On the Solution of Thermal Buckling Problem of Moderately Thick Laminated Conical Shells Containing Carbon Nanotube Originating Layers
Abstract
:1. Introduction
2. Theoretical Development
2.1. Formulation of Problem
2.2. Material Properties of Nanocomposite Layers
3. Basic Relations and Equations
4. Solution Procedure
5. Results and Discussion
5.1. Comparative Studies
5.2. Thermal Buckling Analysis
6. Conclusions
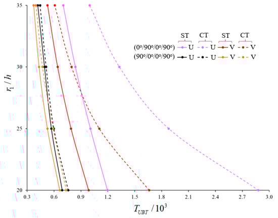
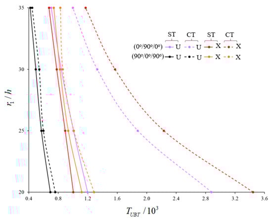
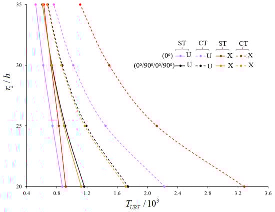
- (a)
- The magnitudes of the UBT slightly decrease in the framework of both theories, while the corresponding numbers of circumferential waves vary depending on the number and arrangement of the layers as increments.
- (b)
- When the UBT values for all arrays of laminated conical shells are compared, although almost the same results are obtained for the Par-and Cos-Hyp-TSS functions, the magnitudes of UBT for U-TSS function are different for some layer arrays.
- (c)
- The difference between the UBT values at Par- and U-TSS functions is more pronounced, especially in the laminated conical shells starting with the (0°)-array.
- (d)
- When the Par- and U-TSS functions are used, the least difference between the UBT values occurs in the (90°/0°/90°)-array conical shell, followed by the (90°/0°/0°/90°)-array conical shell.
- (e)
- While the effect of shear deformations on the UBT values in three- and four-layer shells decreases significantly compared to single-layer shells, it is more pronounced in shells starting with the array starting 90°.
- (f)
- The largest and lowest pattern effects on UBT values occur in the (90°/0°/90°)-array cones consisting of X-shaped layers.
- (g)
- When the ratio increases, the effects of the heterogeneity on the buckling temperature of cones consisting of V-, O-, and X-shaped layers are changed significantly compared to U-pattern laminated cones, and those effects differ according to the arrangement and number of the layers.
- (h)
- A significant decrease is observed in the effect of shear stresses on the UBT when the ratio increases.
- (i)
- Among the five laminated shells, the highest shear stress effect on the UBT occurs in the (0°/90°/0°)-array shell with the X-shaped layers, while the weakest effect occurs in the (90°/0°/90°)-sequence shell.
- (j)
- The use of laminated conical shells reduces the effects of shear stresses on the UBT compared to (0°)-single-layer shells.
- (k)
- Depending on the increase of the ratio, the effect of arrangement and number of layers on the UBT shows significant changes compared to the (0)-single-layer shell.
