N) | 18.8 | / |
| d31 (10−12 C/N) | −171 | / |
| d33 (10−12 C/N) | 470 | / |
| e31 (C/m2) | −5.4 | / |
| e33 (C/m2) | 15.8 | / |
| εS33/ε0 | 830 | 3.3 |
| εT33/ε0 | 1700 | 3.3 |
Publisher’s Note: MDPI stays neutral with regard to jurisdictional claims in published maps and institutional affiliations. |
© 2022 by the authors. Licensee MDPI, Basel, Switzerland. This article is an open access article distributed under the terms and conditions of the Creative Commons Attribution (CC BY) license (https://creativecommons.org/licenses/by/4.0/).
Share and Cite
Sun, C.; Zhong, C.; Wang, L.; Qin, L. Design and Preparation of Double-Harmonic Piezoelectric Composite Lamination. Materials 2022, 15, 7959. https://doi.org/10.3390/ma15227959
Sun C, Zhong C, Wang L, Qin L. Design and Preparation of Double-Harmonic Piezoelectric Composite Lamination. Materials. 2022; 15(22):7959. https://doi.org/10.3390/ma15227959
Chicago/Turabian StyleSun, Chao, Chao Zhong, Likun Wang, and Lei Qin. 2022. "Design and Preparation of Double-Harmonic Piezoelectric Composite Lamination" Materials 15, no. 22: 7959. https://doi.org/10.3390/ma15227959
APA StyleSun, C., Zhong, C., Wang, L., & Qin, L. (2022). Design and Preparation of Double-Harmonic Piezoelectric Composite Lamination. Materials, 15(22), 7959. https://doi.org/10.3390/ma15227959