Author Contributions
Funding
Institutional Review Board Statement
Informed Consent Statement
Data Availability Statement
Conflicts of Interest
Appendix A
Appendix B
Appendix C
References
- Ambartsumian, S.A. General Theory of Anisotropic Shells; Nauka: Moscow, Russia, 1974. (In Russian) [Google Scholar]
- Bolotin, V.V.; Novichkov, Y.N. Mechanics of Multilayer Structures; Mashinostroenie: Moscow, Russia, 1980. (In Russian) [Google Scholar]
- Reddy, J.N. Mechanics of Laminated Composite Plates and Shells; CRC Press: Boca Raton, FL, USA, 2004. [Google Scholar]
- Carrera, E. A Priori Vs. A Posteriori Evaluation of Transverse Stresses in Multilayered Orthotropic Plates. Compos. Struct. 2000, 48, 245–260. [Google Scholar] [CrossRef]
- Aydogdu, M. A New Shear Deformation Theory for Laminated Composite Plates. Compos. Struct. 2009, 89, 94–101. [Google Scholar] [CrossRef]
- Viola, E.; Tornabene, F.; Fantuzzi, N. General Higher-Order Shear Deformation Theories for the Free Vibration Analysis of Completely Doubly-Curved Laminated Shells and Panels. Compos. Struct. 2013, 95, 639–666. [Google Scholar] [CrossRef]
- Chang, J.S.; Chiu, W.C. Thermal Buckling Analysis of Antisymmetric Laminated Cylindrical-Shell Panels. Int. J. Solids Struct. 1991, 27, 1295–1309. [Google Scholar]
- Singh, B.N.; Babu, J.B. Thermal Buckling of Laminated Conical Shells Embedded with and without Piezoelectric Layer. J. Reınf. Plast. Compos. 2009, 28, 791–812. [Google Scholar] [CrossRef]
- Hetnarski, R.B.; Eslami, M.R.; Gladwell, G.M.L. Thermal Stresses: Advanced Theory and Applications; Springer: Berlin/Heidelberg, Germany, 2009; Volume 41, pp. 227–231. [Google Scholar]
- Jinqiang, L.; Yoshihiro, N.; Zhihua, W. The Effects of Non-Uniform Temperature Distribution and Locally Distributed Aniso-tropic Properties on Thermal Buckling of Laminated Panels. Compos. Struct. 2015, 119, 610–619. [Google Scholar]
- Bhagat, V.S.; Pitchaimani, J.; Murigendrappa, S.M. Buckling and Dynamic Characteristics of a Laminated Cylindrical Panel under Non-Uniform Thermal Load. Steel Compos. Struct. 2016, 22, 1359–1389. [Google Scholar] [CrossRef]
- Katariya, P.V.; Panda, S.K. Thermal Buckling and Vibration Analysis of Laminated Composite Curved Shell Panel. Aircr. Eng. Aerosp. Technol. 2016, 88, 97–107. [Google Scholar] [CrossRef]
- Abouelregal, A.E.; Saidi, A.; Sedighi, H.M.; Shirazi, A.H.; Sofiyev, A.H. Thermoelastic Behavior of an Isotropic Solid Sphere Under a Non-Uniform Heat Flow According to the MGT Thermoelastic Model. J. Therm. Stress. 2022, 45, 12–29. [Google Scholar] [CrossRef]
- Dresselhaus, M.S.; Dresselhaus, G.; Eklund, P.C. Science of Fullerenes and Carbon Nanotubes: Their Properties and Applications; Elsevier: Amsterdam, The Netherlands, 1996. [Google Scholar]
- Duong, H.M.; Gong, F.; Liu, P.; Tran, T.Q. Advanced Fabrication and Properties of Aligned Carbon Nanotube Composites: Experiments and Modeling. In Carbon Nanotubes—Current Progress of Their Polymer Composites 2016; Berber, M.R., Hafez, I.H., Eds.; InTech: London, UK, 2016; ISBN 978-953-51-2470-2. [Google Scholar]
- Kumar, A.; Sharma, K.; Dixit, A.R. Carbon Nanotube- and Graphene-Reinforced Multiphase Polymeric Composites: Review on Their Properties and Applications. J. Mater. Sci. 2020, 55, 2682–2724. [Google Scholar] [CrossRef]
- Tornabene, F.; Bacciocchi, M.; Fantuzzi, N.; Reddy, J.N. Multiscale Approach for Three-Phase CNT/Polymer/Fiber Laminated Nanocomposite Structures. Polym. Compos. 2019, 40, 102–126. [Google Scholar] [CrossRef]
- Zhang, H.; Gao, C.; Li, H.; Pang, F.; Zou, T.; Wang, H.; Wang, N. Analysis of Functionally Graded Carbon NanotubeReinforced Composite Structures: A review. Nanotechnol Rev. 2020, 9, 1408–1426. [Google Scholar] [CrossRef]
- Izadi, R.; Tuna, M.; Trovalusci, P.; Ghavanloo, E. Torsional Characteristics of Carbon Nanotubes: Micropolar Elasticity Models and Molecular Dynamics Simulation. Nanomaterials 2021, 11, 453. [Google Scholar] [CrossRef] [PubMed]
- Izadi, R.; Tuna, M.; Trovalusci, P.; Fantuzzi, N. Bending characteristics of carbon nanotubes: Micropolar elasticity models and molecular dynamics simulations. Mech. Adv. Mater. Struct. 2021, 1–18. [Google Scholar] [CrossRef]
- Monaco, G.T.; Fantuzzi, N.; Fabbrocino, F.; Luciano, R. Hygro-Thermal Vibrations and Buckling of Laminated Nanoplates Via Nonlocal Strain Gradient Theory. Compos. Struct. 2021, 262, 113337. [Google Scholar] [CrossRef]
- Bragagli, M.; Paleari, L.; Lamastra, F.R.; Puglia, D.; Fabbrocino, F.; Nann, F. Graphene Nanoplatelet, Multiwall Carbon Nanotube, and Hybrid Multiwall Carbon Nanotube–Graphene Nanoplatelet Epoxy Nanocomposites as Strain Sensing Coat-ings. J. Reinf. Plast. Compos. 2021, 40, 632–643. [Google Scholar] [CrossRef]
- Paleari, L.; Bragaglia, M.; Fabbrocino, F.; Nanni, F. Structural Monitoring of Glass Fiber/Epoxy Laminates by Means of Carbon Nanotubes and Carbon Black Self-Monitoring Plies. Nanomaterials 2021, 11, 1543. [Google Scholar] [CrossRef]
- Monaco, G.T.; Fantuzzi, N.; Fabbrocino, F.; Luciano, R. Semi-Analytical Static Analysis of Nonlocal Strain Gradient Laminated Composite Nanoplates in Hygrothermal Environment. J. Braz. Soc. Mech. Sci. Eng. 2021, 43, 274. [Google Scholar] [CrossRef]
- Fantuzzi, N.; Bacciocchi, M.; Agnelli, J.; Benedetti, D. Three-phase Homogenization Procedure for Woven Fabric Composites Reinforced by Carbon Nanotubes in Thermal Environment. Compos. Struct. 2020, 254, 112840. [Google Scholar] [CrossRef]
- Shen, H.S. Thermal Buckling and Postbuckling Behavior of Functionally Graded Carbon Nanotube-Reinforced Composite Cylindrical Shells. Compos. Part B Eng. 2012, 43, 1030–1038. [Google Scholar] [CrossRef]
- Mirzaei, M.; Kiani, Y. Thermal Buckling of Temperature Dependent FG-CNT Reinforced Composite Conical Shells. Aerosp. Sci. Technol. 2015, 47, 42–53. [Google Scholar] [CrossRef]
- Kandasamy, R.; Dimitri, R.; Tornabene, F. Numerical Study on the Free Vibration and Thermal Buckling Behavior of Moder-ately Thick Functionally Graded Structures in Thermal Environments. Compos. Struct. 2016, 157, 207–221. [Google Scholar] [CrossRef]
- Tung, H.V. Thermal Buckling and Postbuckling Behavior of Functionally Graded Carbon-Nanotube-Reinforced Composite Plates Resting on Elastic Foundations with Tangential-Edge Restraints. J. Thermal Stress. 2016, 40, 641–663. [Google Scholar] [CrossRef]
- Duc, N.D.; Cong, P.H.; Tuan, N.D.; Tran, P.; Thanh, N.V. Thermal and Mechanical Stability of Functionally Graded Carbon Nanotubes (FG CNT)-Reinforced Composite Truncated Conical Shells Surrounded by the Elastic Foundations. Thin-Walled Struct. 2017, 115, 300–310. [Google Scholar] [CrossRef]
- Kiani, Y. Thermal Post-Buckling of Temperature Dependent Sandwich Plates with FG-CNTRC Face Sheets. J. Therm. Stress. 2018, 41, 866–882. [Google Scholar] [CrossRef]
- Mehar, K.; Panda, S.K.; Devarajan, Y.; Choubey, G. Numerical Buckling Analysis of Graded CNT-Reinforced Composite Sandwich Shell Structure Under Thermal Loading. Compos. Struct. 2019, 216, 406–414. [Google Scholar] [CrossRef]
- Kiani, Y. Buckling of Functionally Graded Graphene Reinforced Conical Shells Under External Pressure in Thermal Environ-ment. Compos. Part B Eng. 2019, 156, 128–137. [Google Scholar] [CrossRef]
- Hajlaoui, A.; Chebbi, E.; Dammak, F. Buckling Analysis of Carbon Nanotube Reinforced FG Shells Using an Efficient Solid-Shell Element Based on a Modified FSDT. Thin-Walled Struct. 2019, 144, 106254. [Google Scholar] [CrossRef]
- Hajlaoui, A.; Chebbi, E.; Dammak, F. Three-Dimensional Thermal Buckling Analysis of Functionally Graded Material Struc-tures Using a Modified FSDT-Based Solid-Shell Element. Int. J. Press. Vessel. Pip. 2021, 194, 104547. [Google Scholar] [CrossRef]
- Gholami, R.; Ansari, R. Thermal Postbuckling of Temperature-Dependent Functionally Graded Nanocomposite Annular Sector Plates Reinforced by Carbon Nanotubes. Int. J. Struct. Stab. Dyn. 2021, 21, 2150026. [Google Scholar] [CrossRef]
- Chakraborty, S.; Dey, T. Non-linear Stability Analysis of CNT Reinforced Composite Cylindrical Shell Panel Subjected to Thermomechanical Loading. Compos. Struct. 2021, 255, 112995. [Google Scholar] [CrossRef]
- Babaei, H.; Kiani, Y.; Eslami, M.R. Perturbation Method for Thermal Post-Buckling Analysis of Shear Deformable FG-CNTRC Beams with Different Boundary Conditions. Int. J. Struct. Stab. Dyn. 2021, 21, 2150175. [Google Scholar] [CrossRef]
- Hieu, D.V.; Phi, B.G.; Sedighi, H.M.; Sofiyev, A.H. Size-Dependent Nonlinear Vibration of Functionally Graded Composite Micro-Beams Reinforced by Carbon Nanotubes with Piezoelectric Layers in Thermal Environments. Acta Mech. 2022, 233, 2249–2270. [Google Scholar]
- Avey, M.; Fantuzzi, N. On the solution of thermal buckling problem of moderately thick laminated conical shells containing carbon nanotube originating layers. Abstract books 2022, p. 163. In Proceedings of the 25th International Conference on Composite of Structures (ICCS25), Porto, Portugal, 19–22 July 2022. [Google Scholar]
- Avey, M.; Fantuzi, N.; Sofiyev, A.H. Mathematical Modeling and Analytical Solution of Thermoelastic Stability Problem of Functionally Graded Nanocomposite Cylinders within Different Theories. Mathematics 2022, 10, 1081. [Google Scholar] [CrossRef]
- Hajlaoui, A.; Dammak, F. A Modified First Shear Deformation Theory for Three-Dimensional Thermal Post-Buckling Analysis of FGM Plates. Meccanica 2022, 57, 337–353. [Google Scholar] [CrossRef]
- Tornabene, F.; Fantzuzzi, N.; Bacciocchi, M.; Viola, E. Effect of Agglomeration on the Natural Frequencies of Functionally Graded Carbon Nanotube-Reinforced Laminated Composite Doubly-Curved Shells. Compos. Part B Eng. 2016, 89, 187–218. [Google Scholar] [CrossRef]
- Sankar, A.; Natarajan, S.; Merzouki, T.; Ganapathi, M. Nonlinear Dynamic Thermal Buckling of Sandwich Spherical and Conical Shells with CNT Reinforced Facesheets. Int. J. Struct. Stab. Dyn. 2017, 17, 1750100. [Google Scholar] [CrossRef]
- Mahani, R.B.; Eyvazian, A.; Musharavati, F.; Sebaey, T.A.; Talebizadehsardari, P. Thermal Buckling of Laminated Nano-Composite Conical Shell Reinforced with Graphene Platelets. Thin-Walled Struct. 2020, 155, 106913. [Google Scholar] [CrossRef]
- Bacciocchi, M.; Fantuzzi, N.; Ferreira, A.J.M. Static Finite Element Analysis of Thin Laminated Strain Gradient Nanoplates in Hygro-Thermal Environment. Contin. Mech. Thermodyn. 2021, 33, 969–992. [Google Scholar] [CrossRef]
- Avey, M.; Fantuzzi, N.; Sofıyev, A.H.; Kuruoglu, N. Nonlinear Vibration of Multilayer Shell-Type Structural Elements with Double Curvature Consisting of CNT Patterned Layers within Different Theories. Compos. Struct. 2021, 2751, 114401. [Google Scholar] [CrossRef]
- Agamirov, V.L. Dynamic Problems of Nonlinear Shells Theory; Nauka: Moscow, Russia, 1990. [Google Scholar]
- Wu, L.; Jiang, Z.; Liu, J. Thermoelastic Stability of Functionally Graded Cylindrical Shells. Compos. Struct. 2005, 70, 60–68. [Google Scholar] [CrossRef]
- Lu, S.Y.; Chang, L.K. Thermal Buckling of Conical Shells. AIAA J. 1957, 5, 1877–1882. [Google Scholar]
- Shen, H.S. Postbuckling of Nanotube-Reinforced Composite Cylindrical Shells in Thermal Environments. Part I: Axially-loaded shells. Compos. Struct. 2011, 93, 2096–2108. [Google Scholar] [CrossRef]






| 200 | 300 | 400 | 500 | 600 | |
| Ref. [50] | 2.25 | 1.50 | 1.13 | 0.90 | 0.75 |
| Current study | 2.246 (7, 12) | 1.493 (26,4) | 1.12 (27, 11) | 0.895 (28, 16) | 0.746 (29,19) |
| Thermo-Mechanical Properties of CNTin the Layer | Thermo-Mechanical Properties of PMMA in the Layer | The Efficiency Parameters in the Layer |
|---|---|---|
at T = 300 K , | ||
| The geometrical properties of CNT | ||
| , | ||
| Arrangement of Layers | U | V | O | X | |||||
|---|---|---|---|---|---|---|---|---|---|
| ST | CT | ST | CT | ST | CT | ST | CT | ||
| 10° | (0°) | 0.789 (5) | 1.375 (4) | 0.662 (4) | 0.972 (4) | 0.549 (5) | 0.754 (4) | 0.932 (5) | 1.991 (4) |
| (0°/90°/0°) | 1.015 (5) | 1.712 (5) | 0.815 (5) | 1.061 (5) | 0.894 (5) | 1.174 (5) | 0.977 (5) | 2.048 (5) | |
| (90°/0°/90°) | 0.562 (3) | 0.584 (3) | 0.534 (4) | 0.578 (4) | 0.391 (4) | 0.416 (4) | 0.803 (3) | 0.851 (3) | |
| (0°/90°/0°/90°) | 0.880 (4) | 1.085 (4) | 0.802 (4) | 0.976 (4) | 0.655 (4) | 0.758 (4) | 0.876 (4) | 1.053 (4) | |
| (0°/90°/90°/0°) | 1.165 (5) | 1.837 (4) | 0.889 (4) | 1.038 (4) | 1.036 (4) | 1.258 (4) | 1.082 (5) | 2.151 (4) | |
| (90°/0°/0°/90°) | 0.599 (3) | 0.645 (3) | 0.567 (4) | 0.619 (4) | 0.429 (4) | 0.475 (4) | 0.828 (3) | 0.895 (3) | |
| 20° | (0°) | 0.764 (6) | 1.348 (4) | 0.643 (5) | 0.950 (4) | 0.531 (5) | 0.735 (4) | 0.900 (6) | 1.956 (4) |
| (0°/90°/0°) | 0.984 (5) | 1.675 (5) | 0.780 (5) | 1.029 (5) | 0.860 (5) | 1.138 (5) | 0.942 (6) | 2.010 (5) | |
| (90°/0°/90°) | 0.519 (3) | 0.539 (3) | 0.488 (4) | 0.529 (4) | 0.361 (4) | 0.384 (4) | 0.740 (3) | 0.780 (3) | |
| (0°/90°/0°/90°) | 0.841 (4) | 1.042 (4) | 0.769 (4) | 0.942 (4) | 0.624 (4) | 0.724 (4) | 0.839 (4) | 1.010 (4) | |
| (0°/90°/90°/0°) | 1.123 (5) | 1.794 (4) | 0.849 (5) | 1.000 (4) | 0.996 (4) | 1.213 (4) | 1.047 (5) | 2.109 (4) | |
| (90°/0°/0°/90°) | 0.563 (3) | 0.606 (3) | 0.528 (4) | 0.578 (4) | 0.404 (4) | 0.448 (4) | 0.773 (3) | 0.833 (3) | |
| 30° | (0°) | 0.739 (7) | 1.314 (4) | 0.624 (5) | 0.921 (3) | 0.514 (6) | 0.711 (4) | 0.866 (7) | 1.911 (4) |
| (0°/90°/0°) | 0.951 (6) | 1.629 (5) | 0.746 (5) | 0.990 (5) | 0.825 (5) | 1.095 (5) | 0.911 (6) | 1.961 (5) | |
| (90°/0°/90°) | 0.466 (3) | 0.483 (3) | 0.438 (4) | 0.476 (4) | 0.328 (4) | 0.348 (4) | 0.661 (3) | 0.695 (3) | |
| (0°/90°/0°/90°) | 0.801 (4) | 0.992 (4) | 0.732 (4) | 0.898 (4) | 0.589 (4) | 0.684 (4) | 0.799 (4) | 0.961 (4) | |
| (0°/90°/90°/0°) | 1.085 (5) | 1.751 (4) | 0.803 (5) | 0.952 (4) | 0.949 (4) | 1.156 (4) | 1.017 (5) | 2.053 (4) | |
| (90°/0°/0°/90°) | 0.517 (3) | 0.555 (3) | 0.483 (4) | 0.532 (4) | 0.376 (4) | 0.417 (4) | 0.705 (3) | 0.759 (3) | |
| Arrangement of Layers | U | V | O | X | |||||
|---|---|---|---|---|---|---|---|---|---|
| ST | CT | ST | CT | ST | CT | ST | CT | ||
| 10° | (0°) | 0.848 (5) | 1.375 (4) | 0.701 (4) | 0.972 (4) | 0.583 (5) | 0.754 (4) | 1.017 (5) | 1.991 (4) |
| (0°/90°/0°) | 1.084 (5) | 1.712 (5) | 0.853 (5) | 1.061 (5) | 0.939 (5) | 1.174 (5) | 1.062 (5) | 2.048 (5) | |
| (90°/0°/90°) | 0.565 (3) | 0.584 (3) | 0.541 (4) | 0.578 (4) | 0.396 (4) | 0.416 (4) | 0.811 (3) | 0.851 (3) | |
| (0°/90°/0°/90°) | 0.914 (4) | 1.085 (4) | 0.834 (4) | 0.976 (4) | 0.674 (4) | 0.758 (4) | 0.841 (4) | 1.053 (4) | |
| (0°/90°/90°/0°) | 1.229 (4) | 1.837 (4) | 0.917 (4) | 1.038 (4) | 1.069 (4) | 1.258 (4) | 1.166 (5) | 2.151 (4) | |
| (90°/0°/0°/90°) | 0.609 (3) | 0.645 (3) | 0.579 (4) | 0.619 (4) | 0.440 (4) | 0.475 (4) | 0.841 (3) | 0.895 (3) | |
| 20° | (0°) | 0.826 (6) | 1.348 (4) | 0.683 (5) | 0.950 (4) | 0.565 (5) | 0.735 (4) | 0.988 (6) | 1.956 (4) |
| (0°/90°/0°) | 1.054 (5) | 1.675 (5) | 0.820 (5) | 1.029 (5) | 0.904 (5) | 1.138 (5) | 1.035 (5) | 2.010 (5) | |
| (90°/0°/90°) | 0.523 (3) | 0.539 (3) | 0.495 (4) | 0.529 (4) | 0.366 (4) | 0.384 (4) | 0.746 (3) | 0.780 (3) | |
| (0°/90°/0°/90°) | 0.876 (4) | 1.042 (4) | 0.800 (4) | 0.942 (4) | 0.643 (4) | 0.724 (4) | 0.874 (4) | 1.010 (4) | |
| (0°/90°/90°/0°) | 1.197 (4) | 1.794 (4) | 0.880 (4) | 1.000 (4) | 1.029 (4) | 1.213 (4) | 1.132 (5) | 2.109 (4) | |
| (90°/0°/0°/90°) | 0.573 (3) | 0.606 (3) | 0.539 (4) | 0.578 (4) | 0.414 (4) | 0.448 (4) | 0.785 (3) | 0.833 (3) | |
| 30° | (0°) | 0.803 (6) | 1.313 (4) | 0.665 (5) | 0.921 (3) | 0.548 (5) | 0.711 (4) | 0.963 (6) | 1.911 (4) |
| (0°/90°/0°) | 1.026 (5) | 1.628 (5) | 0.786 (5) | 0.990 (5) | 0.870 (5) | 1.095 (5) | 1.012 (5) | 1.962 (5) | |
| (90°/0°/90°) | 0.470 (3) | 0.483 (3) | 0.443 (4) | 0.476 (4) | 0.332 (4) | 0.348 (4) | 0.666 (3) | 0.695 (3) | |
| (0°/90°/0°/90°) | 0.836 (4) | 0.992 (4) | 0.763 (4) | 0.898 (4) | 0.608 (4) | 0.684 (4) | 0.834 (4) | 0.961 (4) | |
| (0°/90°/90°/0°) | 1.152 (5) | 1.737 (4) | 0.835 (5) | 0.952 (4) | 0.983 (4) | 1.156 (4) | 1.103 (4) | 2.053 (4) | |
| (90°/0°/0°/90°) | 0.527 (3) | 0.555 (3) | 0.494 (4) | 0.532 (4) | 0.386 (4) | 0.417 (4) | 0.717 (3) | 0.759 (3) | |
| U | V | O | X | ||||||
|---|---|---|---|---|---|---|---|---|---|
| Arrangement of Layers | ST | CT | ST | CT | ST | CT | ST | CT | |
| 20 | (0°) | 0.873 (6) | 2.225 (4) | 0.782 (5) | 1.531 (3) | 0.700 (5) | 1.173 (4) | 0.918 (6) | 3.283 (3) |
| (0°/90°/0°) | 1.197 (5) | 2.879 (4) | 0.986 (5) | 1.661 (4) | 1.243 (5) | 1.938 (4) | 1.003 (5) | 3.443 (4) | |
| (90°/0°/90°) | 0.691 (3) | 0.758 (3) | 0.664 (3) | 0.736 (3) | 0.509 (3) | 0.540 (3) | 1.118 (3) | 1.285 (3) | |
| (0°/90°/0°/90°) | 1.164 (4) | 1.744 (3) | 1.009 (4) | 1.525 (4) | 0.914 (4) | 1.182 (4) | 1.123 (4) | 1.715 (3) | |
| (0°/90°/90°/0°) | 1.450 (4) | 3.167 (4) | 1.114 (4) | 1.607 (4) | 1.537 (4) | 2.159 (4) | 1.165 (5) | 3.674 (4) | |
| (90°/0°/0°/90°) | 0.752 (3) | 0.887 (3) | 0.716 (4) | 0.848 (3) | 0.576 (4) | 0.675 (3) | 1.116 (3) | 1.348 (3) | |
| 25 | (0°) | 0.743 (6) | 1.445 (4) | 0.635 (5) | 1.004 (4) | 0.546 (5) | 0.772 (4) | 0.828 (6) | 2.123 (4) |
| (0°/90°/0°) | 1.006 (5) | 1.879 (5) | 0.790 (5) | 1.105 (5) | 0.961 (5) | 1.292 (5) | 0.892 (6) | 2.233 (5) | |
| (90°/0°/90°) | 0.570 (3) | 0.598 (3) | 0.526 (4) | 0.589 (4) | 0.392 (4) | 0.417 (4) | 0.935 (3) | 1.010 (3) | |
| (0°/90°/0°/90°) | 0.912 (4) | 1.192 (4) | 0.799 (4) | 1.027 (4) | 0.693 (4) | 0.811 (4) | 0.896 (4) | 1.171 (4) | |
| (0°/90°/90°/0°) | 1.203 (5) | 2.080 (4) | 0.884 (4) | 1.090 (4) | 1.182 (4) | 1.465 (4) | 1.021 (5) | 2.391 (4) | |
| (90°/0°/0°/90°) | 0.600 (3) | 0.659 (3) | 0.549 (4) | 0.622 (4) | 0.433 (4) | 0.481 (4) | 0.906 (3) | 1.008 (3) | |
| 30 | (0°) | 0.621 (6) | 1.018 (5) | 0.516 (5) | 0.715 (4) | 0.432 (5) | 0.550 (5) | 0.724 (6) | 1.493 (5) |
| (0°/90°/0°) | 0.839 (5) | 1.329 (5) | 0.640 (5) | 0.795 (5) | 0.760 (5) | 0.931 (5) | 0.778 (6) | 1.570 (5) | |
| (90°/0°/90°) | 0.494 (4) | 0.512 (3) | 0.433 (4) | 0.471 (4) | 0.320 (4) | 0.332 (4) | 0.822 (3) | 0.860 (3) | |
| (0°/90°/0°/90°) | 0.735 (4) | 0.872 (4) | 0.648 (5) | 0.756 (4) | 0.552 (4) | 0.610 (4) | 0.732 (4) | 0.860 (4) | |
| (0°/90°/90°/0°) | 0.990 (5) | 1.488 (5) | 0.710 (5) | 0.806 (5) | 0.937 (5) | 1.088 (4) | 0.882 (5) | 1.692 (5) | |
| (90°/0°/0°/90°) | 0.497 (4) | 0.535 (3) | 0.444 (4) | 0.483 (4) | 0.345 (4) | 0.368 (4) | 0.772 (3) | 0.824 (3) | |
| 35 | (0°) | 0.520 (6) | 0.760 (5) | 0.424 (5) | 0.538 (5) | 0.348 (6) | 0.416 (5) | 0.628 (6) | 1.109 (5) |
| (0°/90°/0°) | 0.703 (6) | 0.997 (5) | 0.528 (6) | 0.608 (5) | 0.618 (5) | 0.714 (5) | 0.673 (6) | 1.170 (5) | |
| (90°/0°/90°) | 0.419 (4) | 0.445 (4) | 0.373 (4) | 0.399 (4) | 0.274 (4) | 0.280 (4) | 0.739 (4) | 0.828 (4) | |
| (0°/90°/0°/90°) | 0.608 (4) | 0.679 (4) | 0.529 (5) | 0.586 (5) | 0.457 (4) | 0.489 (4) | 0.613 (4) | 0.672 (4) | |
| (0°/90°/90°/0°) | 0.824 (5) | 1.119 (5) | 0.583 (5) | 0.622 (5) | 0.756 (5) | 0.841 (5) | 0.760 (5) | 1.262 (5) | |
| (90°/0°/0°/90°) | 0.414 (4) | 0.443 (4) | 0.376 (4) | 0.399 (4) | 0.288 (4) | 0.300 (4) | 0.673 (4) | 0.713 (3) | |
Publisher’s Note: MDPI stays neutral with regard to jurisdictional claims in published maps and institutional affiliations. |
© 2022 by the authors. Licensee MDPI, Basel, Switzerland. This article is an open access article distributed under the terms and conditions of the Creative Commons Attribution (CC BY) license (https://creativecommons.org/licenses/by/4.0/).
Share and Cite
Avey, M.; Fantuzzi, N.; Sofiyev, A. On the Solution of Thermal Buckling Problem of Moderately Thick Laminated Conical Shells Containing Carbon Nanotube Originating Layers. Materials 2022, 15, 7427. https://doi.org/10.3390/ma15217427
Avey M, Fantuzzi N, Sofiyev A. On the Solution of Thermal Buckling Problem of Moderately Thick Laminated Conical Shells Containing Carbon Nanotube Originating Layers. Materials. 2022; 15(21):7427. https://doi.org/10.3390/ma15217427
Chicago/Turabian StyleAvey, Mahmure, Nicholas Fantuzzi, and Abdullah Sofiyev. 2022. "On the Solution of Thermal Buckling Problem of Moderately Thick Laminated Conical Shells Containing Carbon Nanotube Originating Layers" Materials 15, no. 21: 7427. https://doi.org/10.3390/ma15217427
APA StyleAvey, M., Fantuzzi, N., & Sofiyev, A. (2022). On the Solution of Thermal Buckling Problem of Moderately Thick Laminated Conical Shells Containing Carbon Nanotube Originating Layers. Materials, 15(21), 7427. https://doi.org/10.3390/ma15217427

